Convergent Validation of a Self-Reported Commuting to and from School Diary in Spanish Adolescents
Abstract
1. Introduction
2. Methods
2.1. Design Study and Procedure
2.2. Participants
2.3. Measures
2.3.1. Measures Sociodemographic Characteristics
2.3.2. Mode of Commuting to and from School
2.3.3. Self-Reported Commuting Diary
2.3.4. Device-Measured Positional Data
2.3.5. Distance
2.4. Statistical Analysis
3. Results
3.1. Characteristics of the Trips
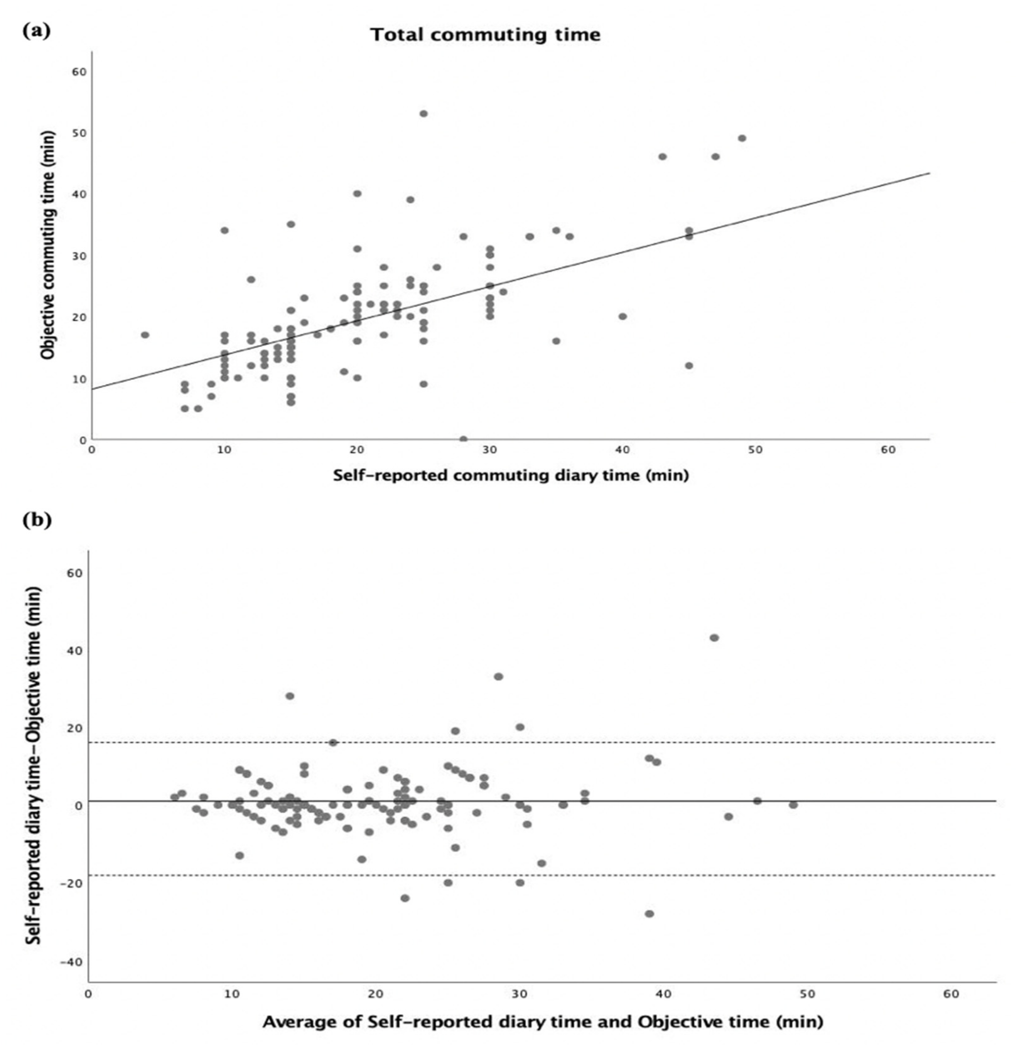
3.2. Self-Reported Diary Time versus Objective Time
4. Discussion
Study Strengths and Limitations
5. Conclusions
Supplementary Materials
Author Contributions
Funding
Institutional Review Board Statement
Informed Consent Statement
Acknowledgments
Conflicts of Interest
References
- Cook, S.; Stevenson, L.; Aldred, R.; Kendall, M.; Cohen, T. More than walking and cycling: What is ‘active travel’? Transp. Policy 2022, 126, 151–161. [Google Scholar] [CrossRef]
- Larouche, R.; Saunders, T.J.; Faulkner, G.; Colley, R.; Tremblay, M. Associations between active school transport and physical activity, body composition, and cardiovascular fitness: A systematic review of 68 studies. J. Phys. Act. Health 2014, 11, 206–227. [Google Scholar] [CrossRef]
- Martin, A.; Kelly, P.; Boyle, J.; Corlett, F.; Reilly, J.J. Contribution of Walking to School to Individual and Population Moderate-Vigorous Intensity Physical Activity: Systematic Review and Meta-Analysis. Pediatr. Exerc. Sci. 2016, 28, 353–363. [Google Scholar] [CrossRef]
- Herrador-Colmenero, M.; Pérez-García, M.; Ruiz, J.R.; Chillón, P. Assessing modes and frequency of commuting to school in youngsters: A systematic review. Pediatr. Exerc. Sci. 2014, 26, 291–341. [Google Scholar] [CrossRef] [PubMed]
- Coombe, C.; Davidson, P. Constructing Questionnaires. In The Cambridge Guide to Research in Language Teaching and Learning; Cambridge University Press: Cambridge, UK, 2015; pp. 217–223. [Google Scholar]
- Ruiz-Hermosa, A.; Álvarez-Bueno, C.; Cavero-Redondo, I.; Martínez-Vizcaíno, V.; Redondo-Tébar, A.; Sánchez-López, M. Active Commuting to and from School, Cognitive Performance, and Academic Achievement in Children and Adolescents: A Systematic Review and Meta-Analysis of Observational Studies. Int. J. Environ. Res. Public Health 2019, 16, 1839. [Google Scholar] [CrossRef] [PubMed]
- Aubert, S.; Barnes, J.D.; Aguilar-Farias, N.; Cardon, G.; Chang, C.-K.; Nyström, C.D.; Demetriou, Y.; Edwards, L.; Emeljanovas, A.; Gába, A.; et al. Report Card Grades on the Physical Activity of Children and Youth Comparing 30 Very High Human Development Index Countries. J. Phys. Act. Health 2018, 15, S298–S314. [Google Scholar] [CrossRef] [PubMed]
- Chillón, P.; Mandic, S. Active Transport to and from School. In Advances in Transportation and Health; Elsevier: Amsterdam, The Netherlands, 2020; pp. 267–290. [Google Scholar]
- Villa-González, E.; Rosado-López, S.; Barranco-Ruiz, Y.; Herrador-Colmenero, M.; Cadenas-Sánchez, C.; Santos, M.P.; Chillón, P. Objective Measurement of the Mode of Commuting to School Using GPS: A Pilot Study. Sustainability 2019, 11, 5395. [Google Scholar] [CrossRef]
- Brand, C.; Götschi, T.; Dons, E.; Gerike, R.; Anaya-Boig, E.; Avila-Palencia, I.; de Nazelle, A.; Gascon, M.; Gaupp-Berghausen, M.; Iacorossi, F.; et al. The climate change mitigation impacts of active travel: Evidence from a longitudinal panel study in seven European cities. Glob. Environ. Chang. 2021, 67, 102224. [Google Scholar] [CrossRef]
- Coombes, E.; Jones, A. Gamification of active travel to school: A pilot evaluation of the beat the street physical activity intervention. Health Place 2016, 39, 62–69. [Google Scholar] [CrossRef]
- Vanwolleghem, G.; D’Haese, S.; Van Dyck, D.; De Bourdeaudhuij, I.; Cardon, G. Feasibility and effectiveness of drop-off spots to promote walking to school. Int. J. Behav. Nutr. Phys. Act. 2014, 11, 136. [Google Scholar] [CrossRef]
- Van den Berg, B.; Spauwen, P. Measurement of informal care: An empirical study into the valid measurement of time spent on informal caregiving. Health Econ. 2006, 15, 447–460. [Google Scholar] [CrossRef] [PubMed]
- Mehdizadeh, M.; Mamdoohi, A.; Nordfjaern, T. Walking time to school, children’s active school travel and their related factors. J. Transp. Health 2017, 6, 313–326. [Google Scholar] [CrossRef]
- Salmon, J.; Salmon, L.; Crawford, D.A.; Hume, C.; Timperio, A. Associations among individual, social, and environmental barriers and children’s walking or cycling to school. Am. J. Health Promot. 2007, 22, 107–113. [Google Scholar] [CrossRef]
- Chillón, P.; Herrador-Colmenero, M.; Migueles, J.H.; Cabanas-Sánchez, V.; Fernández-Santos, J.R.; Veiga, Ó.L.; Castro-Piñero, J. Convergent validation of a questionnaire to assess the mode and frequency of commuting to and from school. Scand. J. Public Health 2017, 45, 612–620. [Google Scholar] [CrossRef]
- Pereira, E.F.; Moreno, C.; Louzada, F.M. Increased commuting to school time reduces sleep duration in adolescents. Chronobiol. Int. 2014, 31, 87–94. [Google Scholar] [CrossRef]
- Ukam, L.E.; Obongha, U.E. An Analysis of the Spatial Pattern of Secondary Schools in Odukpani, L.G.A., Cross River State, Nigeria. Int. Res. J. Adv. Eng. Sci. 2020, 5, 108–112. [Google Scholar]
- Remmers, T.; Thijs, C.; Ettema, D.; de Vries, S.; Slingerland, M.; Kremers, S. Critical hours and important environments: Relationships between afterschool physical activity and the physical environment using GPS, GIS and accelerometers in 10–12-year-old children. Int. J. Environ. Res. Public Health 2019, 16, 3116. [Google Scholar] [CrossRef]
- Huang, Y.; Gao, L.; Ni, A.; Liu, X. Analysis of travel mode choice and trip chain pattern relationships based on multi-day GPS data: A case study in Shanghai, China. J. Transp. Geogr. 2021, 93, 103070. [Google Scholar] [CrossRef]
- Hoelscher, D.M.; Ganzar, L.A.; Salvo, D.; Kohl, H.W., III; Pérez, A.; Brown, H.S.; Bentley, S.S.; Dooley, E.E.; Emamian, A.; Durand, C.P. Effects of Large-Scale Municipal Safe Routes to School Infrastructure on Student Active Travel and Physical Activity: Design, Methods, and Baseline Data of the Safe Travel Environment Evaluation in Texas Schools (STREETS) Natural Experiment. Int. J. Environ. Res. Public Health 2022, 19, 1810. [Google Scholar] [CrossRef]
- Sadowski, S.; Spachos, P. Comparison of rssi-Based Indoor Localization for Smart Buildings with Internet of Things. In Proceedings of the 2018 IEEE 9th Annual Information Technology, Electronics and Mobile Communication Conference (IEMCON), Vancouver, BC, Canada, 1–3 November 2018; pp. 24–29. [Google Scholar]
- McGranahan, D.A.; Geaumont, B.; Spiess, J.W. Assessment of a livestock GPS collar based on an open-source datalogger informs best practices for logging intensity. Ecol. Evol. 2018, 8, 5649–5660. [Google Scholar] [CrossRef]
- Lee, M.C.; Orenstein, M.R.; Richardson, M.J. Systematic Review of Active Commuting to School and Children’s Physical Activity and Weight. J. Phys. Act. Health 2008, 5, 930–949. [Google Scholar] [CrossRef]
- Werneck, A.O.; Jago, R.; Kriemler, S.; Andersen, L.B.; Wedderkopp, N.; Northstone, K.; Salmon, J.; van Sluijs, E.M. International Children’s Accelerometry Database (ICAD) Collaborators. Association of change in the school travel mode with changes in different physical activity intensities and sedentary time: A International Children’s Accelerometry Database Study. Prev. Med. 2021, 153, 106862. [Google Scholar] [CrossRef]
- Steene-Johannessen, J.; Hansen, B.H.; Dalene, K.E.; Kolle, E.; Northstone, K.; Møller, N.C.; Grøntved, A.; Wedderkopp, N.; Kriemler, S.; Page, A.S.; et al. Variations in accelerometry measured physical activity and sedentary time across Europe-harmonized analyses of 47,497 children and adolescents. Int. J. Behav. Nutr. Phys. Act. 2020, 17, 38. [Google Scholar] [CrossRef]
- Trost, S.G. Population-level physical activity surveillance in young people: Are accelerometer-based measures ready for prime time? Int. J. Behav. Nutr. Phys. Act. 2020, 17, 10–13. [Google Scholar] [CrossRef] [PubMed]
- Stopher, P.; Greaves, S.P. Missing and Inaccurate Information from Travel Surveys: Pilot results. In Proceedings of the 32nd Australasian Transport Research Forum, ATRF 2009, Auckland, New Zealand, 29 September–1 October 2009. [Google Scholar]
- Chillón, P.; Gálvez-Fernández, P.; Huertas-Delgado, F.; Herrador-Colmenero, M.; Barranco-Ruiz, Y.; Villa-González, E.; Aranda-Balboa, M.; Saucedo-Araujo, R.; Campos-Garzón, P.; Molina-Soberanes, D.; et al. A School-Based Randomized Controlled Trial to Promote Cycling to School in Adolescents: The PACO Study. Int. J. Environ. Res. Public Health 2021, 18, 2066. [Google Scholar] [CrossRef] [PubMed]
- Perez, L.G.; Carlson, J.; Slymen, D.J.; Patrick, K.; Kerr, J.; Godbole, S.; Elder, J.P.; Ayala, G.X.; Arredondo, E.M. Does the social environment moderate associations of the built environment with latinas’ objectively-measured neighborhood outdoor physical activity? Prev. Med. Rep. 2016, 4, 551–557. [Google Scholar] [CrossRef] [PubMed]
- Segura-Díaz, J.M.; Rojas-Jiménez, Á.; Barranco-Ruiz, Y.; Murillo-Pardo, B.; Saucedo-Araujo, R.G.; Aranda-Balboa, M.J.; Herrador-Colmenero, M.; Villa-González, E.; Chillón, P. Feasibility and reliability of a questionnaire to assess the mode, frequency, distance and time of commuting to and from school: The PACO study. Int. J. Environ. Res. Public Health 2020, 17, 5039. [Google Scholar] [CrossRef]
- Chillón, P.; Ortega, F.B.; Ruiz, J.R.; Pérez, I.J.; Martín-Matillas, M.; Valtueña, J.; Gómez-Martínez, S.; Redondo, C.; Rey-López, J.P.; Castillo, M.J.; et al. Socio-economic factors and active commuting to school in urban Spanish adolescents: The AVENA study. Eur. J. Public Health 2009, 19, 470–476. [Google Scholar] [CrossRef]
- Collins, P.; Al-Nakeeb, Y.; Lyons, M. Tracking the commute home from school utilizing GPS and heart rate monitoring: Establishing the contribution to free-living physical activity. J. Phys. Act. Health 2015, 12, 155–162. [Google Scholar] [CrossRef]
- Costa, S.; Ogilvie, D.; Dalton, A.; Westgate, K.; Brage, S.; Panter, J. Quantifying the physical activity energy expenditure of commuters using a combination of global positioning system and combined heart rate and movement sensors. Prev. Med. 2015, 81, 339–344. [Google Scholar] [CrossRef]
- Oliver, M.S.; Badland, H.; Mavoa, S.; Duncan, M.J.; Duncan, S. Combining GPS, GIS, and accelerometry: Methodological issues in the assessment of location and intensity of travel behaviors. J. Phys. Act. Health 2010, 7, 102–108. [Google Scholar] [CrossRef] [PubMed]
- Rainham, D.G.; Bates, C.J.; Blanchard, C.M.; Dummer, T.J.; Kirk, S.F.; Shearer, C.L. Spatial Classification of Youth Physical Activity Patterns. Am. J. Prev. Med. 2012, 42, e87–e96. [Google Scholar] [CrossRef] [PubMed]
- Kleinbaum, D.G.; Kupper, L.L.; Nizam, A.; Rosenberg, E.S. Applied Regression Analysis and Other Multivariable Methods, 4th ed.; Duxbury Press: London, UK, 2008. [Google Scholar]
- Bland, J.M.; Altman, D.G. Statistical methods for assessing agreement between two methods of clinical measurement. Lancet 1986, 327, 307–310. [Google Scholar] [CrossRef]
- Nordbø, E.C.A.; Nordh, H.; Raanaas, R.K.; Aamodt, G. Promoting activity participation and well-being among children and adolescents: A systematic review of neighborhood built-environment determinants. JBI Evid. Synth. 2020, 18, 370–458. [Google Scholar] [CrossRef] [PubMed]
- Rodríguez-López, C.; Salas-Fariña, Z.M.; Villa-González, E.; Borges-Cosic, M.; Herrador-Colmenero, M.; Medina-Casaubón, J.; Ortega, F.B.; Chillón, P. The Threshold Distance Associated with Walking from Home to School. Health Educ. Behav. 2017, 44, 857–866. [Google Scholar] [CrossRef]
- Frank, L.D.; Andresen, M.A.; Schmid, T.L. Obesity relationships with community design, physical activity, and time spent in cars. Am. J. Prev. Med. 2004, 27, 87–96. [Google Scholar] [CrossRef]
- Molina-García, J.; Campos, S.; García-Massó, X.; Herrador-Colmenero, M.; Gálvez-Fernández, P.; Molina-Soberanes, D.; Queralt, A.; Chillón, P. Different neighborhood walkability indexes for active commuting to school are necessary for urban and rural children and adolescents. Int. J. Behav. Nutr. Phys. Act. 2020, 17, 1–11. [Google Scholar] [CrossRef]
- Bachu, P.K.; Dudala, T.; Kothuri, S. Prompted Recall in Global Positioning System Survey: Proof-of-Concept Study. Transp. Res. Rec. J. Transp. Res. Board 2001, 1768, 106–113. [Google Scholar] [CrossRef]
- Stopher, P.; FitzGerald, C.; Xu, M. Assessing the accuracy of the Sydney Household Travel Survey with GPS. Transportation 2007, 34, 723–741. [Google Scholar] [CrossRef]
- Williams, A. How to… write and analyse a questionnaire. J. Orthod. 2003, 30, 245–252. [Google Scholar] [CrossRef]
- Tseng, Y.C.; Wang, S.M. Understanding Taiwanese adolescents’ connections with nature: Rethinking conventional definitions and scales for environmental education. Environ. Educ. Res. 2020, 26, 115–129. [Google Scholar] [CrossRef]
- Song, C.; Qu, Z.; Blumm, N.; Barabási, A.-L. Limits of Predictability in Human Mobility. Science 2010, 327, 1018–1021. [Google Scholar] [CrossRef] [PubMed]
- Timperio, A.; Ball, K.; Salmon, J.; Roberts, R.; Giles-Corti, B.; Simmons, D.; Baur, L.; Crawford, D. Personal, Family, Social, and Environmental Correlates of Active Commuting to School. Am. J. Prev. Med. 2006, 30, 45–51. [Google Scholar] [CrossRef] [PubMed]





| Variables | Self-Reported Diary Time N = 47 (X ± SD) | Objective Time N = 47 (X ± SD) | Mean Difference (X ± SD) | ||
|---|---|---|---|---|---|
| HOME-SCHOOL TRIP | |||||
| Starting time * | (7 h 47 min ± 13 min) | (7 h 46 min ± 13 min) | (1 min ± 0 min) | ||
| Ending time * | (8 h 6 min ± 9 min) | (8 h 5 min ± 9 min) | (1 min ± 0 min) | ||
| Commuting time | (19 min ± 4 min) | (19 min ± 4 min) | (0 min ± 0 min) | ||
| Commuting time percentiles | |||||
| Percentiles | Active N = 24 | Passive N = 23 | Active N = 24 | Passive N = 23 | |
| Percentile 10 | 8 min | 8 min | 5 min | 10 min | |
| Percentile 30 | 11 min | 15 min | 10 min | 16 min | |
| Percentile 50 | 15 min | 18 min | 16 min | 20 min | |
| Percentile 70 | 22 min | 24 min | 21 min | 22 min | |
| Percentile 90 | 30 min | 30 min | 31 min | 32 min | |
| Variables | Self-reported Diary time N = 94 (X±SD) | Objective time N = 94 (X±SD) | Mean difference (X±SD) | ||
| SCHOOL-HOME TRIP | |||||
| Starting time * | (14 h 40 min ± 9 min) | (14 h 41 min ± 9 min) | (1 min ± 0 min) | ||
| Ending time * | (14 h 59 min ± 22 min) | (15 h 1 min ± 11 min) | (2 min ± 11 min) | ||
| Commuting time | (19 min ± 13 min) | (20 min ± 2 min) | (1 min ± 11 min) | ||
| Commuting time percentiles | |||||
| Percentiles | Active N = 43 | Passive N = 51 | Active N = 43 | Passive N = 51 | |
| Percentile 10 | 12 min | 12 min | 10 min | 10 min | |
| Percentile 30 | 15 min | 15 min | 14 min | 17 min | |
| Percentile 50 | 15 min | 21 min | 16 min | 22 min | |
| Percentile 70 | 20 min | 30 min | 20 min | 29 min | |
| Percentile 90 | 31 min | 35 min | 38 min | 35 min | |
Disclaimer/Publisher’s Note: The statements, opinions and data contained in all publications are solely those of the individual author(s) and contributor(s) and not of MDPI and/or the editor(s). MDPI and/or the editor(s) disclaim responsibility for any injury to people or property resulting from any ideas, methods, instructions or products referred to in the content. |
© 2022 by the authors. Licensee MDPI, Basel, Switzerland. This article is an open access article distributed under the terms and conditions of the Creative Commons Attribution (CC BY) license (https://creativecommons.org/licenses/by/4.0/).
Share and Cite
Gálvez-Fernández, P.; Herrador-Colmenero, M.; Campos-Garzón, P.; Molina-Soberanes, D.; Saucedo-Araujo, R.G.; Aranda-Balboa, M.J.; Lara-Sánchez, A.J.; Segura-Jiménez, V.; Henriksson, P.; Chillón, P. Convergent Validation of a Self-Reported Commuting to and from School Diary in Spanish Adolescents. Int. J. Environ. Res. Public Health 2023, 20, 18. https://doi.org/10.3390/ijerph20010018
Gálvez-Fernández P, Herrador-Colmenero M, Campos-Garzón P, Molina-Soberanes D, Saucedo-Araujo RG, Aranda-Balboa MJ, Lara-Sánchez AJ, Segura-Jiménez V, Henriksson P, Chillón P. Convergent Validation of a Self-Reported Commuting to and from School Diary in Spanish Adolescents. International Journal of Environmental Research and Public Health. 2023; 20(1):18. https://doi.org/10.3390/ijerph20010018
Chicago/Turabian StyleGálvez-Fernández, Patricia, Manuel Herrador-Colmenero, Pablo Campos-Garzón, Daniel Molina-Soberanes, Romina Gisele Saucedo-Araujo, María Jesús Aranda-Balboa, Amador Jesús Lara-Sánchez, Víctor Segura-Jiménez, Pontus Henriksson, and Palma Chillón. 2023. "Convergent Validation of a Self-Reported Commuting to and from School Diary in Spanish Adolescents" International Journal of Environmental Research and Public Health 20, no. 1: 18. https://doi.org/10.3390/ijerph20010018
APA StyleGálvez-Fernández, P., Herrador-Colmenero, M., Campos-Garzón, P., Molina-Soberanes, D., Saucedo-Araujo, R. G., Aranda-Balboa, M. J., Lara-Sánchez, A. J., Segura-Jiménez, V., Henriksson, P., & Chillón, P. (2023). Convergent Validation of a Self-Reported Commuting to and from School Diary in Spanish Adolescents. International Journal of Environmental Research and Public Health, 20(1), 18. https://doi.org/10.3390/ijerph20010018

