Agreement Between Consumer and Research-Grade Physical Activity Monitors in a Public Health Intervention for Adolescent Latinas
Abstract
1. Introduction
2. Materials and Methods
2.1. Study Design and Participants
2.2. Measures
2.2.1. Demographics
2.2.2. Measures of Physical Activity
2.3. Data Processing and Alignment
2.4. Statistical Analyses
2.4.1. Minute-Level Agreement (Objective PA)
2.4.2. Day-Level Agreement (Objective PA)
3. Results
3.1. Descriptive Statistics
3.2. Minute-Level MVPA Classification
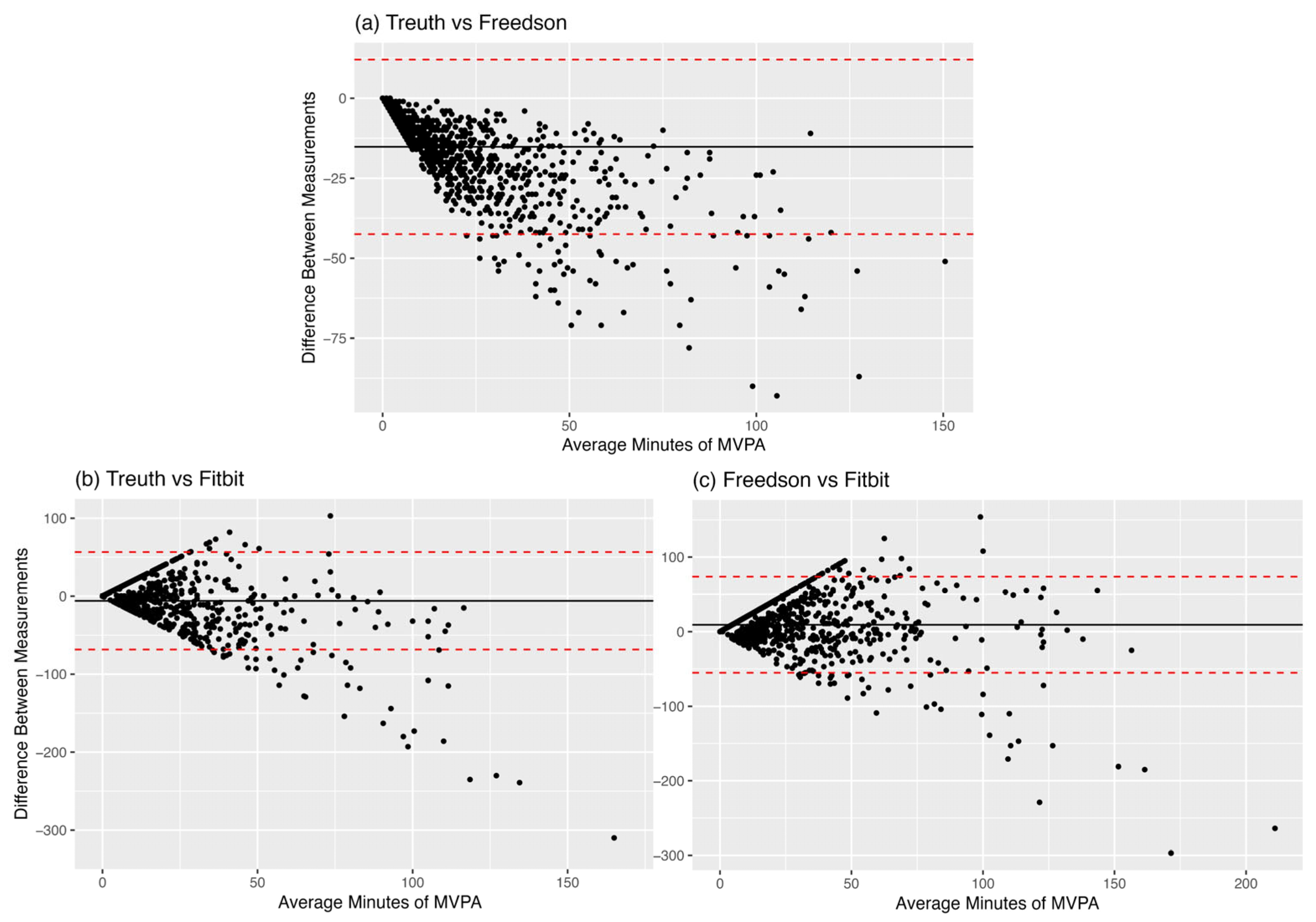
3.3. Day-Level Bland–Altman Analyses
3.3.1. Treuth vs. Freedson Cut Points
3.3.2. Treuth vs. Fitbit
3.3.3. Freedson vs. Fitbit
4. Discussion
4.1. Methodological Differences: Actigraph vs. Fitbit
4.2. Strengths and Limitations
5. Conclusions
Author Contributions
Funding
Institutional Review Board Statement
Informed Consent Statement
Data Availability Statement
Conflicts of Interest
Abbreviations
| PA | Physical Activity |
| MVPA | Moderate to Vigorous Physical Activity |
| CPM | Counts per minute |
References
- Wareham, N.J.; Rennie, K.L. The assessment of physical activity in individuals and populations: Why try to be more precise about how physical activity is assessed? Int. J. Obes. Relat. Metab. Disord. J. Int. Assoc. Study Obes. 1998, 22 (Suppl. 2), S30–S38. [Google Scholar]
- What’s the Difference Among the Cut Points Available in ActiLife? Available online: https://actigraphcorp.my.site.com/support/s/article/What-s-the-difference-among-the-Cut-Points-available-in-ActiLife (accessed on 7 May 2024).
- Kim, Y.; Beets, M.W.; Welk, G.J. Everything you wanted to know about selecting the “right” Actigraph accelerometer cut-points for youth, but…: A systematic review. J. Sci. Med. Sport 2012, 15, 311–321. [Google Scholar] [CrossRef]
- Whitt-Glover, M.C.; Taylor, W.C.; Floyd, M.F.; Yore, M.M.; Yancey, A.K.; Matthews, C.E. Disparities in physical activity and sedentary behaviors among US children and adolescents: Prevalence, correlates, and intervention implications. J. Public Health Policy 2009, 30 (Suppl. 1), S309–S334. [Google Scholar] [CrossRef]
- Fore, R.; Hart, J.E.; Choirat, C.; Thompson, J.W.; Lynch, K.; Laden, F.; Chavarro, J.E.; James, P. Embedding mobile health technology into the Nurses’ Health Study 3 to study behavioral risk factors for cancer. Cancer Epidemiol. Biomark. Prev. Publ. Am. Assoc. Cancer Res. Cosponsored Am. Soc. Prev. Oncol. 2020, 29, 736–743. [Google Scholar] [CrossRef]
- Feehan, L.M.; Geldman, J.; Sayre, E.C.; Park, C.; Ezzat, A.M.; Yoo, J.Y.; Hamilton, C.B.; Li, L.C. Accuracy of Fitbit Devices: Systematic Review and Narrative Syntheses of Quantitative Data. JMIR MHealth UHealth 2018, 6, e10527. [Google Scholar] [CrossRef]
- Brage, S.; Westgate, K.; Franks, P.W.; Stegle, O.; Wright, A.; Ekelund, U.; Wareham, N.J. Estimation of Free-Living Energy Expenditure by Heart Rate and Movement Sensing: A Doubly-Labelled Water Study. PLoS ONE 2015, 10, e0137206. [Google Scholar] [CrossRef]
- Brage, S.; Ekelund, U.; Brage, N.; Hennings, M.A.; Froberg, K.; Franks, P.W.; Wareham, N.J. Hierarchy of individual calibration levels for heart rate and accelerometry to measure physical activity. J. Appl. Physiol. 2007, 103, 682–692. [Google Scholar] [CrossRef]
- Godino, J.G.; Wing, D.; de Zambotti, M.; Baker, F.C.; Bagot, K.; Inkelis, S.; Pautz, C.; Higgins, M.; Nichols, J.; Brumback, T.; et al. Performance of a commercial multi-sensor wearable (Fitbit Charge HR) in measuring physical activity and sleep in healthy children. PLoS ONE 2020, 15, e0237719. [Google Scholar] [CrossRef] [PubMed]
- Kang, S.; Kim, Y.; Byun, W.; Suk, J.; Lee, J.-M. Comparison of a Wearable Tracker with Actigraph for Classifying Physical Activity Intensity and Heart Rate in Children. Int. J. Environ. Res. Public. Health 2019, 16, 2663. [Google Scholar] [CrossRef] [PubMed]
- Schmidt, M.D.; Rathbun, S.L.; Chu, Z.; Boudreaux, B.D.; Hahn, L.; Novotny, E.; Johnsen, K.; Ahn, S.J. (Grace) Agreement between Fitbit and ActiGraph Estimates of Physical Activity in Young Children. Meas. Phys. Educ. Exerc. Sci. 2023, 27, 171–180. [Google Scholar] [CrossRef]
- Schneider, M.; Chau, L. Validation of the Fitbit Zip for monitoring physical activity among free-living adolescents. BMC Res. Notes 2016, 9, 448. [Google Scholar] [CrossRef]
- Strong, W.B.; Malina, R.M.; Blimkie, C.J.R.; Daniels, S.R.; Dishman, R.K.; Gutin, B.; Hergenroeder, A.C.; Must, A.; Nixon, P.A.; Pivarnik, J.M.; et al. Evidence based physical activity for school-age youth. J. Pediatr. 2005, 146, 732–737. [Google Scholar] [CrossRef] [PubMed]
- Marcus, B.H.; Selby, V.C.; Niaura, R.S.; Rossi, J.S. Self-efficacy and the stages of exercise behavior change. Res. Q. Exerc. Sport 1992, 63, 60–66. [Google Scholar] [CrossRef] [PubMed]
- Larsen, B.; Greenstadt, E.; Olesen, B.; Osuna, L.; Godino, J.; Marcus, B.; Dunsiger, S.; Meyer, D.; Zive, M. A multiple technology-based physical activity intervention for Latina adolescents in the USA: Randomized controlled trial study protocol for Chicas Fuertes. Trials 2022, 23, 176. [Google Scholar] [CrossRef]
- Janz, K.F. Validation of the CSA accelerometer for assessing children’s physical activity. Med. Sci. Sports Exerc. 1994, 26, 369–375. [Google Scholar] [CrossRef]
- Melanson, E.L.; Freedson, P.S. Validity of the Computer Science and Applications, Inc. (CSA) activity monitor. Med. Sci. Sports Exerc. 1995, 27, 934–940. [Google Scholar] [CrossRef]
- Trost, S.G.; Pate, R.R.; Freedson, P.S.; Sallis, J.F.; Taylor, W.C. Using objective physical activity measures with youth: How many days of monitoring are needed? Med. Sci. Sports Exerc. 2000, 32, 426–431. [Google Scholar] [CrossRef]
- Choi, L.; Liu, Z.; Matthews, C.E.; Buchowski, M.S. Validation of Accelerometer Wear and Nonwear Time Classification Algorithm. Med. Sci. Sports Exerc. 2011, 43, 357. [Google Scholar] [CrossRef]
- Fitbit User Manuals—Fitbit Help Center. Available online: https://support.google.com/fitbit/answer/14253977?hl=en (accessed on 13 March 2024).
- Rodrigues, E.; Lima, D.; Barbosa, P.; Gonzaga, K.; Guerra, R.O.; Pimentel, M.; Barbosa, H.; Maciel, Á. HRV Monitoring Using Commercial Wearable Devices as a Health Indicator for Older Persons during the Pandemic. Sensors 2022, 22, 2001. [Google Scholar] [CrossRef]
- Polhemus, A.; Sieber, C.; Haag, C.; Sylvester, R.; Kool, J.; Gonzenbach, R.; Wyl, V. von Non-equivalent, but still valid: Establishing the construct validity of a consumer fitness tracker in persons with multiple sclerosis. PLoS Digit. Health 2023, 2, e0000171. [Google Scholar] [CrossRef]
- Fitabase—Research Device Data and Analytics. Available online: https://www.fitabase.com/ (accessed on 17 April 2024).
- Wing, D.; Godino, J.G.; Baker, F.C.; Yang, R.; Chevance, G.; Thompson, W.K.; Reuter, C.; Bartsch, H.; Wilbur, A.; Straub, L.K.; et al. Recommendations for Identifying Valid Wear for Consumer-Level Wrist-Worn Activity Trackers and Acceptability of Extended Device Deployment in Children. Sensors 2022, 22, 9189. [Google Scholar] [CrossRef]
- Brewer, W.; Swanson, B.T.; Ortiz, A. Validity of Fitbit’s active minutes as compared with a research-grade accelerometer and self-reported measures. BMJ Open Sport Exerc. Med. 2017, 3, e000254. [Google Scholar] [CrossRef]
- Hardcastle, S.J.; Jiménez-Castuera, R.; Maxwell-Smith, C.; Bulsara, M.K.; Hince, D. Fitbit wear-time and patterns of activity in cancer survivors throughout a physical activity intervention and follow-up: Exploratory analysis from a randomised controlled trial. PLoS ONE 2020, 15, e0240967. [Google Scholar] [CrossRef] [PubMed]
- EPARC—The Cutting Edge of Exercise Science. Calit2.net. Published 2016. Available online: https://eparc.calit2.net/ (accessed on 29 April 2024).
- Larsen, B.; Micucci, S.; Hartman, S.J.; Ramos, G. Feasibility and Acceptability of a Counseling- and mHealth-Based Physical Activity Intervention for Pregnant Women with Diabetes: The Fit for Two Pilot Study. JMIR MHealth UHealth 2020, 8, e18915. [Google Scholar] [CrossRef] [PubMed]
- Freedson, P.S.; Melanson, E.; Sirard, J. Calibration of the Computer Science and Applications, Inc. accelerometer. Med. Sci. Sports Exerc. 1998, 30, 777–781. [Google Scholar] [CrossRef] [PubMed]
- Treuth, M.S.; Schmitz, K.; Catellier, D.J.; McMurray, R.G.; Murray, D.M.; Almeida, M.J.; Going, S.; Norman, J.E.; Pate, R.R. Defining Accelerometer Thresholds for Activity Intensities in Adolescent Girls. Med. Sci. Sports Exerc. 2004, 36, 1259–1266. [Google Scholar]
- Gwet, K.L. Computing inter-rater reliability and its variance in the presence of high agreement. Br. J. Math. Stat. Psychol. 2008, 61, 29–48. [Google Scholar] [CrossRef]
- Watson, K.B.; Carlson, S.; Carroll, D.D.; Fulton, J. Comparison of Accelerometer Cut Points to Estimate Physical Activity in U.S. Adults. J. Sports Sci. 2014, 32, 660–669. [Google Scholar] [CrossRef]
- Sg, T.; Pd, L.; R, M.; Ka, P. Comparison of accelerometer cut points for predicting activity intensity in youth. Med. Sci. Sports Exerc. 2011, 43, 1360–1368. [Google Scholar] [CrossRef]
- Melzer, K.; Heydenreich, J.; Schutz, Y.; Renaud, A.; Kayser, B.; Mäder, U. Metabolic Equivalent in Adolescents, Active Adults and Pregnant Women. Nutrients 2016, 8, 438. [Google Scholar] [CrossRef]
- Fatisson, J.; Oswald, V.; Lalonde, F. Influence Diagram of Physiological and Environmental Factors Affecting Heart Rate Variability: An Extended Literature Overview. Heart Int. 2016, 11, e32–e40. [Google Scholar] [CrossRef]
- Best, O.; Ban, S. Adolescence: Physical changes and neurological development. Br. J. Nurs. 2021, 30, 272–275. [Google Scholar] [CrossRef]


| Characteristic | Category | n (%) or Mean (SD) |
|---|---|---|
| Age (years) | 15.7 (1.6) | |
| Race * | White | 71 (51.8%) |
| Black | 3 (2.2%) | |
| Asian | 4 (2.9%) | |
| American Indian or Alaskan Native | 7 (5.1%) | |
| Native Hawaiian or Pacific Islander | 0 (0%) | |
| Other | 60 (43.8%) | |
| Parent Education Level | Less than High School | 41 (29.9%) |
| High School Graduate or GED | 32 (23.4%) | |
| Some College or Associate’s Degree | 25 (18.2%) | |
| College graduate or Baccalaureate Degree | 20 (14.6%) | |
| Master’s Degree | 16 (11.7%) | |
| Professional/Vocational Degree | 0 (0.00%) | |
| Doctoral Degree | 3 (2.2%) | |
| Household Income | Less than $11,999 | 25 (18.2%) |
| $12,000 through $24,999 | 18 (13.1%) | |
| $35,000 through $49,999 | 40 (29.2%) | |
| $50,000 through $99,999 | 33 (24.1%) | |
| $100,000 or greater | 21 (15.3%) | |
| Generational Status | First Generation | 10 (7.3%) |
| Second Generation | 96 (70.1%) | |
| Third Generation | 31 (22.6%) | |
| Number of Children in the Home | 2.01 (1.18) | |
| Physical Activity Stage of Change | Pre-Contemplation | 4 (2.9%) |
| Contemplation | 19 (13.9%) | |
| Preparation | 113 (82.5%) | |
| Missing | 1 (0.7%) |
| Agreement Metric | Freedson vs. Treuth | Treuth vs. Fitbit | Freedson vs. Fitbit |
|---|---|---|---|
| Accuracy | 0.9824 | 0.9824 | 0.9567 |
| Balanced Accuracy | 0.7144 | 0.5043 | 0.5029 |
| Gwet’s AC1 | 0.9816 | 0.9730 | 0.9547 |
| Comparison | Bias | SD | LOA | Pearson | Mean-Difference Correlation | CCC | BCF |
|---|---|---|---|---|---|---|---|
| Treuth–Freedson | −14.72 | 13.67 | (−41.51, 12.07) | 0.90 | −0.75 | 0.66 | 0.73 |
| Treuth–Fitbit * | −0.50 | 25.93 | (−51.33, 50.33) | 0.31 | −0.44 | 0.28 | 0.90 |
| Freedson–Fitbit | 14.22 | 29.35 | (−43.30, 71.74) | 0.37 | −0.03 | 0.32 | 0.87 |
Disclaimer/Publisher’s Note: The statements, opinions and data contained in all publications are solely those of the individual author(s) and contributor(s) and not of MDPI and/or the editor(s). MDPI and/or the editor(s) disclaim responsibility for any injury to people or property resulting from any ideas, methods, instructions or products referred to in the content. |
© 2025 by the authors. Licensee MDPI, Basel, Switzerland. This article is an open access article distributed under the terms and conditions of the Creative Commons Attribution (CC BY) license (https://creativecommons.org/licenses/by/4.0/).
Share and Cite
Carson, J.; Wing, D.; Godino, J.G.; Higgins, M.; Larsen, B. Agreement Between Consumer and Research-Grade Physical Activity Monitors in a Public Health Intervention for Adolescent Latinas. Int. J. Environ. Res. Public Health 2025, 22, 1663. https://doi.org/10.3390/ijerph22111663
Carson J, Wing D, Godino JG, Higgins M, Larsen B. Agreement Between Consumer and Research-Grade Physical Activity Monitors in a Public Health Intervention for Adolescent Latinas. International Journal of Environmental Research and Public Health. 2025; 22(11):1663. https://doi.org/10.3390/ijerph22111663
Chicago/Turabian StyleCarson, Jacob, David Wing, Job G. Godino, Michael Higgins, and Britta Larsen. 2025. "Agreement Between Consumer and Research-Grade Physical Activity Monitors in a Public Health Intervention for Adolescent Latinas" International Journal of Environmental Research and Public Health 22, no. 11: 1663. https://doi.org/10.3390/ijerph22111663
APA StyleCarson, J., Wing, D., Godino, J. G., Higgins, M., & Larsen, B. (2025). Agreement Between Consumer and Research-Grade Physical Activity Monitors in a Public Health Intervention for Adolescent Latinas. International Journal of Environmental Research and Public Health, 22(11), 1663. https://doi.org/10.3390/ijerph22111663

