Minimal Clinically Important Differences (MCID) for the Functional Assessment of Chronic Illness Therapy Fatigue Scale in Patients with Systemic Sclerosis
Abstract
1. Introduction
2. Patients and Methods
2.1. Examination of the Degree of Fatigue
2.2. HRQoL and General Health Evaluations
2.3. Patients’ Social and Demographical Characteristics
2.4. Clinical and Laboratory Findings
2.5. Statistical Analysis
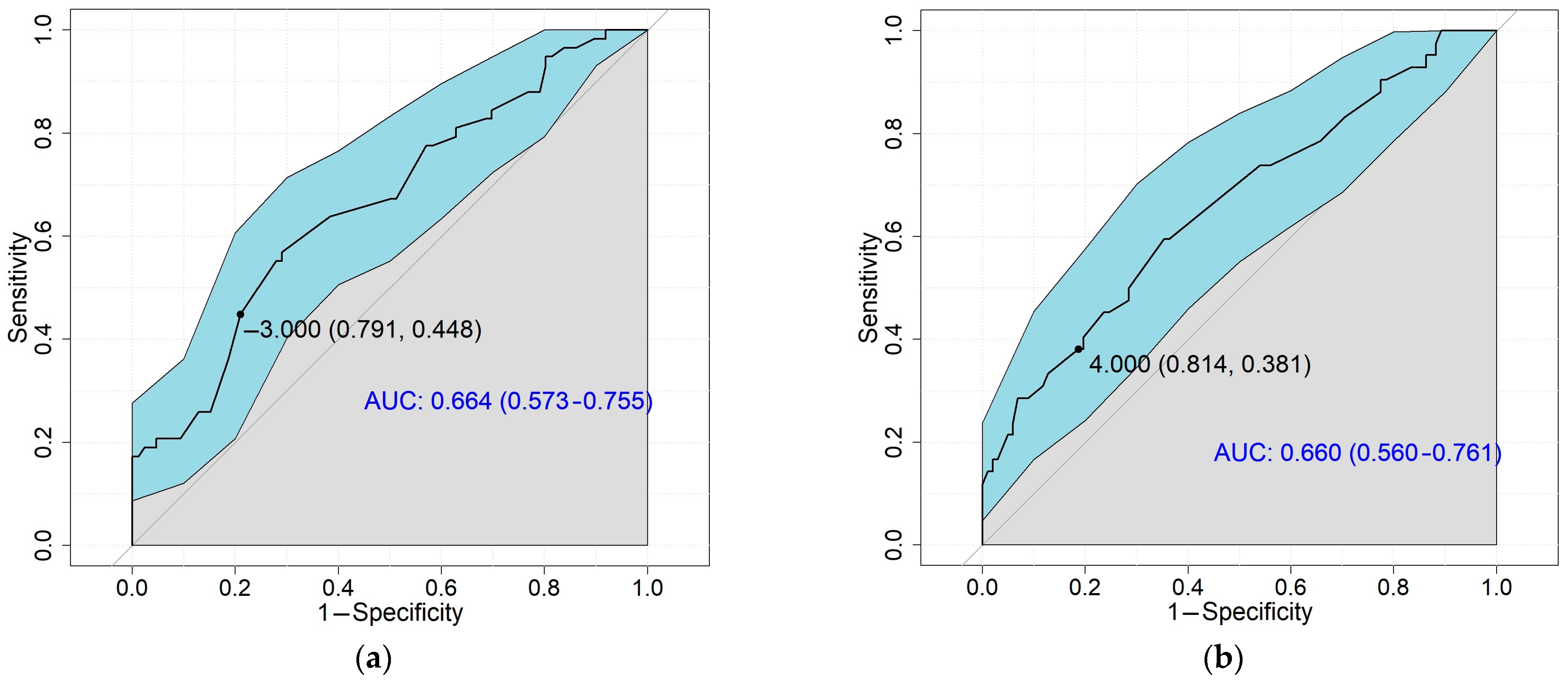
3. Results
3.1. Result of the Baseline Examination
3.2. Results of the Follow-Up
4. Discussion
4.1. Baseline Results
4.2. Results of the Follow-Up
5. Conclusions
Supplementary Materials
Author Contributions
Funding
Institutional Review Board Statement
Informed Consent Statement
Data Availability Statement
Acknowledgments
Conflicts of Interest
References
- Bergamasco, A.; Hartmann, N.; Wallace, L.; Verpillat, P. Epidemiology of systemic sclerosis and systemic sclerosis-associated interstitial lung disease. Clin. Epidemiol. 2019, 11, 257–273. [Google Scholar] [CrossRef] [PubMed]
- Nagy, G.; Minier, T.; Varju, C.; Faludi, R.; Kovács, K.T.; Lóránd, V.; Hermann, V.; Czirják, L.; Kumánovics, G. The presence of small joint contractures is a risk factor for survival in 439 patients with systemic sclerosis. Clin. Exp. Rheumatol. 2017, 35, 61–70. [Google Scholar] [PubMed]
- Swain, M.G. Fatigue in chronic disease. Clin. Sci. 2000, 99, 1–8. [Google Scholar] [CrossRef]
- Bassel, M.; Hudson, M.; Taillefer, S.S.; Schieir, O.; Baron, M.; Thombs, B. Frequency and impact of symptoms experienced by patients with systemic sclerosis: Results from a Canadian National Survey. Rheumatology 2010, 50, 762–767. [Google Scholar] [CrossRef] [PubMed]
- Strickland, G.; Pauling, J.; Cavill, C.; McHugh, N. Predictors of health-related quality of life and fatigue in systemic sclerosis: Evaluation of the EuroQol-5D and FACIT-F assessment tools. Clin. Rheumatol. 2012, 31, 1215–1222. [Google Scholar] [CrossRef]
- Singh, M.K.; Clements, P.J.; Furst, D.E.; Maranian, P.; Khanna, D. Work productivity in scleroderma: Analysis from the University of California, Los Angeles scleroderma quality of life study. Arthritis Care Res. 2011, 64, 176–183. [Google Scholar] [CrossRef]
- Sandqvist, G.; Scheja, A.; Hesselstrand, R. Pain, fatigue and hand function closely correlated to work ability and employment status in systemic sclerosis. Rheumatology 2010, 49, 1739–1746. [Google Scholar] [CrossRef]
- Hudson, M.; Thombs, B.D.; Steele, R.; Watterson, R.; Taillefer, S.; Baron, M. Canadian Scleroderma Research Group Clinical correlates of quality of life in systemic sclerosis measured with the World Health Organization Disability Assessment Schedule II. Arthritis Care Res. 2008, 59, 279–284. [Google Scholar] [CrossRef]
- Thombs, B.D.; Bassel, M.; McGuire, L.; Smith, M.T.; Hudson, M.; Haythornthwaite, J.A. A systematic comparison of fatigue levels in systemic sclerosis with general population, cancer and rheumatic disease samples. Rheumatology 2008, 47, 1559–1563. [Google Scholar] [CrossRef]
- Peytrignet, S.; Denton, C.P.; Lunt, M.; Hesselstrand, R.; Mouthon, L.; Silman, A.; Pan, X.; Brown, E.; Czirják, L.; Distler, J.H.W.; et al. Disability, fatigue, pain and their associates in early diffuse cutaneous systemic sclerosis: The European Scleroderma Observational Study. Rheumatology 2017, 57, 370–381. [Google Scholar] [CrossRef]
- Levis, B.; and the Canadian Scleroderma Research Group; Kwakkenbos, L.; Hudson, M.; Baron, M.; Thombs, B.D. The association of sociodemographic and objectively-assessed disease variables with fatigue in systemic sclerosis: An analysis of 785 Canadian Scleroderma Research Group Registry patients. Clin. Rheumatol. 2016, 36, 373–379. [Google Scholar] [CrossRef] [PubMed]
- Corfield, E.C.; Martin, N.G.; Nyholt, D.R. Co-occurrence and symptomatology of fatigue and depression. Compr. Psychiatry 2016, 71, 1–10. [Google Scholar] [CrossRef] [PubMed]
- Milette, K.; Hudson, M.; Baron, M.; Thombs, B. Canadian Scleroderma Research Group Comparison of the PHQ-9 and CES-D depression scales in systemic sclerosis: Internal consistency reliability, convergent validity and clinical correlates. Rheumatology 2010, 49, 789–796. [Google Scholar] [CrossRef] [PubMed]
- Sandusky, S.B.; McGuire, L.; Smith, M.T.; Wigley, F.M.; Haythornthwaite, J.A. Fatigue: An overlooked determinant of physical function in scleroderma. Rheumatology 2008, 48, 165–169. [Google Scholar] [CrossRef] [PubMed]
- Hewlett, S.; Dures, E.; Almeida, C. Measures of fatigue: Bristol Rheumatoid Arthritis Fatigue Multi-Dimensional Questionnaire (BRAF MDQ), Bristol Rheumatoid Arthritis Fatigue Numerical Rating Scales (BRAF NRS) for Severity, Effect, and Coping, Chalder Fatigue Questionnaire (CFQ), Checklist. Arthritis Care Res. 2011, 63, S263–S286. [Google Scholar] [CrossRef] [PubMed]
- Cella, D.; Yount, S.; Sorensen, M.; Chartash, E.; Sengupta, N.; Grober, J. Validation of the Functional Assessment of Chronic Illness Therapy Fatigue Scale relative to other instrumentation in patients with rheumatoid arthritis. J. Rheumatol. 2005, 32, 811–819. [Google Scholar] [PubMed]
- Webster, K.; Cella, D.; Yost, K. The Functional Assessment of Chronic Illness Therapy (FACIT) Measurement System: Properties, applications, and interpretation. Health Qual. Life Outcomes 2003, 1, 79. [Google Scholar] [CrossRef]
- Ware, J.; Sherbourne, C. The MOS 36-item short-form health survey (SF-36). I. Conceptual framework and item selection. Med. Care 1992, 30, 473–483. [Google Scholar] [CrossRef]
- Gualtierotti, R.; Ingegnoli, F.; Scalone, L.; Cortesi, P.; Bruschi, E.; Gerosa, M.; Meroni, P. Feasibility, acceptability and construct validity of EQ-5D in systemic sclerosis. Swiss Med. Wkly. 2016, 146, w14394. [Google Scholar] [CrossRef][Green Version]
- Poole, J.L.; Steen, V.D. The use of the health assessment questionnaire (HAQ) to determine physical disability in systemic sclerosis. Arthritis Rheum. 1991, 4, 27–31. [Google Scholar] [CrossRef]
- Poiraudeau, S.; Lefevre-Colau, M.-M.; Fermanian, J.; Revel, M. The ability of the Cochin rheumatoid arthritis hand functional scale to detect change during the course of disease. Arthritis Care Res. 2000, 13, 296–303. [Google Scholar] [CrossRef] [PubMed]
- Pfister, P.B.; De Bruin, E.D.; Sterkele, I.; Maurer, B.; De Bie, R.A.; Knols, R.H. Manual muscle testing and hand-held dynamometry in people with inflammatory myopathy: An intra- and interrater reliability and validity study. PLoS ONE 2018, 13, e0194531. [Google Scholar] [CrossRef]
- ATS Committee on Proficiency Standards for Clinical Pulmonary Function Laboratories. American Thoracic Society. ATS statement: Guidelines for the six-minute walk test. Am. J. Respir. Crit. Care Med. 2002, 166, 111–117. [Google Scholar] [CrossRef] [PubMed]
- Folstein, M.F.; Folstein, S.E.; McHugh, P.R. “Mini-Mental State”. A Practical Method for Grading the Cognitive State of Patients for the Clinician. J. Psychiatr. Res. 1975, 12, 189–198. [Google Scholar] [CrossRef]
- Khanna, D.; Furst, D.E.; Clements, P.J.; Allanore, Y.; Baron, M.; Czirjak, L.; Distler, O.; Foeldvari, I.; Kuwana, M.; Matucci-Cerinic, M.; et al. Standardization of the Modified Rodnan Skin Score for Use in Clinical Trials of Systemic Sclerosis. J. Scleroderma Relat. Disord. 2017, 2, 11–18. [Google Scholar] [CrossRef]
- Medsger Thomas, J.; Bombardieri, S.; Czirják, L.; Scorza, R.; della Rossa, A.; Bencivelli, W. Assessment of disease severity and prognosis in SSc. Clin. Exp. Rheumatol. 2003, 21, S42–S46. [Google Scholar]
- Lóránd, V.; Nagy, G.; Bálint, Z.; Komjáti, D.; Minier, T.; Kumánovics, G.; Farkas, N.; Tarner, I.H.; Müller-Ladner, U.; Czirják, L.; et al. Sensitivity to change of joint count composite indices in 72 patients with systemic sclerosis. Clin. Exp. Rheumatol. 2021, 39, 77–84. [Google Scholar] [CrossRef]
- Volkmann, E.R.; Tashkin, D.P.; Sim, M.; Kim, G.H.; Goldin, J.; Clements, P.J. Determining progression of scleroderma-related interstitial lung disease. J. Scleroderma Relat. Disord. 2018, 4, 62–70. [Google Scholar] [CrossRef]
- Khanna, D.; Hays, R.D.; Maranian, P.; Seibold, J.R.; Impens, A.; Mayes, M.D.; Clements, P.J.; Getzug, T.; Fathi, N.; Bechtel, A.; et al. Reliability and validity of the university of california, los angeles scleroderma clinical trial consortium gastrointestinal tract instrument. Arthritis Rheum. 2009, 61, 1257–1263. [Google Scholar] [CrossRef]
- Vértes, V.; Porpáczy, A.; Nógrádi, Á.; Tőkés-Füzesi, M.; Hajdu, M.; Czirják, L.; Komócsi, A.; Faludi, R. Galectin-3 and sST2: Associations to the echocardiographic markers of the myocardial mechanics in systemic sclerosis—A pilot study. Cardiovasc. Ultrasound 2022, 20, 1–10. [Google Scholar] [CrossRef]
- Faludi, R.; Nagy, G.; Tőkés-Füzesi, M.; Kovács, K.; Czirják, L.; Komócsi, A. Galectin-3 is an independent predictor of survival in systemic sclerosis. Int. J. Cardiol. 2017, 233, 118–124. [Google Scholar] [CrossRef]
- Valentini, G.; Iudici, M.; Walker, U.A.; Jaeger, V.; Baron, M.; Carreira, P.E.; Czirják, L.; Denton, C.P.; Distler, O.; Hachulla, E.; et al. The European Scleroderma Trials and Research group (EUSTAR) task force for the development of revised activity criteria for systemic sclerosis: Derivation and validation of a preliminarily revised EUSTAR activity index. Ann. Rheum. Dis. 2016, 76, 270–276. [Google Scholar] [CrossRef] [PubMed]
- Liaw, A.; Wiener, M. Classification and Regression by RandomForest. R News 2002, 2, 18–22. [Google Scholar]
- Mollan, K.R.; Trumble, I.M.; Reifeis, S.A.; Ferrer, O.; Bay, C.P.; Baldoni, P.L.; Hudgens, M.G. Exact Power of the Rank-Sum Test for a Continuous Variable. arXiv 2019, arXiv:1901.04597. [Google Scholar]
- Strobl, C.; Boulesteix, A.-L.; Kneib, T.; Augustin, T.; Zeileis, A. Conditional variable importance for random forests. BMC Bioinform. 2008, 9, 307. [Google Scholar] [CrossRef]
- Yang, S.; Berdine, G. The receiver operating characteristic (ROC) curve. Southwest Respir. Crit. Care Chron. 2017, 5, 34. [Google Scholar] [CrossRef]
- Goligher, E.; Pouchot, J.; Brant, R.; Kherani, R.B.; Aviña-Zubieta, J.A.; Lacaille, D.; Lehman, A.J.; Ensworth, S.; Kopec, J.; Esdaile, J.M.; et al. Minimal clinically important difference for 7 measures of fatigue in patients with systemic lupus erythematosus. J. Rheumatol. 2008, 35, 635–642. [Google Scholar] [PubMed]
- Basta, F.; Afeltra, A.; Margiotta, D.P.E. Fatigue in Systemic Sclerosis: A Systematic Review. Clin. Exp. Rheumatol. 2017, 36, 150–160. Available online: http://europepmc.org/abstract/MED/29303706 (accessed on 15 December 2017).
- Gök, K.; Erol, K.; Cengiz, G.; Özgöçmen, S. Comparison of Level of Fatigue and Disease Correlates in Patients with Rheumatoid Arthritis and Systemic Sclerosis. Arch. Rheumatol. 2018, 33, 316–321. [Google Scholar] [CrossRef]
- Schieir, O.; Thombs, B.D.; Hudson, M.; Boivin, J.-F.; Steele, R.; Bernatsky, S.; Hanley, J.; Baron, M. Canadian Scleroderma Research Group Prevalence, severity, and clinical correlates of pain in patients with systemic sclerosis. Arthritis Care Res. 2010, 62, 409–417. [Google Scholar] [CrossRef]
- Malcarne, V.L.; Hansdottir, I.; McKinney, A.; Upchurch, R.; Greenbergs, H.L.; Henstorf, G.H.; Furst, D.E.; Clements, P.J.; Weisman, M.H. Medical signs and symptoms associated with disability, pain, and psychosocial adjustment in systemic sclerosis. J. Rheumatol. 2007, 34, 359–367. [Google Scholar] [PubMed]
- Racine, M.; Hudson, M.; Baron, M.; Nielson, W.R.; Pope, J.; Markland, J.; Robinson, D.; Jones, N.; Khalidi, N.; Docherty, P.; et al. The Impact of Pain and Itch on Functioning and Health-Related Quality of Life in Systemic Sclerosis: An Exploratory Study. J. Pain Symptom Manag. 2016, 52, 43–53. [Google Scholar] [CrossRef] [PubMed]
- Murphy, S.L.; Kratz, A.L.; Whibley, D.; Poole, J.L.; Khanna, D. Fatigue and Its Association with Social Participation, Functioning, and Quality of Life in Systemic Sclerosis. Arthritis Care Res. 2019, 73, 415–422. [Google Scholar] [CrossRef] [PubMed]
- Villalba, W.O.; Sampaio-Barros, P.D.; Pereira, M.C.; Cerqueira, E.M.; Leme, C.A., Jr.; Neto, M.J.; AI, A.P. Six-Minutes Walk Test For The Evaluation of Pulmonary Involvement in 110 Scleroderma Patients: P5. JCR J. Clin. Rheumatol. 2006, 12. Available online: https://journals.lww.com/jclinrheum/Fulltext/2006/04001/Six_Minutes_Walk_Test_For_The_Evaluation_of.5.aspx (accessed on 1 April 2006). [CrossRef]
- De Oliveira, N.C.; Sabbag, L.M.D.S.; Ueno, L.M.; De Souza, R.B.C.; Borges, C.L.; Pinto, A.L.D.S.; Lima, F.R. Reduced exercise capacity in systemic sclerosis patients without pulmonary involvement. Scand. J. Rheumatol. 2007, 36, 458–461. [Google Scholar] [CrossRef]
- Lima, T.R.L.; Guimaraes, F.S.; Carvalho, M.N.; Sousa, T.L.M.; Menezes, S.L.S.; Lopes, A. Lower limb muscle strength is associated with functional performance and quality of life in patients with systemic sclerosis. Braz. J. Phys. Ther. 2015, 19, 129–136. [Google Scholar] [CrossRef]
- Ranque, B.; Authier, F.; Berezne, A.; Guillevin, L.; Mouthon, L. Systemic Sclerosis-Associated Myopathy. Ann. N. Y. Acad. Sci. 2007, 1108, 268–282. [Google Scholar] [CrossRef]
- Alexanderson, H.; Bergegård, J.; Björnådal, L.; Nordin, A. Intensive aerobic and muscle endurance exercise in patients with systemic sclerosis: A pilot study. BMC Res. Notes 2014, 7, 86. [Google Scholar] [CrossRef]
- Yakut, H.; Özalevli, S.; Aktan, R.; Alpaydın, A.; Birlik, A.M.; Can, G. Effects of supervised exercise program and home exercise program in patients with systemic sclerosis: A randomized controlled trial. Int. J. Rheum. Dis. 2021, 24, 1200–1212. [Google Scholar] [CrossRef]
- Almeida, C.; Almeida, I.; Vasconcelos, C. Quality of life in systemic sclerosis. Autoimmun. Rev. 2015, 14, 1087–1096. [Google Scholar] [CrossRef]
- Akbayrak, E.; Dinser, R.; Müller-Ladner, U.; Tarner, I.H. Low-field magnetic resonance imaging study on carpal arthritis in systemic sclerosis—Low-grade erosive arthritis of carpal bones is an unexpected and frequent disease manifestation. Arthritis Res. Ther. 2013, 15, R2. [Google Scholar] [CrossRef] [PubMed]
- Willems, L.; Kwakkenbos, L.; Vonk, M.; Hoogen, F.V.D.; Vlieland, T.V.; Ende, C.V.D. SAT0641-HPR Three-Year Trajectories of Disability and Fatigue in Systemic Sclerosis: A Cohort Study. Ann. Rheum. Dis. 2015, 74, 1335. [Google Scholar] [CrossRef]
- Assassi, S.; Leyva, A.L.; Mayes, M.D.; Sharif, R.; Nair, D.K.; Fischbach, M.; Nguyen, N.; Reveille, J.D.; Gonzalez, E.B.; McNearney, T.A. Predictors of Fatigue Severity in Early Systemic Sclerosis: A Prospective Longitudinal Study of the GENISOS Cohort. PLoS ONE 2011, 6, e26061. [Google Scholar] [CrossRef]
- Lai, J.-S.; Beaumont, J.L.; Ogale, S.; Brunetta, P.; Cella, D. Validation of the Functional Assessment of Chronic Illness Therapy-Fatigue Scale in Patients with Moderately to Severely Active Systemic Lupus Erythematosus, Participating in a Clinical Trial. J. Rheumatol. 2011, 38, 672–679. [Google Scholar] [CrossRef] [PubMed]
- Yost, K.J.; Eton, D. Combining Distribution- and Anchor-Based Approaches to Determine Minimally Important Differences. Evaluation Health Prof. 2005, 28, 172–191. [Google Scholar] [CrossRef]
- Varga, J.; Abraham, D. Systemic sclerosis: A prototypic multisystem fibrotic disorder. J. Clin. Investig. 2007, 117, 557–567. [Google Scholar] [CrossRef]
- Frech, T.; Hays, R.D.; Maranian, P.; Clements, P.J.; Furst, D.E.; Khanna, D. Prevalence and correlates of sleep disturbance in systemic sclerosis--results from the UCLA scleroderma quality of life study. Rheumatology 2011, 50, 1280–1287. [Google Scholar] [CrossRef]
- Azar, M.; Rice, D.B.; Kwakkenbos, L.; Carrier, M.-E.; Shrier, I.; Bartlett, S.J.; Hudson, M.; Mouthon, L.; Poiraudeau, S.; Ende, C.H.M.V.D.; et al. Exercise habits and factors associated with exercise in systemic sclerosis: A Scleroderma Patient-centered Intervention Network (SPIN) cohort study. Disabil. Rehabil. 2017, 40, 1997–2003. [Google Scholar] [CrossRef]




| Investigated Factors | SSc n = 160 | Non-SSc-Suffering Controls n = 62 | p |
|---|---|---|---|
| Females | 138 (86.3%) | 49 (79.0%) | 0.186 |
| Age, years | 55.8 ± 13.0 | 54.6 ± 13.7 | 0.411 |
| Disease duration, years | 10.5 ± 7.6 | - | - |
| Diffuse cutaneous SSc | 88 (55%) | - | - |
| Body Mass Index, kg/m2 | 25.8 ± 5.1 | 27.1 ± 4.4 | 0.326 |
| Living alone | 67 (41.9%) | 29 (46.8%) | 0.596 |
| Employed | 50 (31.3%) | 37 (59.7%) | <0.001 |
| Sleeping disorder | 79 (49.4%) | 17 (27.41%) | 0.008 |
| Modified Rodnan Skin Score >14 | 22 (13.75%) | - | - |
| Revised EUSTAR Activity Index | 2.5 (1.3; 3.9) | - | - |
| Pulmonary fibrosis, proven with HRCT | 97 (60.6%) | - | - |
| Forced Vital Capacity, % | 104.7 (88.0; 114.0) | 118 (105.0; 129.0) | <0.001 |
| Diffusing Capacity for Carbon Monoxide, % | 66 (51.0; 77.0) | 87 (80.5; 95.0) | <0.001 |
| Cardiac involvement | 114 (71.3%) | - | - |
| E-A Ratio | 1 (0.8; 1.3) | - | - |
| Diastolic dysfunction | 107 (66.9%) | - | - |
| Left Ventricular Mass Index (LVMI) | 100 (88.7; 112.4) | - | - |
| Six-minute Walk Test, m | 428 (347; 523) | 600 (510; 660) | <0.001 |
| GI involvement | 47 (29.4%) | - | - |
| UCLA SCTC Gastrointestinal tract 2.0 | 0.2 (0.1; 0.5) | 0.04 (0; 0.2) | <0.001 |
| Hemoglobin, g/L | 130 (124.0; 139.8) | 142 (130.3; 147.8) | <0.001 |
| Albumin, g/L | 43.5 (41.6; 46.0) | 48 (45.4; 49.7) | <0.001 |
| Disease Activity Score 28 | 2.7 (20; 3.8) | 1.7 (1.3; 2.3) | <0.001 |
| Health Assessment Questionnaire, (0–3) | 0.75 (0; 1.38) | 0 (0; 0) | <0.001 |
| Manual Muscle Testing-8 (0–150) | 122.0 (110.0; 133.0) | 135 (122.5; 143.5) | <0.001 |
| Pinch strength, N | 61.7 (46.7; 75) | 71.6 (60.8; 83.3) | <0.001 |
| Chochin Hand Function Scale, (0–90) | 5(0; 17.0) | 0 (0; 0) | <0.001 |
| Absence of major autoantibodies | 28 (17.5%) | - | - |
| Only anti-nuclear antibodies | 39 (24.4%) | - | - |
| Anti-DNA topoisomerase I | 41 (25.6%) | - | - |
| Anti-centromere antibodies | 32 (20.0%) | - | - |
| Anti-RNA Polymerase III | 16 (10.0%) | - | - |
| Absence of major autoantibodies | 28 (17.5%) | - | - |
| Mini Mental State Examination (0–30) | 28 (27; 29) | 29 (28; 29) | 0.014 |
| VAS Digital Ulcer (0–100) | 0 (0; 7.5) | - | - |
| VAS Raynaud’s (0–100) | 18.5 (0.3; 45.0) | - | - |
| VAS Pain (0–100) | 19 (2; 50) | 0 (0; 1) | <0.001 |
| VAS Fatigue (0–100) | 24 (3; 56.3) | 0.00 (0; 5) | <0.001 |
| SF36-Vitality (0–100) | 51.5 (40; 75) | 75 (65; 85) | <0.001 |
| FACIT-Fatigue Scale (0–52) | 38.5 (29; 45.3) | 48.0 (44; 50) | <0.001 |
| FACIT-Emotional Well-being (0–24) | 19 (16; 22) | 21 (19; 23) | <0.001 |
| FACIT-F (0–160) | 115.2 (90; 133.4) | 141 (135; 151.5) | <0.001 |
| SF36-Mental Component Summary (0–100) | 68.1 (40.3; 83.8) | 85.7 (74.3; 94.3) | <0.001 |
| Spearman’s Correlation Coefficients | |||
|---|---|---|---|
| Clinical Data | VAS Fatigue | SF36-Vitality | FACIT-Fatigue Scale |
| Age, years | 0.202 * | −0.268 ** | −0.233 ** |
| Disease duration, years | 0.167 * | −0.058 | −0.016 |
| Body Mass Index, kg/m2 | 0.072 | −0.107 | −0.146 |
| Modified Rodnan Skin Score (only in dcSSc, n = 88) | −0.305 ** | 0.242 * | 0.193 |
| Disease Activity Score 28 | 0.523 ** | −0.426 ** | −0.503 ** |
| Health Assessment Questionnaire Disability Index | 0.571 ** | −0.565 ** | −0.679 ** |
| Revised EUSTAR Activity Index | 0.145 | −0.113 | −0.177 * |
| Cochin Hand Function Scale | 0.573 ** | −0.509 ** | −0.640 ** |
| Left Ventricular Ejection Fraction, % | −0.013 | 0.075 | 0.007 |
| Left Ventricular Mass Index | 0.309 ** | −0.329 ** | −0.365 ** |
| Diastolic dysfunction, E-A Ratio | −0.181 * | 0.197 * | 0.220 ** |
| Six-minute Walk Test, m | −0.394 ** | 0.439 ** | 0.444 ** |
| Pinch strength, N | −0.355 ** | 0.322 ** | 0.455 ** |
| Manual Muscle Testing-8 | −0.391 ** | 0.420 ** | 0.458 ** |
| Forced Vital Capacity, % | 0.103 | −0.051 | −0.006 |
| Diffusing Capacity for Carbon Monoxide. % | −0.099 | 0.115 | 0.104 |
| UCLA SCTC Gastrointestinal test 2.0 | 0.387 ** | −0.456 ** | −0.495 ** |
| Mini Mental State Examination | −0.262 ** | 0.234 ** | 0.201 * |
| VAS Raynaud’s | 0.564 ** | −0.429 ** | −0.454 ** |
| VAS Pain | 0.707 ** | −0.515 ** | −0.577 ** |
| Short Form 36-Physical Component Summary | −0.677 ** | 0.713 ** | 0.776 ** |
| Short Form 36-Mental Component Summary | −0.647 ** | 0.885 ** | 0.807 ** |
| FACIT- Emotional Well-being | −0.397 ** | 0.583 ** | 0.671 ** |
| Factors | Presence | Absence | |
|---|---|---|---|
| Results of FACIT- FS | p-Values | ||
| Diffuse cutaneous SSc | 41.0 (29.5; 48.0) | 36.0 (28.0; 44.0) | 0.092 |
| <4 years SSc duration (early SSc) | 40.0 (28.2; 45.0) | 38.5 (30.0; 46.0) | 0.501 |
| Disease activity (rEUSTAR AI > 2.5) | 36.0 (27.0; 43.0) | 40.5 (32.5; 48.0) | 0.033 |
| UCLA GIT 2.0 > 1 | 16.5 (11.0; 23.875) | 40.0 (32.25; 47.5) | <0.001 |
| Pulmonary involvement, FVC < 80%, DLCO < 70% | 37.5 (28.6; 43.0) | 40.5 (30.0; 49.0) | 0.05 |
| Diastolic dysfunction | 38.0 (29.0; 44.0) | 45.0 (30.0; 50.0) | 0.037 |
| HAQ-DI > 1.0 | 32.0 (24.0; 37.0) | 44.0 (37.0; 49.0) | <0.001 |
| Visual Analogue Scale-Pain > 40 | 29.5 (22.0; 38.0) | 42.0 (35.0; 49.0) | <0.001 |
| Anxiety/depression (EQ-5D) | 32.0 (25.0; 39.0) | 44.0 (38.0; 50.0) | <0.001 |
| Living alone | 36.0 (28.0; 41.5) | 42.0 (30.5; 47.5) | 0.045 |
| Unemployed patients of working age | 36.0 (27.0; 43.5) | 46.58 (34.0; 50.0) | 0.001 |
| Sleeping disorder | 35.0 (24.0; 40.0) | 44. (32.75; 50.0) | <0.001 |
| Worsening (n = 44) | Improvement (n = 35) | ||||||
|---|---|---|---|---|---|---|---|
| Odds Ratio | CI | p | Odds Ratio | CI | p | ||
| Predictors of Worsening/Improvement Fatigue among Baseline Parameters. | |||||||
| Based on baseline data | rEUSTAR AI | 0.825 | 0.616–1.087 | 0.183 | 1.374 | 1.034–1.850 | 0.030 |
| Cochin Hand Function Scale | 0.982 | 0.949–1.014 | 0.289 | 1.037 | 1.003–1.073 | 0.031 | |
| Disease duration | 1.027 | 0.969–1.086 | 0.356 | 0.916 | 0.846–0.979 | 0.018 | |
| Modified Rodnan Skin Score | 0.901 | 0.806–0.995 | 0.052 | 0.924 | 0.837–1.011 | 0.101 | |
| Interstitial Lung Disease | 3.197 | 1.247–9.158 | 0.021 | 0.602 | 0.238–1.541 | 0.284 | |
| Factors, which changes predict the worsening/improvement in fatigue levels. | |||||||
| 1-year changing values | FACIT-EWB | 0.868 | 0.776–0.962 | 0.009 | 1.338 | 1.157–1.593 | <0.001 |
| SF36-PCS | 0.951 | 0.916–0.982 | 0.004 | 1.045 | 1.003–1.094 | 0.042 | |
| Cochin Hand Function Scale | 1.020 | 0.946–1.100 | 0.590 | 1.006 | 0.923–1.082 | 0.876 | |
| Hemoglobin | 0.971 | 0.923–1.015 | 0.215 | 1.032 | 0.973–1.095 | 0.267 | |
| Albumin | 0.937 | 0.809–1.081 | 0.380 | 1.187 | 0.988–1.451 | 0.075 | |
| UCLA SCTC GIT 2.0 | 1.953 | 0.383–10.478 | 0.422 | 0.077 | 0.007–0.616 | 0.020 | |
| Pinch strength | 1.004 | 0.967–1.041 | 0.822 | 1.043 | 0.999–1.091 | 0.055 | |
| rEUSTAR AI | 0.937 | 0.720–1.213 | 0.622 | 1.120 | 0.821–1.558 | 0.482 | |
Disclaimer/Publisher’s Note: The statements, opinions and data contained in all publications are solely those of the individual author(s) and contributor(s) and not of MDPI and/or the editor(s). MDPI and/or the editor(s) disclaim responsibility for any injury to people or property resulting from any ideas, methods, instructions or products referred to in the content. |
© 2022 by the authors. Licensee MDPI, Basel, Switzerland. This article is an open access article distributed under the terms and conditions of the Creative Commons Attribution (CC BY) license (https://creativecommons.org/licenses/by/4.0/).
Share and Cite
Kiss, F.; Farkas, N.; Nagy, G.; Minier, T.; Kumánovics, G.; Faludi, R.; Czirják, L.; Varjú, C. Minimal Clinically Important Differences (MCID) for the Functional Assessment of Chronic Illness Therapy Fatigue Scale in Patients with Systemic Sclerosis. Int. J. Environ. Res. Public Health 2023, 20, 771. https://doi.org/10.3390/ijerph20010771
Kiss F, Farkas N, Nagy G, Minier T, Kumánovics G, Faludi R, Czirják L, Varjú C. Minimal Clinically Important Differences (MCID) for the Functional Assessment of Chronic Illness Therapy Fatigue Scale in Patients with Systemic Sclerosis. International Journal of Environmental Research and Public Health. 2023; 20(1):771. https://doi.org/10.3390/ijerph20010771
Chicago/Turabian StyleKiss, Franciska, Nelli Farkas, Gabriella Nagy, Tünde Minier, Gábor Kumánovics, Réka Faludi, László Czirják, and Cecília Varjú. 2023. "Minimal Clinically Important Differences (MCID) for the Functional Assessment of Chronic Illness Therapy Fatigue Scale in Patients with Systemic Sclerosis" International Journal of Environmental Research and Public Health 20, no. 1: 771. https://doi.org/10.3390/ijerph20010771
APA StyleKiss, F., Farkas, N., Nagy, G., Minier, T., Kumánovics, G., Faludi, R., Czirják, L., & Varjú, C. (2023). Minimal Clinically Important Differences (MCID) for the Functional Assessment of Chronic Illness Therapy Fatigue Scale in Patients with Systemic Sclerosis. International Journal of Environmental Research and Public Health, 20(1), 771. https://doi.org/10.3390/ijerph20010771

