A Human-Machine-Cooperative-Driving Controller Based on AFS and DYC for Vehicle Dynamic Stability
Abstract
1. Introduction
2. Related Models
2.1. Vehicle Dynamics Model
2.2. Nominal Values Calculation Model
2.3. Tire Model
3. Design of HMCDC
3.1. The Supervisor
3.2. The Upper Layer
3.3. The Lower Layer
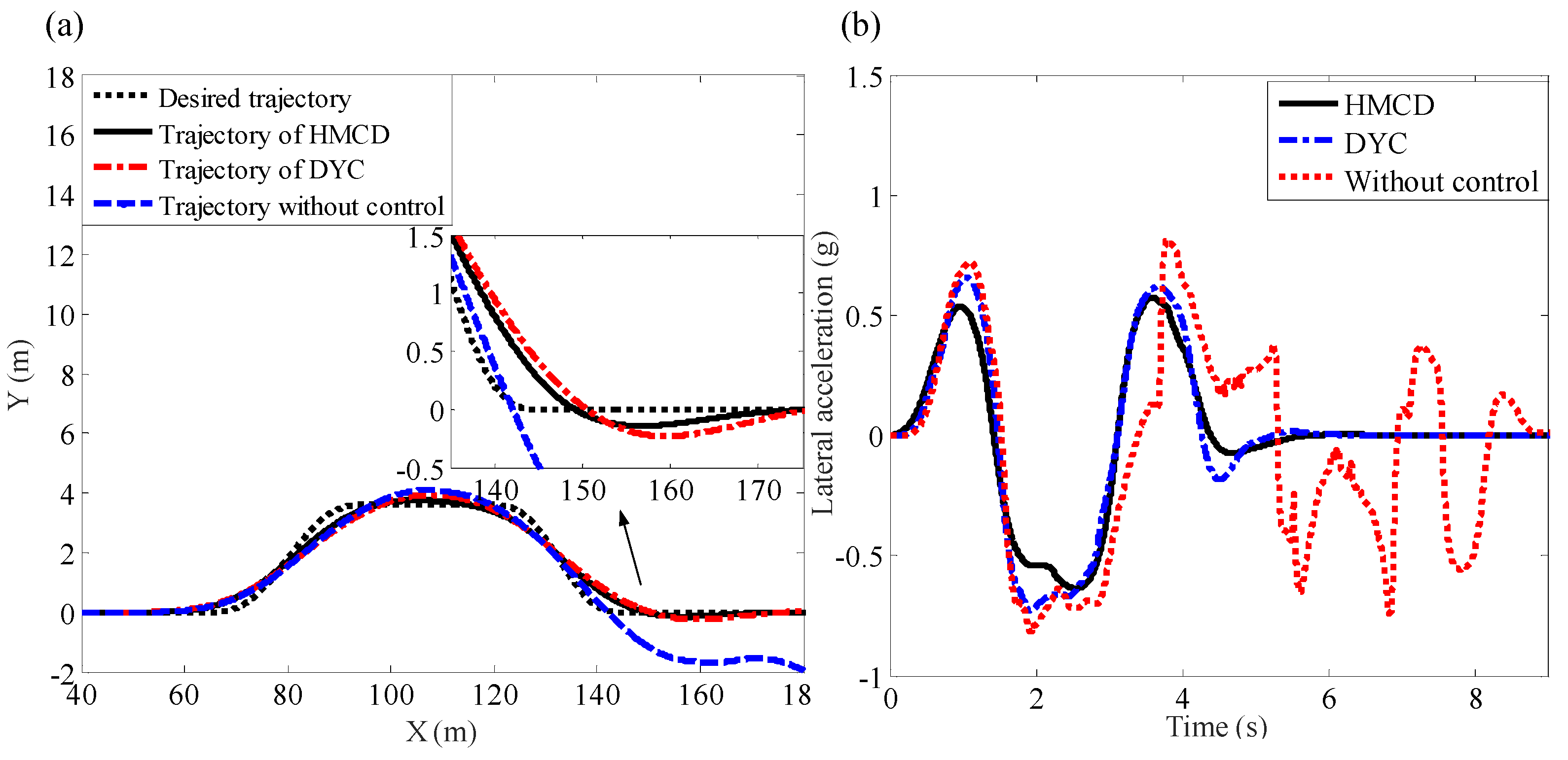
4. Simulation Results and Analysis
5. Conclusions
Acknowledgments
Author Contributions
Conflicts of Interest
References
- Li, L.; Wang, X.; Song, J. Fuel consumption optimization for smart hybrid electric vehicle during a car-following process. Mech. Syst. Signal Process. 2017, 87, 17–29. [Google Scholar] [CrossRef]
- Tsengh, E.; Ashrafi, B.; Madau, D.; Allen Brown, T.; Recker, D. The development of vehicle stability control at ford. IEEE/ASME Trans. Mechatron. 1999, 4, 223–234. [Google Scholar] [CrossRef]
- Zhu, H.; Li, L.; Jin, M.; Li, H.; Song, J. Real-time yaw rate prediction based on a non-linear model and feedback compensation for vehicle dynamics control. Proc. Inst. Mech. Eng. Part D J. Automob. Eng. 2013, 227, 1431–1445. [Google Scholar] [CrossRef]
- Li, L.; Lu, Y.; Wang, R.; Chen, J. A 3-Dimentional Dynamics Control Framework of Vehicle Lateral Stability and Rollover Prevention via Active Braking with MPC. IEEE Trans. Ind. Electron. 2016, 64, 3389–3401. [Google Scholar] [CrossRef]
- Goodarzi, A.; Naghibian, M.; Choodan, D.; Khajepour, A. Vehicle dynamics control by using a three-dimensional stabilizer pendulum system. Veh. Syst. Dyn. 2016, 54, 1671–1687. [Google Scholar] [CrossRef]
- Furukawa, Y.; Abe, M. Advanced Chassis Control Systems for Vehicle Handling and Active Safety. Veh. Syst. Dyn. 1997, 28, 59–86. [Google Scholar] [CrossRef]
- Zheng, S.; Tang, H.; Han, Z.; Zhang, Y. Controller design for vehicle stability enhancement. Control Eng. Pract. 2006, 14, 1413–1421. [Google Scholar] [CrossRef]
- Li, H. Reliability indexed sensor fusion and its application to vehicle velocity estimation. J. Dyn. Syst. Meas. Control 2006, 128, 236–243. [Google Scholar]
- Hsiao, T.; Tomizuka, M. Sensor fault detection in vehicle lateral control systems via switching kalman filtering. IEEE Trans. Control Syst. Technol. 2005, 15, 519–528. [Google Scholar]
- Xu, L.; Eric Tseng, H. Robust model-based fault detection for a roll stability control system. IEEE Trans. Control Syst. Technol. 2007, 15, 519–528. [Google Scholar] [CrossRef]
- Selby, W.; Manning, W.; Brown, M.; Crolla, D. A Coordination Approach for DYC and Active Front Steering; SAE Technical Paper Series; SAE 2001 World Congress: Detroit, MI, USA, 2001. [Google Scholar]
- Falcone, P.; Tseng, H.E.; Borrelli, F.; Asgari, J.; Hrovat, D. MPC-based yaw and lateral stabilisation via active front steering and braking. Veh. Syst. Dyn. 2008, 46, 611–628. [Google Scholar] [CrossRef]
- Zhang, H.; Wang, J. Vehicle lateral dynamics control through AFS/DYC and robust gain-scheduling approach. IEEE Trans. Veh. Technol. 2016, 65, 489–494. [Google Scholar] [CrossRef]
- Zhao, J.; Wong, P.K.; Ma, X.; Xie, Z. Chassis integrated control for active suspension, active front steering and direct yaw moment systems using hierarchical strategy. Veh. Syst. Dyn. 2016, 55, 72–103. [Google Scholar] [CrossRef]
- Yoshimura, T.; Kume, A.; Kurimoto, M.; Hino, J. Construction of an active suspension system of a quarter car model using the concept of sliding mode control. J. Sound Vib. 2001, 239, 187–199. [Google Scholar] [CrossRef]
- Kuo, Y.-P.; Li, S. GA-Based Fuzzy PI/PD Controller for Automotive Active Suspension System. IEEE Trans. Ind. Electron. 1999, 46, 1051–1056. [Google Scholar]
- Ackermann, J.; Bünte, T.; Odenthal, D. Advantages of Active Steering for Vehicle Dynamics Control. 1999. Available online: http://citeseerx.ist.psu.edu/viewdoc/download?doi=10.1.1.31.1688&rep=rep1&type=pdf (accessed on 30 October 2017).
- Falcone, P.; Borrelli, F.; Asgari, J.; Tseng, H.E.; Hrovat, D. Predictive Active Steering Control for Autonomous Vehicle Systems. IEEE Trans. Control Syst. Technol. 2007, 15, 566–580. [Google Scholar] [CrossRef]
- Yoon, J.; Cho, W.; Yi, B.K.K. Unified Chassis Control for Rollover Prevention and Lateral Stability. IEEE Trans. Veh. Technol. 2009, 58, 596–609. [Google Scholar] [CrossRef]
- Yoon, J.; Cho, W.; Yi, B.K.K. Unified Chassis Control for Rollover Prevention, Maneuverability and Lateral Stability. In Proceedings of the Advanced Vehicle Control, Kobe, Japan, 6–11 July 2008; pp. 708–713. [Google Scholar]
- Yang, X.; Wang, Z.; Peng, W. Coordinated control of AFS and DYC for vehicle handling and stability based on optimal guaranteed cost theory. Veh. Syst. Dyn. 2008, 47, 57–79. [Google Scholar] [CrossRef]
- Lee, B.; Khajepour, A.; Behdinan, K. Vehicle Stability through Integrated Active Steering and Differential Braking; SAE Technical Paper; SAE: Warrendale, PA, USA; Troy, MI, USA, 2006. [Google Scholar]
- Hamzah, N.; Aripin, M.K.; Sam, Y.M.; Selamat, H.; Ismail, M.F. Yaw stability improvement for four-wheel active steering vehicle using sliding mode control. In Proceedings of the 2012 IEEE 8th International Colloquium on Signal Processing and Its Applications (CSPA), Melaka, Malaysia, 23–25 March 2012; pp. 127–132. [Google Scholar]
- Di Cairano, S.; Tseng, H.E.; Bernardini, D.; Bemporad, A. Vehicle yaw stability control by coordinated active front steering and differential braking in the tire sideslip angles domain. IEEE Trans. Control Syst. Technol. 2013, 21, 1236–1248. [Google Scholar] [CrossRef]
- Shuai, Z.-B.; Shuai, H.; Wang, J.-M.; Li, J.-Q.; Ouyang, M.-G. Combined AFS and DYC Control of Four-Wheel-Independent-Drive Electric Vehicles over CAN Network with Time-Varying Delays. IEEE Trans. Veh. Technol. 2014, 63, 591–602. [Google Scholar]
- Falcone, P.; Borrelli, F.; Asgari, J.; Tseng, H.E.; Hrovat, D. A model predictive control approach for combined braking and steering in autonomous vehicles. In Proceedings of the Mediterranean Conference on Control & Automation (MED’07), Athens, Greece, 27–29 June 2007; pp. 1–6. [Google Scholar]
- Falcone, P.; Tufo, M.; Borrelli, F.; Asgari, J.; Tseng, H.E. A linear time varying model predictive control approach to the integrated vehicle dynamics control problem in autonomous systems. In Proceedings of the 2007 46th IEEE Conference on Decision and Control, New Orleans, LA, USA, 2–14 December 2007; pp. 2980–2985. [Google Scholar]
- Ding, N.; Taheri, S. An adaptive integrated algorithm for active front steering and direct yaw moment control based on direct Lyapunov method. Veh. Syst. Dyn. 2010, 48, 1193–1213. [Google Scholar] [CrossRef]
- Doumiati, M.; Sename, O.; Dugard, L.; Martinez-Molina, J.-J.; Gaspar, P.; Szabo, Z. Integrated vehicle dynamics control via coordination of active front steering and rear braking. Eur. J. Control 2013, 19, 121–143. [Google Scholar] [CrossRef]
- He, J.; Crolla, D.; Levesley, M.; Manning, W. Coordination of active steering, driveline, and braking for integrated vehicle dynamics control. Proc. Inst. Mech. Eng. Part D J. Automob. Eng. 2006, 220, 1401–1420. [Google Scholar] [CrossRef]
- Minaki, R.; Hoshino, H.; Hori, Y. Ergonomic verification of reactive torque control based on driver’s sensitivity characteristics for active front steering. In Proceedings of the IEEE Vehicle Power and Propulsion Conference (VPPC), Dearborn, MI, USA, 7–10 September 2009; pp. 160–164. [Google Scholar]
- Minaki, R.; Hoshino, H.; Hori, Y. Experimental Verification of Active Front Steering Based on Driver-Friendly Reaction Torque Control. Electron. Commun. Jpn. 2014, 97, 1–13. [Google Scholar] [CrossRef]
- Navarro, J.; François, M.; Mars, F. Obstacle avoidance under automated steering: Impact on driving and gaze behaviours. Transp. Res. Part F Traffic Psychol. Behav. 2016, 43, 315–324. [Google Scholar] [CrossRef]
- Li, L.; Wang, X.; Qi, X.; Li, X.; Cao, D.; Zhu, Z. Automatic Clutch Control Based on Estimation of Resistance Torque for AMT. IEEE/ASME Trans. Mechatron. 2016, 21, 2682–2693. [Google Scholar] [CrossRef]
- Besancon Voda, A. Iterative auto-calibration of digital controllers. Methodology and applications. Control Eng. Pract. 1998, 6, 345–358. [Google Scholar] [CrossRef]
- Precup, R.-E.; Preitl, S. PI-fuzzy controllers for integral plants to ensure robust stability. Inf. Sci. 2007, 177, 4410–4429. [Google Scholar] [CrossRef]
- Ginter, V.J.; Pieper, J.K. Robust gain scheduled control of a hydrokinetic turbine. IEEE Trans. Control Syst. Technol. 2011, 19, 805–817. [Google Scholar] [CrossRef]
- Hu, X.; Xiong, R.; Egardt, B. Model-based dynamic power assessment of Lithium-Ion batteries considering different operating conditions. IEEE Trans. Ind. Inform. 2014, 10, 1948–1959. [Google Scholar] [CrossRef]
- Li, L.; Yang, K.; Jia, G.; Ran, X.; Song, J.; Han, Z.Q. Comprehensive tire–road friction coefficient estimation based on signal fusion method under complex maneuvering operations. Mech. Syst. Signal Process. 2015, 56–57, 259–276. [Google Scholar] [CrossRef]
- Li, L.; Jia, G.; Chen, J.; Zhu, H.; Cao, D.; Song, J. A novel vehicle dynamics stability control algorithm based on the hierarchical strategy with constrain of nonlinear tyre forces. Veh. Syst. Dyn. 2015, 53, 1093–1116. [Google Scholar] [CrossRef]
- Huh, K.; Hong, D.; Yoon, P.; Kang, H.-J.; Hwang, I. Robust Wheel-Slip Control for Brake-by-Wire Systems. Trans. Korean Soc. Automot. Eng. 2005, 13, 102–109. [Google Scholar]











© 2017 by the authors. Licensee MDPI, Basel, Switzerland. This article is an open access article distributed under the terms and conditions of the Creative Commons Attribution (CC BY) license (http://creativecommons.org/licenses/by/4.0/).
Share and Cite
Wu, J.; Cheng, S.; Liu, B.; Liu, C. A Human-Machine-Cooperative-Driving Controller Based on AFS and DYC for Vehicle Dynamic Stability. Energies 2017, 10, 1737. https://doi.org/10.3390/en10111737
Wu J, Cheng S, Liu B, Liu C. A Human-Machine-Cooperative-Driving Controller Based on AFS and DYC for Vehicle Dynamic Stability. Energies. 2017; 10(11):1737. https://doi.org/10.3390/en10111737
Chicago/Turabian StyleWu, Jian, Shuo Cheng, Binhao Liu, and Congzhi Liu. 2017. "A Human-Machine-Cooperative-Driving Controller Based on AFS and DYC for Vehicle Dynamic Stability" Energies 10, no. 11: 1737. https://doi.org/10.3390/en10111737
APA StyleWu, J., Cheng, S., Liu, B., & Liu, C. (2017). A Human-Machine-Cooperative-Driving Controller Based on AFS and DYC for Vehicle Dynamic Stability. Energies, 10(11), 1737. https://doi.org/10.3390/en10111737

