Predictors of Surgical Complications and Survival in Pediatric Wilms’ Tumor: A 20-Year Retrospective Study from Two Thai Centers
Simple Summary
Abstract
1. Introduction
2. Materials and Methods
2.1. Study Design and Setting
2.2. Patient Eligibility
2.3. Data Collection
2.4. Outcome Measures
- Incidence and types of postoperative complications, both short-term (less than 30 days) and long-term (more than 30 days).
- Indicators of complications based on preoperative clinical, laboratory, and tumor-related factors.
- Overall survival (OS) and progress-free survival (PFS) are defined as the time from diagnosis to death from any cause and to the first occurrence of relapse, progression, new metastasis, or death, respectively.
2.5. Statistical Analysis
3. Results
3.1. Patient Characteristics
3.2. Tumor Characteristics
3.3. Operations and Postoperative Follow-Up
3.4. Short-Term and Long-Term Postoperative Complications
3.5. Correlation Between Complications and Surgery-Related Factors
3.6. Patient Factors
3.7. Operative Factors
3.8. Tumor Factors
3.9. Survival Outcomes
4. Discussion
Supplementary Materials
Author Contributions
Funding
Institutional Review Board Statement
Informed Consent Statement
Data Availability Statement
Conflicts of Interest
References
- Neagu, M.C.; David, V.L.; Iacob, E.R.; Chiriac, S.D.; Muntean, F.L.; Boia, E.S. Wilms’ Tumor: A Review of Clinical Characteristics, Treatment Advances, and Research Opportunities. Medicina 2025, 61, 491. [Google Scholar] [CrossRef] [PubMed]
- Smith, V.; Wahba, A.; Chintagumpala, M.; Mahajan, P. A Review of Wilms Tumor. Pediatr. Rev. 2025, 46, 206–212. [Google Scholar] [CrossRef] [PubMed]
- Ali, A.N.; Diaz, R.; Shu, H.K.; Paulino, A.C.; Esiashvili, N. A Surveillance, Epidemiology and End Results (SEER) program comparison of adult and pediatric Wilms’ tumor. Cancer 2012, 118, 2541–2551. [Google Scholar] [CrossRef] [PubMed]
- Chiang, M.R.; Kuo, C.W.; Wang, W.C.; Hou, T.C.; Kuo, C.Y.; Lu, M.Y.; Lai, Y.-C. Correlations between Histological and Array Comparative Genomic Hybridization Characterizations of Wilms Tumor. Pathol. Oncol. Res. 2019, 25, 1199–1206. [Google Scholar] [CrossRef] [PubMed]
- Royer-Pokora, B. Genetics of pediatric renal tumors. Pediatr. Nephrol. 2013, 28, 13–23. [Google Scholar] [CrossRef] [PubMed]
- de Aguirre-Neto, J.C.; de Camargo, B.; van Tinteren, H.; Bergeron, C.; Brok, J.; Ramirez-Villar, G.; Verschuur, A.; Furtwangler, R.; Howell, L.; Saunders, D.; et al. International Comparisons of Clinical Demographics and Outcomes in the International Society of Pediatric Oncology Wilms Tumor 2001 Trial and Study. JCO Glob. Oncol. 2022, 8, e2100425. [Google Scholar] [CrossRef] [PubMed]
- Al-Jumaily, U.; Habeeb Rjeib, H.D.; Alqanbar, M.F.; Faraj, S.; Al-Khateeb, D.A. Improved outcomes of children with Wilms’ tumor in a low-middle-income nation: The contribution of a pediatric oncologist to successful management. Asian J. Urol. 2025, 12, 93–99. [Google Scholar] [CrossRef] [PubMed]
- Kumar, G.R.; Shah, A.C.; Murali, A.; Krishnamurthy, S.S.; Radhakrishnan, V.; Raja, A. Surgical practices and oncological outcomes of Wilms tumor in a resource limited setting: A risk-adapted approach. Pediatr. Surg. Int. 2025, 41, 105. [Google Scholar] [CrossRef] [PubMed]
- Choochuen, P.; Nokchan, N.; Khongcharoen, N.; Laochareonsuk, W.; Surachat, K.; Chotsampancharoen, T.; Sila, T.; Sangkhathat, S. Discovery of Novel Potential Prognostic Markers and Targeted Therapy to Overcome Chemotherapy Resistance in an Advanced-Stage Wilms Tumor. Cancers 2024, 16, 1567. [Google Scholar] [CrossRef] [PubMed]
- Kritsaneepaiboon, S.; Rukkito, T.; Tanaanantarak, P.; Sripornsawan, P.; Sangkhathat, S.; Yudhasompop, N.; Cholsin, R.; Vichitkunakorn, P. CT Image Parameters for Predicting Surgical Risk and Outcome in Wilms Tumor. Cureus 2024, 16, e73613. [Google Scholar] [CrossRef] [PubMed]
- Rahiman, E.A.; Trehan, A.; Jain, R.; Menon, P.; Kakkar, N.; Srinivasan, R.; Sodhi, K.S.; Saxena, A.K.; Kapoor, R.; Bansal, D. A higher tumor volume and undernutrition at diagnosis adversely affect the survival of children with Wilms tumor: A study of 200 patients. Pediatr. Blood Cancer 2022, 69, e29880. [Google Scholar] [CrossRef] [PubMed]
- Holmes, D.M.; Matatiyo, A.; Mpasa, A.; Huibers, M.H.W.; Manda, G.; Tomoka, T.; Mulenga, M.; Namazzi, R.; Mehta, P.; Zobeck, M.; et al. Outcomes of Wilms tumor therapy in Lilongwe, Malawi, 2016–2021: Successes and ongoing research priorities. Pediatr. Blood Cancer 2023, 70, e30242. [Google Scholar] [CrossRef] [PubMed]
- Thai Pediatric Oncology Group; Thai Society of Hematology; Office NHS. National Protocol for the Treatment of Childhood Cancers 2016; M Print Corporation: Bangkok, Thailand, 2016. [Google Scholar]
- Wang, J.; Li, M.; Tang, D.; Gu, W.; Mao, J.; Shu, Q. Current treatment for Wilms tumor: COG and SIOP standards. World J. Pediatr. Surg. 2019, 2, e000038. [Google Scholar] [CrossRef]
- Sangkhathat, S.; Chotsampancharaen, T.; Kayasut, K.; Patrapinyokul, S.; Chiengkriwate, P.; Kitichet, R.; Maipang, M. Outcomes of pediatric nephroblastoma in southern Thailand. Asian Pac. J. Cancer Prev. 2008, 9, 643–647. [Google Scholar] [PubMed]
- Barber, T.D.; Derinkuyu, B.E.; Wickiser, J.; Joglar, J.; Koral, K.; Baker, L.A. Wilms tumor: Preoperative risk factors identified for intraoperative tumor spill. J. Urol. 2011, 185, 1414–1418. [Google Scholar] [CrossRef] [PubMed]
- Lifson, L.F.; Hadley, G.P.; Wiles, N.L.; Pillay, K. Nutritional status of children with Wilms’ tumour on admission to a South African hospital and its influence on outcome. Pediatr. Blood Cancer 2017, 64, e26382. [Google Scholar] [CrossRef] [PubMed]
- Israels, T.; Moreira, C.; Scanlan, T.; Molyneux, L.; Kampondeni, S.; Hesseling, P.; Heij, H.; Borgstein, E.; Vujanic, G.; Pritchard-Jones, K.; et al. SIOP PODC: Clinical guidelines for the management of children with Wilms tumour in a low income setting. Pediatr. Blood Cancer 2013, 60, 5–11. [Google Scholar] [CrossRef] [PubMed]
- Pilkington, M.; Brindle, M.E.; Philipo, G.S. Creation of an Enhanced Recovery After Surgery Protocol for Children with Wilms Tumours in Low- and Middle-Income Countries. J. Pediatr. Surg. Open 2023, 4, 100070. [Google Scholar] [CrossRef]

| Variable | Primary Nephrectomy (n = 59) | Neoadjuvant Chemo (n = 24) | Total (n = 83) | p-Value |
|---|---|---|---|---|
| Demographics | ||||
| Age at surgery (days) | 1008.5 ± 693.9 | 846.2 ± 594.5 | 961.0 ± 667.3 | 0.318 |
| Male sex | 30 (50.8) | 14 (58.3) | 44 (53.0) | 0.536 |
| Body weight (kg) | 12.66 ± 4.10 | 11.45 ± 3.82 | 12.31 ± 4.03 | 0.217 |
| Clinical Presentation | ||||
| Abdominal mass | 38 (64.4) | 17 (70.8) | 55 (66.3) | 0.575 |
| Hypertension | 28 (47.5) | 18 (75.0) | 46 (55.4) | 0.022 |
| Associated Anomalies | ||||
| WAGR syndrome | 7 (11.9) | 1 (4.2) | 8 (9.6) | 0.281 |
| Horseshoe kidney | 3 (100.0) | 0 (0.0) | 3 (3.6) | 0.260 |
| Preoperative Lab Values | ||||
| Hemoglobin (g/dL) | 10.36 ± 1.81 | 10.69 ± 1.68 | 10.46 ± 1.77 | 0.447 |
| WBC (×103/μL) | 12.39 ± 4.33 | 10.01 ± 2.67 | 11.70 ± 4.05 | 0.015 |
| ANC (×103/μL) | 6.68 ± 4.04 | 4.00 ± 2.15 | 5.91 ± 3.78 | 0.003 |
| Serum albumin (g/dL) | 3.98 ± 0.52 | 4.07 ± 0.52 | 4.01 ± 0.52 | 0.490 |
| Creatinine (mg/dL) | 0.40 ± 0.15 | 0.31 ± 0.12 | 0.38 ± 0.15 | 0.012 |
| Postoperative surgical staging | ||||
| Stage I | 12 (20.34) | 1 (4.17) | 13 (15.66) | 0.004α |
| Stage II | 16 (27.12) | 5 (20.83) | 21 (25.30) | |
| Stage III | 23 (38.98) | 11 (45.83) | 34 (40.96) | |
| Stage IV | 7 (11.86) | 1 (4.17) | 8 (9.64) | |
| Stage V | 1 (1.69) | 6 (25.00) | 7 (8.43) | |
| Variable | Primary Nephrectomy (n = 59) | Neoadjuvant Chemo (n = 24) | Total (n = 83) | p-Value |
|---|---|---|---|---|
| Operative Variables | ||||
| Operative time (min) | 290.5 ± 118.0 | 274.9 ± 65.3 | 286.0 ± 105.3 | 0.543 |
| Estimated blood loss (mL) | 140.9 ± 230.1 | 217.4 ± 506.0 | 163.0 ± 332.4 | 0.344 |
| Complete gross resection | 51 (86.4) | 21 (87.5) | 72 (86.8) | 0.897 |
| Laterality of primary tumor | ||||
| Left | 36 (61.62) | 10 (41.67) | 51 (61.45) | 0.002 α |
| Right | 22 (37.29) | 8 (33.33) | 32 (38.55) | |
| Bilateral | 1 (14.29) | 6 (25.00) | ||
| Tumor size (cm) | 9.84 (2.19) | 9.09 (3.64) | 9.62 (2.69) | 0.254 β |
| Tumor weight (gm) | 579.15 (295.67) | 599.63 (441.96) | 584.41 (336.02) | 0.821 β |
| Tumor volume (cm3) | 1029.68 (617.71) | 1057.87 (1131.762) | 1037.83 (864.61) | 0.884 β |
| Local invasion | ||||
| Renal capsule | 22 (37.29) | 2 (8.33) | 24 (28.92) | 0.008α |
| Renal sinus | 16 (27.12) | 2 (8.33) | 18 (21.69) | 0.060 α |
| Renal vein | 7 (11.86) | 1 (4.17) | 8 (9.64) | 0.281 α |
| Gerota’s fascia | 5 (8.47) | 0 (0) | 5 (6.02) | 0.141 α |
| Adjacent organs | 4 (6.78) | 0 (0) | 4 (4.82) | 0.191 α |
| Site of distant metastasis | ||||
| Lung | 6 (10.17) | 0 (0) | 6 (7.23) | 0.105 α |
| Liver | 1 (1.69) | 0 (0) | 1 (1.20) | 0.521 α |
| Bone | 1 (1.69) | 1 (4.17) | 2 (2.41) | 0.506 α |
| Tumor rupture | 7 (12.28) | 2 (8.33) | 9 (11.11) | 0.606 α |
| Tumor thrombus | 4 (7.02) | 3 (14.29) | 7 (8.97) | 0.319 α |
| Paraaortic lymph node | ||||
| Negative | 50 (84.75) | 23 (95.83) | 73 (87.95) | 0.159 α |
| Positive | 9 (15.25) | 1 (4.17) | 10 (12.05) | |
| Ascites | 7 (12.50) | 0 (0) | 7 (8.75) | 0.070 α |
| Histologic margin status | ||||
| Negative | 53 (89.83) | 23 (95.83) | 76 (91.57) | 0.372 α |
| Positive | 6 (10.17) | 1 (4.17) | 7 (8.43) | |
| Histologic subtype | ||||
| Favorable histology | 52 (88.14) | 21 (87.50) | 73 (87.95) | 0.936 α |
| Unfavorable histology | 7 (11.86) | 3 (12.50) | 10 (12.05) | |
| SIOP histopathological risk | ||||
| Low risk | 0 (0) | 4 (16.66) | 4 (4.82) | 0.003 |
| Intermediate risk | 52 (88.14) | 13 (54.17) | 65 (78.31) | |
| High risk | 7 (11.86) | 7 (29.17) | 14 (16.87) | |
| Lymphovascular invasion | 27 (45.76) | 8 (33.33) | 35 (42.17) | 0.299 α |
| Variable | Primary Nephrectomy (n = 59) | Neoadjuvant Chemo (n = 24) | Total (n = 83) | p-Value |
|---|---|---|---|---|
| Time to initial feeding (days) | 2.25 (1.22) | 2.70 (2.01) | 2.38 (1.49) | 0.212 β |
| Time to full feeding (days) | 4.06 (3.16) | 3.87 (2.23) | 4.01 (2.91) | 0.786 β |
| Length of hospital stay (days) | 16.13 (12.91) | 12.75 (9.52) | 15.15 (12.07) | 0.249 β |
| Post-op adjuvant therapy | ||||
| Chemotherapy | 59 (100) | 24 (100) | 83 (100) | - |
| Radiotherapy | 28 (47.46) | 18 (75.00) | 46 (55.42) | 0.022α |
| Short-term complications | ||||
| Vascular injury | 2 (3.39) | 0 (0) | 2 (2.41) | 0.361 α |
| Intraabdominal hemorrhage | 1 (1.69) | 0 (0) | 1 (1.20) | 0.521 α |
| Diaphragm injury | 3 (5.08) | 1 (4.17) | 4 (4.82) | 0.859 α |
| Chyle leakage | 1 (1.69) | 1 (4.17) | 2 (2.41) | 0.506 α |
| Pneumonia | 2 (3.39) | 1 (4.17) | 3 (3.61) | 0.864 α |
| Urinary tract infection | 0 (0) | 2 (8.33) | 2 (2.41) | 0.025α |
| Sepsis | 1 (1.69) | 4 (16.67) | 5 (6.02) | 0.009α |
| Long-term complications | ||||
| Bowel obstruction | 6 (10.17) | 2 (4.17) | 7 (8.43) | 0.372 α |
| Incisional hernia | 0 (0) | 1 (4.17) | 1 (1.20) | 0.115 α |
| Chronic kidney disease | 2 (3.39) | 2 (8.33) | 4 (4.82) | 0.340 α |
| Disease status | ||||
| Progress-free | 48 (81.36) | 15 (62.50) | 63 (75.90) | 0.069 α |
| Recurrence | 11 (18.64) | 9 (37.50) | 20 (24.10) | |
| Patient status | ||||
| Alive | 51 (86.44) | 18 (75.00) | 69 (83.13) | 0.207 α |
| Death | 8 (13.56) | 6 (25.00) | 14 (16.87) |
| Factors | Adjusted Odds Ratio | 95% Confidence Interval | p-Value |
|---|---|---|---|
| Short-term complications | |||
| EBL more than 5 mL/kg | 54.131 | 2.190–1337.828 | 0.015 |
| Serum albumin less than 3.5 g/dL | 46.961 | 2.921–754.770 | 0.007 |
| Serum hemoglobin less than 10 mg/dL | 21.204 | 1.338–335.922 | 0.030 |
| Patient with associated anomalies | 17.312 | 1.096–273.433 | 0.043 |
| Specimen weight | 1.004 | 1.001–1.007 | 0.020 |
| Long-term complications | |||
| Patient presented with hypertension | 18.706 | 1.717–191.164 | 0.018 |
| Serum albumin less than 3.5 g/dL | 7.417 | 1.1629–34.929 | 0.030 |
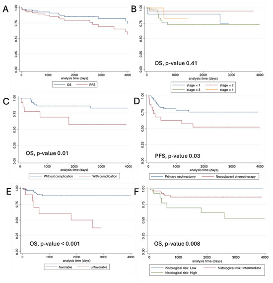
| Factors | n (%) | 5-Year OS (%) | Log-Rank p-Value | 5-Year PFS (%) | Log-Rank p-Value |
|---|---|---|---|---|---|
| All | 83 (100) | 82.43 | 68.08 | ||
| Tumor stage | 0.41 | 0.09 | |||
| - Stage I | 13 (15.66) | 90.00 | 67.50 | ||
| - Stage II | 21 (25.30) | 95.00 | 89.06 | ||
| - Stage III | 34 (40.96) | 73.26 | 56.80 | ||
| - Stage IV | 8 (9.64) | 83.33 | 85.71 | ||
| - Stage V (Bilateral) | 7 (8.43) | 75.00 | 28.57 | ||
| Treatment protocol | 0.24 | 0.03 | |||
| Primary nephrectomy | 59 (71.00) | 85.86 | 75.18 | ||
| Neoadjuvant chemotherapy | 24 (28.92) | 74.75 | 51.93 | ||
| Tumor size | |||||
| Radiological size | 0.98 | 0.91 | |||
| Radiological size < 10 cm | 44 (53.01) | 79.03 | 68.85 | ||
| Radiological size > 10 cm | 39 (46.99) | 85.78 | 67.12 | ||
| Pathological size | 0.73 | 0.79 | |||
| Pathological size < 10 cm | 46 (55.42) | 82.55 | 68.31 | ||
| Pathological size > 10 cm | 37 (44.58) | 82.64 | 67.37 | ||
| Histologic subtype | <0.0001 | 0.005 | |||
| Favorable histology | 73 (87.95) | 88.45 | 75.30 | ||
| Unfavorable histology | 10 (12.05) | 50.00 | 30.00 | ||
| SIOP histopathology risk | 0.008 | 0.037 | |||
| Low risk | 5 (6.02) | 100.0 | 75.00 | ||
| Intermediate risk | 64 (77.11) | 86.89 | 75.81 | ||
| High risk | 14 (16.87) | 61.90 | 39.29 | ||
| Histologic margin | 0.53 | 0.92 | |||
| Negative | 76 (91.57) | 83.88 | 68.07 | ||
| Positive | 7 (8.43) | 68.57 | 71.43 | ||
| Short-term complication | 0.01 | 0.15 | |||
| Absent | 69 (83.13) | 87.43 | 71.17 | ||
| Present | 14 (16.87) | 58.20 | 51.43 | ||
| Long-term complication | 0.55 | 0.95 | |||
| Absent | 71 (85.54) | 80.57 | 68.67 | ||
| Present | 12 (14.46) | 90.91 | 64.81 |
Disclaimer/Publisher’s Note: The statements, opinions and data contained in all publications are solely those of the individual author(s) and contributor(s) and not of MDPI and/or the editor(s). MDPI and/or the editor(s) disclaim responsibility for any injury to people or property resulting from any ideas, methods, instructions or products referred to in the content. |
© 2025 by the authors. Licensee MDPI, Basel, Switzerland. This article is an open access article distributed under the terms and conditions of the Creative Commons Attribution (CC BY) license (https://creativecommons.org/licenses/by/4.0/).
Share and Cite
Laochareonsuk, W.; Laohapansang, M.; Ngerncham, M.; Sangkhathat, S. Predictors of Surgical Complications and Survival in Pediatric Wilms’ Tumor: A 20-Year Retrospective Study from Two Thai Centers. Curr. Oncol. 2025, 32, 413. https://doi.org/10.3390/curroncol32080413
Laochareonsuk W, Laohapansang M, Ngerncham M, Sangkhathat S. Predictors of Surgical Complications and Survival in Pediatric Wilms’ Tumor: A 20-Year Retrospective Study from Two Thai Centers. Current Oncology. 2025; 32(8):413. https://doi.org/10.3390/curroncol32080413
Chicago/Turabian StyleLaochareonsuk, Wison, Mongkol Laohapansang, Monawat Ngerncham, and Surasak Sangkhathat. 2025. "Predictors of Surgical Complications and Survival in Pediatric Wilms’ Tumor: A 20-Year Retrospective Study from Two Thai Centers" Current Oncology 32, no. 8: 413. https://doi.org/10.3390/curroncol32080413
APA StyleLaochareonsuk, W., Laohapansang, M., Ngerncham, M., & Sangkhathat, S. (2025). Predictors of Surgical Complications and Survival in Pediatric Wilms’ Tumor: A 20-Year Retrospective Study from Two Thai Centers. Current Oncology, 32(8), 413. https://doi.org/10.3390/curroncol32080413

