How Do Health, Biological, Behavioral, and Cognitive Variables Interact over Time in Children of Both Sexes? A Complex Systems Approach
Abstract
1. Introduction
2. Materials and Methods
2.1. Ethics Declaration
2.2. Study Design and Participants
2.3. Instruments and Procedures
2.3.1. Health Indicators
2.3.2. Physical Activity
2.3.3. Motor Competence
2.3.4. Physical Fitness
2.3.5. Perceived Motor Competence
2.3.6. Executive Functions
2.4. Data Collection Procedures
2.5. Statistical Procedures
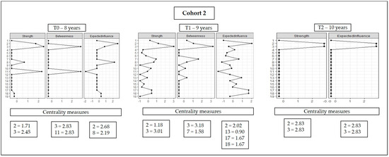
3. Results
4. Discussion
5. Conclusions
Author Contributions
Funding
Institutional Review Board Statement
Informed Consent Statement
Data Availability Statement
Acknowledgments
Conflicts of Interest
References
- Malina, R.M.; Katzmarzyk, P.T. Physical Activity and Fitness in an International Growth Standard for Preadolescent and Adolescent Children. Food Nutr. Bulletion 2006, 27, 295–313. [Google Scholar] [CrossRef]
- Malina, R.M. Top 10 Research Questions Related to Growth and Maturation of Relevance to Physical Activity, Performance, and Fitness. Res. Q. Exerc. Sport 2014, 85, 157–173. [Google Scholar] [CrossRef] [PubMed]
- Bauman, A.E.; Reis, R.S.; Sallis, J.F.; Wells, J.C.; Loos, R.J.F.; Martin, B.W.; Alkandari, J.R.; Andersen, L.B.; Blair, S.N.; Brownson, R.C.; et al. Correlates of Physical Activity: Why Are Some People Physically Active and Others Not? Lancet 2012, 380, 258–271. [Google Scholar] [CrossRef] [PubMed]
- Barnett, L.M.; Salmon, J.; Hesketh, K.D. More Active Pre-School Children Have Better Motor Competence at School Starting Age: An Observational Cohort Study. BMC Public Health 2016, 16, 1068. [Google Scholar] [CrossRef] [PubMed]
- Lopes, L.; Santos, R.; Coelho-E-Silva, M.; Draper, C.; Mota, J.; Jidovtseff, B.; Clark, C.; Schmidt, M.; Morgan, P.; Duncan, M.; et al. A Narrative Review of Motor Competence in Children and Adolescents: What We Know and What We Need to Find Out. Int. J. Environ. Res. Public Health 2021, 15, 18. [Google Scholar] [CrossRef]
- Barnett, L.M.; Webster, E.K.; Hulteen, R.M.; de Meester, A.; Valentini, N.C.; Lenoir, M.; Pesce, C.; Getchell, N.; Lopes, V.P.; Robinson, L.E.; et al. Through the Looking Glass: A Systematic Review of Longitudinal Evidence, Providing New Insight for Motor Competence and Health. Sport. Med. 2022, 52, 875–920. [Google Scholar] [CrossRef]
- Hulteen, R.M.; Barnett, L.M.; True, L.; Lander, N.J.; del Pozo Cruz, B.; Lonsdale, C. Validity and Reliability Evidence for Motor Competence Assessments in Children and Adolescents: A Systematic Review. J. Sport. Sci. 2020, 38, 1717–1798. [Google Scholar] [CrossRef]
- Utesch, T.; Bardid, F.; Büsch, D.; Strauss, B. The Relationship Between Motor Competence and Physical Fitness from Early Childhood to Early Adulthood: A Meta-Analysis. Sport. Med. 2019, 49, 541–551. [Google Scholar] [CrossRef]
- Cattuzzo, M.T.; dos Santos Henrique, R.; Ré, A.H.N.; de Oliveira, I.S.; Melo, B.M.; de Sousa Moura, M.; de Araújo, R.C.; Stodden, D. Motor Competence and Health Related Physical Fitness in Youth: A Systematic Review. J. Sci. Med. Sport. 2016, 19, 123–129. [Google Scholar] [CrossRef]
- Lima, R.A.; Drenowatz, C.; Pfeiffer, K.A. Expansion of Stodden et al.’s Model. Sport. Med. 2022, 52, 679–683. [Google Scholar] [CrossRef]
- Stodden, D.F.; Goodway, J.D.; Langendorfer, S.J.; Roberton, M.A.; Rudisill, M.E.; Garcia, C.; Garcia, L.E. A Developmental Perspective on the Role of Motor Skill Competence in Physical Activity: An Emergent Relationship. Quest 2008, 60, 290–306. [Google Scholar] [CrossRef]
- Webster, E.K.; Sur, I.; Stevens, A.; Robinson, L.E. Associations between Body Composition and Fundamental Motor Skill Competency in Children. BMC Pediatr. 2021, 21, 444. [Google Scholar] [CrossRef] [PubMed]
- de Meester, A.; Stodden, D.; Brian, A.; True, L.; Cardon, G.; Tallir, I.; Haerens, L. Associations among Elementary School Children’s Actual Motor Competence, Perceived Motor Competence, Physical Activity and BMI: A Cross-Sectional Study. PLoS ONE 2016, 11, e0164600. [Google Scholar] [CrossRef] [PubMed]
- García-Hermoso, A.; Ramírez-Campillo, R.; Izquierdo, M. Is Muscular Fitness Associated with Future Health Benefits in Children and Adolescents? A Systematic Review and Meta-Analysis of Longitudinal Studies. Sport. Med. 2019, 49, 1079–1094. [Google Scholar] [CrossRef] [PubMed]
- Pesce, C.; Stodden, D.F.; Lakes, K.D. Editorial: Physical Activity “Enrichment”: A Joint Focus on Motor Competence, Hot and Cool Executive Functions. Front. Psychol. 2021, 12, 658667. [Google Scholar] [CrossRef]
- Veldman, S.L.C.; Santos, R.; Jones, R.A.; Sousa-Sá, E.; Okely, A.D. Associations between Gross Motor Skills and Cognitive Development in Toddlers. Early Hum. Dev. 2019, 132, 39–44. [Google Scholar] [CrossRef]
- Bremer, E.; Cairney, J. Fundamental Movement Skills and Health-Related Outcomes: A Narrative Review of Longitudinal and Intervention Studies Targeting Typically Developing Children. Am. J. Lifestyle Med. 2018, 12, 148–159. [Google Scholar] [CrossRef]
- Messing, S.; Rütten, A.; Abu-Omar, K.; Ungerer-Röhrich, U.; Goodwin, L.; Burlacu, I.; Gediga, G. How Can Physical Activity Be Promoted among Children and Adolescents? A Systematic Review of Reviews across Settings. Front. Public Health 2019, 7, 55. [Google Scholar] [CrossRef]
- Schmutz, E.A.; Leeger-Aschmann, C.S.; Kakebeeke, T.H.; Zysset, A.E.; Messerli-Bürgy, N.; Stülb, K.; Arhab, A.; Meyer, A.H.; Munsch, S.; Puder, J.J.; et al. Motor Competence and Physical Activity in Early Childhood: Stability and Relationship. Front. Public Health 2020, 8, 39. [Google Scholar] [CrossRef]
- Zhang, F.; Bi, C.; Yin, X.; Chen, Q.; Li, Y.; Liu, Y.; Zhang, T.; Li, M.; Sun, Y.; Yang, X. Physical Fitness Reference Standards for Chinese Children and Adolescents. Sci. Rep. 2021, 11, 4991. [Google Scholar] [CrossRef]
- Luz, L.G.O.; Valente-dos-Santos, J.; Luz, T.D.D.; Sousa-e-Silva, P.; Duarte, J.P.; Machado-Rodrigues, A.; Seabra, A.; Santos, R.; Cumming, S.P.; Coelho-e-Silva, M.J. Biocultural Predictors of Motor Coordination among Prepubertal Boys and Girls. Percept. Mot. Ski. 2018, 125, 21–39. [Google Scholar] [CrossRef] [PubMed]
- Bezerra, T.A.; Bandeira, P.F.R.; de Souza Filho, A.N.; Clark, C.C.T.; Mota, J.A.P.S.; Duncan, M.J.; de Lucena Martins, C.M. A Network Perspective on the Relationship between Moderate to Vigorous Physical Activity and Fundamental Motor Skills in Early Childhood. J. Phys. Act. Health 2021, 18, 774–781. [Google Scholar] [CrossRef] [PubMed]
- de Martins, C.M.L.; Bandeira, P.F.R.; Lemos, N.B.A.G.; Bezerra, T.A.; Clark, C.C.T.; Mota, J.; Duncan, M.J. A Network Perspective on the Relationship between Screen Time, Executive Function, and Fundamental Motor Skills among Preschoolers. Int. J. Environ. Res. Public Health 2020, 17, 8861. [Google Scholar] [CrossRef] [PubMed]
- Cazorla-González, J.; García-Retortillo, S.; Gacto-Sánchez, M.; Muñoz-Castro, G.; Serrano-Ferrer, J.; Román-Viñas, B.; López-Bermejo, A.; Font-Lladó, R.; Prats-Puig, A. Effects of Crawling before Walking: Network Interactions and Longitudinal Associations in 7-Year-Old Children. Int. J. Environ. Res. Public Health 2022, 19, 5561. [Google Scholar] [CrossRef]
- Sammut-Bonnici, T. Complex Adaptive Systems. Wiley Encycl. Manag. 2015, 12, 1–3. [Google Scholar] [CrossRef]
- Spencer, J.P.; Perone, S.; Buss, A.T. Twenty Years and Going Strong: A Dynamic Systems Revolution in Motor and Cognitive Development. Child Dev. Perspect. 2011, 5, 260–266. [Google Scholar] [CrossRef]
- Borsboom, D.; Deserno, M.K.; Rhemtulla, M.; Epskamp, S.; Fried, E.I.; McNally, R.J.; Robinaugh, D.J.; Perugini, M.; Dalege, J.; Costantini, G.; et al. Network Analysis of Multivariate Data in Psychological Science. Nat. Rev. Methods Prim. 2021, 1, 58. [Google Scholar] [CrossRef]
- Bartsch, R.P.; Liu, K.K.L.; Bashan, A.; Ivanov, P.C. Network Physiology: How Organ Systems Dynamically Interact. PLoS ONE 2015, 10, e0142143. [Google Scholar] [CrossRef]
- Jaakkola, T.; Yli-Piipari, S.; Huhtiniemi, M.; Salin, K.; Seppälä, S.; Hakonen, H.; Gråstén, A. Longitudinal Associations among Cardiorespiratory and Muscular Fitness, Motor Competence and Objectively Measured Physical Activity. J. Sci. Med. Sport. 2019, 22, 1243–1248. [Google Scholar] [CrossRef]
- King-Dowling, S.; Proudfoot, N.A.; Cairney, J.; Timmons, B.W. Motor Competence, Physical Activity, and Fitness across Early Childhood. Med. Sci. Sport. Exerc. 2020, 52, 2342–2348. [Google Scholar] [CrossRef]
- IBGE Panorama Geral de Santo Antônio Do Grama. Available online: https://cidades.ibge.gov.br/brasil/mg/santo-antonio-do-grama/panorama (accessed on 19 October 2022).
- Stewart, A.D.; Marfell-Jones, M.; Olds, T.; De Ridder, J.H. International Standards for Anthropometric Assessment; International Society for the Advancement of Kinanthropometry: Lower Hutt, New Zealand, 2011; pp. 1–139. [Google Scholar]
- Lohman, T.G. Applicability of Body Composition Techniques and Constants for Children and Youths. Exerc. Sport. Sci. Rev. 1986, 14, 325–357. [Google Scholar] [CrossRef] [PubMed]
- Baecke, J.A.H.; Burema, J.; Frijters, J.E. A Short Questionnaire for the Measurement of Habitual Physical Activity in Epidemiological Studies. Am. J. Clin. Nutr. 1982, 36, 936–942. [Google Scholar] [CrossRef] [PubMed]
- Tudor-Locke, C.; Craig, C.L.; Beets, M.W.; Belton, S.; Cardon, G.M.; Duncan, S.; Hatano, Y.; Lubans, D.R.; Olds, T.S.; Raustorp, A.; et al. How Many Steps/Day Are Enough? For Children and Adolescents. Int. J. Behav. Nutr. Phys. Act. 2011, 8, 78. [Google Scholar] [CrossRef] [PubMed]
- Ulrich, D. Test of Gross Motor Development: Second Edition: Examiner’s Manual, 2nd ed.; Prod-Ed: Austin, TX, USA, 2000. [Google Scholar]
- Adam, C.; Klissouras, V.; Ravazzolo, M.; Renson, R.; Tuxworth, W.; Kemper, H.C.G.; van Mechelen, W.; Hlobil, H.; Beunen, G.; Levarlet-Joye, H. EUROFIT: European Test of Physical Fitness—Handbook; Committee for the Development of Sport, Council of Europe: Rome, Italy, 1988. [Google Scholar]
- Plowman, S.; Meredith, M.D. Fitnessgram/Activitygram Reference Guide, 4th ed.; The Cooper Institute: Dallas, TX, USA, 2013. [Google Scholar]
- Gaya, A.; Gaya, A.R. Projeto Esporte Brasil: Manual de Testes e Avaliação Versão 2016. Available online: https://www.ufrgs.br/proesp/arquivos/manual-proesp-br-2016.pdf (accessed on 4 November 2022).
- American Alliance for Health, Physical Education, Recreation, and Dance. Physical Best: A Physical Fitness Education & Assessment Program; The Alliance: Vienna, VA, USA, 1988. [Google Scholar]
- Barnett, L.M.; Ridgers, N.D.; Zask, A.; Salmon, J. Face Validity and Reliability of a Pictorial Instrument for Assessing Fundamental Movement Skill Perceived Competence in Young Children. J. Sci. Med. Sport. 2015, 18, 98–102. [Google Scholar] [CrossRef] [PubMed]
- Sedó, M.; de Paula, J.J.; Malloy-Diniz, L.F. FDT—Teste Dos Cinco Dígitos; Hogrefe: São Paulo, Brazil, 2015. [Google Scholar]
- Wechsler, D. Escala Wechsler de Inteligência Para Crianças: WISC IV. Manual Técnico/Tradução Do Manual Original, 4th ed.; Caso do Psicólogo: São Paulo, Brazil, 2013. [Google Scholar]
- Lezak, M.D.; Howieson, D.B.; Bigler, E.D. Neuropsychological Assessment, 5th ed.; Oxford University Press: New York, NY, USA, 2012. [Google Scholar]
- Strauss, E.; Sherman, E.; Spreen, O. A Compendium of Neuropsychological Tests, 3rd ed.; Oxford University Press: New York, NY, USA, 2006. [Google Scholar]
- Cohen, J. Statistical Power Analysis for the Behavioral Sciences; Routledge: London, UK, 2013; ISBN 9781134742707. [Google Scholar]
- Hevey, D. Network Analysis: A Brief Overview and Tutorial. Health Psychol. Behav. Med. 2018, 6, 301–328. [Google Scholar] [CrossRef]
- Fruchterman, T.M.J.; Reingold, E.M.; Wiley, J. Graph Drawing by Force-Directed Placement. Softw. Pract. Exp. 1991, 21, 1129–1164. [Google Scholar] [CrossRef]
- Chen, J.; Chen, Z. Extended Bayesian Information Criteria for Model Selection with Large Model Spaces. Biometrika 2008, 95, 759–771. [Google Scholar] [CrossRef]
- Foygel, R.; Drton, M. Extended Bayesian Information Criteria for Gaussian Graphical Models. Adv. Neural Inf. Process. Syst. 2010, 23. [Google Scholar] [CrossRef]
- Epskamp, S.; Cramer, A.O.J.; Waldorp, L.J.; Schmittmann, V.D.; Borsboom, D. Qgraph: Network Visualizations of Relationships in Psychometric Data. J. Stat. Softw. 2012, 48, 1–18. [Google Scholar] [CrossRef]
- Khodaverdi, Z.; Bahram, A.; Stodden, D.; Kazemnejad, A. The Relationship between Actual Motor Competence and Physical Activity in Children: Mediating Roles of Perceived Motor Competence and Health-Related Physical Fitness. J. Sport. Sci. 2016, 34, 1523–1529. [Google Scholar] [CrossRef]
- López-Gil, J.F.; Brazo-Sayavera, J.; Lucas, J.L.Y.; Cavichiolli, F.R. Weight Status Is Related to Health-Related Physical Fitness and Physical Activity but Not to Sedentary Behaviour in Children. Int. J. Environ. Res. Public Health 2020, 17, 4518. [Google Scholar] [CrossRef] [PubMed]
- Antunes, A.M.; Maia, J.A.; Stasinopoulos, M.D.; Gouveia, É.R.; Thomis, M.A.; Lefevre, J.A.; Teixeira, A.Q.; Freitas, D.L. Gross Motor Coordination and Weight Status of Portuguese Children Aged 6-14 Years. Am. J. Hum. Biol. 2015, 27, 681–689. [Google Scholar] [CrossRef] [PubMed]
- Garcia-Mayor, R.V.; Andrade, M.A.; Rios, M.; Lage, M.; Dieguez, C.; Casanueva, F.F. Serum Leptin Levels in Normal Children: Relationship to Age, Gender, Body Mass Index, Pituitary-Gonadal Hormones, and Pubertal Stage. J. Clin. Endocrinol. Metab. 1997, 82, 2849–2855. [Google Scholar] [CrossRef]
- Taylor, R.W.; Gold, E.; Manning, P.; Goulding, A. Gender Differences in Body Fat Content Are Present Well before Puberty. Int. J. Obes. 1997, 21, 1082–1084. [Google Scholar] [CrossRef] [PubMed]
- Gültekin, T.; Akin, G.; Ozer, B.K. Gender Differences in Fat Patterning in Children Living in Ankara. Anthropol. Anz. 2005, 63, 427–437. [Google Scholar] [CrossRef]
- Laukkanen, A.; Pesola, A.; Havu, M.; Sääkslahti, A.; Finni, T. Relationship between Habitual Physical Activity and Gross Motor Skills Is Multifaceted in 5- to 8-Year-Old Children. Scand. J. Med. Sci. Sport. 2014, 24, e102–e110. [Google Scholar] [CrossRef]
- Foweather, L.; Knowles, Z.; Ridgers, N.D.; O’Dwyer, M.V.; Foulkes, J.D.; Stratton, G. Fundamental Movement Skills in Relation to Weekday and Weekend Physical Activity in Preschool Children. J. Sci. Med. Sport. 2015, 18, 691–696. [Google Scholar] [CrossRef]
- Estevan, I.; García-Massó, X.; Molina García, J.; Barnett, L.M. Identifying Profiles of Children at Risk of Being Less Physically Active: An Exploratory Study Using a Self-Organised Map Approach for Motor Competence. J. Sport. Sci. 2019, 37, 1356–1364. [Google Scholar] [CrossRef]
- Iglesias-Soler, E.; Rúa-Alonso, M.; Rial-Vázquez, J.; Lete-Lasa, J.R.; Clavel, I.; Giráldez-García, M.A.; Rico-Díaz, J.; del Corral, M.R.; Carballeira-Fernández, E.; Dopico-Calvo, X. Percentiles and Principal Component Analysis of Physical Fitness From a Big Sample of Children and Adolescents Aged 6-18 Years: The DAFIS Project. Front. Psychol. 2021, 12, 627834. [Google Scholar] [CrossRef]
- Rodrigues, L.P.; Leitão, R.; Lopes, V.P. Physical Fitness Predicts Adiposity Longitudinal Changes over Childhood and Adolescence. J. Sci. Med. Sport. 2013, 16, 118–123. [Google Scholar] [CrossRef]
- He, Z.; Wu, H.; Yu, F.; Fu, J.; Sun, S.; Huang, T.; Wang, R.; Chen, D.; Zhao, G.; Quan, M. Effects of Smartphone-Based Interventions on Physical Activity in Children and Adolescents: Systematic Review and Meta-Analysis. JMIR Mhealth Uhealth 2021, 9, e22601. [Google Scholar] [CrossRef] [PubMed]
- Robinson, L.E.; Stodden, D.F.; Barnett, L.M.; Lopes, V.P.; Logan, S.W.; Rodrigues, L.P.; D’Hondt, E. Motor Competence and Its Effect on Positive Developmental Trajectories of Health. Sport. Med. 2015, 45, 1273–1284. [Google Scholar] [CrossRef] [PubMed]
- Estevan, I.; Menescardi, C.; García-Massó, X.; Barnett, L.M.; Molina-García, J. Profiling Children Longitudinally: A Three-Year Follow-up Study of Perceived and Actual Motor Competence and Physical Fitness. Scand. J. Med. Sci. Sport. 2021, 31, 35–46. [Google Scholar] [CrossRef]
- Barker, J.E.; Semenov, A.D.; Michaelson, L.; Provan, L.S.; Snyder, H.R.; Munakata, Y. Less-Structured Time in Children’s Daily Lives Predicts Self-Directed Executive Functioning. Front. Psychol. 2014, 5, 593. [Google Scholar] [CrossRef]
- Diamond, A. Executive Functions. Annu. Rev. Psychol. 2013, 64, 135–168. [Google Scholar] [CrossRef]
- Donnelly, J.E.; Hillman, C.H.; Castelli, D.; Etnier, J.L.; Lee, S.; Tomporowski, P.; Lambourne, K.; Szabo-Reed, A.N. Physical Activity, Fitness, Cognitive Function, and Academic Achievement in Children: A Systematic Review. Med. Sci. Sport. Exerc. 2016, 48, 1197–1222. [Google Scholar] [CrossRef] [PubMed]
- Valkenborghs, S.R.; Noetel, M.; Hillman, C.H. The Impact of Physical Activity on Brain Structure and Function in Youth: A Systematic Review. Pediatrics 2019, 144, 20184032. [Google Scholar] [CrossRef] [PubMed]
- Gerber, M.; Lang, C.; Beckmann, J.; du Randt, R.; Gall, S.; Seelig, H.; Long, K.Z.; Ludyga, S.; Müller, I.; Nienaber, M.; et al. How Are Academic Achievement and Inhibitory Control Associated with Physical Fitness, Soil-Transmitted Helminth Infections, Food Insecurity and Stunting among South African Primary Schoolchildren? BMC Public Health 2021, 21, 852. [Google Scholar] [CrossRef] [PubMed]
- Diamond, A.; Ling, D.S. Conclusions about Interventions, Programs, and Approaches for Improving Executive Functions That Appear Justified and Those That, despite Much Hype, Do Not. Dev. Cogn. Neurosci. 2016, 18, 34–48. [Google Scholar] [CrossRef]
- Stad, F.E.; Wiedl, K.H.; Vogelaar, B.; Bakker, M.; Resing, W.C.M. The Role of Cognitive Flexibility in Young Children’s Potential for Learning under Dynamic Testing Conditions. Eur. J. Psychol. Educ. 2019, 34, 123–146. [Google Scholar] [CrossRef]
- Ortega, F.B.; Ruiz, J.R.; Castillo, M.J.; Sjöström, M. Physical Fitness in Childhood and Adolescence: A Powerful Marker of Health. Int. J. Obes. 2008, 32, 1–11. [Google Scholar] [CrossRef]
- Sherar, L.B.; Cumming, S.P. Human Biology of Physical Activity in the Growing Child. Ann. Hum. Biol. 2020, 47, 313–315. [Google Scholar] [CrossRef] [PubMed]
- Howie, E.K.; McVeigh, J.A.; Smith, A.J.; Zabatiero, J.; Bucks, R.S.; Mori, T.A.; Beilin, L.J.; Straker, L.M. Physical Activity Trajectories from Childhood to Late Adolescence and Their Implications for Health in Young Adulthood. Prev. Med. 2020, 139, 106224. [Google Scholar] [CrossRef] [PubMed]
- Aadland, E.; Kvalheim, O.M.; Anderssen, S.A.; Resaland, G.K.; Andersen, L.B. The Multivariate Physical Activity Signature Associated with Metabolic Health in Children. Int. J. Behav. Nutr. Phys. Act. 2018, 15, 77. [Google Scholar] [CrossRef]
- Chaput, J.P.; Willumsen, J.; Bull, F.; Chou, R.; Ekelund, U.; Firth, J.; Jago, R.; Ortega, F.B.; Katzmarzyk, P.T. 2020 WHO Guidelines on Physical Activity and Sedentary Behaviour for Children and Adolescents Aged 5–17 Years: Summary of the Evidence. Int. J. Behav. Nutr. Phys. Act. 2020, 17, 141. [Google Scholar] [CrossRef] [PubMed]
- Knuth, A.G.; Hallal, P.C. School Environment and Physical Activity in Children and Adolescents: Systematic Review. Rev. Bras. De Ativ. Física Saúde 2012, 17, 463–473. [Google Scholar] [CrossRef]




| Cohort 1 (Girls = 16; Boys = 20) | ||||||||||||
|---|---|---|---|---|---|---|---|---|---|---|---|---|
| Variables | T0 | T1 | T2 | |||||||||
| Girls | Boys | t/U | p | Girls | Boys | t/U | p | Girls | Boys | t/U | p | |
| Age (years) | 6.31 ± 0.18 | 6.39 ± 0.97 | −0.93 a | 0.356 c | 7.36± 0.18 | 7.44 ± 0.27 | −1.01 a | 0.317 c | 8.35 ± 0.18 | 8.45 ± 0.30 | −1.14 a | 0.261 c |
| Health Indicators | ||||||||||||
| WHtR | 0.44 ± 0.02 | 0.45 ± 0.02 | −1.34 a | 0.187 d | 0.44 ± 0.03 | 0.44 ± 0.03 | −0.28 a | 0.782 c | 0.44 ± 0.04 | 0.45 ± 0.03 | −0.33 a | 0.744 c |
| BFP (%) | 21.31 ± 4.48 | 13.82 ± 4.34 | 5.07 a | <0.001 e | 22.16 (6.07) | 12.22 (6.87) | 5.28 b | <0.001 c | 23.19 (10.31) | 12.10 (5.55) | 67.00 b | 0.002 |
| Physical Activity | ||||||||||||
| Steps | 6376.43 ± 2838.16 | 6916.57 ± 3154.33 | −0.53 a | 0.597 c | 10,322.04 ± 3855.51 | 8988.12 ± 3044.24 | 1.16 a | 0.254 c | 5996.43 ± 2473.21 | 10,330.91 ± 3154.33 | −3.52 a | <0.001 e |
| Score | 7.38 ± 0.89 | 8.15 ± 1.16 | −2.17 a | 0.037 d | 7.67 ± 0.89 | 8.77 ± 1.48 | −2.60 a | 0.010 e | 7.83 ± 1.18 | 8.60 ± 1.35 | −1.79 a | 0.082 d |
| Physical Fitness | ||||||||||||
| Hand grip strength (kg) | 9.42 ± 2.10 | 10.76 ± 2.57 | −1.68 a | 0.102 d | 11.62 ± 2.17 | 11.40 ± 3.46 | 0.22 a | 0.822 c | 12.03 ± 2.32 | 13.85 ± 4.43 | −1.48 a | 0.148 d |
| Abdominal resistance (rep) | 8.43 ± 5.07 | 11.90 ± 4.45 | −2.17 a | 0.036 d | 12.50 (6.50) | 14.00 (3.75) | 114.50 b | 0.149 | 13.50 (6.50) | 16.00 (6.25) | 132.50 b | 0.386 |
| Upper limb strength (rep) | 2.50 (4.75) | 4.10 (7.50) | 125.50 b | 0.276 | 3.50 (10.00) | 3.00 (7.25) | 157.50 b | 0.937 | 3.50 (8.25) | 4.50 (8.00) | 128.00 b | 0.249 |
| Speed (sec) | 24.84 (14.01) | 25.09 (13.83) | 143.00 b | 0.604 | 25.29 ± 1.48 | 23.78 ± 1.81 | 2.67 a | 0.010 e | 24.22 ± 1.49 | 23.71 ± 1.67 | 0.94 a | 0.354 c |
| Lower limb strength (cm) | 98.50 (29.43) | 95.75 (34.00) | 154.00 b | 0.863 | 105.41 (22.65) | 119.17 (29.63) | 107.50 b | 0.095 | 112.21 ± 15.68 | 118.29 ± 17.14 | −1.09 a | 0.280 c |
| Flexibility (cm) | 28.55 ± 5.32 | 25.26 ± 6.93 | 1.56 a | 0.126 d | 27.60 ± 6.78 | 23.62 ± 7.40 | 1.66 a | 0.103 d | 27.28 ± 6.70 | 23.78 ± 7.71 | 1.43 a | 0.160 c |
| Agility (sec) | 8.68 ± 0.62 | 8.59 ± 0.72 | 0.37 a | 0.707 c | 8.14 (1.18) | 7.84 (0.79) | 101.00 b | 0.062 | 7.70 (0.75) | 7.21 (0.49) | 87.00 b | 0.020 |
| Cardiorespiratory fitness (m) | 805.43 ± 141.08 | 859.56± 135.69 | −1.16 a | 0.253 c | 820.44 ± 114.05 | 846.27 ± 100.93 | −0.72 a | 0.483 c | 778.01± 143.15 | 846.31 ± 146.36 | −1.40 a | 0.169 c |
| Motor Competence | ||||||||||||
| Locomotion skill (pts) | 35.56 ± 6.12 | 35.37 ± 4.44 | 0.10 a | 0.916 c | 39.12 ± 4.50 | 38.25 ± 4.29 | 0.59 a | 0.558 c | 40.62 ± 4.12 | 40.00 ± 3.32 | 0.50 a | 0.618 c |
| Object control skill (pts) | 25.18 ± 6.43 | 27.52 ± 5.56 | −1.16 a | 0.251 c | 29.81 ± 5.10 | 34.05 ± 4.01 | −2.79 a | 0.011 e | 36.18 ± 3.35 | 38.85 ± 3.45 | −2.32 a | 0.026 e |
| Perceived Motor Competence | ||||||||||||
| Pictographic Scale (pts) | 44.50 (8.75) | 43.50 (8.75) | 131.50 b | 0.369 | 41.50 (10.25) | 42.50 (9.75) | 126.50 b | 0.290 | 41.00 (10.25) | 37.50 (11.75) | 128.00 b | 0.320 |
| Executive Fuction | ||||||||||||
| Inhibitory control (sec) | 78.00 (32.25) | 71.50 (39.50) | 120.00 b | 0.211 | 57.50 (26.50) | 54.00 (12.50) | 114.00 b | 0.149 | 45.00 (18.75) | 45.00 (21.25) | 149.50 b | 0.741 |
| Cognitive flexibility (pts) | 3.00 (2.00) | 3.00 (1.71) | 135.50 b | 0.440 | 4.43 ± 1.71 | 3.70 ± 1.41 | 1.41 a | 0.166 c | 5.00 (1.75) | 5.00 (2.75) | 156.50 b | 0.912 |
| Working memory (pts) | 22.00 (4.00) | 24.00 (4.25) | 159.00 b | 0.987 | 20.00 (4.00) | 22.00 (18.00) | 155.50 b | 0.888 | 32.50 (11.00) | 30.00 (20.00) | 143.00 b | 0.604 |
| Cohort 2 (Girls = 10; Boys = 21) | ||||||||||||
|---|---|---|---|---|---|---|---|---|---|---|---|---|
| Variables | T0 | T1 | T2 | |||||||||
| Girls | Boys | t/U | p | Girls | Boys | t/U | p | Girls | Boys | t/U | p | |
| Age (years) | 8.29 ± 0.31 | 8.19 ± 0.29 | 0.84 a | 0.407 c | 9.32 ± 0.33 | 9.21 ± 0.29 | 0.85 a | 0.400 c | 10.31 ± 0.32 | 10.21 ± 0.29 | 0.87 a | 0.387 c |
| Health Indicators | ||||||||||||
| WHtR | 0.46 (0.07) | 0.43 (0.06) | 92.50 b | 0.603 | 0.47 (0.09) | 0.43 (0.09) | 86.50 b | 0.441 | 0.45 (0.11) | 0.43 (0.09) | 92.50 b | 0.603 |
| BFP (%) | 25.12 ± 7.63 | 16.61 ± 7.90 | 2.83 a | 0.008 e | 29.30 (14.82) | 13.10 (12.73) | 23.00 b | <0.001 | 22.63 (15.49) | 13.69 (14.91) | 45.00 b | 0.010 |
| Physical Activity | ||||||||||||
| Steps | 8204.40 ± 4558.85 | 9179.80 ± 4908.90 | −0.52 a | 0.601 c | 10,089.92 ± 4516.06 | 11,580.15 ± 4620.80 | −0.84 a | 0.405 c | 10,264.82 ± 4302.01 | 11,315.41 ± 5836.02 | −0.50 a | 0.617 c |
| Score | 7.80 ± 1.33 | 8.68 ± 0.83 | −2.26 a | 0.031 e | 8.07 ± 1.03 | 8.96 ± 1.18 | −2.02 a | 0.052 e | 8.19 ± 1.04 | 8.49 ± 1.18 | −0.69 a | 0.491 c |
| Physical Fitness | ||||||||||||
| Hand grip strength (kg) | 12.00 ± 2.57 | 12.82 ± 2.67 | −0.80 a | 0.426 c | 14.45 ± 2.94 | 16.50 ± 3.70 | 0.65 a | 0.137 d | 16.95 ± 3.13 | 17.59 ± 3.65 | −0.47 a | 0.636 c |
| Abdominal resistance (rep) | 7.10 ± 5.38 | 12.00 ± 5.54 | −2.32 a | 0.027 e | 10.40 ± 4.40 | 14.28 ± 4.75 | −2.17 a | 0.038 e | 12.10 ± 4.28 | 14.66 ± 5.42 | −1.31 a | 0.200 d |
| Upper limb strength (rep) | 4.00 (7.25) | 6.00 (7.50) | 85.00 b | 0.416 | 2.50 (6.25) | 5.00 (7.00) | 69.00 b | 0.135 | 1.50 (4.50) | 9.00 (8.00) | 49.00 b | 0.017 |
| Spcnhibeecnhibd (sec) | 23.94 (1.05) | 23.58 (0.95) | 65.00 b | 0.096 | 23.97 ± 1.60 | 22.80 ± 0.99 | 2.48 a | 0.019 e | 23.51 ± 1.33 | 22.82 ± 1.61 | 1.16 a | 0.253 c |
| Lower limb strength (cm) | 103.49 ± 12.67 | 115.78 ± 19.05 | −1.84 a | 0.075 d | 112.00 ± 17.76 | 124.84 ± 21.35 | −1.64 a | 0.111 d | 120.29 ± 11.69 | 127.11 ± 21.31 | −0.94 a | 0.354 c |
| Flexibility (cm) | 29.23 ± 3.93 | 25.71 ± 4.67 | 2.05 a | 0.049 e | 25.81 ± 5.50 | 24.45 ± 5.52 | 0.63 a | 0.529 c | 27.31 ± 5.29 | 25.99 ± 6.23 | 1.88 a | 0.069 c |
| Agility (sec) | 8.21 ± 0.60 | 7.56 ± 0.55 | 2.97 a | 0.006 e | 7.36 ± 0.52 | 7.32 ± 0.42 | 0.21 a | 0.830 c | 7.39 ± 0.43 | 6.86 ± 0.44 | 3.15 a | 0.004 e |
| Cardiorespiratory fitness (m) | 812.75 ± 68.66 | 891.91 ± 101.69 | −2.22 a | 0.034 e | 839.09 ± 120.14 | 911.00± 95.84 | −1.80 a | 0.082 d | 857.93 ± 67.37 | 899.02 ± 98.27 | −1.19 a | 0.243 c |
| Motor Competence | ||||||||||||
| Locomotion skill (pts) | 36.25 (8.63) | 36.50 (7.25) | 101.50 b | 0.884 | 39.50 ± 4.74 | 41.19 ± 2.96 | −1.21 a | 0.233 c | 42.00 ± 2.70 | 42.61 ± 2.53 | −0.62 a | 0.539 c |
| Object control skill (pts) | 27.00 ± 5.03 | 29.40 ± 4.02 | −1.43 a | 0.162 d | 36.00 (6.50) | 39.00 (4.00) | 49.50 b | 0.017 | 38.20 ± 2.57 | 42.04 ± 4.91 | −2.31 a | 0.028 e |
| Perceived Motor Competence | ||||||||||||
| Pictographic Scale (pts) | 36.10 ± 5.40 | 39.80 ± 4.94 | −1.89 a | 0.068 d | 36.10 ± 4.45 | 40.23 ± 4.10 | −2.55 a | 0.016 e | 36.50 ± 4.35 | 37.95 ± 4.00 | −0.91 a | 0.366 c |
| Executive Fuction | ||||||||||||
| Inhibitory control (sec) | 53.50 ± 9.92 | 45.76 ± 8.79 | 2.19 a | 0.036 e | 41.00 ± 5.24 | 37.00 ± 5.33 | 1.61 a | 0.118 d | 37.00 (11.00) | 35.00 (9.50) | 98.00 b | 0.787 |
| Cognitive flexibility (pts) | 5.00 (2.25) | 4.00 (2.00) | 72.00 b | 0.173 | 6.60 ± 1.83 | 5.23 ± 1.57 | 2.13 a | 0.042 e | 6.80 ± 1.47 | 5.80 ± 2.15 | 1.30 a | 0.202 d |
| Working memory (pts) | 22.00 (6.75) | 24.00 (10.00) | 102.50 b | 0.917 | 24.00 (8.25) | 24.00 (15.00) | 95.00 b | 0.693 | 32.50 (12.25) | 35.00 (18.00) | 87.50 b | 0.466 |
Disclaimer/Publisher’s Note: The statements, opinions and data contained in all publications are solely those of the individual author(s) and contributor(s) and not of MDPI and/or the editor(s). MDPI and/or the editor(s) disclaim responsibility for any injury to people or property resulting from any ideas, methods, instructions or products referred to in the content. |
© 2023 by the authors. Licensee MDPI, Basel, Switzerland. This article is an open access article distributed under the terms and conditions of the Creative Commons Attribution (CC BY) license (https://creativecommons.org/licenses/by/4.0/).
Share and Cite
Pereira, E.d.S.; Thuany, M.; Bandeira, P.F.R.; Gomes, T.N.Q.F.; dos Santos, F.K. How Do Health, Biological, Behavioral, and Cognitive Variables Interact over Time in Children of Both Sexes? A Complex Systems Approach. Int. J. Environ. Res. Public Health 2023, 20, 2728. https://doi.org/10.3390/ijerph20032728
Pereira EdS, Thuany M, Bandeira PFR, Gomes TNQF, dos Santos FK. How Do Health, Biological, Behavioral, and Cognitive Variables Interact over Time in Children of Both Sexes? A Complex Systems Approach. International Journal of Environmental Research and Public Health. 2023; 20(3):2728. https://doi.org/10.3390/ijerph20032728
Chicago/Turabian StylePereira, Elenice de Sousa, Mabliny Thuany, Paulo Felipe Ribeiro Bandeira, Thayse Natacha Q. F. Gomes, and Fernanda Karina dos Santos. 2023. "How Do Health, Biological, Behavioral, and Cognitive Variables Interact over Time in Children of Both Sexes? A Complex Systems Approach" International Journal of Environmental Research and Public Health 20, no. 3: 2728. https://doi.org/10.3390/ijerph20032728
APA StylePereira, E. d. S., Thuany, M., Bandeira, P. F. R., Gomes, T. N. Q. F., & dos Santos, F. K. (2023). How Do Health, Biological, Behavioral, and Cognitive Variables Interact over Time in Children of Both Sexes? A Complex Systems Approach. International Journal of Environmental Research and Public Health, 20(3), 2728. https://doi.org/10.3390/ijerph20032728

