Effects of Green Network Management of Urban Street Trees on Airborne Particulate Matter (PM2.5) Concentration
Abstract
1. Introduction
2. Materials and Methods
2.1. Study Site
2.1.1. Current Status
2.1.2. Climate Data
2.2. Numerical Model
2.2.1. Simulation Model of Tree Planting
2.2.2. Computational Fluid Dynamics (CFD) Model Design
2.2.3. Analytical Conditions
2.3. Analysis Methods
3. Results
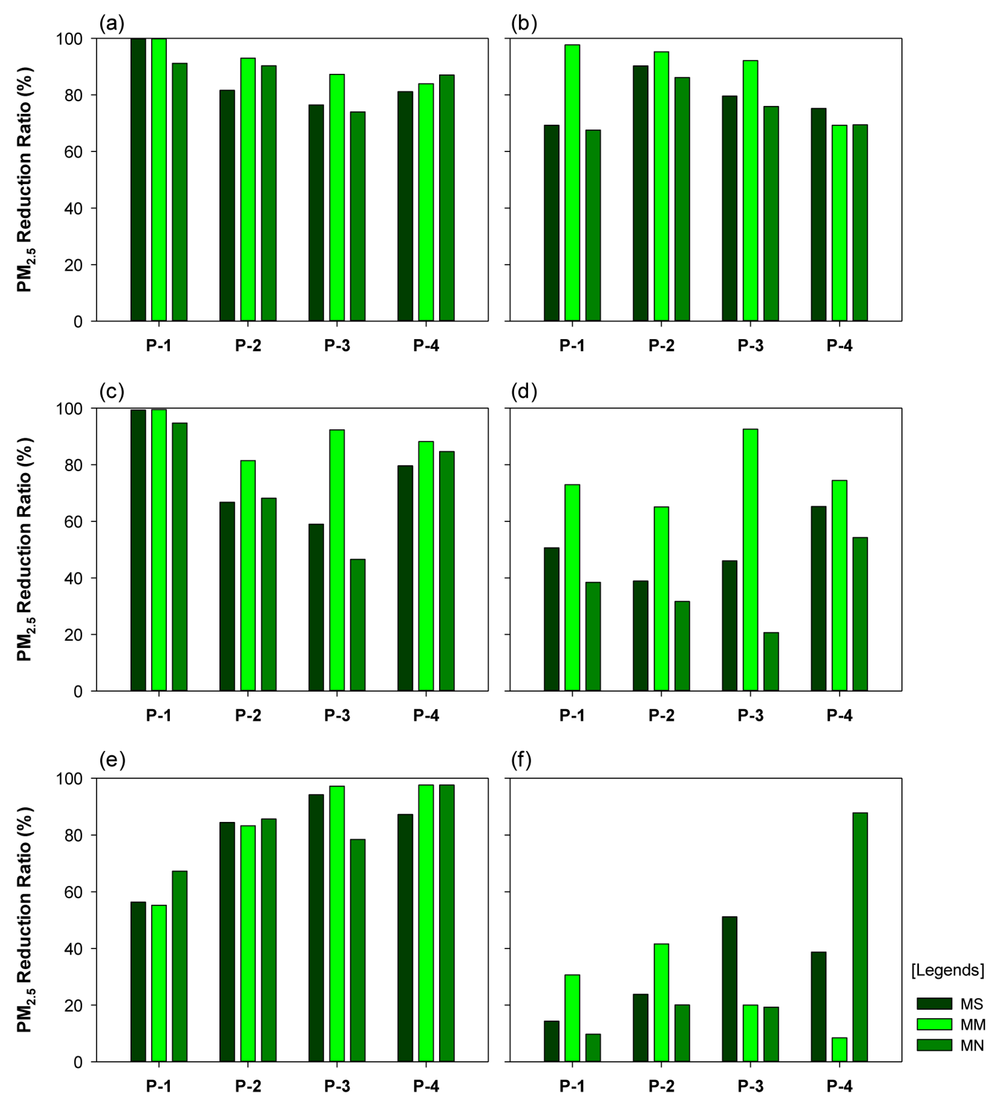
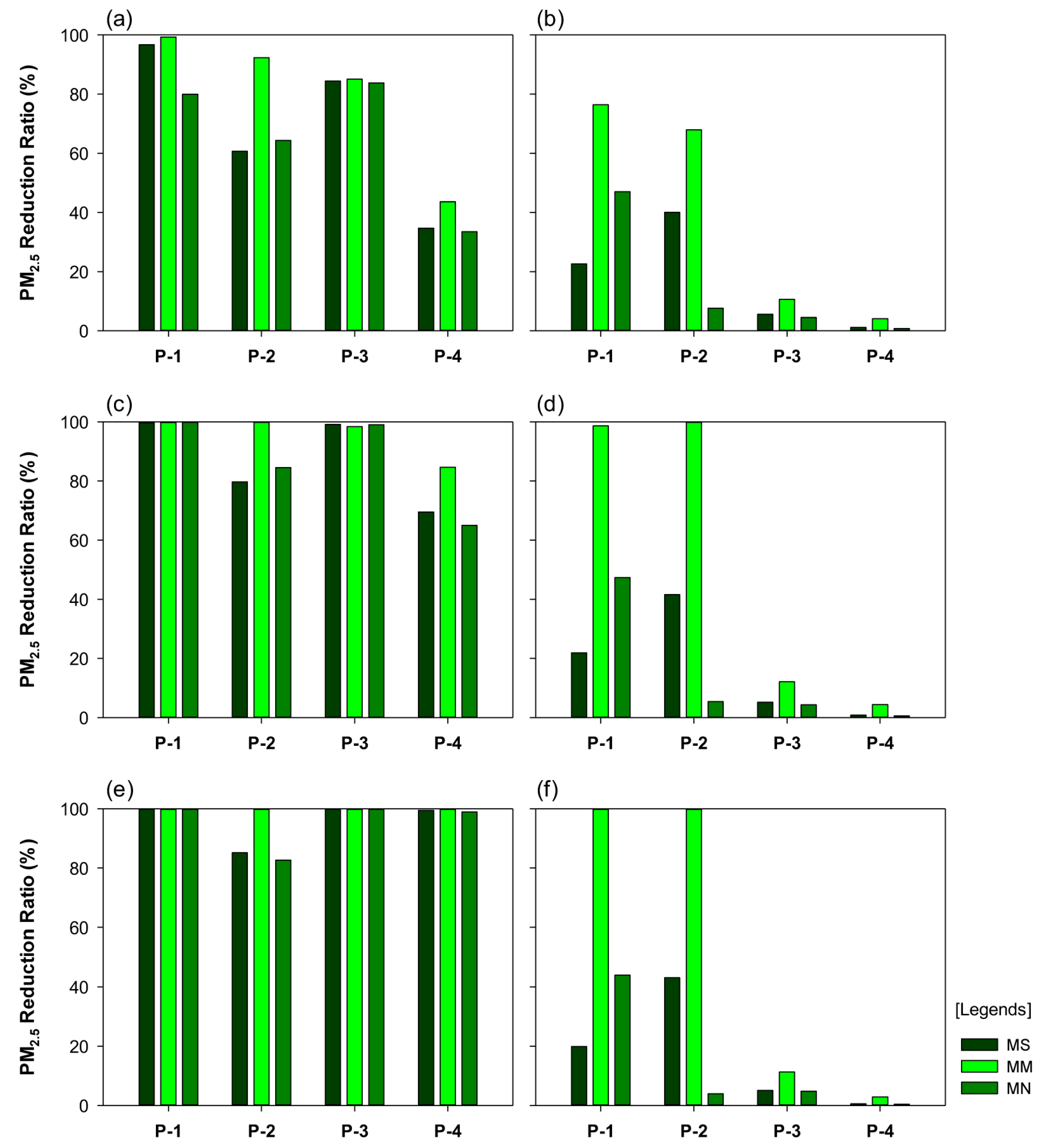
3.1. Changes in Particulate Matter (PM2.5) Concentration According to Wind Velocity
3.2. Changes in Particulate Matter (PM2.5) Concentration According to Wind Direction
3.3. Changes in Particulate Matter (PM2.5) Concentration According to Vegetation Structure
4. Discussion
4.1. Changes in Particulate Matter (PM2.5) Concentration in Varying Climate Conditions
4.2. Effects of Street Tree Planting in the Green Network on Particulate Matter (PM2.5) Concentration
5. Conclusions
- Analyzing the PM2.5 concentration irrespective of wind direction or velocity indicated that the PM2.5 concentration varied according to the presence or absence of the central reserve and the street tree planting structure. The PM2.5 concentration was lower in the wind direction of 45° than in the wind direction of 0°; the deviation of the PM2.5 concentration per planting type increased with the wind velocity.
- Despite the numerical differences across the study sites, the PM2.5 reduction effect at most sites was stronger in the models that adopted multi-planting street trees and central reserves. These results proved the hypothesis (the planting structure of street trees and central reserve area will affect the PM2.5 concentration).
- Finally, the application of the central reserve planting was more advantageous in reducing the PM2.5 concentration on motor roads; we suggest planting both arbors and shrubs as street trees. As the PM2.5 reduction effect was stronger when the central reserve contained arbors and shrubs, the multi-planting structure should be applied to both the street trees and the central reserve, to ensure an optimal PM2.5 reduction effect. Hence, the planting of both arbors and shrubs is more suitable for reducing the negative impact of PM2.5 on motor roads.
Author Contributions
Funding
Institutional Review Board Statement
Informed Consent Statement
Data Availability Statement
Acknowledgments
Conflicts of Interest
References
- World Health Organization (WHO). Ambient (Outdoor) Air Quality and Health. Fact Sheet, Updated May 2018. Available online: https://www.who.int/news-room/fact-sheets/detail/ambient-(outdoor)-air-quality-and-health (accessed on 26 June 2022).
- Buccolieri, R.; Salim, S.M.; Leo, L.S.; Sabatino, S.D.; Chan, A.; Ielpo, P.; de Gennaro, G.; Gromke, C. Analysis of local scale tree-atmosphere interaction on pollutant concentration in idealized street canyons and application to a real urban junction. Atmos. Environ. 2011, 45, 1702–1713. [Google Scholar] [CrossRef]
- Vardoulakis, S.; Fisher, B.E.A.; Pericleous, K.; Gonzales-Flesca, N. Modeling air quality in street cannons: A review. Atmos. Environ. 2003, 37, 155–182. [Google Scholar] [CrossRef]
- Huang, Y.D.; He, W.R.; Kim, C.N. Impacts of shape and height of upstream roof on airflow and pollutant dispersion inside an urban street canyon. Environ. Sci. Pollut. Res. 2015, 22, 2117–2137. [Google Scholar] [CrossRef] [PubMed]
- Tomson, M.; Kumar, P.; Barwise, Y.; Perez, P.; Forehead, H.; French, K.; Morawska, L.; Watts, J.F. Green infrastructure for air quality improvement in street canyons. Environ. Int. 2021, 146, 106288. [Google Scholar] [CrossRef]
- Litschke, T.; Kuttler, W. On the reduction of urban particle concentration by vegetation–A review. Meteorol. Z. 2008, 17, 229–240. [Google Scholar] [CrossRef]
- Tan, Z.; Lau, K.L.; Ng, E. Urban tree design approaches for mitigating daytime urban heat island effects in a high-density urban environment. Energy Build. 2016, 114, 265–274. [Google Scholar] [CrossRef]
- Buccolieri, R.; Gromke, C.; Sabatino, S.D.; Ruck, B. Aerodynamic effects of trees on pollutant concentration in street canyons. Sci. Total. Environ. 2009, 407, 5247–5256. [Google Scholar] [CrossRef]
- Zhang, L.; Zhang, Z.; McNulty, S.; Wang, P. The mitigation strategy of automobile generated fine particle pollutants by applying vegetation configuration in a street-canyon. J. Clean. Prod. 2020, 274, 122941. [Google Scholar] [CrossRef]
- Lovell, S.T.; Taylor, R. Supplying urban ecosystem services through multifunctional green infrastructure in the United States. Landsc. Ecol. 2013, 28, 1447–1463. [Google Scholar] [CrossRef]
- Gallet, D. The value of green infrastructure: A guide to recognizing its economic, environmental, and social benefits. Proc. Water Environ. Fed. 2011, 924–928. [Google Scholar] [CrossRef]
- Shashua-Bar, L.; Pearlmutter, D.; Erell, E. The cooling efficiency of urban landscape strategies in a hot dry climate. Landsc. Urban Plan. 2009, 92, 179–186. [Google Scholar] [CrossRef]
- Janhäll, S. Review on urban vegetation and particle air pollution—Deposition and dispersion. Atmos. Environ. 2015, 105, 130–137. [Google Scholar] [CrossRef]
- Li, J.F.; Zhan, J.M.; Li, Y.S.; Wai, O.W.H. CO2 absorption/emission and aerodynamic effects of trees on the concentrations in a street canyon in Guangzhou, China. Environ. Pollut. 2013, 177, 4–12. [Google Scholar] [CrossRef]
- Hewitt, C.N.; Ashworth, K.; MacKenzie, A.R. Using green infrastructure to improve urban air quality (GI4AQ). Ambio 2020, 49, 62–73. [Google Scholar] [CrossRef] [PubMed]
- Kaur, S.; Nieuwenhuijsen, M.J.; Colvile, R.N. Pedestrian exposure to air pollution along a major road in Central London, UK. Atmos. Environ. 2005, 39, 7307–7320. [Google Scholar] [CrossRef]
- King, E.A.; Murphy, E.; McNabola, A. Reducing pedestrian exposure to environmental pollutants: A combined noise exposure and air quality analysis approach. Transp. Res. D Transp. Environ. 2009, 14, 309–316. [Google Scholar] [CrossRef]
- Zhao, L.; Wang, X.; He, Q.; Wang, H.; Sheng, G.; Chan, L.Y.; Fu, J.; Blake, D.R. Exposure to hazardous volatile organic compounds, PM10 and CO while walking along streets in urban Guangzhou, China. Atmos. Environ. 2004, 38, 6177–6184. [Google Scholar] [CrossRef]
- Gromke, C.; Ruck, B. Pollutant concentrations in street canyons of different aspect ratio with avenues of trees for various wind directions. Bound. Layer Meteorol. 2012, 144, 41–64. [Google Scholar] [CrossRef]
- Czáder, K.; Balczó, M.; Eichhorn, J. Modelling of flow and dispersion in a street canyon with vegetation by means of numerical simulation. In Proceedings of the XXIII MicroCAD International Scientific Conference, Miskolc, Hungary, 19–20 March 2009; pp. 19–20. [Google Scholar]
- Gromke, C.; Ruck, B. Influence of trees on the dispersion of pollutants in an urban street canyon—Experimental investigation of the flow and concentration field. Atmos. Environ. 2007, 41, 3287–3302. [Google Scholar] [CrossRef]
- Santamouris, M.; Ban-Weiss, G.; Osmond, P.; Paolini, R.; Synnefa, A.; Cartalis, C.; Muscio, A.; Zinzi, M.; Morakinyo, T.E.; Ng, E.; et al. Progress in urban greenery mitigation science–assessment methodologies advanced technologies and impact on cities. J. Civ. Eng. Manag. 2018, 24, 638–671. [Google Scholar] [CrossRef]
- Abhijith, K.V.; Kumar, P.; Gallagher, J.; McNabola, A.; Baldauf, R.; Pilla, F.; Broderick, B.; Di Sabatino, S.; Pulvirenti, B. Air pollution abatement performances of green infrastructure in open road and built-up street canyon environments—A review. Atmos. Environ. 2017, 162, 71–86. [Google Scholar] [CrossRef]
- Buccolieri, R.; Santiago, J.L.; Rivas, E.; Sanchez, B. Review on urban tree modelling in CFD simulations: Aerodynamic, deposition and thermal effects. Urban For. Urban Green. 2018, 31, 212–220. [Google Scholar] [CrossRef]
- Santiago, J.L.; Rivas, E. Advances on the influence of vegetation and forest on urban air quality and thermal comfort. Forests 2021, 12, 1133. [Google Scholar] [CrossRef]
- Santiago, J.-L.; Rivas, E.; Sanchez, B.; Buccolieri, R.; Esposito, A.; Martilli, A.; Vivanco, M.G.; Martin, F. Impact of different combinations of green infrastructure elements on traffic-related pollutant concentrations in urban areas. Forests 2022, 13, 1195. [Google Scholar] [CrossRef]
- Gu, Z.L.; Zhang, Y.W.; Cheng, Y.; Lee, S.C. Effect of uneven building layout on air flow and pollutant dispersion in non-uniform street canyons. Build. Environ. 2011, 46, 2657–2665. [Google Scholar] [CrossRef]
- Murena, F.; Mele, B. Effect of balconies on air quality in deep street canyons. Atmos. Pollut. Res. 2016, 7, 1004–1012. [Google Scholar] [CrossRef]
- Llaguno-Munitxa, M.; Bou-Zeid, E.; Hultmark, M. The influence of building geometry on street canyon air flow: Validation of large eddy simulations against wind tunnel experiments. J. Wind Eng. Ind. Aerodyn. 2017, 165, 115–130. [Google Scholar] [CrossRef]
- Nosek, S.; Fuka, V.; Kukacka, L.; Klukova, Z.; Janour, Z. Street-canyon pollution with respect to urban-array complexity: The role of lateral and mean pollution fluxes. Build. Environ. 2018, 138, 221–234. [Google Scholar] [CrossRef]
- Wen, H.; Malki-Epshtein, L. A parametric study of the effect of the roof height and morphology on air pollution dispersion in street canyons. J. Wind Eng. Ind. Aerodyn. 2018, 175, 328–341. [Google Scholar] [CrossRef]
- Tan, W.; Li, C.; Wang, K.; Zhu, G.; Liu, L. Geometric effect of buildings on the dispersion of carbon dioxide cloud in idealized urban street canyons. Process Saf. Environ. Prot. 2019, 122, 271–280. [Google Scholar] [CrossRef]
- Reiminger, N.; Vazquez, J.; Blond, N.; Dufersne, M.; Wertel, J. CFD evaluation of mean pollutant concentration variations in step-down street canyons. J. Wind Eng. Ind. Aerodyn. 2020, 196, 104032. [Google Scholar] [CrossRef]
- Di Sabatino, S.; Buccolieri, R.; Pulvirenti, B.; Britter, R.E. Flow and pollutant dispersion in street canyons using FLUENT and ADMS-Urban. Environ. Model. Assess. 2008, 13, 369–381. [Google Scholar] [CrossRef]
- Kumar, P.; Fennell, P.; Britter, R. Effect of wind direction and velocity on the dispersion of nucleation and accumulation mode particles in an urban street canyon. Sci. Total Environ. 2008, 402, 82–94. [Google Scholar] [CrossRef] [PubMed]
- Gromke, C.; Blocken, B. Influence of avenue-trees on air quality at the urban neighborhood scale. Part II: Traffic pollutant concentrations at pedestrian level. Environ. Polut. 2015, 196, 176–184. [Google Scholar] [CrossRef]
- Xue, F.; Li, X. The impact of roadside trees on traffic released PM10 in urban street canyons: Aerodynamic and deposition effects. Sustain. Cities Soc. 2017, 30, 195–204. [Google Scholar] [CrossRef]
- Merlier, L.; Jacob, J.; Sagaut, P. Lattice-Boltzmann large-eddy simulation of pollutant dispersion in street canyons including tree planting effects. Atmos. Environ. 2018, 195, 89–103. [Google Scholar] [CrossRef]
- Sun, D.; Zhang, Y. Influence of avenue trees on traffic pollutant dispersion in asymmetric street canyons: Numerical modeling with empirical analysis. Transp. Res. Part D Transp. Environ. 2018, 65, 784–795. [Google Scholar] [CrossRef]
- Huang, Y.D.; Li, M.Z.; Ren, S.Q.; Wang, M.J.; Cui, P.Y. Impacts of tree-planting pattern and truck height on the airflow and pollutant dispersion inside a street canyon. Build. Environ. 2019, 165, 106385. [Google Scholar] [CrossRef]
- Shao, H.; Kim, G. A Comprehensive review of different types of green infrastructure to mitigate urban heat islands: Progress, functions, and benefits. Land 2022, 11, 1792. [Google Scholar] [CrossRef]
- Diener, A.; Mudu, P. How can vegetation protect us from air pollution? A critical review on green spaces’ mitigation abilities for air-borne particles from a public health perspective—With implications for urban planning. Sci. Total Environ. 2021, 796, 148605. [Google Scholar] [CrossRef]
- Labib, S.M.; Lindley, S.; Huck, J.J. Spatial dimensions of the influence of urban green-blue spaces on human health: A systematic review. Environ. Res. 2020, 180, 108869. [Google Scholar] [CrossRef] [PubMed]
- Han, D.; Shen, H.; Duan, W.; Chen, L. A review on particulate matter removal capacity by urban forests at different scales. Urban For. Urban Green. 2020, 48, 126565. [Google Scholar] [CrossRef]
- Zhang, Y.; Gu, Z.; Yu, C.W. Impact factors on airflow and pollutant dispersion in urban street canyons and comprehensive simulations: A review. Curr. Pol. Rep. 2020, 6, 425–439. [Google Scholar] [CrossRef]
- Gromke, C.; Buccolieri, R.; Sabatino, S.D.; Ruck, B. Dispersion study in a street canyon with tree planting by means of wind tunnel and numerical investigations—Evaluation of CFD data with experimental data. Atmos. Environ. 2008, 42, 8640–8650. [Google Scholar] [CrossRef]
- Wania, A.; Bruse, M.; Blond, N.; Weber, C. Analysing the influence of different street vegetation on traffic-induced particle dispersion using microscale simulations. J. Environ. Manag. 2012, 94, 91–101. [Google Scholar] [CrossRef]
- Li, X.C.; Lu, Q.C.; Lu, S.J.; He, H.D.; Peng, Z.R.; Gao, Y.; Wang, Z.Y. The impacts of roadside vegetation barriers on the dispersion of gaseous traffic pollution in urban street canyons. Urban For. Urban Green. 2016, 17, 80–91. [Google Scholar] [CrossRef]
- Amorim, J.H.; Rodrigues, V.; Tavares, V.; Valente, J.; Borrego, C. CFD modelling of the aerodynamic effect of trees on urban air pollution dispersion. Sci. Total Environ. 2013, 461–462. [Google Scholar] [CrossRef]
- Abhijith, K.V.; Gokhale, S. Passive control potentials of trees and on-street parked cars in reduction of air pollution exposure in urban street canyons. Environ. Poll. 2015, 204, 99–108. [Google Scholar] [CrossRef]
- Jeanjean, A.P.R.; Monks, P.S.; Leigh, R.J. Modelling the effectiveness of urban trees and grass on PM2.5 reduction via dispersion and deposition at a city scale. Atmos. Environ. 2016, 147, 1–10. [Google Scholar] [CrossRef]
- Tong, Z.; Whitlow, T.H.; Landers, A.; Flanner, B. A case study of air quality above an urban roof top vegetable farm. Environ. Pollut. 2016, 208, 256–260. [Google Scholar] [CrossRef]
- Ottosen, T.B.; Kumar, P. The influence of the vegetation cycle on the mitigation of air pollution by a deciduous roadside hedge. Sustain. Cities Soc. 2019, 53, 101919. [Google Scholar] [CrossRef]
- Kim, W.J.; Woo, S.Y.; Yoon, C.R.; Kwakn, M.J. Evaluation on the reduction effect of particulate matter through green infrastructure and its expansion plans. In Seoul Development Institute Report 2018-PR-36; Seoul Institute: Seoul, Republic of Korea, 2018. [Google Scholar]
- Neinavaz, E.; Skidmore, A.K.; Darvishzadeh, R.; Groen, T.A. Retrieval of leaf area index in different plant species using thermal hyperspectral data. ISPRS J. Photogramm. Remote Sens. 2016, 119, 390–401. [Google Scholar] [CrossRef]
- Korea Forest Service. PM Reduction Tree List. Available online: https://www.korea.kr/news/pressReleaseView.do?newsId=156547037 (accessed on 12 January 2023).
- Zheng, S.; Guldmann, J.M.; Liu, Z.; Zhao, L.; Wang, J.; Pan, X.; Zhao, D. Predicting the influence of subtropical trees on urban wind through wind tunnel tests and numerical simulations. Sustain. Cities Soc. 2020, 57, 102116. [Google Scholar] [CrossRef]
- Hui, E.; Hu, X.; Jiang, C.; Ma, F.; Zhu, Z. A Study of Drag Coefficient Related with Vegetation Based on the Flume Experiment. J. Hydrodyn. 2022, 22, 329–337. [Google Scholar] [CrossRef]
- Tominaga, Y.; Mochida, A.; Yoshie, R.; Kataoka, H.; Nozu, T.; Yoshikawa, M.; Shirasawa, T. AIJ guidelines for practical applications of CFD to pedestrian wind environment around buildings. J. Wind Eng. Ind. Aerodyn. 2008, 96, 1749–1761. [Google Scholar] [CrossRef]
- Tamura, T.; Nozawa, K.; Kondo, K. AIJ guide for numerical prediction of wind loads on buildings. J. Wind Eng. Ind. Aerodyn. 2008, 96, 1974–1984. [Google Scholar] [CrossRef]
- Richards, P.J. Computational Modelling of Wind Flow around Low-Rise Buildings Using PHOENICS; AFRC Institute of Engineering Research Buildings and Livestock Division, AFRC Institute of Engineering Research: Bedfordshire, UK, 1989. [Google Scholar]
- Mochida, A.; Tabata, Y.; Iwata, T.; Yoshino, H. Examining tree canopy models for CFD prediction of wind environment at pedestrian level. J. Wind Eng. Ind. Aerodyn. 2008, 96, 1667–1677. [Google Scholar] [CrossRef]
- Nazridoust, K.; Ahmadi, G. Airflow and pollutant transport in street canyons. J. Wind Eng. Ind. Aerodyn. 2006, 94, 491–522. [Google Scholar] [CrossRef]
- Tominaga, Y.; Stathopoulos, T. CFD modeling of pollution dispersion in a street canyon: Comparison between LES and RANS. J. Wind Eng. Ind. Aerodyn. 2011, 99, 340–348. [Google Scholar] [CrossRef]
- Tominaga, Y.; Stathopoulos, T. CFD simulation of near-field pollutant dispersion in the urban environment: A review of current modeling techniques. Atmos. Environ. 2013, 79, 716–730. [Google Scholar] [CrossRef]
- De Maerschalck, B.; Janssen, S.; Vankerkom, J.; Mensink, C.; van den Burg, A.; Fortuin, P. CFD simulations of the impact of a line vegetation element along a motorway on local air quality. Hrvatski Meteoroloski Casopis 2008, 43, 339–344. [Google Scholar]
- Ries, K.; Eichhorn, J. Simulation of effects of vegetation on the dispersion of pollutants in street canyons. Meteorol. Z. 2001, 10, 229–233. [Google Scholar] [CrossRef]
- DePaul, F.T.; Sheih, C.M. Measurements of wind velocities in a street canyon. Atmos. Environ. 1986, 20, 455–459. [Google Scholar] [CrossRef]
- Chan, L.Y.; Kwok, W.S. Vertical dispersion of suspended particulates in urban area of Hong Kong. Atmos. Environ. 2000, 34, 4403–4412. [Google Scholar] [CrossRef]
- Ji, W.; Zhao, B. Numerical study of the effects of trees on outdoor particle concentration distributions. Build. Simul. 2014, 7, 417–427. [Google Scholar] [CrossRef]
- Ahmad, K.; Khare, M.; Chaudhry, K.K. Wind tunnel simulation studies on dispersion at urban street canyons and intersections—A review. J. Wind Eng. Ind. Aerodyn. 2005, 93, 697–717. [Google Scholar] [CrossRef]
- Voordeckers, D.; Lauriks, T.; Denys, S.; Billen, P.; Tytgat, T.; Van Acker, M. Guidelines for passive control of traffic-related air pollution in street canyons: An overview for urban planning. Landsc. Urban Plan. 2020, 207, 103980. [Google Scholar] [CrossRef]
- Jeong, N.R.; Han, S.W.; Kim, J.H. Evaluation of vegetation configuration models for managing particulate matter along the urban street environment. Forests 2022, 13, 46. [Google Scholar] [CrossRef]
- Kristóf, G.; Papp, B. Application of GPU-based large eddy simulation in urban dispersion studies. Atmosphere 2018, 9, 442. [Google Scholar] [CrossRef]
- Keuken, M.; van der Valk, K. The Effects of Trees and Hedges on Air Quality in a Street-Canyon in Amsterdam. In Proceedings of the CLIMAQS Wsorkshop on Local Air Quality and its Interactions with Vegetation, Antwerp, Belgium, 21–22 January 2010. [Google Scholar]
- Lazzari, S.; Perini, K.; Schio, E.R.; Roccotiello, E. Simplified CFD Modeling of Air Pollution Reduction by Means of Greenery in Urban Canyons. In Proceedings of the 2016 COMSOL Conference, Munich, Germany, 12–14 October 2016; pp. 1–4. [Google Scholar]
- Vos, P.E.J.; Maiheu, B.; Vankerkom, J.; Janssen, S. Improving local air quality in cities: To tree or not to tree? Environ. Pollut. 2013, 183, 113–122. [Google Scholar] [CrossRef] [PubMed]
- Chen, J.; Yu, X.; Sun, F.; Lun, X.; Fu, Y.; Jia, G.; Zhang, Z.; Liu, X.; Mo, L.; Bi, H. The concentrations and reduction of airborne particulate matter (PM10, PM2.5, PM1) at Shelterbelt Site in Beijing. Atmosphere 2015, 6, 650–676. [Google Scholar] [CrossRef]













| Type | Central Reserve | Street Tree |
|---|---|---|
| MS-SS | Single-planting structure (arbor) | Single-planting structure (arbor) |
| MS-SM | Single-planting structure (arbor) | Multi-planting structure (arbor + shrub) |
| MM-SS | Multi-planting structure (arbor + shrub) | Single-planting structure (arbor) |
| MM-SM | Multi-planting structure (arbor + shrub) | Multi-planting structure (arbor + shrub) |
| MN-SS | N/A | Single-planting structure (arbor) |
| MN-SM | N/A | Multi-planting structure (arbor + shrub) |
| Category | Setting of Model |
|---|---|
| Solver | Pressure based |
| Implicit formulation | |
| Unsteady state analysis | |
| 3D simulation | |
| Turbulence model | Realizable k-ε model |
| Wind profile | Velocity inlet, User-Defined-Function (C code) |
| Planting | Porous media |
| Domain | Symmetry |
Disclaimer/Publisher’s Note: The statements, opinions and data contained in all publications are solely those of the individual author(s) and contributor(s) and not of MDPI and/or the editor(s). MDPI and/or the editor(s) disclaim responsibility for any injury to people or property resulting from any ideas, methods, instructions or products referred to in the content. |
© 2023 by the authors. Licensee MDPI, Basel, Switzerland. This article is an open access article distributed under the terms and conditions of the Creative Commons Attribution (CC BY) license (https://creativecommons.org/licenses/by/4.0/).
Share and Cite
Jeong, N.-R.; Han, S.-W.; Ko, B. Effects of Green Network Management of Urban Street Trees on Airborne Particulate Matter (PM2.5) Concentration. Int. J. Environ. Res. Public Health 2023, 20, 2507. https://doi.org/10.3390/ijerph20032507
Jeong N-R, Han S-W, Ko B. Effects of Green Network Management of Urban Street Trees on Airborne Particulate Matter (PM2.5) Concentration. International Journal of Environmental Research and Public Health. 2023; 20(3):2507. https://doi.org/10.3390/ijerph20032507
Chicago/Turabian StyleJeong, Na-Ra, Seung-Won Han, and Baul Ko. 2023. "Effects of Green Network Management of Urban Street Trees on Airborne Particulate Matter (PM2.5) Concentration" International Journal of Environmental Research and Public Health 20, no. 3: 2507. https://doi.org/10.3390/ijerph20032507
APA StyleJeong, N.-R., Han, S.-W., & Ko, B. (2023). Effects of Green Network Management of Urban Street Trees on Airborne Particulate Matter (PM2.5) Concentration. International Journal of Environmental Research and Public Health, 20(3), 2507. https://doi.org/10.3390/ijerph20032507

