Implications of Socio-Cultural Pressure for a Thin Body Image on Avoidance of Social Interaction and on Corrective, Compensatory or Compulsive Shopping Behaviour
Abstract
1. Introduction
2. Literature Review
2.1. Positive Body Image Versus Body Image Dissatisfaction
“An overarching love and respect for the body that allows individuals to (a) appreciate the unique beauty of their body and the functions that it performs for them; (b) accept and even admire their body, including those aspects that are inconsistent with idealised images; (c) feel beautiful, comfortable, confident and happy with their body, which is often reflected as an outer radiance, or a “glow;” (d) emphasise their body’s assets rather than dwell on their imperfections; and (f) interpret incoming information in a body-protective manner whereby most positive information is internalised and most negative information is rejected or reframed”.
2.2. Body Talk and Socio-Cultural Attitude towards Physical Appearance: Internalisation of Thin/Athletic Bodies, Family, Peers and Media/Advertising Pressures
2.3. Implications of Socio-Cultural Pressure for Thin Body Image in Consumers’ Information Processing and Purchase Decisions
2.3.1. Social Visibility’s Avoidance and Proneness for E-Commerce and Non-Conspicuous Consumption
2.3.2. Changes in Products and Services Shopping Basket and “Corrective” Buying Preferences
2.3.3. Compensatory Consumption and Compulsive Buying Disorder
3. Methods
3.1. Measures
- (a)
- the influence of socio-cultural pressures was measured with 22 items of the Portuguese version of the Socio-cultural Attitudes Towards Appearance Scale-4 (SATAQ-4) developed by Barra et al. [4] based on the original version of Schaefer et al. [38] comprising five dimensions: “Internalisation—Thin/low body fat”—items 3, 4, 5, 8, 9; “Internalisation—Muscle/athletic”—items 1, 2, 6, 7, 10; “Family pressure”—items 11, 12, 13, 14; “Peer pressure”—items 15, 16, 17, 18; “Media pressure”—items 19, 20, 21, 22.
- (b)
- (c)
- the intention to change each one of ten parts of the body (using the scale 1—nothing to 4—a lot): face, hair loss, upper limbs, breasts and nipples, hips, genitals, lower members, generalised overweight, localised overweight and overall physical appearance.
- (d)
- the intention to make corrective changes was measured with 15 items of the Acceptance of Cosmetic Surgery Scale (ACSS) developed by Henderson-King and Henderson-King [87];
- (e)
- in order to measure the Consumer Shopping Avoidance Behaviour (CSAB) due to body dissatisfaction, the authors proposed six items on a five-point Likert scale (1—never to 5—very often): (1) to avoid shopping in physical retail outlets, (2) to prefer e-commerce; (3) to avoid high-street shops; (4) to hide some body parts during shopping; (5) to avoid interaction with retail salespersons; (6) to hurry shopping times (reduce time spent out of home);
- (f)
- overall satisfaction with his/her body (on a 10-point Likert scale);
- (g)
- overall perception of physical appearance evaluated by others (on a 10point Likert scale);
- (h)
- the intention to buy a product/service as way to compensate for body dissatisfaction, with a list of eleven products: cosmetics, diet products, surgeries, hair-loss treatments, hair extensions, luxury products, hair-colour change, beauty treatments, travelling, health and wellness treatments and gymnasium classes;
- (i)
- the proneness to engage in compulsive buying was measured with the Portuguese version of the Compulsive Buying Follow-up Scale (CBFS) of Mattos et al. [92], which contains six self-report multiple-choice items assessing different aspects of compulsive buying over the past four weeks.
3.2. Sample
4. Results and Discussion
5. Conclusions
5.1. Implications for Research
5.2. Managerial Implications
5.3. Limitations of the Study and Further Research Directions
Author Contributions
Funding
Institutional Review Board Statement
Informed Consent Statement
Data Availability Statement
Conflicts of Interest
References
- Allen, M.S.; Robson, D.A. Personality and body dissatisfaction: An updated systematic review with meta-analysis. Body Image 2020, 33, 77–89. [Google Scholar] [CrossRef] [PubMed]
- Karazsia, B.T.; Murnen, S.K.; Tylka, T.L. Is body dissatisfaction changing across time? A cross-temporal meta-analysis. Psychol. Bull. 2017, 143, 293–320. [Google Scholar] [CrossRef] [PubMed]
- Fiske, L.; Fallon, E.A.; Blissmer, B.; Redding, C.A. Prevalence of body dissatisfaction among United States adults: Review and recommendations for future research. Eat. Behav. 2014, 15, 357–365. [Google Scholar] [CrossRef] [PubMed]
- Barra, J.V.; Silva, W.R.; Maroco, J.; Campos, J.A. Cross-cultural adaptation of the Sociocultural Attitudes towards Appearance Scale-4 (SATAQ-4) applied to university students. Cad. Saude Publica 2019, 35, e00170218. [Google Scholar] [CrossRef] [PubMed]
- Striegel-Moore, R.H.; Rosselli, F.; Perrin, N.; DeBar, L.; Wilson, G.T.; May, A.; Kraemer, H.C. Gender difference in the prevalence of eating disorder symptoms. Int. J. Eat. Disorder. 2009, 42, 471–474. [Google Scholar] [CrossRef] [PubMed]
- Aydin, H.; Eser, Z.; Korkmaz, S. The psychological effects of fast food consumption on body image emotions. Br. Food J. 2018, 120, 2236–2249. [Google Scholar] [CrossRef]
- Bellard, A.M.; Cornelissen, P.L.; Mian, E.; Cazzato, V. The ageing body: Contributing attitudinal factors towards perceptual body size estimates in younger and middle-aged women. Arch. Women Ment. Health 2021, 24, 93–105. [Google Scholar] [CrossRef]
- Hart, E.; Chow, C.M. “I just don’t want to be fat!”: Body talk, body dissatisfaction, and eating disorder symptoms in mother–adolescent girl dyads. Eat. Weight Disord.-ST 2019, 25, 1235–1242. [Google Scholar] [CrossRef]
- Chow, C.M.; Ruhl, H.; Tan, C.C.; Ellis, L. Fear of fat and restrained eating: Negative body talk between female friends as a moderator. Eat. Weight Disord.-ST 2019, 24, 1181–1188. [Google Scholar] [CrossRef]
- Sarwer, D.B. Body image, cosmetic surgery, and minimally invasive treatments. Body Image 2019, 31, 302–308. [Google Scholar] [CrossRef]
- Tylka, T.L.; Wood-Barcalow, N.L. What is and what is not positive body image? Conceptual foundations and construct definition. Body Image 2015, 14, 118–129. [Google Scholar] [CrossRef] [PubMed]
- Tylka, T.L.; Wood-Barcalow, N.L. The body appreciation Scale-2: Item refinement and psychometric evaluation. Body Image 2015, 12, 53–67. [Google Scholar] [CrossRef] [PubMed]
- Garg, N.; Wansink, B.; Inman, J.J. The influence of incidental affect on consumers’ food intake. J. Mark. 2007, 71, 194–206. [Google Scholar] [CrossRef]
- Smith, R.; Kelly, B.; Yeatman, H.; Boyland, E. Food marketing influences children’s attitudes, preferences and consumption: A systematic critical review. Nutrients 2019, 11, 875. [Google Scholar] [CrossRef] [PubMed]
- Rounsefell, K.; Gibson, S.; McLean, S.; Blair, M.; Molenaar, A.; Brennan, L.; Truby, H.; McCaffrey, T.A. Social media, body image and food choices in healthy young adults: A mixed methods systematic review. Nutr. Diet. 2020, 77, 19–40. [Google Scholar] [CrossRef]
- Wilson, N.L.; Blackhurst, A.E. Food advertising and eating disorders: Marketing body dissatisfaction, the drive for thinness, and dieting in women’s magazines. J. Humanist. Counsel. Edu. Develop. 1999, 38, 111–112. [Google Scholar] [CrossRef]
- Witkowski, T.H. Food marketing and obesity in developing countries: Analysis, ethics, and public policy. J. Micromarketing 2007, 27, 126–137. [Google Scholar] [CrossRef]
- Manika, D.; Gregory-Smith, D.; Antonetti, P. Pride in Health-related Technological Interventions: A Double-edged Sword. Psychol. Market. 2017, 34, 410–427. [Google Scholar] [CrossRef]
- Moulding, N.T. “Love your body, move your body, feed your body”: Discourses of self-care and social marketing in a body image health promotion program. Crit. Public Health 2007, 17, 57–69. [Google Scholar] [CrossRef]
- D’Alessandro, S.; Chitty, B. Real or relevant beauty? Body shape and endorser effects on brand attitude and body image. Psychol. Market. 2011, 28, 843–878. [Google Scholar] [CrossRef]
- Michael, C.; Kvasova, O.; Vrontis, D.; Glyptis, L. A Thematic Analysis of Obesity and Marketing: Research Evolution from 1990 to 2018 and an Agenda for Future Research. J. Mark. AMBS Res. Dev. Workshop Univ. Manch. 2019. [Google Scholar]
- Wood-Barcalow, N.L.; Tylka, T.L.; Augustus-Horvath, C.L. “But I like my body”: Positive body image characteristics and a holistic model for young-adult women. Body Image 2010, 7, 106–116. [Google Scholar] [CrossRef]
- Cash, T.F.; Smolak, L. Body Image: Handbook of Science, Practice, and Prevention, 2nd ed.; The Guilford Press: New York, NY, USA, 2012. [Google Scholar]
- Keery, H.; van den Berg, P.; Thompson, J.K. An evaluation of the Tripartite Influence Model of body dissatisfaction and eating disturbance with adolescent girls. Body Image 2004, 1, 237–251. [Google Scholar] [CrossRef]
- Orbach, I.; Mikulincer, M. The body investment scale: Construction and validation of a body experience scale. Psychol. Assess. 1998, 10, 415–425. [Google Scholar] [CrossRef]
- Penelo, E.; Espinoza, P.; Portell, M.; Raich, R.M. Assessment of body image: Psychometric properties of the Body Image Questionnaire. J. Health Psychol. 2012, 17, 556–566. [Google Scholar] [CrossRef]
- Rosen, J.C.; Srebnik, D.; Saltzberg, E.; Wendt, S. Development of a body image avoidance questionnaire. Psychol. Assess. 1991, 3, 32–37. [Google Scholar] [CrossRef]
- Tylka, T.L.; Bergeron, D.; Schwartz, J.P. Development and psychometric evaluation of the Male Body Attitudes Scale (MBAS). Body Image 2005, 2, 161–175. [Google Scholar] [CrossRef]
- Avalos, L.C.; Tylka, T.L.; Wood-Barcalow, N. The Body Appreciation Scale:Development and psychometric evaluation. Body Image 2005, 2, 285–297. [Google Scholar] [CrossRef]
- Frederick, D.A.; Peplau, L.A.; Lever, J. The swimsuit issue: Correlates of body image in a sample of 52,677 heterosexual adults. Body Image 2006, 4, 413–419. [Google Scholar] [CrossRef]
- Drewnowski, A.; Kurth, C.L.; Krahn, D.D. Effects of body image on dieting, exercise, and anabolic steroid use in adolescent males. Int. J. Eat. Disord. 1995, 7, 381–386. [Google Scholar] [CrossRef]
- Gattario, K.H.; Frisén, A.; Fuller-Tyszkiewicz, M.; Ricciardelli, L.A.; Diedrichs, P.C.; Yager, Z.; Franko, D.L.; Smolak, L. How is men’s conformity to masculine norms related to their body image? Masculinity and muscularity across Western Countries. Psychol. Men Masculin. 2015, 16, 337. [Google Scholar] [CrossRef]
- Ridgeway, T.T.; Tylka, T.L. College men’s perceptions of ideal body composition and shape. Psychol. Men Masculin. 2005, 6, 209–220. [Google Scholar] [CrossRef]
- Sladek, M.R.; Engeln, R.; Miller, S.A. Development and validation of the Male Body Talk Scale: A psychometric investigation. Body Image 2014, 11, 233–244. [Google Scholar] [CrossRef] [PubMed]
- Cafri, G.; Yamamiya, Y.; Brannick, M.; Thompson, J.K. The influence of sociocultural factors on body image: A meta-analysis. Clin. Psychol. Sci. Pract. 2005, 12, 421–433. [Google Scholar] [CrossRef]
- Jacobi, C.; Hayward, C.; de Zwann, M.; Kraemer, H.C.; Agras, W.S. Coming to terms with risk factors for eating disorders: Application of risk terminology and suggestions for a general taxonomy. Psychol. Bul. 2004, 130, 19–65. [Google Scholar] [CrossRef]
- McCabe, M.P.; Ricciardelli, L.A. Sociocultural influences on body image and body change strategies among adolescent boys and girls. J. Soc. Psychol. 2003, 143, 5–26. [Google Scholar] [CrossRef]
- Schaefer, L.M.; Burke, N.L.; Thompson, J.K.; Dedrick, R.F.; Heinberg, L.J.; Calogero, R.M.; Bardone-Cone, A.M.; Higgins, M.K.; Frederick, D.A.; Kelly, M.; et al. Development and validation of the Sociocultural Attitudes Towards Appearance Questionnaire-4 (SATAQ-4). Psychol. Assess. 2015, 27, 54–67. [Google Scholar] [CrossRef]
- Woertman, L.; Van den Brink, F. Body image and female sexual functioning and behavior: A review. J. Sex Res. 2012, 49, 184–211. [Google Scholar] [CrossRef]
- Rosenberg, M.; Schooler, C.; Schoenbach, C.; Rosenberg, F. Global self-esteem and specific self-esteem: Different concepts, different outcomes. Am. Sociol. Rev. 1995, 60, 141–156. [Google Scholar] [CrossRef]
- Dakanalis, A.; Zanetti, A.M.; Riva, G.; Colmegna, F.; Volpato, C.; Madeddu, F.; Clerici, M. Male body dissatisfaction and eating disorder symptomatology: Moderating variables among men. J. Health Psychol. 2015, 20, 80–90. [Google Scholar] [CrossRef]
- Neumark-Sztainer, D.; Paxton, S.J.; Hannan, P.J.; Haines, J.; Story, M. Does body satisfaction matter? Five-year longitudinal associations between body satisfaction and health behaviors in adolescent females and males. J. Adol. Health 2006, 39, 244–251. [Google Scholar] [CrossRef]
- Paxton, S.J.; Neumark-Sztainer, D.; Hannan, P.J.; Eisenberg, M. Body dissatisfaction prospectively predicts depressive mood and low self-esteem in adolescent girls and boys. J. Clin. Child Adol. Psychol. 2006, 35, 539–549. [Google Scholar] [CrossRef]
- Fay, M.; Price, C. Female body-shape in print advertisements and the increase in anorexia nervosa. Eur. J. Market. 1994, 28, 5–18. [Google Scholar] [CrossRef]
- Toro, J.; Castro, J.; Gila, A.; Pombo, C. Assessment of sociocultural influences on the body shape model in adolescent males with anorexia nervosa. Eur. Eat. Disor. Rev. 2005, 13, 351–359. [Google Scholar] [CrossRef]
- Rudiger, J.A.; Winstead, B.A. Body talk and body-related co-rumination: Associations with body image, eating attitudes, and psychological adjustment. Body Image 2013, 10, 462–471. [Google Scholar] [CrossRef]
- Arroyo, A.; Brunner, S.R. Negative body talk as an outcome of friends’ fitness posts on social networking sites: Body surveillance and social comparison as potential moderators. J. Appl. Commun. Res. 2016, 44, 216–235. [Google Scholar] [CrossRef]
- Wang, Y.; Wang, X.; Yang, J.; Zeng, P.; Lei, L. Body talk on social networking sites, body surveillance, and body shame among young adults: The roles of self-compassion and gender. Sex Roles 2019, 82, 731–742. [Google Scholar] [CrossRef]
- Wang, Y.; Yang, J.; Wang, J.; Yin, L.; Lei, L. Body talk on social networking sites and body dissatisfaction among young women: A moderated mediation model of peer appearance pressure and self-compassion. Curr. Psychol. 2020, 41, 1584–1594. [Google Scholar] [CrossRef]
- Sladek, M.R.; Salk, R.H.; Engeln, R. Negative body talk measures for Asian, Latina (o), and White women and men: Measurement equivalence and associations with ethnic-racial identity. Body Image 2018, 25, 66–77. [Google Scholar] [CrossRef]
- Thompson, J.K.; Heinberg, L.J.; Altabe, M.; Tantleff-Dunn, S. Exacting Beauty: Theory, Assessment, and Treatment of Body Image Disturbance; American Psychological Association: Washington, DC, USA, 1999. [Google Scholar]
- Schaefer, L.M.; Harriger, J.A.; Heinberg, L.J.; Soderberg, T.; Thompson, J.K. Development and validation of the sociocultural attitudes towards appearance questionnaire-4-revised (SATAQ-4R). Int. J. Eat. Disorder. 2017, 50, 104–117. [Google Scholar] [CrossRef] [PubMed]
- Abraczinskas, M.; Fisak, B.; Barnes, R. The relation between parental influence, body image, and eating behaviors in a nonclinical female sample. Body Image 2012, 9, 93–100. [Google Scholar] [CrossRef] [PubMed]
- Huang, Q.; Peng, W.; Ahn, S. When media become the mirror: A meta-analysis on media and body image. Media Psychol. 2020, 24, 437–489. [Google Scholar] [CrossRef]
- Brown, Z.; Tiggemann, M. Attractive celebrity and peer images on Instagram: Effect on women’s mood and body image. Body Image 2016, 19, 37–43. [Google Scholar] [CrossRef] [PubMed]
- Festinger, L. A theory of social comparison processes. Hum. Relat. 1954, 7, 117–140. [Google Scholar] [CrossRef]
- Bessenoff, G.R. Can the media affect us? Social comparison, self-discrepancy, and the thin ideal. Psychol. Women Quart. 2006, 30, 239–251. [Google Scholar] [CrossRef]
- Tiggemann, M.; McGill, B. The role of social comparison in the effect of magazine advertisements on women’s mood and body dissatisfaction. J. Soc. Clin. Psychol. 2004, 23, 23–44. [Google Scholar] [CrossRef]
- Tiggemann, M.; Polivy, J. Upward and downward: Social comparison processing of thin idealized media images. Psychol. Women Quart. 2010, 34, 356–364. [Google Scholar] [CrossRef]
- Slater, A.; Cole, N.; Fardouly, J. The effect of exposure to parodies of thin-ideal images on young women’s body image and mood. Body Image 2019, 29, 82–89. [Google Scholar] [CrossRef]
- Pickett, A.C.; Brison, N.T. Lose like a man: Body image and celebrity endorsement effects of weight loss product purchase intentions. Int. J. Advert. 2019, 38, 1098–1115. [Google Scholar] [CrossRef]
- Swami, V.; Barron, D.; Weis, L.; Furnham, A. Bodies in nature: Associations between exposure to nature, connectedness to nature, and body image in US adults. Body Image 2016, 18, 153–161. [Google Scholar] [CrossRef]
- Jovic, M.; Sforza, M.; Jovanovic, M.; Jovic, M. The Acceptance of Cosmetic Surgery Scale: Confirmatory factor analyses and validation among Serbian adults. Curr. Psychol. 2017, 36, 707–718. [Google Scholar] [CrossRef] [PubMed]
- Sundgot-Borgen, C.; Sundgot-Borgen, J.; Bratland-Sanda, S.; Kolle, E.; Torstveit, M.K.; Svantorp-Tveiten, K.M.; Mathisen, T.F. Body appreciation and body appearance pressure in Norwegian university students comparing exercise science students and other students. BMC Public Health 2021, 21, 532. [Google Scholar] [CrossRef] [PubMed]
- Vartanian, L.R.; Hopkinson, M.M. Social connectedness, conformity, and internalization of societal standards of attractiveness. Body Image 2010, 7, 86–89. [Google Scholar] [CrossRef] [PubMed]
- Mehrabian, A.; Stefl, C.A. Basic temperament components of loneliness, shyness, and conformity. Soc. Behav. Personal. 1995, 23, 253–263. [Google Scholar] [CrossRef]
- Tompkins, K.B.; Martz, D.M.; Rocheleau, C.A.; Bazzini, D.G. Social likeability, conformity, and body talk: Does fat talk have a normative rival in female body image conversations? Body Image 2009, 6, 292–298. [Google Scholar] [CrossRef] [PubMed]
- Blodorn, A.; Major, B.; Hunger, J.; Miller, C. Unpacking the psychological weight of weight stigma: A rejection-expectation pathway. J. Exp. Soc. Psychol. 2016, 63, 69–76. [Google Scholar] [CrossRef]
- Major, B.; Hunger, J.M.; Bunyan, D.P.; Miller, C.T. The ironic effects of weight stigma. J. Exp. Soc. Psychol. 2014, 51, 74–80. [Google Scholar] [CrossRef]
- Argo, J.J.; Dahl, D.W. Social Influence in the Retail Context: A Contemporary Review of the literature. J. Retail. 2020, 96, 25–39. [Google Scholar] [CrossRef]
- Hu, H.; Jasper, C.R. Social cues in the store environment and their impact on store image. Int. J. Retail Distrib. Manag. 2006, 34, 25–48. [Google Scholar] [CrossRef]
- Chaudhuri, R.H.; Mazumdar, S.; Ghoshal, A. Conspicuous consumption orientation: Conceptualisation, scale development and validation. J. Cons. Behav. 2011, 10, 216–224. [Google Scholar] [CrossRef]
- Bronner, F.; de Hoog, R. Comparing conspicuous consumption across different experiential products: Culture and leisure. Int. J. Market Res. 2019, 61, 430–446. [Google Scholar] [CrossRef]
- Barauskaite, D.; Gineikiene, J.; Fennis, B.M.; Auruskeviciene, V.; Yamaguchi, M.; Kondo, N. Eating healthy to impress: How conspicuous consumption, perceived self-control motivation, and descriptive normative influence determine functional food choices. Appetite 2018, 131, 59–67. [Google Scholar] [CrossRef] [PubMed]
- Neave, L.; Tzemou, E.; Fastoso, F. Seeking attention versus seeking approval: How conspicuous consumption differs between grandiose and vulnerable narcissists. Psychol. Market. 2020, 37, 418–427. [Google Scholar] [CrossRef]
- Miller, J.D.; Hoffman, B.J.; Gaughan, E.T.; Gentile, B.; Maples, J.; Campbell, W.K. Grandiose and vulnerable narcissism: A nomological network analysis. J. Pers. 2011, 79, 1013–1042. [Google Scholar] [CrossRef]
- Yim, M.Y.C.; Park, S.Y. “I am not satisfied with my body, so I like augmented reality (AR)”: Consumer responses to AR-based product presentations. J. Bus. Res. 2019, 100, 581–589. [Google Scholar] [CrossRef]
- Andrew, R.; Tiggemann, M.; Clark, L. Predictors and health-related outcomes of positive body image in adolescent girls: A prospective study. Dev. Psychol. 2016, 52, 463. [Google Scholar] [CrossRef]
- Avalos, L.C.; Tylka, T.L. Exploring a model of intuitive eating with college women. J. Counsel. Psychol. 2006, 53, 486–497. [Google Scholar] [CrossRef]
- Añez, E.; Fornieles-Deu, A.; Fauquet-Ars, J.; López-Guimerà, G.; Puntí-Vidal, J.; Sánchez-Carracedo, D. Body image dissatisfaction, physical activity and screen-time in Spanish adolescents. J. Health Psychol. 2018, 23, 36–47. [Google Scholar] [CrossRef]
- Barry, B.; Martin, D. Fashionably fit: Young men’s dress decisions and appearance anxieties. Textile 2016, 14, 326–347. [Google Scholar] [CrossRef]
- Chattaraman, V.; Rudd, N.A. Preferences for aesthetic attributes in clothing as a function of body image, body cathexis and body size. Cloth. Text. Res. J. 2006, 24, 46–61. [Google Scholar] [CrossRef]
- Sung, J.; Yan, R.N. Predicting clothing behaviors of Generation Y men through self-esteem and body dissatisfaction. Fash. Text. 2020, 7, 10. [Google Scholar] [CrossRef]
- Tiggemann, M.; Lacey, C. Shopping for clothes: Body satisfaction, appearance investment, and functions of clothing among female shoppers. Body Image 2009, 6, 285–291. [Google Scholar] [CrossRef] [PubMed]
- Swami, V.; Arteche, A.; Chamorro-Premuzic, T.; Furnham, A.; Stieger, S.; Haubner, T.; Voracek, M. Looking good: Factors affecting the likelihood of having cosmetic surgery. Eur. J. Plast. Surg. 2008, 30, 211–218. [Google Scholar] [CrossRef]
- Yazdanparast, A.; Spears, N. The new me or the me I’m proud of? Impact of objective self-awareness and standards on acceptance of cosmetic procedures. Eur. J. Mark. 2018, 52, 279–301. [Google Scholar] [CrossRef]
- Henderson-King, D.; Henderson-King, E. Acceptance of cosmetic surgery: Scale development and validation. Body Image 2005, 2, 137–149. [Google Scholar] [CrossRef]
- Meskó, N.; Láng, A. Acceptance of cosmetic surgery among Hungarian women in a global context: The Hungarian version of the acceptance of cosmetic surgery scale (ACSS). Curr. Psychol. 2021, 40, 5822–5833. [Google Scholar] [CrossRef]
- Rucker, D.D.; Galinsky, A.D. Compensatory consumption. In The Routledge Companion to Identity and Consumption; Ruvio, A.A., Belk, R.W., Eds.; Routledge: New York, NY, USA, 2013; pp. 156–174. [Google Scholar]
- Belk, R. Possessions and the extended self. J. Cons. Res. 1988, 15, 136–168. [Google Scholar] [CrossRef]
- Zheng, X.; Baskin, E.; Peng, S. Feeling inferior, showing off: The effect of nonmaterial social comparisons on conspicuous consumption. J. Bus. Res. 2018, 90, 196–205. [Google Scholar] [CrossRef]
- Mattos, C.N.; Kim, H.S.; Filomensky, T.Z. Development and validation of the compulsive-buying follow-up scale: A measure to assess treatment improvements in compulsive buying disorder. Psychol. Res. 2019, 282, 112009. [Google Scholar]
- Harnish, R.J.; Gump, J.T.; Bridges, K.R.; Slack, F.J.; Rottschaefer, K.M. Compulsive buying: The impact of attitudes toward body image, eating disorders, and physical appearance investment. Psychol. Rep. 2019, 122, 1632–1650. [Google Scholar] [CrossRef]
- Zheng, Y.; Yang, X.; Zhou, R.; Niu, G.; Liu, Q.; Zhou, Z. Upward social comparison and state anxiety as mediators between passive social network site usage and online compulsive buying among women. Addict. Behav. 2020, 111, 106569. [Google Scholar] [CrossRef]
- Martin, S.J.; Racine, S.E. Personality traits and appearance-ideal internalization: Differential associations with body dissatisfaction and compulsive exercise. Eat. Behav. 2017, 27, 39–44. [Google Scholar] [CrossRef]
- Uhlmann, L.R.; Donovan, C.L.; Zimmer-Gembeck, M.J.; Bell, H.S.; Ramme, R.A. The fit beauty ideal: A healthy alternative to thinness or a wolf in sheep’s clothing? Body Image 2018, 25, 23–30. [Google Scholar] [CrossRef]
- Lemoine, J.E.; Konradsen, H.; Jensen, A.L.; Roland-Levy, C.; Ny, P.; Khalaf, A.; Torres, S. Factor structure and psychometric properties of the Body Appreciation Scale-2 among adolescents and young adults in Danish, Portuguese, and Swedish. Body Image 2018, 26, 1–9. [Google Scholar] [CrossRef]
- Junqueira, A.C.P.; Laus, M.F.; Almeida, S.S.; Costa, T.M.B.; Todd, J.; Swami, V. Translation and validation of a Brazilian Portuguese version of the Body Appreciation Scale-2 in Brazilian adults. Body Image 2019, 31, 160–170. [Google Scholar] [CrossRef]
- Meneses, L.; Torres, S.; Miller, K.M.; Barbosa, M.R. Extending the use of the Body Appreciation Scale-2 in older adults: A Portuguese validation study. Body Image 2019, 29, 74–81. [Google Scholar] [CrossRef]
- Ab Hamid, M.R.; Sami, W.; Sidek, M.M. Discriminant validity assessment: Use of Fornell & Larcker criterion versus HTMT criterion. J. Phys. Conf. Ser. 2017, 890, 012163. [Google Scholar]
- Ahmad, S.; Zulkurnain, N.N.A.; Khairushalimi, F.I. Assessing the validity and reliability of a measurement model in Structural Equation Modeling (SEM). Br. J. Math. Comp. Sci. 2016, 15, 1–8. [Google Scholar] [CrossRef]
- Engellant, K.A.; Holland, D.D.; Piper, R.T. Assessing Convergent and Discriminant Validity of the Motivation Construct for the Technology Integration Education (TIE) Model. J. High. Educ. Theory Pract. 2016, 16, 37–50. [Google Scholar]
- Tentama, F.; Anindita, W.D. Employability scale: Construct validity and reliability. Int. J. Sci. Technol. Res. 2020, 9, 3166–3170. [Google Scholar]
- Lunde, C. Acceptance of cosmetic surgery, body appreciation, body ideal internalization, and fashion blog reading among late adolescents in Sweden. Body Image 2013, 10, 632–635. [Google Scholar] [CrossRef] [PubMed]
- Góngora, V.C.; Licea, V.C.; Chams, M.R.M.; Thornborrow, T. Assessing the measurement invariance of a Latin-American Spanish translation of the Body Appreciation Scale-2 in Mexican, Argentinean, and Colombian adolescents. Body Image 2020, 32, 180–189. [Google Scholar] [CrossRef] [PubMed]
- Derricks, V.; Earl, A. Information targeting increases the weight of stigma: Leveraging relevance backfires when people feel judged. J. Exp. Soc. Psychol. 2019, 82, 277–293. [Google Scholar] [CrossRef]


| SATAQ-4 Scale Items | M | SD |
|---|---|---|
| 3- I want my body to look very thin. | 2.16 | 1.221 |
| 4- I want my body to look like it has little fat. | 3.72 | 1.141 |
| 5- I think a lot about looking thin. | 2.81 | 1.363 |
| 8- want my body to look very lean. | 1.97 | 1.201 |
| 9- I think a lot about having very little body fat. | 2.93 | 1.394 |
| Internalization of Thin/low body fat (Alpha = 0.851) | 13.59 | 5.016 |
| 1- It is important for me to look athletic. | 3.30 | 1.176 |
| 2- I think a lot about looking muscular | 2.51 | 1.267 |
| 6- I spend a lot of time doing things to look more athletic. | 2.31 | 1.265 |
| 7- I think a lot about looking athletic. | 2.76 | 1.333 |
| 10- I spend a lot of time doing things to look more muscular. | 1.99 | 1.130 |
| Internalization of muscle/athletic body (Alpha = 0.892) | 12.87 | 5.165 |
| 11- I feel pressure from family members to look thinner. | 1.64 | 1.146 |
| 12- I feel pressure from family members to improve my appearance. | 1.96 | 1.306 |
| 13- Family members encourage me to decrease my level of body fat. | 2.10 | 1.303 |
| 14- Family members encourage me to get in better shape. | 2.66 | 1.355 |
| Family pressure (Alpha = 0.811) | 8.36 | 4.092 |
| 15- My peers encourage me to get thinner. | 1.70 | 1.004 |
| 16- I feel pressure from my peers to improve my appearance. | 1.61 | 0.965 |
| 17- I feel pressure from my peers to look in better shape. | 1.63 | 1.001 |
| 18- I get pressure from my peers to decrease my level of body fat. | 1.49 | 0.882 |
| Peers pressure (Alpha = 0.874) | 6.43 | 3.287 |
| 19- I feel pressure from the media to look in better shape. | 3.39 | 1.430 |
| 20- I feel pressure from the media to look thinner. | 2.93 | 1.571 |
| 21- I feel pressure from the media to improve my appearance. | 3.48 | 1.439 |
| 22- I feel pressure from the media to decrease my level of body fat. | 3.08 | 1.542 |
| Media pressure (Alpha = 0.948) | 12.88 | 5.566 |
| Total SATAQ-4- scale score (Alpha = 0.893) | 54.13 | 15.389 |
| Body Appreciation Scale (BAS-2) scale items | M | SD |
| 1. I respect my body. | 4.06 | 0.763 |
| 2. I feel good about my body. | 3.43 | 0.896 |
| 3. Ifeel that my body has at least some good qualities. | 3.88 | 0.766 |
| 4. I take a positive attitude towards my body. | 3.64 | 0.945 |
| 5. I am attentive to my body’s needs. | 3.69 | 0.903 |
| 6. I feel love for my body. | 3.56 | 0.985 |
| 7. I appreciate the different and unique characteristics of my body. | 3.48 | 0.940 |
| 8. My behavior reveals my positive attitude toward my body, for example I hold my head high and smile. | 3.62 | 1.046 |
| 9. I am comfortable in my body. | 3.60 | 0.926 |
| 10. I feel like I am beautiful even if I am different from media images of attractive people (e.g.,models, actresses/actors). | 3.63 | 0.970 |
| Total BAS-2- scale score (Alpha = 0.936) | 36.60 | 7.308 |
| Acceptance of Cosmetic Surgery Scale—ACSS Items | M | SD |
|---|---|---|
| 1- It makes sense to have minor cosmetic surgery rather than spending years feeling bad about the way you look | 5.03 | 1.823 |
| 2- Cosmetic surgery is a good thing because it can help people feel better about themselves | 5.02 | 1.596 |
| 4- People who are very unhappy with their physical appearance should consider cosmetic surgery as one option | 4.23 | 1.622 |
| 5- If cosmetic surgery can make someone happier with the way they look, then they should try it | 4.66 | 1.517 |
| 14- Cosmetic surgery can be a big benefit to people’s self-image | 4.89 | 1.733 |
| Intrapersonal (Alpha = 0.885) | 23.83 | 6.876 |
| 9- I would seriously consider having cosmetic surgery if my partner thought it was a good idea | 1.72 | 1.323 |
| 11- I would think about having cosmetic surgery in order to keep looking young | 2.24 | 1.523 |
| 12- If it would benefit my career I would think about having plastic surgery | 2.40 | 1.659 |
| 13- I would seriously consider having cosmetic surgery if I thought my partner would find me more attractive | 1.65 | 1.334 |
| 15- If a simple cosmetic surgery procedure would make me more attractive to others, I would think about trying it | 2.46 | 1.809 |
| Consider (Alpha = 0.760) | 10.46 | 5.501 |
| 3- In the future, I could end up having some kind of cosmetic surgery | 3.72 | 1.885 |
| 6- If I could have a surgical procedure done for free I would consider trying cosmetic surgery | 3.90 | 2.184 |
| 7- If I knew there would be no negative side effects or pain, I would like to try cosmetic surgery | 4.10 | 2.159 |
| 8- I have sometimes thought about having cosmetic surgery | 3.00 | 2.254 |
| 10- I would never have any kind of plastic surgery (R) | 4.50 | 1.847 |
| Social (Alpha = 0.907) | 19.22 | 8.851 |
| ACSS total score (Alpha = 0.905) | 53.51 | 17.416 |
| Consumer’s Shopping Avoidance Behavior—CSAB (elaborated by authors) | M | SD |
| 1- intention to avoid shopping in physical retailing outlets | 1.51 | 0.979 |
| 2- intention to buy in the e-commerce channel | 1.22 | 0.801 |
| 3- intention to avoid to high street shops | 1.32 | 0.881 |
| 4- intention to hide some body’s part during shopping | 1.94 | 1.231 |
| 5- intention to avoid interaction with shops salespersons | 1.34 | 0.885 |
| 6- intention to hurry the shopping (reduce the time out of home) | 1.32 | 0.864 |
| CSAB total score (Alpha = 0.905) | 8.66 | 4.695 |
| Compulsive Buying Follow-up Scale (CBFS) | M | SD |
| 1- In the last 4 weeks, what was the frequency of your compulsive buying episodes? | 4.54 | 0.732 |
| 2- In the last 4 weeks, what was the longest period in which you bought compulsively? | 4.57 | 0.630 |
| 3- In the last 4 weeks, how much money did you spend buying compulsively | 4.67 | 0.572 |
| 4- In the last 4 weeks, how strong was your urge to shop? | 3.89 | 0.846 |
| 5- In the last 4 weeks, how have you felt in relation to your debt? (*) | 3.76 | 0.577 |
| 6- In the last 4 weeks, how intense was the emotional problem caused by your buying behavior (suffering, anguish, guilt, shame, embarrassment)? | 4.71 | 0.681 |
| CBFS total score (Alpha = 0.789) | 26.14 | 2.847 |
| N | M | SD | Z (p) | BAS | N | M | SD | Z (p) | ||
|---|---|---|---|---|---|---|---|---|---|---|
| Thin body internalization | Female | 105 | 2.8248 | 1.00793 | −2.380 | Low | 70 | 2.9771 | 1.04925 | −2.884 |
| Male | 29 | 2.3310 | 0.89964 | p = 0.017 | High | 64 | 2.4344 | 0.87327 | p = 0.004 | |
| Athletic body internalization | Female | 105 | 2.4933 | 1.00425 | n.s. | Low | 70 | 2.6714 | 1.07193 | n.s. |
| Male | 29 | 2.8621 | 1.10078 | High | 64 | 2.4656 | 0.98565 | |||
| Family pressure | Female | 105 | 2.1214 | 1.04589 | n.s. | Low | 70 | 2.3036 | 1.00532 | −2.897 |
| Male | 29 | 1.9741 | 0.94336 | High | 64 | 1.8555 | 0.99782 | p = 0.004 | ||
| Peer pressure | Female | 105 | 1.5762 | 0.81388 | n.s. | Low | 70 | 1.8821 | 0.93029 | −4.081 |
| Male | 29 | 1.7241 | 0.85394 | High | 64 | 1.3086 | 0.55051 | p < 0.001 | ||
| Media pressure | Female | 105 | 3.4310 | 1.32037 | −3.182 | Low | 70 | 3.6107 | 1.20809 | −3.244 |
| Male | 29 | 2.4569 | 1.39685 | p = 0.001 | High | 64 | 2.7930 | 1.46083 | p = 0.001 | |
| SATAQ-4 | Female | 105 | 2.4893 | 0.69497 | n.s. | Low | 70 | 2.6890 | 0.70707 | −4.098 |
| Male | 29 | 2.2697 | 0.69891 | High | 64 | 2.1714 | 0.58487 | p < 0.001 | ||
| BAS-2 | Female | 105 | 3.6124 | 0.73481 | n.s. | |||||
| Male | 29 | 3.8310 | 0.70158 | |||||||
| CSAB | Female | 105 | 1.5000 | 0.83141 | −2.997 | Low | 70 | 1.7071 | 0.96327 | −5.135 |
| Male | 29 | 1.2414 | 0.53561 | p = 0.003 | High | 64 | 1.1563 | 0.33972 | p < 0.001 | |
| ACSS intrapersonal | Female | 105 | 4.9257 | 1.29325 | −2.261 | Low | 70 | 4.8229 | 1.19881 | n.s. |
| Male | 29 | 4.1862 | 1.52590 | p = 0.024 | High | 64 | 4.7031 | 1.55287 | ||
| ACSS consider | Female | 105 | 1.9562 | 0.96436 | −2.019 | Low | 70 | 2.1771 | 1.24064 | n.s. |
| Male | 29 | 2.5862 | 1.40502 | p = 0.044 | High | 64 | 2.0000 | 0.92376 | ||
| ACSS social | Female | 105 | 4.0362 | 1.78601 | −2.471 | Low | 70 | 4.0686 | 1.81679 | n.s. |
| Male | 29 | 3.1448 | 1.54633 | p = 0.013 | High | 64 | 3.5969 | 1.69761 | ||
| ACSS | Female | 105 | 3.6394 | 1.11158 | n.s. | Low | 70 | 3.6895 | 1.18780 | n.s. |
| Male | 29 | 3.3057 | 1.31276 | High | 64 | 3.4333 | 1.12506 | |||
| CBFS Total | Female | 105 | 26.2095 | 2.85783 | n.s. | Low | 70 | 25.5857 | 3.15995 | −2.448 |
| Male | 29 | 25.8966 | 2.84536 | High | 64 | 26.7500 | 2.33673 | p = 0.014 | ||
| BMI | Female | 105 | 18.5048 | 3.39107 | −4.828 | Low | 70 | 19.1440 | 3.74222 | n.s. |
| Male | 29 | 21.7752 | 3.04891 | p < 0.001 | High | 64 | 19.2876 | 3.40933 | ||
| Never | Rarely (1 to 3 Times Per Year) | Sometimes (4 to 6 Times Per Year) | Less than Once a Month (7 to 11 Times Per Year) | 1 to 3 Times Per Month (12 to 36 Times Per Year) | Every Week (52 Times Per Year) | Very often (More than Once a Week) | Total | |
|---|---|---|---|---|---|---|---|---|
| Cosmetics | 26.9 | 23.1 | 23.9 | 12.7 | 10.4 | 3.0 | 100.0 | |
| Diet | 71.6 | 21.6 | 2.2 | 2.2 | 1.5 | 0.7 | 100.0 | |
| Surgeries | 97.0 | 3.0 | 100.0 | |||||
| Hair-loss treatment | 74.6 | 7.5 | 10.4 | 3.7 | 2.2 | 0.7 | 0.7 | 100.0 |
| Hair extensions | 98.5 | 1.5 | 100.0 | |||||
| Luxury products | 40.3 | 31.3 | 14.9 | 11.2 | 2.2 | 100.0 | ||
| Hair change | 41.8 | 26.1 | 20.9 | 9.0 | 2.2 | 100.0 | ||
| Beauty treatment | 44.0 | 25.4 | 8.2 | 11.9 | 9.0 | 1.5 | 100.0 | |
| Travelling | 53.7 | 22.4 | 19.4 | 3.7 | 0.7 | 100.0 | ||
| Wellness | 81.3 | 11.2 | 5.2 | 1.5 | 0.7 | 100.0 | ||
| Gymnasium | 44.8 | 26.1 | 10.4 | 6.7 | 1.5 | 1.5 | 9.0 | 100.0 |
| BMI | Thin Ideal | Athletic Ideal | Family Pressure | Peer Pressure | Media Pressure | SATAQ-4 | BAS-2 | CSAB | ACSS Intrapersonal | ACSS Consider | ACSS Social | ACSS_ Total | |
|---|---|---|---|---|---|---|---|---|---|---|---|---|---|
| BMI | 1.000 | ||||||||||||
| Low fat | 1.000 | ||||||||||||
| Athletic | 0.533 ** | 1.000 | |||||||||||
| Family pressure | 0.345 ** | 0.196 * | 1.000 | ||||||||||
| Peers pressure | 0.301 ** | 0.237 ** | 0.221 * | 0.458 ** | 1.000 | ||||||||
| Media pressure | 0.436 ** | 0.218 * | 0.278 ** | 0.271 ** | 1.000 | ||||||||
| SATAQ-4 | 0.176 * | 0.739 ** | 0.579 ** | 0.535 ** | 0.577 ** | 0.745 ** | 1.000 | ||||||
| BAS-2 | −0.286 ** | −0.263 ** | −0.336 ** | −0.295 ** | −0.375 ** | 1.000 | |||||||
| CSAB | 0.366 ** | 0.191 * | 0.324 ** | 0.335 ** | 0.422 ** | 0.493 ** | −0.531 ** | 1.000 | |||||
| ACSS Intrapersonal | 0.216 * | 0.175 * | 0.300 ** | 0.234 ** | 1.000 | ||||||||
| ACSS Consider | 0.267 ** | 0.202 * | 0.241 ** | 0.171 * | 0.317 ** | 0.436 ** | 1.000 | ||||||
| ACSS Social | 0.302 ** | 0.209 * | 0.288 ** | 0.325 ** | 0.261 ** | 0.581 ** | 0.496 ** | 1.000 | |||||
| ACSS Total | 0.309 ** | 0.232 ** | 0.322 ** | 0.358 ** | 0.238 ** | 0.813 ** | 0.715 ** | 0.891 ** | 1.000 | ||||
| CBFS | −0.245 ** | −0.260 ** | −0.175 * | −0.242 ** | −0.322 ** | 0.240 ** | −0.172 * | −0.255 ** | −0.276 ** | −0.276 ** |
| Loadings | Errors | |||
|---|---|---|---|---|
| ACSS | <--- | SATAQ | 0.514 | 0.725 |
| BAS2 | <--- | SATAQ | −0.527 | 0.53 |
| Media_Pressure | <--- | SATAQ | 0.644 | 0.562 |
| Peers_Pressure | <--- | SATAQ | 0.605 | 1.024 |
| Family_Pressure | <--- | SATAQ | 0.488 | 0.308 |
| Muscle_Athletic | <--- | SATAQ | 0.646 | 0.491 |
| Thin_low_fat | <--- | SATAQ | 0.803 | 0.331 |
| ACSS_intrapersonal | <--- | ACSS | 0.689 | 0.797 |
| ACSS_consider | <--- | ACSS | 0.593 | 0.704 |
| ACSS_social | <--- | ACSS | 0.793 | 1.022 |
| CSAB | <--- | SATAQ | 0.405 | 0.374 |
| CBFS_total | <--- | SATAQ | −0.341 | 6.252 |
| CSAB | <--- | BAS2 | −0.262 | 0.525 |
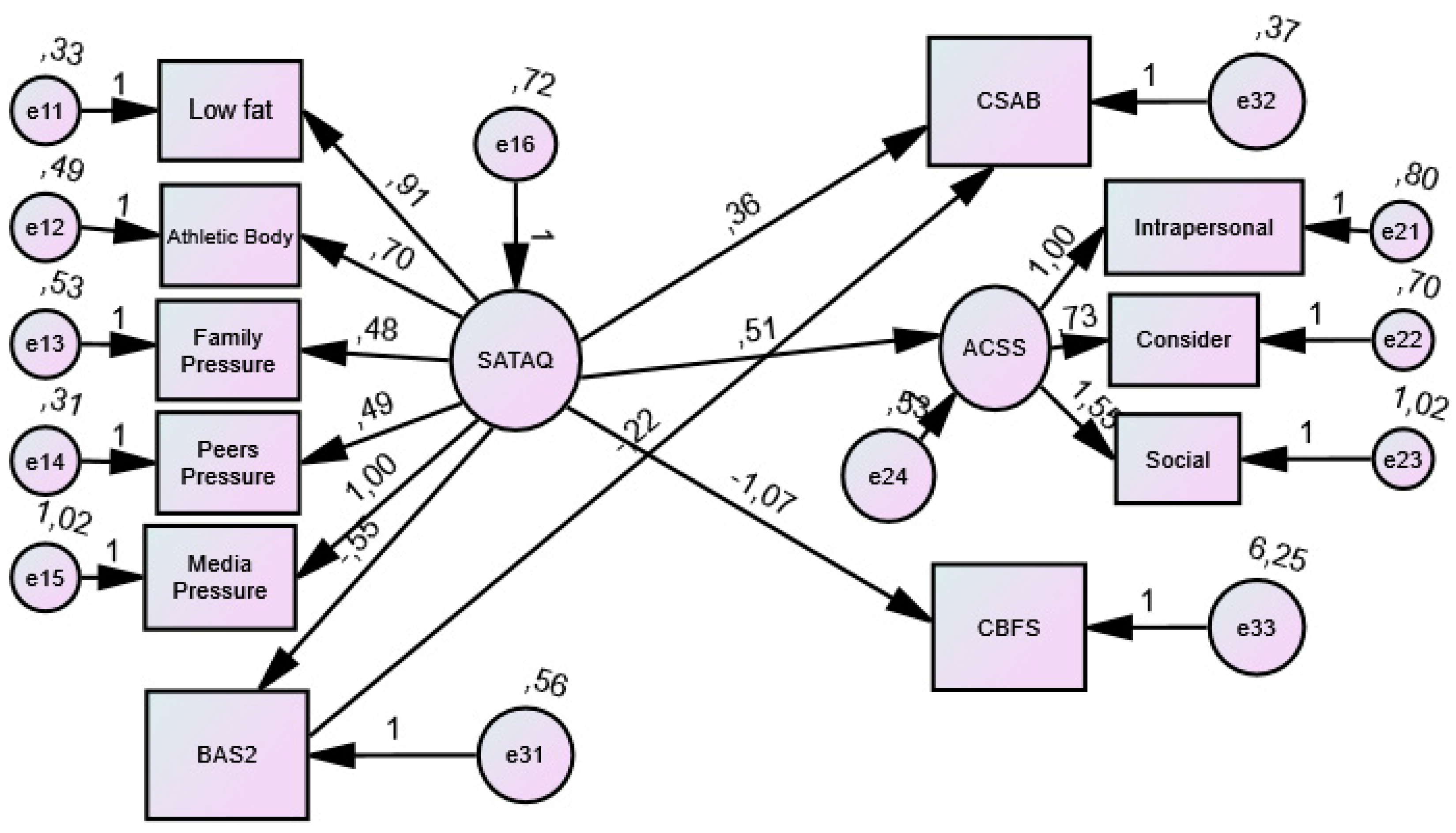
| Estimate | S.E. | C.R. | p | Hypothesis | |||
|---|---|---|---|---|---|---|---|
| ACSS | <--- | SATAQ | 0.512 | 0.133 | 3.865 | *** | H4- supported |
| BAS2 | <--- | SATAQ | −0.546 | 0.108 | −5.035 | *** | H1- supported |
| Media_Pressure | <--- | SATAQ | 1.000 | ||||
| Peers_Pressure | <--- | SATAQ | 0.495 | 0.101 | 4.902 | *** | |
| Family_Pressure | <--- | SATAQ | 0.476 | 0.118 | 4.041 | *** | |
| Muscle_Athletic | <--- | SATAQ | 0.697 | 0.143 | 4.880 | *** | |
| Thin_low_fat | <--- | SATAQ | 0.910 | 0.143 | 6.346 | *** | |
| ACSS_intrapersonal | <--- | ACSS | 1.000 | ||||
| ACSS_consider | <--- | ACSS | 0.728 | 0.145 | 5.036 | *** | |
| ACSS_social | <--- | ACSS | 1.548 | 0.271 | 5.713 | *** | |
| CSAB | <--- | SATAQ | 0.360 | 0.097 | 3.710 | *** | H2- supported |
| CBFS_total | <--- | SATAQ | −1.065 | 0.325 | −3.276 | 0.001 | H6- supported |
| CSAB | <--- | BAS2 | −0.225 | 0.079 | −2.861 | 0.004 | H3- supported |
Disclaimer/Publisher’s Note: The statements, opinions and data contained in all publications are solely those of the individual author(s) and contributor(s) and not of MDPI and/or the editor(s). MDPI and/or the editor(s) disclaim responsibility for any injury to people or property resulting from any ideas, methods, instructions or products referred to in the content. |
© 2023 by the authors. Licensee MDPI, Basel, Switzerland. This article is an open access article distributed under the terms and conditions of the Creative Commons Attribution (CC BY) license (https://creativecommons.org/licenses/by/4.0/).
Share and Cite
Azevedo, A.; Azevedo, Â.S. Implications of Socio-Cultural Pressure for a Thin Body Image on Avoidance of Social Interaction and on Corrective, Compensatory or Compulsive Shopping Behaviour. Int. J. Environ. Res. Public Health 2023, 20, 3567. https://doi.org/10.3390/ijerph20043567
Azevedo A, Azevedo ÂS. Implications of Socio-Cultural Pressure for a Thin Body Image on Avoidance of Social Interaction and on Corrective, Compensatory or Compulsive Shopping Behaviour. International Journal of Environmental Research and Public Health. 2023; 20(4):3567. https://doi.org/10.3390/ijerph20043567
Chicago/Turabian StyleAzevedo, António, and Ângela Sá Azevedo. 2023. "Implications of Socio-Cultural Pressure for a Thin Body Image on Avoidance of Social Interaction and on Corrective, Compensatory or Compulsive Shopping Behaviour" International Journal of Environmental Research and Public Health 20, no. 4: 3567. https://doi.org/10.3390/ijerph20043567
APA StyleAzevedo, A., & Azevedo, Â. S. (2023). Implications of Socio-Cultural Pressure for a Thin Body Image on Avoidance of Social Interaction and on Corrective, Compensatory or Compulsive Shopping Behaviour. International Journal of Environmental Research and Public Health, 20(4), 3567. https://doi.org/10.3390/ijerph20043567

