Transmission of Inflation and Exchange Rate Effects: The Markov Switching Vector Autoregressive Methodology
Abstract
1. Introduction
2. Literature Review
3. Hypothesis Development
4. Methodology
- →
- The expectation step (E step): During this stage, we compute the anticipated value relying on the observed variables and the parameter values established in the preceding iteration. This computation can be expressed as follows:
- •
- The maximization step (M step): This phase employs the approximation of the unfamiliar information derived from the earlier stage to optimize the likelihood function and revise the parameters for the forthcoming iteration. Consequently, the shift from one iteration (m) to the subsequent iteration (m + 1) of the algorithm involves ascertaining:
5. Empirical Analysis
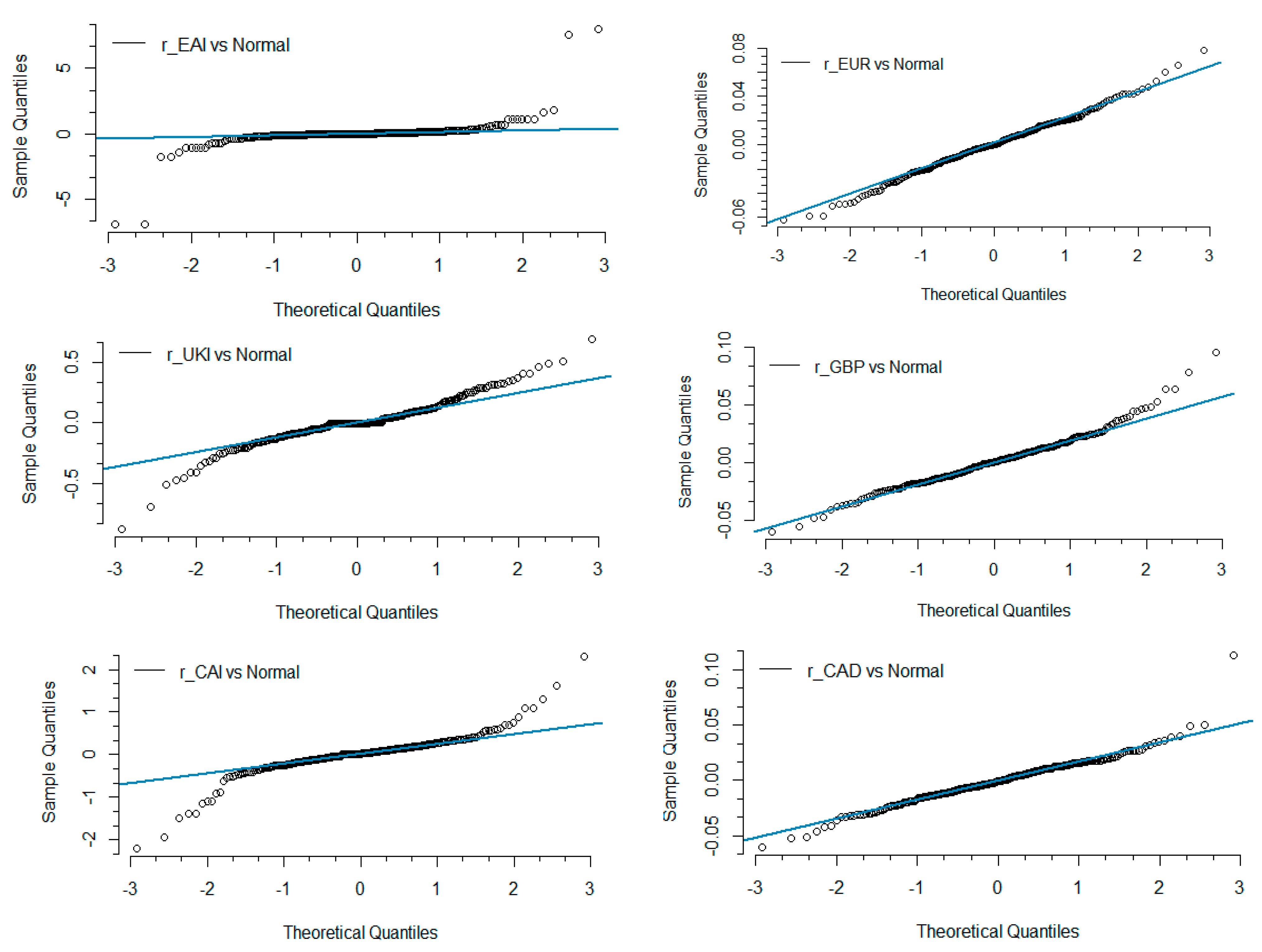
5.1. Data Description
5.2. Empirical Results and Interpretations
6. Conclusions
Author Contributions
Funding
Data Availability Statement
Conflicts of Interest
References
- Aimer, Nagmi Moftah, and Abdulmula Albashir Lusta. 2021. Exchange rates and oil price under uncertainty and regime switching: A Markov-switching VAR approach. Economic Journal of Emerging Markets 13: 200–15. [Google Scholar] [CrossRef]
- Alexius, Annika, and Mikaela Holmberg. 2023. Pass-through with volatile exchange rates and inflation targeting. Review of World Economics, 1–11. [Google Scholar] [CrossRef]
- Anderl, Christina, and Guglielmo Maria Caporale. 2023. Nonlinearities in the exchange rate pass-through: The role of inflation expectations. International Economics 173: 86–101. [Google Scholar] [CrossRef]
- Ben Cheikh, Nidhaleddine, and Christophe Rault. 2017. Investigating first-stage exchange rate pass-through: Sectoral and macro evidence from euro area countries. The World Economy 40: 2611–38. [Google Scholar] [CrossRef]
- Bessac, Julie, Pierre Ailliot, Julien Cattiaux, and Valérie Monbet. 2016. Comparison of hidden and observed regime-switching autoregressive models for (u, v)-components of wind fields in the northeastern Atlantic. Advances in Statistical Climatology, Meteorology and Oceanography 2: 1–16. [Google Scholar] [CrossRef]
- Cakir, Mustafa, and Ahmet Ekrem Kaya. 2023. Does Exchange Rate Pass-Through Change over Time in Turkiye? Istanbul Journal of Economics-Istanbul Iktisat Dergisi 73: 359–83. [Google Scholar]
- Chroufa, Mohamed Ali, and Nouri Chtourou. 2023. Asymmetric relationship between exchange rate and inflation in Tunisia: Fresh evi-dence from multiple-threshold NARDL model and Granger quantile causality. SN Business & Economics 3: 121. [Google Scholar]
- Citci, Sadettin Haluk, and Hüseyin Kaya. 2023. Exchange rate uncertainty and the connectedness of inflation. Borsa Istanbul Review 23: 723–35. [Google Scholar] [CrossRef]
- Comunale, Mariarosaria, and Davor Kunovac. 2017. Exchange Rate Pass-Through in the Euro Area. Working Paper Series, No 2003. Available online: https://papers.ssrn.com/sol3/papers.cfm?abstract_id=2910939 (accessed on 20 May 2024).
- Creal, Drew D., and Jing Cynthia Wu. 2017. Monetary policy uncertainty and economic fluctuations. International Economic Review 58: 1317–54. [Google Scholar] [CrossRef]
- Dempster, Arthur, Nan Laird, and Donald Rubin. 1977. Maximum likelihood from incomplete data via the EM algorithm. Journal of the Royal Statistical Society: Series B (Methodological) 39: 1–22. [Google Scholar] [CrossRef]
- Dornbusch, Rudiger. 1987. Collapsing exchange rate regimes. Journal of Development Economics 27: 71–83. [Google Scholar] [CrossRef]
- El Aboudi, Sara, Imane Allam, and Mounir El Bakkouchi. 2023. ARDL modeling and analysis of the impact of the interaction between the exchange rate and inflation on economic growth in Morocco. Revue Française d’Economie et de Gestion 4: 168–87. [Google Scholar]
- Fandamu, Humphrey, Manenga Ndulo, Dale Mudenda, and Mercy Fandamu. 2023. Asymmetric Exchange Rate Pass through to Consumer Prices: Evidence from Zambia. Foreign Trade Review 58: 00157325221143886. [Google Scholar] [CrossRef]
- Forbes, Kristin, Ida Hjortsoe, and Tsvetelina Nenova. 2018. The shocks matter: Improving our estimates of exchange rate pass-through. Journal of International Economics 114: 255–75. [Google Scholar] [CrossRef]
- Gereziher, Hayelom Yrgaw, and Naser Yenus Nuru. 2023. Exchange rate pass-through to inflation in South Africa: Is there non-linearity? African Journal of Economic and Management Studies 14: 615–29. [Google Scholar] [CrossRef]
- Goldberg, Linda, and José Manuel Campa. 2010. The sensitivity of the CPI to exchange rates: Distribution margins, imported inputs, and trade exposure. The Review of Economics and Statistics 92: 392–407. [Google Scholar] [CrossRef]
- Hamilton, James. 2010. Regime switching models. In Macroeconometrics and Time Series Analysis. London: Palgrave Macmillan UK, pp. 202–9. [Google Scholar]
- Hansen, Bruce. 1996. Erratum: The likelihood ratio test under nonstandard conditions: Testing the Markov switching model of GNP. Journal of Applied Econometrics 7: 195–98. [Google Scholar] [CrossRef]
- Hüseyin, Özer, and Muhammet Kutlu. 2022. Revisiting the exchange rate pass-through in Turkey economy: Evidence from structural VAR model. International Journal of Contemporary Economics and Administrative Sciences 12: 732–47. [Google Scholar]
- Iliyasu, Jamilu, and Aliyu Rafindadi Sanusi. 2022. The role of announced exchange rate policies on exchange rate pass-through to consumer prices in an oil-based small open economy. SN Business & Economics 3: 10. [Google Scholar]
- Jamar, Nuraisyah, and Hasdi Aimon. 2021. Analysis of the Effectiveness of Monetary Policy Transmission through the Exchange Rate Channel in Maintaining Price Stability in Emerging Market Countries. Paper presented at the Sixth Padang International Conference on Economics Education, Economics, Business and Management, Accounting and Entrepreneurship (PICEEBA 2020), Padang, Indonesia, June 17; Amsterdam: Atlantis Press, pp. 252–61. [Google Scholar]
- Jambaldorj, Bolortuya. 2023. Inflation Targeting and Pass-Through Effect in Mongolia. In Challenges in Fiscal and Monetary Policies in Mongolia. Singapore: Springer Nature Singapore, pp. 181–97. [Google Scholar]
- Koop, Gary, M. Hashem Pesaran, and Simon M. Potter. 1996. Impulse response analysis in nonlinear multivariate models. Journal of Econometrics 74: 119–47. [Google Scholar] [CrossRef]
- Krolzig, Hans-Martin. 1998. Econometric Modelling of Markov-Switching Vector Autoregressions Using MSVAR for Ox. Discussion Paper. Oxford: Nuffield College. [Google Scholar]
- Krugman, Paul. 1987. The narrow moving band, the Dutch disease, and the competitive consequences of Mrs. Thatcher: Notes on trade in the presence of dynamic scale economies. Journal of Development Economics 27: 41–55. [Google Scholar] [CrossRef]
- Lanne, Markku, Helmut Lütkepohl, and Katarzyna Maciejowska. 2010. Structural vector autoregressions with Markov switching. Journal of Economic Dynamics and Control 34: 121–31. [Google Scholar] [CrossRef]
- Lebari, Tuaneh, and Essi Didi. 2021. Markov-Switching Vector Autoregressive Modelling (Intercept Adjusted); Application to International Trade andMacroeconomic Stability in Nigeria (2000M1–2019M6). Asian Journal of Probability and Statistics 12: 41–57. [Google Scholar] [CrossRef]
- Masoudi, Maryam, Majid Masoudi, and Morteza Namdar. 2023. Application of Discrete Wavelet Transform in Investigating the Relationship between Inflation and Exchange Rate in the Iranian Economy. BioGecko 12: 252–60. [Google Scholar]
- Mirza, Nawazish Bushra Naqvi, Syed Kumail Abbas Rizvi, and Sabri Boubaker. 2023. Exchange rate pass-through and inflation targeting regime under energy prices shocks. Energy Economics 124: 106761. [Google Scholar] [CrossRef]
- Monbet, Valérie, and Pierre Ailliot. 2017. Sparse vector Markov switching autoregressive models. Application to multivariate time series of temperature. Computational Statistics & Data Analysis 108: 40–51. [Google Scholar]
- Ndou, Eliphas. 2022. The exchange rate passthrough to consumer price inflation in South Africa: Has the inflation target band induced a structural change in the size of passthrough? SN Business & Economics 2: 51. [Google Scholar]
- Nguyen Hong, Nga, Loan Vo Thi Kim, An Pham Hoang, and Cuong Tran Quoc Khanh. 2022. Understanding exchange rate pass-through in Vietnam. Cogent Economics & Finance 10: 2139916. [Google Scholar]
- Olamide, Ebenezer, Kanayo Ogujiuba, and Andrew Maredza. 2022. Exchange rate volatility, inflation and economic growth in developing countries: Panel data approach for SADC. Economies 10: 67. [Google Scholar] [CrossRef]
- Ozdogan, Zeliha. 2022. An Analysis of Exchange Rate Pass-Through to Domestic Prices: Evidence from Turkey. Eurasian Journal of Business and Economics 15: 67–86. [Google Scholar] [CrossRef]
- Özyurt, Selin. 2016. Has the Exchange Ratevpass through Recently Declined in the Euro Area? Working Paper Series, No 1955. Frankfurt: ECB. [Google Scholar]
- Papadamou, Stephanos, and Thomas Markopoulos. 2018. Interest rate pass through in a Markov-switching Vector Autoregression model: Evidence from Greek retail bank interest rates. The Journal of Economic Asymmetries 17: 48–60. [Google Scholar] [CrossRef]
- Peer, Arshid Hussain, and Mirza Allim Baig. 2023. Inflation targeting and exchange rate pass-through in India: Lessons from international experience. Theoretical & Applied Economics XXX: 239–54. [Google Scholar]
- Pham, The Anh, Hoang Huy Nguyen, Dinh Ngoc Nguyen, and Linh Manh Vu. 2022. Exchange rate pass-through and its heterogeneity under the pegged regime: A case of Vietnam. Journal of the Asia Pacific Economy 29: 612–33. [Google Scholar] [CrossRef]
- Sari, Yollit Permata Isra Yeni, Urmatul Uska Akbar, and Ali Anis. 2023. Exchange Rate Pass through during the Covid-19 Pandemic in Indonesia. In Proceedings of the Ninth Padang International Conference on Economics Education, Economics, Business and Management, Accounting and Entrepreneurship (Padang International Conference on Economics Education, Economics, Business and Management, Accounting and Entrepreneurship PICEEBA 2022). Amsterdam: Atlantis Press, pp. 141–47. [Google Scholar]
- Shahrestani, Parnia, and Meysam Rafei. 2020. The impact of oil price shocks on Tehran Stock Exchange returns: Application of the Markov switching vector autoregressive models. Resources Policy 65: 101579. [Google Scholar] [CrossRef]
- Shambaugh, Jay. 2008. A new look at pass-through. Journal of International Money and Finance 27: 560–91. [Google Scholar] [CrossRef]
- Sheferaw, Henok Ezezew, and Kalid Wendimnew Sitotaw. 2023. Empirical investigation of exchange rate transmission into general inflation level in Ethiopia–SVAR approach. Cogent Business & Management 10: 2243662. [Google Scholar]
- Solórzano, Diego. 2023. Heterogeneous exchange rate pass-through in Mexico: What drives it? Latin American Journal of Central Banking 4: 100100. [Google Scholar] [CrossRef]
- Thornton, Daniel. 2014. Monetary policy: Why money matters (and interest rates don’t). Journal of Macroeconomics 40: 202–13. [Google Scholar] [CrossRef]
- Tiamiyu, Kehinde. 2022. Exchange Rate Pass-Through to Inflation: Symmetric and Asymmetric Effects of Monetary Environment in Nigeria. Munich Personal RePEc Archive, pp. 1–16. Available online: https://mpra.ub.uni-muenchen.de/113223/ (accessed on 20 May 2024).
- Valogo, Matthew Kwabena, Emmanuel Duodu, Hadrat Yusif, and Samuel Tawiah Baidoo. 2023. Effect of exchange rate on inflation in the inflation targeting framework: Is the threshold level relevant? Research in Globalization 6: 100119. [Google Scholar] [CrossRef]
- Végh, Carlos. 2001. Monetary Policy, Interest Rate Rules, and Inflation Targeting: Some Basic Equivalences. NBER Working Paper, No. 8684. Cambridge: National Bureau of Economic Research. [Google Scholar]
- Wai, Seuk, Mohd Tahir Ismail, and Siok Kun Sek. 2013. A Study of intercept adjusted Markov switching vector autoregressive model in economic time series data. Information Management and Business Review 5: 379–84. [Google Scholar] [CrossRef]







| R-EAI | R-UKI | R-CAI | R-EUR | R-GBP | R-CAD | |
| Mean | 0.0081 | 0.0052 | 0.0084 | 0.0004 | 0.0011 | −0.0005 |
| Minimum | −6.9077 | −0.8782 | −2.1972 | −0.0618 | −0.0598 | −0.0600 |
| Maximum | 8.0063 | 0.6951 | 2.3025 | 0.0779 | 0.0954 | 0.1129 |
| Student | 0.1430 | 0.5030 | 0.3424 | 0.3490 | 0.9112 | −0.5148 |
| ADF | −6.2521 | −5.0730 | −6.2835 | 6.0782 | −6.6741 | −6.3452 |
| KPSS | 0.0394 | 0.1351 | 0.0411 | 0.1361 | 0.0989 | 0.2309 |
| R-EAI | R-UKI | R-CAI | R-EUR | R-GBP | R-CAD | |
| skewness | 1.1646 | −0.3301 | −0.4926 | 0.0065 | 0.5788 | 0.5849 |
| kurtosis | 51.9555 | 6.8660 | 12.1508 | 3.4763 | 4.9235 | 7.6080 |
| J.B test ) | <2.2 × 10−16 | <2.2 × 10−16 | <2.2 × 10−16 | 0.2633 | 1.38 × 10−13 | <2.2 × 10−16 |
| R-EAI | R-UKI | R-CAI | R-EUR | R-GBP | R-CAD | |
| Q(20) | 132.04 | 44.925 | 43.732 | 48.776 | 37.966 | 43.732 |
| <2.2 × 10−16 | 0.0011 | 0.0016 | 0.0003 | 0.0089 | 0.0016 |
| REAI | RUKI | RCAI | REUR | RGBP | RCAD | |
| Q2(20) | 174.96 | 154.85 | 88.77 | 49.723 | 42.362 | 88.77 |
| <2.2 × 10−16 | <2.2 × 10−16 | 1.215 × 10−10 | 0.0002 | 0.0024 | 1.215 × 10−10 |
| REAI | RUKI | RCAI | REUR | RGBP | RCAD | |
| LM statistic | 88.4793 | 14.9185 | 44.0564 | 3.8587 | 16.1984 | 0.9107 |
| 0 | 0.0001 | 1.6577 × 10−10 | 0.0502 | 7.3536 × 10−5 | 0.3407 |
| AIC | BIC | |
| P = 1 | −7.9382 | −7.8595 |
| P = 2 | −8.2331 | −8.1019 |
| P = 3 | −8.2254 | −8.0417 |
| P = 4 | −8.2191 | −7.9829 |
| P = 5 | −8.2327 | −7.9451 |
| P = 6 | −8.2118 | −7.8707 |
| 0.02 (0.00) | 0.0007 (0.62) | |
| −0.96 (0.00) | −0.0005 (0.5) | |
| −0.96 (0.00) | −0.0006 (0.7) | |
| 0.47 (0.4) | 0.34 (0.00) | |
| 0.41 (0.5) | −0.11 (0.1) |
| 0.02 (0.8) | 0.00 (0.8) | |
| 0.07 (0.57) | −0.004 (0.7) | |
| 0.10 (0.33) | −0.002 (0.9) | |
| −0.35 (0.9) | 0.26 (0.03) | |
| −0.66 (0.8) | 0.14 (0.2) |
| 0.1496 | 0.8611 | |
| 0.8042 | 0.4484 |
| AIC | BIC | |
| P = 1 | −11.2228 | −11.1441 |
| P = 2 | −11.2199 | −11.0887 |
| P = 3 | −11.2450 | −11.0614 |
| P = 4 | −11.2282 | −10.9921 |
| P = 5 | −11.2285 | −10.9399 |
| P = 6 | −11.2152 | −10.8742 |
| 0.0045 (0.5) | 0.0011 (0.5) | |
| −0.03 (0.7) | 0.0031 (0.8) | |
| 0.15 (0.06) | 0.002 (0.8) | |
| 0.24 (0.0) | 0.01 (0.7) | |
| −0.61 (0.07) | 0.26 (0.0) | |
| 0.50 (0.17) | −0.01 (0.8) | |
| −0.61 (0.08) | 0.2 (0.02) |
| −0.01 (0.6) | −0.002 (0.4) | |
| 0.08 (0.4) | −0.0016 (0.8) | |
| −0.10 (0.3) | 0.02 (0.01) | |
| 0.15 (0.19) | 0.01 (0.3) | |
| 1.09 (0.5) | 0.27 (0.03) | |
| −0.25 (0.8) | −0.03 (0.7) | |
| 0.51 (0.7) | −0.17 (0.1) |
| F-Statistic | p-Value | |
| 0.521 | 0.594 | |
| 2.455 | 0.088 |
| AIC | BIC | |
| P = 1 | −9.7956 | −9.7159 |
| P = 2 | −9.8467 | −9.7166 |
| P = 3 | −9.8378 | −9.6542 |
| P = 4 | −9.8280 | −9.5919 |
| P = 5 | −9.8256 | −9.5371 |
| P = 6 | −9.8076 | −9.4665 |
| 0.02 (0.1) | −0.0009 (0.4) | |
| −0.11 (0.1) | 0.00086 (0.8) | |
| −0.17 (0.01) | −0.0036 (0.3) | |
| −0.29 (0.7) | 0.34 (0.00) | |
| 0.82 (0.3) | −0.2 (0.0) |
| 0.0014 (−) | 0.0001 (0.9) | |
| −0.23 (0.13) | −0.0002 (−) | |
| −0.33 (0.03) | 0.002 (0.6) | |
| −3.90 (0.4) | 0.27 (0.06) | |
| −5.37 (0.3) | 0.18 (0.13) |
| F-Statistic | p-Value | |
| 1.7544 | 0.1749 | |
| 0.2551 | 0.7750 |
Disclaimer/Publisher’s Note: The statements, opinions and data contained in all publications are solely those of the individual author(s) and contributor(s) and not of MDPI and/or the editor(s). MDPI and/or the editor(s) disclaim responsibility for any injury to people or property resulting from any ideas, methods, instructions or products referred to in the content. |
© 2024 by the authors. Licensee MDPI, Basel, Switzerland. This article is an open access article distributed under the terms and conditions of the Creative Commons Attribution (CC BY) license (https://creativecommons.org/licenses/by/4.0/).
Share and Cite
Boubaker, H.; Mouna, B.S.Z. Transmission of Inflation and Exchange Rate Effects: The Markov Switching Vector Autoregressive Methodology. J. Risk Financial Manag. 2024, 17, 221. https://doi.org/10.3390/jrfm17060221
Boubaker H, Mouna BSZ. Transmission of Inflation and Exchange Rate Effects: The Markov Switching Vector Autoregressive Methodology. Journal of Risk and Financial Management. 2024; 17(6):221. https://doi.org/10.3390/jrfm17060221
Chicago/Turabian StyleBoubaker, Heni, and Ben Saad Zorgati Mouna. 2024. "Transmission of Inflation and Exchange Rate Effects: The Markov Switching Vector Autoregressive Methodology" Journal of Risk and Financial Management 17, no. 6: 221. https://doi.org/10.3390/jrfm17060221
APA StyleBoubaker, H., & Mouna, B. S. Z. (2024). Transmission of Inflation and Exchange Rate Effects: The Markov Switching Vector Autoregressive Methodology. Journal of Risk and Financial Management, 17(6), 221. https://doi.org/10.3390/jrfm17060221
