Assessment of Water Eutrophication at Bao’an Lake in the Middle Reaches of the Yangtze River Based on Multiple Methods
Abstract
1. Introduction
2. Materials and Methods
2.1. Study Area
2.2. Sampling Site Arrangement and Index Measurements
2.3. Data Processing and Evaluation Methods
2.3.1. TLI
2.3.2. Chromophoric Dissolved Organic Matter (CDOM) Absorption Coefficient Method
2.3.3. Phytoplankton Water Quality Biological Method
3. Results and Analysis
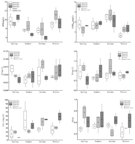
3.1. Current Status of Physical and Chemical Indicators of Lake Water Bodies
3.2. Comprehensive Trophic Level Index Assessment
3.3. CDOM Absorption Coefficient Assessment
3.4. Biological Assessment Based on Phytoplankton Water Quality
3.4.1. Assessment Based on Algae Cell Density
3.4.2. Phytoplankton Diversity Index Assessment
4. Discussion
4.1. Identification of Factors Influencing Water Eutrophication
4.2. Effects of Basin Land Utilization on Bao’an Lake Water Quality
4.3. Effects of Submerged Plant Distribution on the Water Quality of Bao’an Lake
4.4. Assessment of Phytoplankton Diversity and Water Quality
5. Conclusions
Supplementary Materials
Author Contributions
Funding
Data Availability Statement
Conflicts of Interest
References
- Qin, B.Q. Shallow lake limnology and control of eutrophication in Lake Taihu. J. Lake Sci. 2020, 32, 1229–1243, (In Chinese with English Abstract). [Google Scholar]
- Bhagowati, B.; Ahamad, K.U. A review on lake eutrophication dynamics and recent developments in lake modeling. Ecohydrol. Hydrobiol. 2019, 19, 155–166, (In Chinese with English Abstract). [Google Scholar] [CrossRef]
- Meng, W.; Yu, T.; Zheng, B.H.; Deng, Y.X.; Fu, G. Variation and influence factors of nitrogen and phosphorus transportation by the Yellow River. Acta Sci. Circum. 2007, 27, 2046–2051, (In Chinese with English Abstract). [Google Scholar]
- Yu, H.F.; Shi, X.H.; Sun, B.; Zhao, S.N.; Liu, Y.; Zhao, M.L. Analysis of water quality and eutrophication changes in Hulun Lake from 2011 to 2020. Arid Zone Res. 2021, 38, 1534–1545, (In Chinese with English Abstract). [Google Scholar]
- Ayele, H.S.; Atlabachew, M. Review of characterization, factors, impacts, and solutions of Lake eutrophication: Lesson for lake Tana, Ethiopia. Environ. Sci. Pollut. Res. 2021, 28, 14233–14252. [Google Scholar] [CrossRef] [PubMed]
- Zhao, Y.H.; Li, T.; Huang, B.; Feng, Y.L.; Lei, M.J.; Zhuo, H.H.; Wu, L.Y. Evolution characteristics and driving factors of water quality and eutrophication of typical lakes in the middle reaches of the Yangtze River from 2016 to 2020*. J. Lake Sci. 2022, 34, 1441–1451, (In Chinese with English Abstract). [Google Scholar]
- Paerl, H.W.; Havens, K.E.; Xu, H.; Zhu, G.W.; McCarthy, M.J.; Newell, S.E.; Scott, J.T.; Hall, N.S.; Otten, T.G.; Qin, B.Q. Mitigating eutrophication and toxic cyanobacterial blooms in large lakes: The evolution of a dual nutrient (N and P) reduction paradigm. Hydrobiologia 2020, 847, 4359–4375. [Google Scholar] [CrossRef]
- Wang, M.; Zhang, H.; Zeng, H.X.; Song, X.; Zhou, S.; Li, Y.Q. Research Progress on the Causes, Current Status and Remediation Technology of Water Eutrophication. J. Anhui Agric. Sci. 2022, 50, 1–6, (In Chinese with English Abstract). [Google Scholar]
- Li, Y.; Shang, J.; Zhang, C.; Zhang, W.L.; Niu, L.H.; Wang, L.F.; Zhang, H.J. The role of freshwater eutrophication in greenhouse gas emissions: A review. Sci. Total Environ. 2021, 768, 144582. [Google Scholar] [CrossRef]
- Yuan, H.Y.; Hou, L.; Liang, Q.B.; Li, J.C.; Ren, J. Correlation Between Microplastics Pollution and Eutrophication in the Near Shore Waters of Dianchi Lake. Environ. Sci. 2021, 42, 3166–3175, (In Chinese with English Abstract). [Google Scholar]
- Zhang, H.; Yang, X. Application of Comprehensive Eutrophication State Index Method in Evaluation of Chaohu Lake. Anhui Agri. Sci. Bull. 2018, 24, 84–87, (In Chinese with English Abstract). [Google Scholar]
- Carlson, R.E. A trophic state index for lakes 1. Limnol. Oceanogr. 1977, 22, 361–369. [Google Scholar]
- Li, Y.L.; Zheng, C.; Qiu, X.C.; Yin, L.; Yang, Z.C. Analysis and Evaluation of Water Quality and Eutrophication Status in Tenggeli Lake of Ningxia. Sci. Technol. Eng. 2019, 19, 309–315, (In Chinese with English Abstract). [Google Scholar]
- Meng, R.; He, L.S.; Guo, L.G.; Xi, B.D.; Li, Z.Q.; Shu, J.M.; Diao, X.J.; Li, B.C. Canonical Correspondence Analysis Between Phytoplankton Community and Environmental Factors in Macrophtic Lakes of the Middle and Lower Reaches of Yangtze River. Chin. J. Environ. Sci. 2013, 34, 2588–2596, (In Chinese with English Abstract). [Google Scholar]
- Zhang, M.; Zhang, T.; Gao, Z.Y.; Sun, H.L.; Liu, W.J. Pollution Characteristics and Risk Assessment of Heavy Metals and Organchlorine Pesticides in Fish of Baoan Lake. Asian J. Ecotoxicol. 2018, 13, 288–297, (In Chinese with English Abstract). [Google Scholar]
- Liu, M.M.; Qiao, R.T.; Liu, J.H.; Yu, Y.X.; Zhang, M.; Li, Y.; Wang, H.J. Spatial and temporal distribution and environmental effects of Potamogeton crispus population in Bao’an Lake. Acta Hydrobiol. Sin. 2022, 46, 1730–1740. [Google Scholar]
- Xie, Z.C.; Ma, K.; Ye, L.; Chen, J.; Cai, Q.H. Structure and Spacial Distributional Pattern of Macrozoobenthos in Bao’an Lake. Acta Hydrobiol. Sin. 2007, 31, 174–183, (In Chinese with English Abstract). [Google Scholar]
- Nanjing Institute of Geography & Limnology Chinese Academy of Sciences. Technical Regulations for Lake Surveys; Science Press: Beijing, China, 2015; pp. 58–80. (In Chinese) [Google Scholar]
- Editional Board of Water and Wastewater Monitoring and Analysis Methods, Ministry of Environmental Potection of the People’s Republic of China. Water and Wastewater Monitoring and Analysis Methods, 4th ed.; China Environmental Science Press: Beijing, China, 2002; pp. 105–610. (In Chinese)
- Jin, X.C.; Tu, Q.Y. Lake Eutrophication Survey Specification, 2nd ed.; China Environmental Science Press: Beijing, China, 1990. (In Chinese) [Google Scholar]
- Hu, H.J.; Wei, Y.X. Chinese Freshwater Algae-Systematic Classification and Ecology; Science Press: Beijing, China, 2006. (In Chinese) [Google Scholar]
- Wang, S.T.; Lei, J.S.; Jia, H.Y.; Yang, C.G. Characteristics of Phytoplankton Community and Eutrophication Evaluation of the Three Gorges Reservoir. Ecol. Environ. Monit. Three Gorges 2020, 5, 32–41, (In Chinese with English Abstract). [Google Scholar]
- Wu, J.; Jin, W.L.; Chen, K.L. Analysis of eutrophication characteristics and its main control factors of Lake Yangcheng. Environ. Prot. Sci. 2021, 47, 86–91, (In Chinese with English Abstract). [Google Scholar]
- Wang, X.; Zhang, Y.L.; Zhao, Q.H. On spectral absorption coefficients measure-ment methods of pure water, CDOM, total particulates, phytoplankton and nonalgal par-ticulates. J. Saf. Environ. 2007, 7, 97–102, (In Chinese with English Abstract). [Google Scholar]
- Chen, B.F.; Huang, W.; Ma, S.Z.; Feng, M.H.; Liu, C.; Gu, X.Z.; Chen, K.N. Characterization of Chromophoric Dissolved Organic Matter in the Littoral Zones of Eutrophic Lakes Taihu and Hongze during the Algal Bloom Season. Water 2018, 10, 861. [Google Scholar] [CrossRef]
- Cárdenas, C.S.; Gerea, M.; Garcia, P.E.; Pérez, G.L.; Diéguez, M.C.; Rapacioli, R.; Reissig, M.; Queimaliños, C. Interplay between climate and hydrogeomorphic features and their effect on the seasonal variation of dissolved organic matter in shallow temperate lakes of the Southern Andes (Patagonia, Argentina): A field study based on optical properties. Ecohydrology 2017, 10, 1872. [Google Scholar]
- Zhang, Y.L.; Shi, K.; Zhou, Y.Q.; Ma, R.H. Evaluation Method of Lake Eutrophication Based on Absorption Coefficient of Colored Soluble Organic Matter; Nanjing Institute of Geography & Limnology Chinese Academy of Sciences: Nanjing, China, 2019; pp. 12–20. (In Chinese) [Google Scholar]
- Dennis, O.; Emmanuel, M. Modification of shannon-wiener diversity index towards quantitative estimation of environmental wellness and biodiversity levels under a non-comparative Scenario. J. Environ. Earth Sci. 2019, 9, 46–57. [Google Scholar]
- Pielou, E.C. Ecological Diversity; John Wiley & Sons Inc: New York, NY, USA, 1975; pp. 4–49. [Google Scholar]
- Shannon, C.E.; Weaver, W. The Mathematical Theory of Communication; University of Illinois Press: Urbana, IL, USA, 1949; pp. 1–117. [Google Scholar]
- Yu, Y.X.; Li, Y.; Xiang, L.J.; Liu, M.S.; Zhao, E.M.; Guo, Y.M.; Wang, H.J. Phytoplankton Assemblage Characteristic and Its Indication on Water Quality in the Lower Reaches of the Hanjiang River. Environ. Monit. China 2022, 38, 124–135, (In Chinese with English Abstract). [Google Scholar]
- Qian, L.; Yan, Z.J.; Zhu, J.; Zhang, Q.Q.; Xu, W.L.; Liu, J. Phytoplankton community structure and the evaluation of water quality in receiving river of wastewater treatment plant effluents. Acta Sci. Circum. 2020, 40, 3287–3297, (In Chinese with English Abstract). [Google Scholar]
- Wang, J.L.; Fu, Z.S.; Qiao, H.X.; Liu, F.X. Assessment of eutrophication and water quality in the estuarine area of Lake Wuli, Lake Taihu, China. Sci. Total Environ. 2019, 650, 1392–1402. [Google Scholar] [CrossRef]
- Littler, M.M.; Littler, D.S.; Brooks, B.L. The effects of nitrogen and phosphorus enrichment on algal community development: Artificial mini-reefs on the Belize Barrier Reef sedimentary lagoon. Harmful Algae 2010, 9, 255–263. [Google Scholar] [CrossRef]
- Wang, C.; Zhang, H.; Lei, P.; Xin, X.K.; Zhang, A.J.; Yin, W. Evidence on the causes of the rising levels of CODMn along the middle route of the South-to-North Diversion Project in China: The role of algal dissolved organic matter. J. Environ. Sci. 2022, 113, 281–290. [Google Scholar] [CrossRef]
- Dang, E.S.; Tang, J.Y.; Zhou, L.N.; Ye, C.; Bao, C.G. Water quality assessment and eutrophication analysis in coastal waters of Pearl River estuary. J. Dalian Ocean. Univ. 2019, 34, 580–587, (In Chinese with English Abstract). [Google Scholar]
- Zhang, Y.Y. Eutrophication Characteristics and Impact Factors of Three Typical Urban Lakes. Master’s Thesis, East China Normal University, Shanghai, China, 2016. (In Chinese with English Abstract). [Google Scholar]
- Alvain, S.; Moulin, C.; Dandonneau, Y.; Bréona, F.M. Remote sensing of phytoplankton groups in case 1 waters from global SeaWiFS imagery. Deep Sea Res. Part I Oceanogr. Res. Pap. 2005, 52, 1989–2004. [Google Scholar] [CrossRef]
- Abell, J.M.; Özkundakci, D.; Hamilton, D.P. Nitrogen and phosphorus limitation of phytoplankton growth in New Zealand lakes: Implications for eutrophication control. Ecosystems 2010, 13, 966–977. [Google Scholar] [CrossRef]
- Huang, W.; Zhang, X.; Luo, X.J.; Zhang, L. Main Driving Factors of Eutrophication of Gaoyang Lake in the Three Gorges Reservoir Area: Based on Principal Component Analysis. Ecol. Environ. Monit. Three Gorges 2022, 7, 1–7, (In Chinese with English Abstract). [Google Scholar]
- Carpenter, S.R. Phosphorus control is critical to mitigating eutrophication. Proc. Natl. Acad. Sci. USA 2008, 105, 11039–11040. [Google Scholar] [CrossRef]
- Conley, D.J.; Paerl, H.W.; Howarth, R.W.; Boesch, D.F.; Seitzinger, S.P.; Havens, K.E.; Lancelot, C.; Likens, G.E. Controlling eutrophication: Nitrogen and phosphorus. Science 2009, 323, 1014–1015. [Google Scholar] [CrossRef]
- Smith, V.H.; Schindler, D.W. Eutrophication science: Where do we go from here? Trends Ecol. Evol. 2009, 24, 201–207. [Google Scholar] [CrossRef]
- Li, S.Y.; Gu, S.; Liu, W.Z.; Han, H.Y.; Zhang, Q.F. Water Quality in Relation to Land Use and Land Cover in the Upper Han River Basin, China. Catena 2008, 75, 216–222. [Google Scholar] [CrossRef]
- Debenest, T.; Silvestre, J.; Coste, M.; Pinelli, E. Effects of pesticides on freshwater diatoms. Rev. Environ. Contam. Toxicol. 2010, 203, 87–103. [Google Scholar] [PubMed]
- Fiquepron, J.; Garcia, S.; Stenger, A. Land use impact on water quality: Valuing forest services in terms of the water supply sector. J. Environ. Manag. 2013, 126, 113–121. [Google Scholar] [CrossRef]
- Ren, W.X.; Wu, X.D.; Ge, X.G.; Lin, G.Y.; Lian, F.; Ma, W.Q.; Xu, D. Study on the Water Quality Characteristics of the Baoan Lake Basin in China under Different Land Use and Landscape Pattern Distributions. Int. J. Environ. Res. 2022, 19, 6082. [Google Scholar] [CrossRef]
- Meng, F.H.; Li, Z.X.; Li, L.; Lu, F.; Liu, Y.; Lu, X.X.; Fan, Y.W. Phytoplankton alpha diversity indices response the trophic state variation in hydrologically connected aquatic habitats in the Harbin Section of the Songhua River. Sci. Rep. 2020, 10, 21337. [Google Scholar] [CrossRef]
- Wang, L.G.; Han, Y.Q.; Yu, H.H.; Fan, S.F.; Liu, C.H. Submerged vegetation and water quality degeneration from serious flooding in Liangzi Lake, China. Front. Plant Sci. 2019, 10, 1504. [Google Scholar] [CrossRef]
- Liu, H. Adaptation Mechanism of Submerged Macrophytes in Eutrophic Lakes to Low Underwater Light. Master’s Thesis, Wuhan Botanical Garden, Chinese Academy of Sciences, Wuhan, China, June 2021. (In Chinese with English Abstract). [Google Scholar]
- Zhang, X.K.; Zhang, J.W.; Li, Z.F.; Wang, G.J.; Liu, Y.; Wang, H.L.; Xie, J. Optimal submerged macrophyte coverage for improving water quality in a temperate lake in China. Ecol. Eng. 2021, 162, 106177. [Google Scholar] [CrossRef]
- Ma, K.; Cai, Q.H.; Xie, Z.C.; Li, D.F.; Ye, L. GIS simulation on the distribution of submerged macrophytes in Baoan Lake. Acta Ecol. Sci. 2013, 23, 2271–2277. [Google Scholar]
- Tian, C.C.; Guo, C.B.; Wu, X.Q. Distribution of submerged plants and its relationship elationship with environmental factors in Gaoyou Lake. Acta Hydrobiol. Sin. 2019, 43, 423–430, (In Chinese with English Abstract). [Google Scholar]
- Ren, W.J.; Hu, X.B.; Liu, X.; Ning, G.H.; Tian, Z.F.; Xie, J.Y. Total phosphorus removal from eutrophic water in Baiyangdian Lake by Potamogeton crisp-us. Chin. J. Appl. Ecol. 2011, 22, 1053–1058, (In Chinese with English Abstract). [Google Scholar]
- Kang, L.J.; Xu, H.; Zou, W.; Zhu, G.W.; Zhu, M.Y.; Ji, P.F.; Chen, J. Influence of Potamogeton crispus on Lake Water Environment and Phytoplankton Community Structure. Environ. Sci. 2020, 41, 4053–4061, (In Chinese with English Abstract). [Google Scholar]
- Cao, X.Y.; Wan, L.L.; Xiao, J.; Chen, X.Y.; Zhou, Y.Y.; Wang, Z.C.; Song, C.L. Environmental effects by introducing Potamogeton crispus to recover a eutrophic Lake. Sci. Total Environ. 2018, 621, 360–367. [Google Scholar] [CrossRef] [PubMed]
- Wang, L.Z.; Liu, Q.Z.; Hu, C.W.; Liang, R.J.; Qiu, J.C.; Wang, Y. Phosphorus release during decomposition of the submerged macrophyte Potamogeton crispus. Limnology 2018, 19, 355–366. [Google Scholar] [CrossRef]
- Chai, C.; Jiang, T.; Cen, J.Y.; Ge, W.; Lu, S.H. Phytoplankton pigments and functional community structure in relation to environmental factors in the Pearl River Estuary. Oceanologia 2016, 58, 201–211. [Google Scholar] [CrossRef]
- Ingole, S.B.; Naik, S.R.; Kadam, G. Study of phytoplankton of freshwater reservoir at majalgaon on sindphana river district beed (MS). Int. Res. J. 2010, 1, 87–88. [Google Scholar]
- Islam, S.M.D.; Huda, M.E. Water Pollution by Industrial Effluent and Phytoplankton Diversity of Shitalakhya River, Bangladesh. J. Sci. Res. 2016, 8, 191–198. [Google Scholar] [CrossRef]
- Eva Willé, N. Phytoplankton and Water Quality Characterization: Experiences from the Swedish Large Lakes Mälaren, Hjälmaren, Vättern and Vänern. AMBIO J. Hum. Environ. 2001, 30, 529–537. [Google Scholar] [CrossRef] [PubMed]
- Gao, S.R.; Pan, L.J.; Sun, F.Y.; Xu, Y.X.; Wang, J.Q. Assessment on the Pollution and Eutrophication of Environmental Water by HydrobIologica. Environ. Sci. Manag. 2006, 31, 174–176, (In Chinese with English Abstract). [Google Scholar]



| Year | Season | TLI(Chl-a) | TLI(TP) | TLI(TN) | TLI(SD) | TLI(CODMn) | TLI(∑) | Eutrophication Level |
|---|---|---|---|---|---|---|---|---|
| 2018 | Spring | 49.34 | 50.76 | 51.84 | 65.23 | 36.35 | 50.58 | Light eutrophication |
| Summer | 65.15 | 36.78 | 46.56 | 63.45 | 35.40 | 50.72 | Light eutrophication | |
| Autumn | 60.48 | 38.97 | 48.74 | 62.72 | 41.03 | 51.18 | Light eutrophication | |
| Winter | 58.97 | 43.32 | 49.22 | 68.19 | 27.08 | 50.12 | Light eutrophication | |
| 2019 | Spring | 57.37 | 44.50 | 56.73 | 56.43 | 31.78 | 49.97 | Mesotrophication |
| Summer | 58.23 | 44.28 | 45.77 | 61.50 | 35.25 | 49.76 | Mesotrophication | |
| Autumn | 65.92 | 53.63 | 56.51 | 68.33 | 41.97 | 57.98 | Light eutrophication | |
| Winter | 62.17 | 45.49 | 48.77 | 64.63 | 32.46 | 51.64 | Light eutrophication | |
| 2020 | Spring | 45.07 | 34.12 | 31.81 | 58.10 | 35.54 | 41.28 | Mesotrophication |
| Summer | 63.38 | 38.82 | 52.48 | 60.19 | 37.25 | 51.43 | Light eutrophication | |
| Autumn | 67.76 | 41.74 | 51.73 | 60.03 | 38.05 | 53.13 | Light eutrophication | |
| Winter | 68.81 | 43.90 | 52.63 | 56.96 | 33.70 | 52.62 | Light eutrophication |
| Site | Spring a(254) (m−1) | Summer a(254) (m−1) | Autumn a(254) (m−1) | Winter a(254) (m−1) |
|---|---|---|---|---|
| B1 | 11.892 | 14.195 | 13.561 | 7.830 |
| B2 | 10.050 | 19.639 | 9.897 | 9.275 |
| B3 | 10.741 | 16.435 | 12.180 | 12.960 |
| B4 | 11.662 | 17.586 | 9.436 | 11.264 |
| B5 | 11.892 | 17.042 | 7.176 | 13.588 |
| B6 | 11.431 | 17.189 | 13.665 | 15.807 |
| Total lake Eutrophication level | Light eutrophication | Moderate eutrophication | Light eutrophication | Light eutrophication |
| Year | Season | Algae Cell Density (104 Cells·L−1) | Eutrophication Level |
|---|---|---|---|
| 2019 | Spring | 633.97 | Oligotrophication-Mesotrophication |
| Summer | 1279.63 | Mesotrophication | |
| Autumn | 6138.13 | Mesotrophication-Eutrophication | |
| Winter | 1609.20 | Mesotrophication | |
| 2020 | Spring | 270.67 | Oligotrophication-Mesotrophication |
| Summer | 2141.43 | Mesotrophication | |
| Autumn | 3216.17 | Mesotrophication | |
| Winter | 2860.50 | Mesotrophication |
| Assessment Index | B1 | B2 | B3 | B4 | B5 | B6 | Mean Value | Status | Qualitative Evaluation |
|---|---|---|---|---|---|---|---|---|---|
| Shannon–Wiener (H′) | 0.99 | 2.64 | 2.29 | 2.13 | 2.27 | 2.38 | 2.12 | Mesotrophication | Slight pollution |
| Pielou (J′) | 0.23 | 0.48 | 0.50 | 0.43 | 0.51 | 0.53 | 0.45 | Mesotrophication-Eutrophication | Moderate pollution |
| Margalef (D′) | 0.96 | 2.32 | 1.15 | 1.46 | 1.10 | 1.11 | 1.35 | Eutrophication | Heavy pollution |
Disclaimer/Publisher’s Note: The statements, opinions and data contained in all publications are solely those of the individual author(s) and contributor(s) and not of MDPI and/or the editor(s). MDPI and/or the editor(s) disclaim responsibility for any injury to people or property resulting from any ideas, methods, instructions or products referred to in the content. |
© 2023 by the authors. Licensee MDPI, Basel, Switzerland. This article is an open access article distributed under the terms and conditions of the Creative Commons Attribution (CC BY) license (https://creativecommons.org/licenses/by/4.0/).
Share and Cite
Leng, M.; Feng, L.; Wu, X.; Ge, X.; Lin, X.; Song, S.; Xu, R.; Sun, Z. Assessment of Water Eutrophication at Bao’an Lake in the Middle Reaches of the Yangtze River Based on Multiple Methods. Int. J. Environ. Res. Public Health 2023, 20, 4615. https://doi.org/10.3390/ijerph20054615
Leng M, Feng L, Wu X, Ge X, Lin X, Song S, Xu R, Sun Z. Assessment of Water Eutrophication at Bao’an Lake in the Middle Reaches of the Yangtze River Based on Multiple Methods. International Journal of Environmental Research and Public Health. 2023; 20(5):4615. https://doi.org/10.3390/ijerph20054615
Chicago/Turabian StyleLeng, Mingkai, Lian Feng, Xiaodong Wu, Xuguang Ge, Xiaowen Lin, Shixing Song, Rui Xu, and Zhenhua Sun. 2023. "Assessment of Water Eutrophication at Bao’an Lake in the Middle Reaches of the Yangtze River Based on Multiple Methods" International Journal of Environmental Research and Public Health 20, no. 5: 4615. https://doi.org/10.3390/ijerph20054615
APA StyleLeng, M., Feng, L., Wu, X., Ge, X., Lin, X., Song, S., Xu, R., & Sun, Z. (2023). Assessment of Water Eutrophication at Bao’an Lake in the Middle Reaches of the Yangtze River Based on Multiple Methods. International Journal of Environmental Research and Public Health, 20(5), 4615. https://doi.org/10.3390/ijerph20054615

