Detailed Speciation of Semi-Volatile and Intermediate-Volatility Organic Compounds (S/IVOCs) in Marine Fuel Oils Using GC × GC-MS
Abstract
1. Introduction
2. Material and Methods
2.1. Tested Marine Fuel Oils
2.2. Analytical Instrument and Data Analysis
3. Results and Discussion
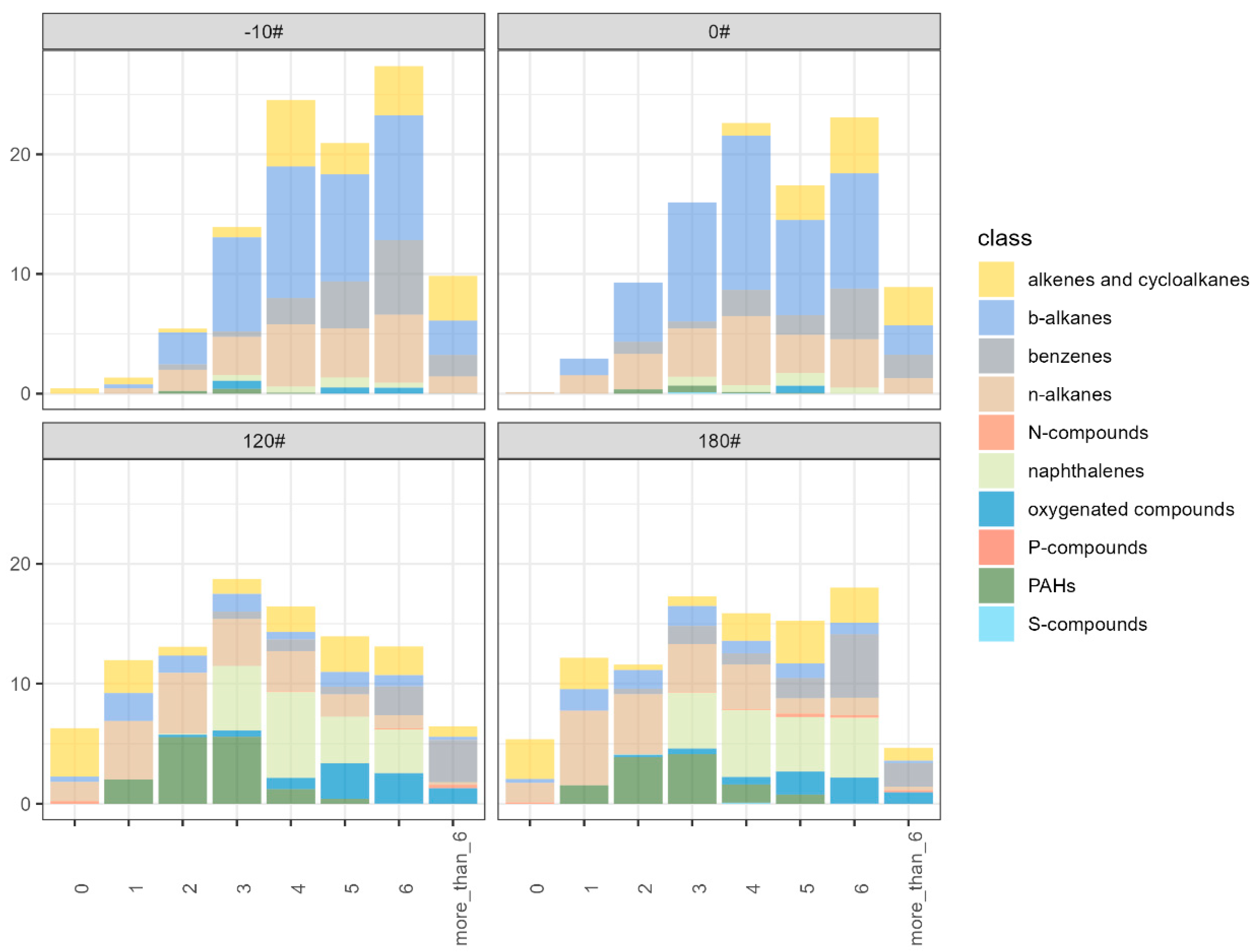
3.1. Chemical Compositions of the Organic Compounds in Different Marine Fuel Oils
3.2. Volatility and Polarity Distribution of Marine Fuel Oil
3.3. Metrics to Identify the Pollution Sources
4. Conclusions
Supplementary Materials
Author Contributions
Funding
Institutional Review Board Statement
Informed Consent Statement
Data Availability Statement
Conflicts of Interest
References
- Zhao, Y.L.; Hennigan, C.J.; May, A.A.; Tkacik, D.S.; de Gouw, J.A.; Gilman, J.B.; Kuster, W.C.; Borbon, A.; Robinson, A.L. Intermediate-Volatility Organic Compounds: A Large Source of Secondary Organic Aerosol. Environ. Sci. Technol. 2014, 48, 13743–13750. [Google Scholar] [CrossRef]
- Robinson, A.L.; Donahue, N.M.; Shrivastava, M.K.; Weitkamp, E.A.; Sage, A.M.; Grieshop, A.P.; Lane, T.E.; Pierce, J.R.; Pandis, S.N. Rethinking organic aerosols: Semivolatile emissions and photochemical aging. Science 2007, 315, 1259–1262. [Google Scholar] [CrossRef]
- Hu, W.; Zhou, H.; Chen, W.; Ye, Y.; Pan, T.; Wang, Y.; Song, W.; Zhang, H.; Deng, W.; Zhu, M.; et al. Oxidation Flow Reactor Results in a Chinese Megacity Emphasize the Important Contribution of S/IVOCs to Ambient SOA Formation. Environ. Sci. Technol. 2021, 56, 6880–6893. [Google Scholar] [CrossRef]
- Tkacik, D.S.; Presto, A.A.; Donahue, N.M.; Robinson, A.L. Secondary organic aerosol formation from intermediate-volatility organic compounds: Cyclic, linear, and branched alkanes. Environ. Sci. Technol. 2012, 46, 8773–8781. [Google Scholar] [CrossRef]
- Presto, A.A.; Miracolo, M.A.; Kroll, J.H.; Worsnop, D.R.; Robinson, A.L.; Donahue, N.M. Intermediate-Volatility Organic Compounds: A Potential Source of Ambient Oxidized Organic Aerosol. Environ. Sci. Technol. 2009, 43, 4744–4749. [Google Scholar] [CrossRef]
- Chan, A.W.H.; Kautzman, K.E.; Chhabra, P.S.; Surratt, J.D.; Chan, M.N.; Crounse, J.D.; Kurten, A.; Wennberg, P.O.; Flagan, R.C.; Seinfeld, J.H. Secondary organic aerosol formation from photooxidation of naphthalene and alkylnaphthalenes: Implications for oxidation of intermediate volatility organic compounds (IVOCs). Atmos. Chem. Phys. 2009, 9, 3049–3060. [Google Scholar] [CrossRef]
- Lu, J.C.; Ge, X.L.; Liu, Y.; Chen, Y.F.; Xie, X.C.; Ou, Y.; Ye, Z.L.; Chen, M.D. Significant secondary organic aerosol production from aqueous-phase processing of two intermediate volatility organic compounds. Atmos. Environ. 2019, 211, 63–68. [Google Scholar] [CrossRef]
- Wu, L.Q.; Ling, Z.H.; Shao, M.; Liu, H.; Lu, S.; Zhou, S.Z.; Guo, J.C.; Mao, J.Y.; Hang, J.; Wang, X.M. Roles of Semivolatile/Intermediate-Volatility Organic Compounds on SOA Formation Over China During a Pollution Episode: Sensitivity Analysis and Implications for Future Studies. J. Geophys. Res. Atmos. 2021, 126, 22. [Google Scholar] [CrossRef]
- Tang, R.Z.; Lu, Q.Y.; Guo, S.; Wang, H.; Song, K.; Yu, Y.; Tan, R.; Liu, K.F.; Shen, R.Z.; Chen, S.Y.; et al. Measurement report: Distinct emissions and volatility distribution of intermediate-volatility organic compounds from on-road Chinese gasoline vehicles: Implication of high secondary organic aerosol formation potential. Atmos. Chem. Phys. 2021, 21, 2569–2583. [Google Scholar] [CrossRef]
- Liu, Y.; Lu, J.C.; Chen, Y.F.; Liu, Y.; Ye, Z.L.; Ge, X.L. Aqueous-Phase Production of Secondary Organic Aerosols from Oxidation of Dibenzothiophene (DBT). Atmosphere 2020, 11, 151. [Google Scholar] [CrossRef]
- Qi, L.J.; Liu, H.; Shen, X.E.; Fu, M.L.; Huang, F.F.; Man, H.Y.; Deng, F.Y.; Shaikh, A.A.; Wang, X.T.; Dong, R.; et al. Intermediate-Volatility Organic Compound Emissions from Nonroad Construction Machinery under Different Operation Modes. Environ. Sci. Technol. 2019, 53, 13832–13840. [Google Scholar] [CrossRef]
- Lu, Q.Y.; Zhao, Y.L.; Robinson, A.L. Comprehensive organic emission profiles for gasoline, diesel, and gas-turbine engines including intermediate and semi-volatile organic compound emissions. Atmos. Chem. Phys. 2018, 18, 17637–17654. [Google Scholar] [CrossRef]
- Liu, T.Y.; Wang, Z.Y.; Huang, D.D.; Wang, X.M.; Chan, C.K. Significant Production of Secondary Organic Aerosol from Emissions of Heated Cooking Oils. Environ. Sci. Technol. Lett. 2018, 5, 32–37. [Google Scholar] [CrossRef]
- Huang, C.; Hu, Q.Y.; Li, Y.J.; Tian, J.J.; Ma, Y.G.; Zhao, Y.L.; Feng, J.L.; An, J.Y.; Qiao, L.P.; Wang, H.L.; et al. Intermediate Volatility Organic Compound Emissions from a Large Cargo Vessel Operated under Real-World Conditions. Environ. Sci. Technol. 2018, 52, 12934–12942. [Google Scholar] [CrossRef]
- Zhao, Y.L.; Nguyen, N.T.; Presto, A.A.; Hennigan, C.J.; May, A.A.; Robinson, A.L. Intermediate Volatility Organic Compound Emissions from On-Road Gasoline Vehicles and Small Off-Road Gasoline Engines. Environ. Sci. Technol. 2016, 50, 4554–4563. [Google Scholar] [CrossRef]
- Zhao, Y.L.; Nguyen, N.T.; Presto, A.A.; Hennigan, C.J.; May, A.A.; Robinson, A.L. Intermediate Volatility Organic Compound Emissions from On-Road Diesel Vehicles: Chemical Composition, Emission Factors, and Estimated Secondary Organic Aerosol Production. Environ. Sci. Technol. 2015, 49, 11516–11526. [Google Scholar] [CrossRef]
- Goldstein, A.H.; Galbally, I.E. Known and unexplored organic constituents in the earth’s atmosphere. Environ. Sci. Technol. 2007, 41, 1514–1521. [Google Scholar] [CrossRef]
- Fang, H.; Huang, X.Q.; Zhang, Y.L.; Pei, C.L.; Huang, Z.Z.; Wang, Y.J.; Chen, Y.N.; Yan, J.H.; Zeng, J.Q.; Xiao, S.X.; et al. Measurement report: Emissions of intermediate-volatility organic compounds from vehicles under real-world driving conditions in an urban tunnel. Atmos. Chem. Phys. 2021, 21, 10005–10013. [Google Scholar] [CrossRef]
- Su, P.H.; Hao, Y.J.; Qian, Z.; Zhang, W.W.; Chen, J.; Zhang, F.; Yin, F.; Feng, D.L.; Chen, Y.J.; Li, Y.F. Emissions of intermediate volatility organic compound from waste cooking oil biodiesel and marine gas oil on a ship auxiliary engine. J. Environ. Sci. 2020, 91, 262–270. [Google Scholar] [CrossRef]
- Lou, H.J.; Hao, Y.J.; Zhang, W.W.; Su, P.H.; Zhang, F.; Chen, Y.J.; Feng, D.L.; Li, Y.F. Emission of intermediate volatility organic compounds from a ship main engine burning heavy fuel oil. J. Environ. Sci. 2019, 84, 197–204. [Google Scholar] [CrossRef]
- Li, Y.J.; Ren, B.N.; Qiao, Z.; Zhu, J.P.; Wang, H.L.; Zhou, M.; Qiao, L.P.; Lou, S.R.; Jing, S.G.; Huang, C.; et al. Characteristics of atmospheric intermediate volatility organic compounds (IVOCs) in winter and summer under different air pollution levels. Atmos. Environ. 2019, 210, 58–65. [Google Scholar] [CrossRef]
- Liang, Z.; Chen, L.; Alam, M.S.; Zeraati Rezaei, S.; Stark, C.; Xu, H.; Harrison, R.M. Comprehensive chemical characterization of lubricating oils used in modern vehicular engines utilizing GC × GC-TOFMS. Fuel 2018, 220, 792–799. [Google Scholar] [CrossRef]
- Alam, M.S.; Zeraati-Rezaei, S.; Liang, Z.; Stark, C.; Xu, H.; MacKenzie, A.R.; Harrison, R.M. Mapping and quantifying isomer sets of hydrocarbons (≥C12) in diesel exhaust, lubricating oil and diesel fuel samples using GC × GC-ToF-MS. Atmos. Meas. Tech. 2018, 11, 3047–3058. [Google Scholar] [CrossRef]
- Xu, R.X.; Alam, M.S.; Stark, C.; Harrison, R.M. Behaviour of traffic emitted semi-volatile and intermediate volatility organic compounds within the urban atmosphere. Sci. Total Environ. 2020, 720, 11. [Google Scholar] [CrossRef]
- Xu, R.X.; Alam, M.S.; Stark, C.; Harrison, R.M. Composition and emission factors of traffic- emitted intermediate volatility and semi-volatile hydrocarbons (C-10-C-36) at a street canyon and urban background sites in central London, UK. Atmos. Environ. 2020, 231, 11. [Google Scholar] [CrossRef]
- UNCTAD. Review of Maritime Transports: 2013; IUnited Nations: Geneva, Switzerland, 2013. [Google Scholar]
- Celik, S.; Drewnick, F.; Fachinger, F.; Brooks, J.; Darbyshire, E.; Coe, H.; Paris, J.-D.; Eger, P.G.; Schuladen, J.; Tadic, I.; et al. Influence of vessel characteristics and atmospheric processes on the gas and particle phase of ship emission plumes: In situ measurements in the Mediterranean Sea and around the Arabian Peninsula. Atmos. Chem. Phys. 2020, 20, 4713–4734. [Google Scholar] [CrossRef]
- Ampah, J.D.; Yusuf, A.A.; Afrane, S.; Jin, C.; Liu, H. Reviewing two decades of cleaner alternative marine fuels: Towards IMO’s decarbonization of the maritime transport sector. J. Clean Prod. 2021, 320, 128871. [Google Scholar] [CrossRef]
- Luo, W.; Liu, H.; Liu, L.; Liu, D.; Wang, H.; Yao, M. Effects of scavenging port angle and combustion chamber geometry on combustion and emmission of a high-pressure direct-injection natural gas marine engine. Int. J. Green Energy 2022, 1–13. [Google Scholar] [CrossRef]
- Jin, C.; Sun, T.; Ampah, J.D.; Liu, X.; Geng, Z.; Afrane, S.; Yusuf, A.A.; Liu, H. Comparative study on synthetic and biological surfactants’ role in phase behavior and fuel properties of marine heavy fuel oil-low carbon alcohol blends under different temperatures. Renew. Energy 2022, 195, 841–852. [Google Scholar] [CrossRef]
- Zhang, Y.; Yang, X.; Brown, R.; Yang, L.; Morawska, L.; Ristovski, Z.; Fu, Q.; Huang, C. Shipping emissions and their impacts on air quality in China. Sci. Total Environ. 2017, 581, 186–198. [Google Scholar] [CrossRef]
- Fang, X.Y.; Strodl, E.; Liu, B.Q.; Liu, L.; Yin, X.N.; Wen, G.M.; Sun, D.L.; Xian, D.X.; Jiang, H.; Jing, J.; et al. Association between prenatal exposure to household inhalants exposure and ADHD-like behaviors at around 3 years of age: Findings from Shenzhen Longhua Child Cohort Study. Environ. Res. 2019, 177, 8. [Google Scholar] [CrossRef]
- Viana, M.; Hammingh, P.; Colette, A.; Querol, X.; Degraeuwe, B.; de Vlieger, I.; Van Aardenne, J. Impact of maritime transport emissions on coastal air quality in Europe. Atmos. Environ. 2014, 90, 96–105. [Google Scholar] [CrossRef]
- Toscano, D.; Murena, F. Atmospheric ship emissions in ports: A review. Correlation with data of ship traffic. Atmos. Environ. X 2019, 4, 100050. [Google Scholar] [CrossRef]
- Liu, Z.; Lu, X.; Feng, J.; Fan, Q.; Zhang, Y.; Yang, X. Influence of ship emissions on urban air quality: A comprehensive study using highly time-resolved online measurements and numerical simulation in Shanghai. Environ. Sci. Technol. 2017, 51, 202–211. [Google Scholar] [CrossRef]
- Tang, L.; Ramacher, M.O.; Moldanová, J.; Matthias, V.; Karl, M.; Johansson, L.; Jalkanen, J.-P.; Yaramenka, K.; Aulinger, A.; Gustafsson, M. The impact of ship emissions on air quality and human health in the Gothenburg area–Part 1: 2012 emissions. Atmos. Chem. Phys. 2020, 20, 7509–7530. [Google Scholar] [CrossRef]
- Vedachalam, S.; Baquerizo, N.; Dalai, A.K. Review on impacts of low sulfur regulations on marine fuels and compliance options. Fuel 2022, 310, 122243. [Google Scholar] [CrossRef]
- Reichenbach, S.E.; Kottapalli, V.; Ni, M.; Visvanathan, A. Computer language for identifying chemicals with comprehensive two-dimensional gas chromatography and mass spectrometry. J. Chromatogr. A 2005, 1071, 263–269. [Google Scholar] [CrossRef]
- Song, K.; Gong, Y.Z.; Guo, S.; Lv, D.Q.; Wang, H.; Wan, Z.C.; Yu, Y.; Tang, R.Z.; Li, T.Y.; Tan, R.; et al. Investigation of partition coefficients and fingerprints of atmospheric gas- and particle-phase intermediate volatility and semi-volatile organic compounds using pixel-based approaches. J. Chromatogr. A 2022, 1665, 7. [Google Scholar] [CrossRef]
- Nabi, D.; Arey, J.S. Predicting partitioning and diffusion properties of nonpolar chemicals in biotic media and passive sampler phases by GC × GC. Environ. Sci. Technol. 2017, 51, 3001–3011. [Google Scholar] [CrossRef]
- Zushi, Y.; Hashimoto, S.; Tanabe, K. Nontarget approach for environmental monitoring by GC × GC-HRTOFMS in the Tokyo Bay basin. Chemosphere 2016, 156, 398–406. [Google Scholar] [CrossRef]
- Nabi, D.; Gros, J.; Dimitriou-Christidis, P.; Arey, J.S. Mapping environmental partitioning properties of nonpolar complex mixtures by use of GC × GC. Environ. Sci. Technol. 2014, 48, 6814–6826. [Google Scholar] [CrossRef]
- Ventura, G.T.; Hall, G.J.; Nelson, R.K.; Frysinger, G.S.; Raghuraman, B.; Pomerantz, A.E.; Mullins, O.C.; Reddy, C.M. Analysis of petroleum compositional similarity using multiway principal components analysis (MPCA) with comprehensive two-dimensional gas chromatographic data. J. Chromatogr. A 2011, 1218, 2584–2592. [Google Scholar] [CrossRef]
- Quiroz-Moreno, C.; Furlan, M.F.; Belinato, J.R.; Augusto, F.; Alexandrino, G.L.; Mogollón, N.G.S. RGCxGC toolbox: An R-package for data processing in comprehensive two-dimensional gas chromatography-mass spectrometry. Microchem. J. 2020, 156, 104830. [Google Scholar] [CrossRef]
- Song, K.; Guo, S.; Gong, Y.; Lv, D.; Zhang, Y.; Wan, Z.; Li, T.; Zhu, W.; Wang, H.; Yu, Y.; et al. Impact of cooking style and oil on semi-volatile and intermediate volatility organic compound emissions from Chinese domestic cooking. Atmos. Chem. Phys. Discuss. 2022, 22, 9827–9841. [Google Scholar] [CrossRef]





| No | Fuel Number (Chinese Common Name) | International Criteria | Density kg/m3 | Kinematic Viscosity mm2/s | Sulfur Content (%) |
|---|---|---|---|---|---|
| 1 | 0# | DMA | 844 | 5.5 | 0.0008 |
| 2 | -10# | DMX | 830 | 6.2 | 0.005 |
| 3 | -10# | DMX | 824 | 5.8 | 0.008 |
| 4 | 120# | RMD | 985 | 103.5 | 0.3 |
| 5 | 180# | RME | 991 | 152.4 | 0.4 |
| 6 | 180# | RME | 992 | 155.2 | 0.4 |
| 7 | 0# | DMA | 842 | 3.9 | 0.0004 |
| 8 | 0# | DMA | 839 | 4.6 | 0.0007 |
Disclaimer/Publisher’s Note: The statements, opinions and data contained in all publications are solely those of the individual author(s) and contributor(s) and not of MDPI and/or the editor(s). MDPI and/or the editor(s) disclaim responsibility for any injury to people or property resulting from any ideas, methods, instructions or products referred to in the content. |
© 2023 by the authors. Licensee MDPI, Basel, Switzerland. This article is an open access article distributed under the terms and conditions of the Creative Commons Attribution (CC BY) license (https://creativecommons.org/licenses/by/4.0/).
Share and Cite
Tang, R.; Song, K.; Gong, Y.; Sheng, D.; Zhang, Y.; Li, A.; Yan, S.; Yan, S.; Zhang, J.; Tan, Y.; et al. Detailed Speciation of Semi-Volatile and Intermediate-Volatility Organic Compounds (S/IVOCs) in Marine Fuel Oils Using GC × GC-MS. Int. J. Environ. Res. Public Health 2023, 20, 2508. https://doi.org/10.3390/ijerph20032508
Tang R, Song K, Gong Y, Sheng D, Zhang Y, Li A, Yan S, Yan S, Zhang J, Tan Y, et al. Detailed Speciation of Semi-Volatile and Intermediate-Volatility Organic Compounds (S/IVOCs) in Marine Fuel Oils Using GC × GC-MS. International Journal of Environmental Research and Public Health. 2023; 20(3):2508. https://doi.org/10.3390/ijerph20032508
Chicago/Turabian StyleTang, Rongzhi, Kai Song, Yuanzheng Gong, Dezun Sheng, Yuan Zhang, Ang Li, Shuyuan Yan, Shichao Yan, Jingshun Zhang, Yu Tan, and et al. 2023. "Detailed Speciation of Semi-Volatile and Intermediate-Volatility Organic Compounds (S/IVOCs) in Marine Fuel Oils Using GC × GC-MS" International Journal of Environmental Research and Public Health 20, no. 3: 2508. https://doi.org/10.3390/ijerph20032508
APA StyleTang, R., Song, K., Gong, Y., Sheng, D., Zhang, Y., Li, A., Yan, S., Yan, S., Zhang, J., Tan, Y., & Guo, S. (2023). Detailed Speciation of Semi-Volatile and Intermediate-Volatility Organic Compounds (S/IVOCs) in Marine Fuel Oils Using GC × GC-MS. International Journal of Environmental Research and Public Health, 20(3), 2508. https://doi.org/10.3390/ijerph20032508

