Is There a Dose–Response Relationship between High-Intensity Interval Exercise (HIIE) Intensity and Affective Valence? Analysis of Three HIIE Sessions Performed with Different Amplitudes
Abstract
:1. Introduction
2. Materials and Methods
2.1. Participants
2.2. Experimental Design
2.3. Procedures
2.3.1. Anthropometric Measurements
2.3.2. Psychological Variables
2.3.3. Physiological Variables
2.3.4. Maximal Exercise Test
2.3.5. Experimental Sessions
2.3.6. Statistical Analysis
3. Results
3.1. General Characteristics
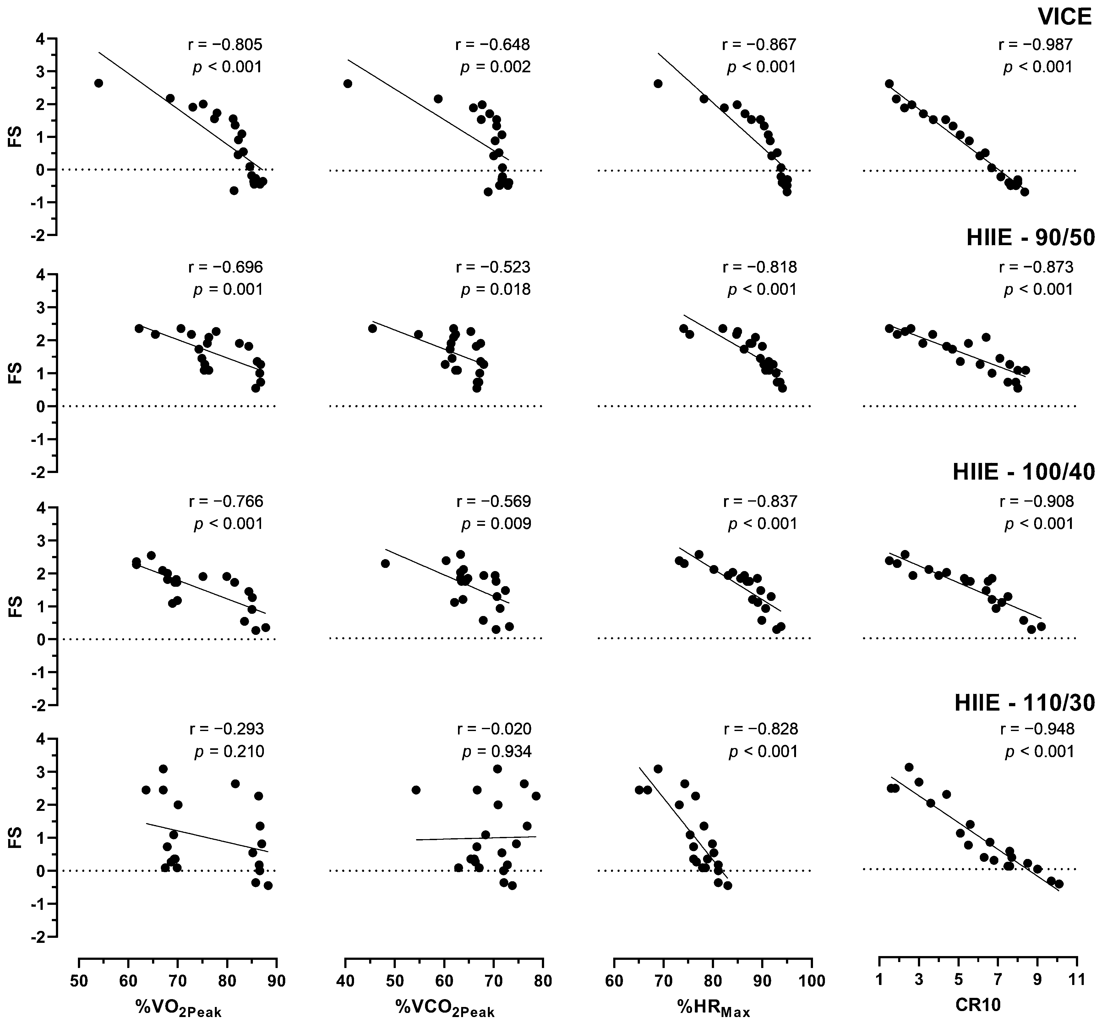
3.2. Correlations
4. Discussion
Limitations
5. Conclusions
Author Contributions
Funding
Institutional Review Board Statement
Informed Consent Statement
Data Availability Statement
Acknowledgments
Conflicts of Interest
References
- Stevens, C.J.; Baldwin, A.S.; Bryan, A.D.; Conner, M.; Rhodes, R.E.; Williams, D.M. Affective Determinants of Physical Activity: A Conceptual Framework and Narrative Review. Front. Psychol. 2020, 11, 568331. [Google Scholar] [CrossRef]
- Ekkekakis, P.; Parfitt, G.; Petruzzello, S.J. The pleasure and displeasure people feel when they exercise at different intensities: Decennial update and progress towards a tripartite rationale for exercise intensity prescription. Sport. Med. 2011, 41, 641–671. [Google Scholar] [CrossRef]
- Oliveira, B.R.R.; Santos, T.M.; de Carvalho Guerreiro, R.; D’Amorim, I.; Lattari, E.; Deslandes, A.C. Acute affective responses to high-intensity interval exercise: Implications on the use of different stimulus-recovery amplitudes. Eur. J. Sport Sci. 2022, 22, 1775–1785. [Google Scholar] [CrossRef]
- Stork, M.J.; Banfield, L.E.; Gibala, M.J.; Martin Ginis, K.A. A scoping review of the psychological responses to interval exercise: Is interval exercise a viable alternative to traditional exercise? Health Psychol. Rev. 2017, 11, 324–344. [Google Scholar] [CrossRef]
- Ramalho Oliveira, B.R.; Viana, B.F.; Pires, F.O.; Junior Oliveira, M.; Santos, T.M. Prediction of Affective Responses in Aerobic Exercise Sessions. CNS Neurol. Disord. Drug Targets 2015, 14, 1214–1218. [Google Scholar] [CrossRef]
- Frazao, D.T.; de Farias Junior, L.F.; Dantas, T.C.; Krinski, K.; Elsangedy, H.M.; Prestes, J.; Hardcastle, S.J.; Costa, E.C. Feeling of Pleasure to High-Intensity Interval Exercise Is Dependent of the Number of Work Bouts and Physical Activity Status. PLoS ONE 2016, 11, e0152752. [Google Scholar] [CrossRef]
- Farias-Junior, L.F.; Browne, R.A.V.; Astorino, T.A.; Costa, E.C. Physical activity level and perceived exertion predict in-task affective valence to low-volume high-intensity interval exercise in adult males. Physiol. Behav. 2020, 224, 112960. [Google Scholar] [CrossRef]
- Edge, J.; Eynon, N.; McKenna, M.J.; Goodman, C.A.; Harris, R.C.; Bishop, D.J. Altering the rest interval during high-intensity interval training does not affect muscle or performance adaptations. Exp. Physiol. 2013, 98, 481–490. [Google Scholar] [CrossRef]
- Dierkes, K.; Mattioni Maturana, F.; Rosel, I.; Martus, P.; Niess, A.M.; Thiel, A.; Sudeck, G. Different Endurance Exercise Modalities, Different Affective Response: A Within-Subject Study. Front. Psychol. 2021, 12, 686661. [Google Scholar] [CrossRef]
- Billat, L.V. Interval training for performance: A scientific and empirical practice. Special recommendations for middle- and long-distance running. Part I: Aerobic interval training. Sport. Med. 2001, 31, 13–31. [Google Scholar] [CrossRef]
- ACSM. ACSM’s Guidelines for Exercise Testing and Prescription, 10th ed.; Lippincott Williams & Wilkins: Baltimore, MD, USA, 2018; p. 480. [Google Scholar]
- Stringer, W.; Wasserman, K.; Casaburi, R. The VCO2/VO2 relationship during heavy, constant work rate exercise reflects the rate of lactic acid accumulation. Eur. J. Appl. Physiol. Occup. Physiol. 1995, 72, 25–31. [Google Scholar] [CrossRef] [PubMed]
- Rejeski, W.J. Perceived exertion: An active or passive process? J. Sport Psychol. 1985, 7, 371–378. [Google Scholar] [CrossRef]
- Borg, G. Borg’s Perceived Exertion and Pain Scales; Human Kinetics: Champaign, IL, USA, 1998; p. 104. [Google Scholar]
- Gaesser, G.A.; Poole, D.C. The slow component of oxygen uptake kinetics in humans. Exerc. Sport Sci. Rev. 1996, 24, 35–71. [Google Scholar] [CrossRef] [PubMed]
- Alves, E.D.; Panissa, V.L.G.; Barros, B.J.; Franchini, E.; Takito, M.Y. Translation, adaptation, and reproducibility of the Physical Activity Enjoyment Scale (PACES) and Feeling Scale to Brazilian Portuguese. Sport Sci. Health 2019, 15, 329–336. [Google Scholar] [CrossRef]
- Myers, J.; Buchanan, N.; Walsh, D.; Kraemer, M.; McAuley, P.; Hamilton-Wessler, M.; Froelicher, V.F. Comparison of the ramp versus standard exercise protocols. J. Am. Coll. Cardiol. 1991, 17, 1334–1342. [Google Scholar] [CrossRef]
- Meglic, C.E.; Orman, C.M.; Rogers, R.R.; Williams, T.D.; Ballmann, C.G. Influence of Warm-Up Music Preference on Anaerobic Exercise Performance in Division I NCAA Female Athletes. J. Funct. Morphol. Kinesiol. 2021, 6, 64. [Google Scholar] [CrossRef] [PubMed]
- Vincent, W.J. Statistics in Kinesiology, 3rd ed.; Human Kinetics: Champaign, IL, USA, 2005; p. 311. [Google Scholar]
- Ekkekakis, P. Pleasure and displeasure from the body: Perspectives from exercise. Cogn. Emot. 2003, 17, 213–239. [Google Scholar] [CrossRef]
- Farias-Junior, L.F.; Macedo, G.A.D.; Browne, R.A.V.; Freire, Y.A.; Oliveira-Dantas, F.F.; Schwade, D.; Mortatti, A.L.; Santos, T.M.; Costa, E.C. Physiological and Psychological Responses during Low-Volume High-Intensity Interval Training Sessions with Different Work-Recovery Durations. J. Sport. Sci. Med. 2019, 18, 181–190. [Google Scholar]
- Martinez, N.; Kilpatrick, M.W.; Salomon, K.; Jung, M.E.; Little, J.P. Affective and Enjoyment Responses to High-Intensity Interval Training in Overweight-to-Obese and Insufficiently Active Adults. J. Sport Exerc. Psychol. 2015, 37, 138–149. [Google Scholar] [CrossRef]
- Hammer, T.M.; Pedersen, S.; Pettersen, S.A.; Rognmo, K.; Sagelv, E.H. Affective Valence and Enjoyment in High- and Moderate-High Intensity Interval Exercise. The Tromso Exercise Enjoyment Study. Front. Psychol. 2022, 13, 825738. [Google Scholar] [CrossRef]
- Astorino, T.A.; Teske, A.; Sturdy, R.; Thomas, H.; Stavrinou, P.S.; Bogdanis, G.C. Shorter Versus Longer Durations of Rowing-Based Interval Exercise Attenuate the Physiological and Perceptual Response. Res. Q. Exerc. Sport 2022, 1–9. [Google Scholar] [CrossRef]
- Morgan, D.W.; Daniels, J.T. Relationship between VO2max and the aerobic demand of running in elite distance runners. Int. J. Sport. Med. 1994, 15, 426–429. [Google Scholar] [CrossRef]
- Ekkekakis, P.; Hall, E.E.; Petruzzello, S.J. Variation and homogeneity in affective responses to physical activity of varying intensities: An alternative perspective on dose–response based on evolutionary considerations. J. Sport. Sci. 2005, 23, 477–500. [Google Scholar] [CrossRef]
- Oliveira, B.R.; Deslandes, A.C.; Santos, T.M. Differences in exercise intensity seems to influence the affective responses in self-selected and imposed exercise: A meta-analysis. Front. Psychol. 2015, 6, 1105. [Google Scholar] [CrossRef]
- Faelli, E.; Panasci, M.; Ferrando, V.; Codella, R.; Bisio, A.; Ruggeri, P. High-Intensity Interval Training for Rowing: Acute Responses in National-Level Adolescent Males. Int. J. Environ. Res. Public Health 2022, 19, 8132. [Google Scholar] [CrossRef]
- Bogdanis, G.C.; Stavrinou, P.S.; Tsirigkakis, S.; Mougios, V.; Astorino, T.A.; Mastorakos, G. Attenuated Metabolic and Cardiorespiratory Responses to Isoenergetic High-Intensity Interval Exercise of Short Versus Long Bouts. Med. Sci. Sport. Exerc. 2022, 54, 1199–1209. [Google Scholar] [CrossRef]
- Roloff, Z.A.; Dicks, N.D.; Krynski, L.M.; Hartman, M.E.; Ekkekakis, P.; Pettitt, R.W. Ratings of affective valence closely track changes in oxygen uptake: Application to high-intensity interval exercise. Perform. Enhanc. Health 2020, 7, 100158. [Google Scholar] [CrossRef]
- Buchheit, M.; Laursen, P.B. High-intensity interval training, solutions to the programming puzzle: Part I: Cardiopulmonary emphasis. Sport. Med. 2013, 43, 313–338. [Google Scholar] [CrossRef]
- Teixeira, D.S.; Rodrigues, F.; Cid, L.; Monteiro, D. Enjoyment as a Predictor of Exercise Habit, Intention to Continue Exercising, and Exercise Frequency: The Intensity Traits Discrepancy Moderation Role. Front. Psychol. 2022, 13, 780059. [Google Scholar] [CrossRef]


| Variables | M | SD | CI95% | |
|---|---|---|---|---|
| Lower | Upper | |||
| Age (years) | 24.6 | 3.9 | 21.9 | 27.3 |
| Height (m) | 1.74 | 0.06 | 1.70 | 1.78 |
| Body mass (kg) | 72.7 | 7.0 | 68.0 | 77.4 |
| BMI (kg·m−2) | 24.0 | 2.4 | 22.4 | 25.6 |
| Percentage body fat | 9.9 | 4.7 | 7.6 | 13.8 |
| VO2Peak (mL·kg−1·min−1) | 46.0 | 6.9 | 41.3 | 50.6 |
| VCO2Peak (mL·kg−1·min−1) | 53.0 | 7.4 | 48.6 | 57.4 |
| HRMax (bpm) | 184.7 | 6.9 | 180.0 | 189.3 |
| Peak power (W·kg−1) | 3.23 | 0.46 | 2.91 | 3.53 |
| Variables | VICE | HIIE-90/50 | HIIE-100/40 | HIIE-110/30 | Post-Hoc | ||||
|---|---|---|---|---|---|---|---|---|---|
| M | SD | M | SD | M | SD | M | SD | ||
| %VO2Peak | 80.4 | 7.8 | 78.1 | 7.3 | 74.3 | 8.8 | 76.2 | 9.2 | HIIE-100/40 < all |
| %VCO2Peak | 68.3 | 7.3 | 62.9 | 5.3 | 65.7 | 5.6 | 69.7 | 5.5 | HIIE-90/50 < all; HIIE-100/40 < HIIE-110/30 |
| %HRMax | 89.6 | 6.7 | 88.0 | 5.5 | 86.0 | 5.8 | 76.4 | 4.8 | HIIE-110/30 < HIIE-100/40 < HIIE-90/50, VICE |
| CR10 | 5.4 | 2.2 | 5.4 | 2.2 | 5.5 | 2.2 | 6.0 | 2.5 | HIIE-110/30 > all |
| FS | 0.76 | 1.05 | 1.56 | 0.58 | 1.55 | 0.65 | 0.99 | 1.09 | VICE, HIIE-110/30 < HIIE-90/50, HIIE-100/40 |
Disclaimer/Publisher’s Note: The statements, opinions and data contained in all publications are solely those of the individual author(s) and contributor(s) and not of MDPI and/or the editor(s). MDPI and/or the editor(s) disclaim responsibility for any injury to people or property resulting from any ideas, methods, instructions or products referred to in the content. |
© 2023 by the authors. Licensee MDPI, Basel, Switzerland. This article is an open access article distributed under the terms and conditions of the Creative Commons Attribution (CC BY) license (https://creativecommons.org/licenses/by/4.0/).
Share and Cite
Silva, M.O.; Santos, T.M.; Inoue, A.; Santos, L.E.R.; de Lima do Nascimento Anastácio, W.; Lattari, E.; Oliveira, B.R.R. Is There a Dose–Response Relationship between High-Intensity Interval Exercise (HIIE) Intensity and Affective Valence? Analysis of Three HIIE Sessions Performed with Different Amplitudes. Int. J. Environ. Res. Public Health 2023, 20, 2698. https://doi.org/10.3390/ijerph20032698
Silva MO, Santos TM, Inoue A, Santos LER, de Lima do Nascimento Anastácio W, Lattari E, Oliveira BRR. Is There a Dose–Response Relationship between High-Intensity Interval Exercise (HIIE) Intensity and Affective Valence? Analysis of Three HIIE Sessions Performed with Different Amplitudes. International Journal of Environmental Research and Public Health. 2023; 20(3):2698. https://doi.org/10.3390/ijerph20032698
Chicago/Turabian StyleSilva, Michel Oliveira, Tony Meireles Santos, Allan Inoue, Lucas Eduardo Rodrigues Santos, Weydyson de Lima do Nascimento Anastácio, Eduardo Lattari, and Bruno Ribeiro Ramalho Oliveira. 2023. "Is There a Dose–Response Relationship between High-Intensity Interval Exercise (HIIE) Intensity and Affective Valence? Analysis of Three HIIE Sessions Performed with Different Amplitudes" International Journal of Environmental Research and Public Health 20, no. 3: 2698. https://doi.org/10.3390/ijerph20032698
APA StyleSilva, M. O., Santos, T. M., Inoue, A., Santos, L. E. R., de Lima do Nascimento Anastácio, W., Lattari, E., & Oliveira, B. R. R. (2023). Is There a Dose–Response Relationship between High-Intensity Interval Exercise (HIIE) Intensity and Affective Valence? Analysis of Three HIIE Sessions Performed with Different Amplitudes. International Journal of Environmental Research and Public Health, 20(3), 2698. https://doi.org/10.3390/ijerph20032698

