Urban–Rural Disparities in Case Fatality of Community-Acquired Sepsis in Germany: A Retrospective Cohort Study
Abstract
1. Introduction
2. Materials and Methods
2.1. Study Design and Data Source
2.2. Patient Sample and Characteristics
2.3. Outcomes
3. Statistical Analysis
4. Results
4.1. Patient Characteristics
4.2. Rural vs. Urban Outcomes
5. Discussion
6. Conclusions
Supplementary Materials
Author Contributions
Funding
Institutional Review Board Statement
Informed Consent Statement
Conflicts of Interest
References
- Singer, M.; Deutschman, C.S.; Seymour, C.W.; Shankar-Hari, M.; Annane, D.; Bauer, M.; Bellomo, R.; Bernard, G.R.; Chiche, J.-D.; Coopersmith, C.M.; et al. The Third International Consensus Definitions for Sepsis and Septic Shock (Sepsis-3). JAMA 2016, 315, 801–810. [Google Scholar] [CrossRef] [PubMed]
- Rudd, K.E.; Johnson, S.C.; Agesa, K.M.; Shackelford, K.A.; Tsoi, D.; Kievlan, D.R.; Colombara, D.V.; Ikuta, K.S.; Kissoon, N.; Finfer, S.; et al. Global, regional, and national sepsis incidence and mortality, 1990–2017: Analysis for the Global Burden of Disease Study. Lancet 2020, 395, 200–211. [Google Scholar] [CrossRef] [PubMed]
- Fleischmann, C.; Hartmann, M.; Hartog, C.S.; Welte, T.; Heublein, S.; Thomas-Rueddel, D.; Dennler, U.; Reinhart, K. Epidemiology of Sepsis in Germany: Incidence, Mortality And Associated Costs of Care 2007–2013. Intensive Care Med. Exp. 2015, 3, A50. [Google Scholar] [CrossRef]
- Bloos, F.; Thomas-Ruddel, D.; Ruddel, H.; Engel, C.; Schwarzkopf, D.; Marshall, J.C.; Harbarth, S.; Simon, P.; Riessen, R.; Keh, D.; et al. Impact of compliance with infection management guidelines on outcome in patients with severe sepsis: A prospective observational multi-center study. Crit. Care 2014, 18, R42. [Google Scholar] [CrossRef]
- Rhee, C.; Jones, T.M.; Hamad, Y.; Pande, A.; Varon, J.; O’Brien, C.; Anderson, D.J.; Warren, D.K.; Dantes, R.B.; Epstein, L.; et al. Prevalence, Underlying Causes, and Preventability of Sepsis-Associated Mortality in US Acute Care Hospitals. JAMA Netw. Open 2019, 2, e187571. [Google Scholar] [CrossRef]
- Kaufman, B.G.; Thomas, S.R.; Randolph, R.K.; Perry, J.R.; Thompson, K.W.; Holmes, G.M.; Pink, G.H. The Rising Rate of Rural Hospital Closures. J. Rural Health 2016, 32, 35–43. [Google Scholar] [CrossRef]
- Kosar, C.M.; Loomer, L.; Ferdows, N.B.; Trivedi, A.N.; Panagiotou, O.A.; Rahman, M. Assessment of Rural-Urban Differences in Postacute Care Utilization and Outcomes Among Older US Adults. JAMA Netw. Open 2020, 3, e1918738. [Google Scholar] [CrossRef]
- Weinhold, I.; Gurtner, S. Understanding shortages of sufficient health care in rural areas. Health Policy 2014, 118, 201–214. [Google Scholar] [CrossRef]
- Dwyer, M.; Rehman, S.; Ottavi, T.; Stankovich, J.; Gall, S.; Peterson, G.; Ford, K.; Kinsman, L. Urban-rural differences in the care and outcomes of acute stroke patients: Systematic review. J. Neurol. Sci. 2019, 397, 63–74. [Google Scholar] [CrossRef]
- Kim, H.S.; Kang, D.R.; Kim, I.; Lee, K.; Jo, H.; Koh, S.B. Comparison between urban and rural mortality in patients with acute myocardial infarction: A nationwide longitudinal cohort study in South Korea. BMJ OPEN 2020, 10, e035501. [Google Scholar] [CrossRef]
- Gu, W.J.; Wu, X.D.; Zhou, Q.; Zhang, J.; Wang, F.; Ma, Z.L.; Gu, X.P. Relationship between Annualized Case Volume and Mortality in Sepsis: A Dose-Response Meta-analysis. Anesthesiology 2016, 125, 168–179. [Google Scholar] [CrossRef] [PubMed]
- Goodwin, A.J.; Nadig, N.R.; McElligott, J.T.; Simpson, K.N.; Ford, D.W. Where You Live Matters: The Impact of Place of Residence on Severe Sepsis Incidence and Mortality. Chest 2016, 150, 829–836. [Google Scholar] [CrossRef] [PubMed]
- Detelich, J.F.; Kyaw, N.T.T.; Judd, S.E.; Bennett, A.; Wang, H.E.; Kramer, M.R.; Waller, L.A.; Martin, G.S.; Kempker, J.A. Home-to-Hospital Distance and Outcomes Among Community-Acquired Sepsis Hospitalizations. Ann. Epidemiol. 2022, 72, 26–31. [Google Scholar] [CrossRef]
- Villapiano, N.; Iwashyna, T.J.; Davis, M.M. Worsening Rural-Urban Gap in Hospital Mortality. J. Am. Board Fam. Med. 2017, 30, 816–823. [Google Scholar] [CrossRef]
- Fleischmann-Struzek, C.; Rose, N.; Freytag, A.; Spoden, M.; Prescott, H.C.; Schettler, A.; Wedekind, L.; Ditscheid, B.; Storch, J.; Born, S.; et al. Epidemiology and Costs of Postsepsis Morbidity, Nursing Care Dependency, and Mortality in Germany, 2013 to 2017. JAMA Netw. Open 2021, 4, e2134290. [Google Scholar] [CrossRef] [PubMed]
- Bone, R.C.; Balk, R.A.; Cerra, F.B.; Dellinger, R.P.; Fein, A.M.; Knaus, W.A.; Schein, R.M.; Sibbald, W.J. Definitions for sepsis and organ failure and guidelines for the use of innovative therapies in sepsis. The ACCP/SCCM Consensus Conference Committee. American College of Chest Physicians/Society of Critical Care Medicine. Chest 1992, 101, 1644–1655. [Google Scholar] [CrossRef]
- Quan, H.; Sundararajan, V.; Halfon, P.; Fong, A.; Burnand, B.; Luthi, J.C.; Saunders, L.D.; Beck, C.A.; Feasby, T.E.; Ghali, W.A. Coding algorithms for defining comorbidities in ICD-9-CM and ICD-10 administrative data. Med. Care 2005, 43, 1130–1139. [Google Scholar] [CrossRef]
- Rosenbaum, P.R. The consequences of adjustment for a concomitant variable that has been affected by the treatment. J. R. Stat. Soc. Ser. A (Gen.) 1984, 147, 656–666. [Google Scholar]
- Onukwugha, E.; Bergtold, J.; Jain, R. A primer on marginal effects—Part I: Theory and formulae. Pharmacoeconomics 2015, 33, 25–30. [Google Scholar] [CrossRef]
- Oehlert, G.W. A note on the delta method. Am. Stat. 1992, 46, 27–29. [Google Scholar]
- Zou, G. A modified poisson regression approach to prospective studies with binary data. Am. J. Epidemiol. 2004, 159, 702–706. [Google Scholar] [CrossRef] [PubMed]
- Nimptsch, U.; Mansky, T. Stroke unit care and trends of in-hospital mortality for stroke in Germany 2005–2010. Int. J. Stroke 2014, 9, 260–265. [Google Scholar] [CrossRef] [PubMed]
- Neumann, J.T.; Gossling, A.; Sorensen, N.A.; Blankenberg, S.; Magnussen, C.; Westermann, D. Temporal trends in incidence and outcome of acute coronary syndrome. Clin. Res. Cardiol. 2020, 109, 1186–1192. [Google Scholar] [CrossRef] [PubMed]
- Mitchell, R.; Popham, F. Effect of exposure to natural environment on health inequalities: An observational population study. Lancet 2008, 372, 1655–1660. [Google Scholar] [CrossRef]
- Cho, Y.; Ryu, S.-H.; Lee, B.R.; Kim, K.H.; Lee, E.; Choi, J. Effects of artificial light at night on human health: A literature review of observational and experimental studies applied to exposure assessment. Chronobiol. Int. 2015, 32, 1294–1310. [Google Scholar] [CrossRef] [PubMed]
- World Health Organization. Regional Office for, E. Burden of Disease from Environmental Noise: Quantification of Healthy Life Years Lost in Europe; World Health Organization, Regional Office for Europe: Copenhagen, Denmark, 2011. [Google Scholar]
- Glaser, R.; Kiecolt-Glaser, J.K. Stress-induced immune dysfunction: Implications for health. Nat. Rev. Immunol. 2005, 5, 243–251. [Google Scholar] [CrossRef]
- Cohen, S.; Janicki-Deverts, D.; Doyle, W.J.; Miller, G.E.; Frank, E.; Rabin, B.S.; Turner, R.B. Chronic stress, glucocorticoid receptor resistance, inflammation, and disease risk. Proc. Natl. Acad. Sci. USA 2012, 109, 5995. [Google Scholar] [CrossRef]
- Pedersen, A.F.; Zachariae, R.; Bovbjerg, D.H. Psychological stress and antibody response to influenza vaccination: A meta-analysis. Brain Behav. Immun. 2009, 23, 427–433. [Google Scholar] [CrossRef]
- Song, H.; Fall, K.; Fang, F.; Erlendsdóttir, H.; Lu, D.; Mataix-Cols, D.; Fernández de la Cruz, L.; D’Onofrio, B.M.; Lichtenstein, P.; Gottfreósson, M.; et al. Stress related disorders and subsequent risk of life threatening infections: Population based sibling controlled cohort study. BMJ 2019, 367, l5784. [Google Scholar] [CrossRef]
- Ojard, C.; Donnelly, J.P.; Safford, M.M.; Griffin, R.; Wang, H.E. Psychosocial Stress as a Risk Factor for Sepsis: A Population-Based Cohort Study. Psychosom. Med. 2015, 77, 93. [Google Scholar] [CrossRef]
- Lim, S.S.; Vos, T.; Flaxman, A.D.; Danaei, G.; Shibuya, K.; Adair-Rohani, H.; AlMazroa, M.A.; Amann, M.; Anderson, H.R.; Andrews, K.G.; et al. A comparative risk assessment of burden of disease and injury attributable to 67 risk factors and risk factor clusters in 21 regions, 1990–2010: A systematic analysis for the Global Burden of Disease Study 2010. Lancet 2012, 380, 2224–2260. [Google Scholar] [CrossRef] [PubMed]
- Kim, C.S.; Alexis, N.E.; Rappold, A.G.; Kehrl, H.; Hazucha, M.J.; Lay, J.C.; Schmitt, M.T.; Case, M.; Devlin, R.B.; Peden, D.B.; et al. Lung function and inflammatory responses in healthy young adults exposed to 0.06 ppm ozone for 6.6 hours. Am. J. Respir. Crit. Care Med. 2011, 183, 1215–1221. [Google Scholar] [CrossRef] [PubMed]
- Rush, B.; Wiskar, K.; Fruhstorfer, C.; Celi, L.A.; Walley, K.R. The Impact of Chronic Ozone and Particulate Air Pollution on Mortality in Patients With Sepsis Across the United States. J. Intensive Care Med. 2020, 35, 1002–1007. [Google Scholar] [CrossRef] [PubMed]
- Li, J.; Woodward, A.; Hou, X.Y.; Zhu, T.; Zhang, J.; Brown, H.; Yang, J.; Qin, R.; Gao, J.; Gu, S.; et al. Modification of the effects of air pollutants on mortality by temperature: A systematic review and meta-analysis. Sci. Total Environ. 2017, 575, 1556–1570. [Google Scholar] [CrossRef]
- Evans, L.; Rhodes, A.; Alhazzani, W.; Antonelli, M.; Coopersmith, C.M.; French, C.; Machado, F.R.; Mcintyre, L.; Ostermann, M.; Prescott, H.C.; et al. Surviving Sepsis Campaign: International Guidelines for Management of Sepsis and Septic Shock 2021. Crit. Care Med. 2021, 49, e1063. [Google Scholar] [CrossRef]
- Bauer, J.; Klingelhöfer, D.; Maier, W.; Schwettmann, L.; Groneberg, D.A. Spatial accessibility of general inpatient care in Germany: An analysis of surgery, internal medicine and neurology. Sci. Rep. 2020, 10, 19157. [Google Scholar] [CrossRef]
- Bauer, J.; Brüggmann, D.; Klingelhöfer, D.; Maier, W.; Schwettmann, L.; Weiss, D.J.; Groneberg, D.A. Access to intensive care in 14 European countries: A spatial analysis of intensive care need and capacity in the light of COVID-19. Intensive Care Med. 2020, 46, 2026–2034. [Google Scholar] [CrossRef]
- Sterling, S.A.; Miller, W.R.; Pryor, J.; Puskarich, M.A.; Jones, A.E. The Impact of Timing of Antibiotics on Outcomes in Severe Sepsis and Septic Shock: A Systematic Review and Meta-Analysis. Crit. Care Med. 2015, 43, 1907–1915. [Google Scholar] [CrossRef]
- Fleischmann-Struzek, C.; Thomas-Ruddel, D.O.; Schettler, A.; Schwarzkopf, D.; Stacke, A.; Seymour, C.W.; Haas, C.; Dennler, U.; Reinhart, K. Comparing the validity of different ICD coding abstraction strategies for sepsis case identification in German claims data. PLoS ONE 2018, 13, e0198847. [Google Scholar] [CrossRef]
- Jeschke, E.; Gehrke, T.; Günster, C.; Heller, K.D.; Leicht, H.; Malzahn, J.; Niethard, F.U.; Schräder, P.; Zacher, J.; Halder, A.M. Low Hospital Volume Increases Revision Rate and Mortality Following Revision Total Hip Arthroplasty: An Analysis of 17,773 Cases. J Arthroplast. 2019, 34, 2045–2050. [Google Scholar] [CrossRef]
- Group, W.B. Demographic Trends and Urbanization; World Bank: Washington, DC, USA, 2021. [Google Scholar]
- Zhongming, Z.; Linong, L.; Xiaona, Y.; Wangqiang, Z.; Wei, L. Shaping the Trends of Our Time, in Report of the UN Economist Network for the UN 75th Anniversary; United Nations: New York, NY, USA, 2020. [Google Scholar]


| Urban | Rural | p Value (Unadjusted) | OR [95%-CI] | |
|---|---|---|---|---|
| Number of observations | 60,386 (50.8%) | 58,507 (49.2%) | ||
| Age in years m | 74.10 (13.07), 77 (15) | 74.95 (12.44), 77 (15) | <0.001 | |
| Female gender c | 41,121 (49.0%) | 17,386 (49.7%) | 0.032 | 1.03 [1.00, 1.05] |
| Nursing care level c | ||||
| 0 | 51,093 (60.9%) | 20,583 (58.8%) | <0.001 | 0.92 [0.90, 0.94] |
| 2 | 11,814 (14.1%) | 5042 (14.4%) | 0.138 | 1.03 [0.99, 1.07] |
| 3 | 10,168 (12.1%) | 4484 (12.8%) | 0.001 | 1.07 [1.03, 1.11] |
| 4 | 7459 (8.9%) | 3293 (9.4%) | 0.004 | 1.07 [1.02, 1.11] |
| 5 | 3372 (4.0%) | 1585 (4.5%) | <0.001 | 1.13 [1.07, 1.21] |
| Charlson Comorbidity Index (CCI) | ||||
| Charlson Comorbidity Index m | 3.27 (2.19), 3 (3) | 3.48 (2.25), 3 (3) | <0.001 | |
| Chronic pulmonary disease c | 27,884 (33.2%) | 11,125 (31.8%) | <0.001 | 0.94 [0.91, 0.96] |
| Renal disease c | 27,096 (32.3%) | 12,978 (37.1%) | <0.001 | 1.24 [1.20, 1.27] |
| HIV or AIDS c | 145 (0.2%) | 25 (0.1%) | <0.001 | 0.41 [0.27, 0.63] |
| Diabetes c | 37,187 (44.3%) | 16,808 (48.0%) | <0.001 | 1.16 [1.13, 1.19] |
| Congestive heart failure and myocardial infarction c | 33,942 (40.5%) | 15,540 (44.4%) | <0.001 | 1.18 [1.15, 1.21] |
| Cancer c | 21,581 (25.7%) | 8539 (24.4%) | <0.001 | 0.93 [0.91, 0.96] |
| Dementia or cerebrovascular disease c | 31,700 (37.8%) | 14,362 (41.0%) | <0.001 | 1.15 [1.12, 1.18] |
| Liver disease c | 14,647 (17.5%) | 6102 (17.4%) | 0.955 | 1.00 [0.97, 1.03] |
| Focus of infection c | ||||
| Respiratory c | 27,012 (32.2%) | 11,229 (32.1%) | 0.746 | 1.00 [0.97, 1.02] |
| Abdominal c | 9011 (10.8%) | 3693 (10.6%) | 0.355 | 0.98 [0.94, 1.02] |
| Wound / soft tissue c | 4790 (5.7%) | 2256 (6.5%) | <0.001 | 1.14 [1.08, 1.20] |
| Urogenital c | 25,539 (30.5%) | 11,000 (31.4%) | 0.001 | 1.05 [1.02, 1.08] |
| Central nervous system c | 647 (0.8%) | 258 (0.7%) | 0.567 | 0.96 [0.83, 1.11] |
| Device-related c | 2491 (3.0%) | 1049 (3.0%) | 0.800 | 1.01 [0.94, 1.09] |
| Pregnancy-associated c | 61 (0.1%) | 21 (0.1%) | 0.524 | 0.83 [0.50, 1.36] |
| Organ Dysfunctions | ||||
| Circulatory/shock c | 11,351 (13.5%) | 4055 (11.6%) | <0.001 | 0.84 [0.81, 0.87] |
| Respiratory c | 31,459 (37.5%) | 13,173 (37.7%) | 0.613 | 1.01 [0.98, 1.03] |
| Encephalopathy c | 11,308 (13.5%) | 4590 (13.1%) | 0.100 | 0.97 [0.93, 1.01] |
| Renal dysfunction c | 23,286 (27.8%) | 9098 (26.0%) | <0.001 | 0.92 [0.89, 0.94] |
| Metabolic acidosis c | 6795 (8.1%) | 2602 (7.4%) | <0.001 | 0.91 [0.87, 0.96] |
| Hepatic c | 2196 (2.6%) | 822 (2.4%) | 0.008 | 0.90 [0.83, 0.97] |
| Thrombocytopenia c | 6730 (8.0%) | 2611 (7.5%) | 0.001 | 0.93 [0.88, 0.97] |
| Number of organ dysfunctions | 1.110 (1.225), 1 (2) | 1.056 (1.186), 1 (2) | <0.001 | |
| Type of admission c | ||||
| Non-emergency admission c | 28,407 (33.9%) | 16,167 (46.2%) | <0.001 | 1.68 [1.64, 1.72] |
| Admission as emergency c | 55,499 (66.1%) | 18,820 (53.8%) | <0.001 | 0.60 [0.58, 0.61] |
| Surgical treatment c | 23,144 (27.6%) | 9596 (27.4%) | 0.588 | 0.99 [0.97, 1.02] |
| ICU treatment | 23,243 (27.7%) | 8658 (24.8%) | <0.001 | 0.86 [0.83, 0.88] |
| Mechanical ventilation c | 1684 (20.1%) | 6433 (18.4%) | <0.001 | 0.90 [0.87, 0.93] |
| Renal replacement therapy c | 6222 (7.4%) | 2477 (7.1%) | 0.044 | 0.95 [0.91, 1.00] |
| Hospital length of stay in days m | 16.24 (14.88), 12 (12) | 15.97 (14.57). 12 (12) | 0.003 |
| Urban | Rural | Crude Group Comparisons | |||||||
|---|---|---|---|---|---|---|---|---|---|
| Outcome | Group | n | Death n (%) | n | Death n (%) | p | OR [95% CI] | RR [95% CI] | Risk Difference [95% CI] |
| Hospital case fatality | all | 83,906 | 21,386 (25.5%) | 34,987 | 8293 (23.7%) | <0.001 | 0.91 [0.88, 0.94] | 0.93 [0.91, 0.95] | −1.79 [−2.32, −1.25] |
| <40 | 1689 | 123 (7.3%) | 515 | 20 (3.9%) | 0.008 | 0.51 [0.32, 0.83] | 0.53 [0.34, 0.85] | −3.40 [−5.34, −1.09] | |
| 40–64 | 15,315 | 2909 (19.0%) | 5871 | 1061 (18.1%) | 0.128 | 0.94 [0.87, 1.02] | 0.95 [0.89, 1.01] | −0.92 [−2.07, 0.25] | |
| 65–80 | 37,728 | 9316 (24.7%) | 15,625 | 3551 (22.7%) | <0.001 | 0.90 [0.86, 0.94] | 0.92 [0.89, 0.95] | −1.97 [−2.75, −1.17] | |
| >80 | 29,174 | 9038 (31.0%) | 12,976 | 3661 (28.2%) | <0.001 | 0.89 [0.84, 0.92] | 0.91 [0.88, 0.94] | −2.77 [3.70, −1.82] | |
| severe sepsis | 33,647 | 15,597 (46.4%) | 13,623 | 5943 (43.6%) | <0.001 | 0.90 [0.86, 0.93] | 0.94 [0.92, 0.96] | −2.73 [−3.72, −1.74] | |
| admission as emergency | 55,499 | 14,477 (26.1%) | 18,820 | 4623 (24.6%) | <0.001 | 0.92 [0.89, 0.96] | 0.94 [0.92, 0.97] | −1.52 [−2.23, −0.80] | |
| 12 months case fatality | all | 83,906 | 39,442 (47.0%) | 34,987 | 16,014 (45.8%) | <0.001 | 0.95 [0.93, 0.98] | 0.97 [0.96, 0.99] | −1.24 [−1.86, −0.61] |
| <40 | 1689 | 224 (13.3%) | 515 | 55 (10.7%) | 0.142 | 0.78 [0.57, 1.07] | 0.81 [0.61, 1.16] | −2.58 [−5.53, 0.75] | |
| 40–64 | 15,315 | 5376 (35.1%) | 5871 | 2034 (34.6%) | 0.542 | 0.98 [0.92, 1.04] | 0.99 [0.95, 1.03] | −0.46 [−1.88, 0.98] | |
| 65–80 | 37,728 | 17,166 (45.5%) | 15,625 | 6826 (43.7%) | <0.001 | 0.93 [0.90, 0.97] | 0.96 [0.94, 0.98] | −1.81 [−2.74, −0.89] | |
| >80 | 29,174 | 16,676 (57.2%) | 12,976 | 7099 (54.7%) | <0.001 | 0.91 [0.87, 0.94] | 0.96 [0.94, 0.98] | −2.45 [−3.48, −1.43] | |
| severe sepsis | 33,647 | 21,381 (63.6%) | 13,623 | 8402 (61.7%) | <0.001 | 0.92 [0.89, 0.96] | 0.97 [0.96, 0.99] | −1.87 [−2.84, −0.91] | |
| admission as emergency | 55,499 | 26,076 (47.0%) | 18,820 | 8677 (46.1%) | 0.037 | 0.97 [0.93, 1.00] | 0.98 [0.96, 1.00] | −0.88 [−1.70, -0.06] | |
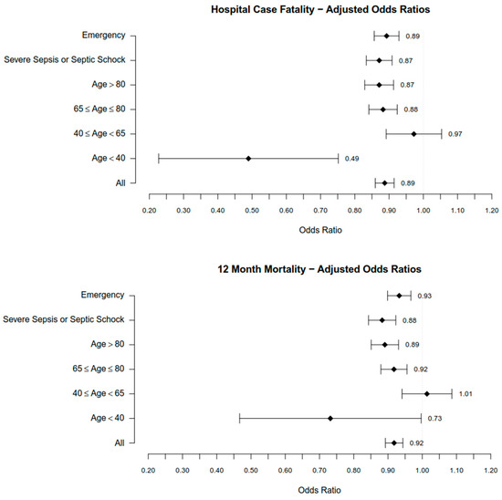
| Marginal Predictive Means (Adjusted Proportion of Death%) | Adjusted Group Comparisons | ||||||
|---|---|---|---|---|---|---|---|
| Outcome | Subgroup | Urban | Rural | p | ORadj [95% CI] | RRadj [95% CI] | AME 1 [95% CI] |
| Hospital case fatality | all | 25.55 [25.27, 25.83] | 23.56 [23.14, 23.99] | <0.001 | 0.89 [0.86–0.92] | 0.92 [0.90–0.94] | −1.99 [−2.50,–1.48] |
| <40 | 7.21 [6.07, 8.34] | 4.04 [2.38, 5.70] | 0.002 | 0.49 [0.23–0.75] | 0.56 [0.30–0.82] | −3.17 [−5.21,–1.13] | |
| 40–64 | 18.84 [18.26, 19.43] | 18.46 [17.51, 19.42] | 0.510 | 0.97 [0.99–1.05] | 0.98 [0.92–1.04] | −0.38 [−1.51–0.75] | |
| 65–80 | 24.72 [24.30, 25.13] | 22.67 [22.04, 23.30] | <0.001 | 0.88 [0.84–0.92] | 0.92 [0.89–0.95] | −2.05 [−2.81, −1.29] | |
| >80 | 30.93 [30.43, 31.44] | 28.32 [27.57, 29.06] | <0.001 | 0.87 [0.83–0.91] | 0.92 [0.89–0.94] | −2.62 [−3.53, −1.71] | |
| severe sepsis | 46.44 [45.93, 46.94] | 43.44 [42.65, 44.22] | <0.001 | 0.87 [0.83–0.91] | 0.94 [0.92–0.96] | −3.00 [−3.93, −2.06] | |
| admission as emergency | 26.19 [25.84, 26.54] | 24.27 [23.69, 24.85] | <0.001 | 0.89 [0.86–0.93] | 0.93 [0.90–0.95] | −1.92 [−2.60, −1.24] | |
| 12 months case fatality | all | 47.16 [46.85, 47.47] | 45.41 [44.93, 45.88] | <0.001 | 0.92 [0.89, 0.94 | 0.96 [0.95, 0.98] | −1.76 [−2.33, −1.18] |
| <40 | 13.27 [11.83, 14.71] | 10.69 [8.26, 13.11] | 0.076 | 0.73 [0.47, 1.00] | 0.82 [0.60, 1.04] | −2.58 [−5.43, 0.27] | |
| 40–64 | 34.901 [34.23, 35.58] | 35.16 [34.06, 36.26] | 0.707 | 1.01 [0.94, 1.09] | 1.01 [0.97, 1.05] | 0.25 [−1.05, 1.55] | |
| 65–80 | 45.49 [45.03, 45.95] | 43.71 [43.00, 44.43] | <0.001 | 0.92 [0.88, 0.96] | 0.96 [0.94, 0.98] | −1.78 [−2.63, −0.92] | |
| >80 | 57.14 [56.65, 57.72] | 54.66 [53.84, 55.47] | <0.001 | 0.89 [0.85, 0.93] | 0.96 [0.94, 0.97] | −2.53 [−3.51, −1.54] | |
| severe sepsis | 63.72 [63.24, 64.19] | 61.26 [60.50, 62.01] | <0.001 | 0.88 [0.84, 0.93] | 0.96 [0.95, 0.98] | −2.46 [−3.36, −1.56] | |
| admission as emergency | 47.13 [46.75, 47.50] | 45.70 [45.05, 46.35] | <0.001 | 0.93 [0.90, 0.97] | 0.97 [0.95, 0.99] | −1.43 [−2.18, −0.68] | |
Disclaimer/Publisher’s Note: The statements, opinions and data contained in all publications are solely those of the individual author(s) and contributor(s) and not of MDPI and/or the editor(s). MDPI and/or the editor(s) disclaim responsibility for any injury to people or property resulting from any ideas, methods, instructions or products referred to in the content. |
© 2023 by the authors. Licensee MDPI, Basel, Switzerland. This article is an open access article distributed under the terms and conditions of the Creative Commons Attribution (CC BY) license (https://creativecommons.org/licenses/by/4.0/).
Share and Cite
Matthaeus-Kraemer, C.T.; Rose, N.; Spoden, M.; Pletz, M.W.; Reinhart, K.; Fleischmann-Struzek, C. Urban–Rural Disparities in Case Fatality of Community-Acquired Sepsis in Germany: A Retrospective Cohort Study. Int. J. Environ. Res. Public Health 2023, 20, 5867. https://doi.org/10.3390/ijerph20105867
Matthaeus-Kraemer CT, Rose N, Spoden M, Pletz MW, Reinhart K, Fleischmann-Struzek C. Urban–Rural Disparities in Case Fatality of Community-Acquired Sepsis in Germany: A Retrospective Cohort Study. International Journal of Environmental Research and Public Health. 2023; 20(10):5867. https://doi.org/10.3390/ijerph20105867
Chicago/Turabian StyleMatthaeus-Kraemer, Claudia T., Norman Rose, Melissa Spoden, Mathias W. Pletz, Konrad Reinhart, and Carolin Fleischmann-Struzek. 2023. "Urban–Rural Disparities in Case Fatality of Community-Acquired Sepsis in Germany: A Retrospective Cohort Study" International Journal of Environmental Research and Public Health 20, no. 10: 5867. https://doi.org/10.3390/ijerph20105867
APA StyleMatthaeus-Kraemer, C. T., Rose, N., Spoden, M., Pletz, M. W., Reinhart, K., & Fleischmann-Struzek, C. (2023). Urban–Rural Disparities in Case Fatality of Community-Acquired Sepsis in Germany: A Retrospective Cohort Study. International Journal of Environmental Research and Public Health, 20(10), 5867. https://doi.org/10.3390/ijerph20105867

