Low Activation of Knee Extensors and High Activation of Knee Flexors in Female Fencing Athletes Is Related to the Response Time during the Marche-Fente
Abstract
1. Introduction
2. Materials and Methods
2.1. Participants
2.2. Experimental Procedure
2.2.1. Electromyography (EMG)
2.2.2. Statistics
3. Results
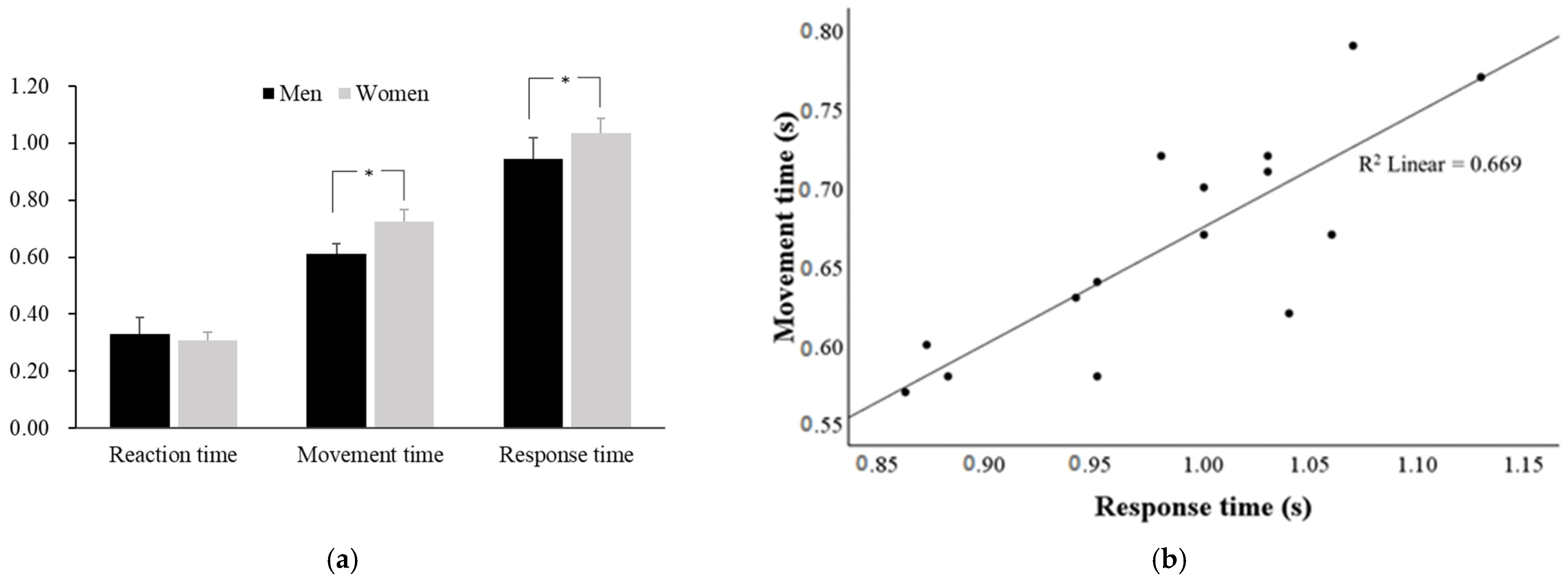
3.1. Response Time
3.2. Ground Reaction Force (GRF)
3.3. Muscle Activity
4. Discussion
5. Conclusions
Author Contributions
Funding
Institutional Review Board Statement
Informed Consent Statement
Data Availability Statement
Conflicts of Interest
References
- Singer, R.N. Speed and accuracy of movement as related to fencing success. Research Quarterly. Am. Assoc. Health Phys. Educ. Recreat. 1968, 39, 1080–1083. [Google Scholar]
- Milic, M.; Nedeljkovic, A.; Cuk, I.; Mudric, M.; García-Ramos, A. Comparison of reaction time between beginners and experienced fencers during quasi-realistic fencing situations. Eur. J. Sport Sci. 2020, 20, 896–905. [Google Scholar] [CrossRef] [PubMed]
- Park, T.-I. A Study of Relationship of Reaction Time and Skill Movement Time in a Sport of Fencing. Master’s Thesis, Graduate School of Education Kyung Hee University, Seoul, Republic of Korea, 1974. [Google Scholar]
- Gutierrez-Davila, M.; Rojas, F.J.; Antonio, R.; Navarro, E. Response timing in the lunge and target change in elite versus medium-level fencers. Eur. J. Sport Sci. 2013, 13, 364–371. [Google Scholar] [CrossRef] [PubMed]
- Johne, M. The impact of fencing training symmetrisation on simple reaction time. Biomed. Hum. Kinet. 2021, 13, 231–236. [Google Scholar] [CrossRef]
- Lee, J.; Park, K. A Kinematic Analysis Fleuret Marche Fente Motion no Women’s Fencing. Korean J. Phys. Educ. 2003, 42, 721–734. [Google Scholar]
- Jo, H.D.; Park, H.Y. Kinematic Analysis between Three Groups according to Proficiency in Fencer’s Fente Movement. Korean J. Sport Biomech. 2020, 30, 51–61. [Google Scholar]
- Lee, J.; Park, K. Biomechanical analysis of fleuret marche fente motion in fencing. Ph.D. Thesis, Graduate School of DanKook University, Durham, NC, USA, 2003. Unpublished. [Google Scholar]
- Kim, D.; Shin, E.-S.; Park, N.-H. Kinetic Factors Comparative Analysis of Marche Fente Motion of Epee in High School Male Fencer. J. Korean Alliance Martial Arts 2019, 21, 15–29. [Google Scholar]
- Han, J.-H. Athletic Analysis of the Marche Fante Movement in Modern Pentathlon Fencing. Master’s Thesis, Graduate School of Chungnam National University, Daejeon, Republic of Korea, 2018. Unpublished. [Google Scholar]
- An, S.Y. The Kinematic analysis Marche Fleche Technique Motion in a Fleuret Event of the Fencing. Korean J. Phys. Educ. 2004, 43, 509–519. [Google Scholar]
- Guilhem, G.; Giroux, C.; Couturier, A.; Chollet, D.; Rabita, G. Mechanical and muscular coordination patterns during a high-level fencing assault. Med. Sci. Sports Exerc. 2014, 46, 341–350. [Google Scholar] [CrossRef]
- Klinger, A.K.; Adrian, M. Foil Target Impact Forces during the Fencing Lunge. In Proceedings of the Eighth International Congress of Biomechanics, Nagoya, Japan, 1–15 April 1983. [Google Scholar]
- Borysiuk, Z.; Markowska, N.; Konieczny, M.; Kręcisz, K.; Błaszczyszyn, M.; Nikolaidis, P.T.; Knechtle, B.; Pakosz, P. Flèche versus lunge as the optimal footwork technique in fencing. Int. J. Environ. Res. Public Health 2019, 16, 2315. [Google Scholar] [CrossRef]
- Harput, G.; Soylu, A.R.; Ertan, H.; Ergun, N.; Mattacola, C.G. Effect of gender on the quadriceps-to-hamstrings coactivation ratio during different exercises. J. Sport Rehabil. 2014, 23, 36–43. [Google Scholar] [CrossRef] [PubMed]
- Myer, G.D.; Ford, K.R.; Hewett, T.E. The effects of gender on quadriceps muscle activation strategies during a maneuver that mimics a high ACL injury risk position. J. Electromyogr. Kinesiol. 2005, 15, 181–189. [Google Scholar] [CrossRef] [PubMed]
- Harmer, P.A. Incidence and characteristics of time-loss injuries in competitive fencing: A prospective, 5-year study of national competitions. Clin. J. Sport Med. 2008, 18, 137–142. [Google Scholar] [CrossRef] [PubMed]
- Konrad, P. The abc of emg. A Pract. Introd. Kinesiol. Electromyogr. 2005, 1, 30–35. [Google Scholar]
- Chu, N.-S. Motor evoked potentials with magnetic stimulation: Correlations with height. Electroencephalogr. Clin. Neurophysiol. /Evoked Potentials Sect. 1989, 74, 481–485. [Google Scholar] [CrossRef]
- Samaras, T.T. Human Body Size and the Laws of Scaling: Physiological, Performance, Growth, Longevity and Ecological Ramifications; Nova Publishers: New York, NY, USA, 2007. [Google Scholar]
- Williams, L.; Walmsley, A. Response timing and muscular coordination in fencing: A comparison of elite and novice fencers. J. Sci. Med. Sport 2000, 3, 460–475. [Google Scholar] [CrossRef]
- Williams, L.; Walmsley, A. Response amendment in fencing: Differences between elite and novice subjects. Percept. Mot. Ski. 2000, 91, 131–142. [Google Scholar] [CrossRef]
- Chen, T.L.-W.; Wong, D.W.-C.; Wang, Y.; Ren, S.; Yan, F.; Zhang, M. Biomechanics of fencing sport: A scoping review. PLoS ONE 2017, 12, e0171578. [Google Scholar] [CrossRef]
- Kim, C.B.; Oh, H.I. Analysis of Marche Pente Motions in Mordern Penthlon Pencing Epee. Master’s Thesis, Chunbuk National University, Cheongju-si, Republic of Korea, 2009. Unpublished. [Google Scholar]
- Hale, R.; Hausselle, J.G.; Gonzalez, R.V. A preliminary study on the differences in male and female muscle force distribution patterns during squatting and lunging maneuvers. Comput. Biol. Med. 2014, 52, 57–65. [Google Scholar] [CrossRef]
- Ntai, A.; Zahou, F.; Paradisis, G.; Smirniotou, A.; Tsolakis, C. Anthropometric parameters and leg power performance in fencing. Age, sex and discipline related differences. Sci. Sports 2017, 32, 135–143. [Google Scholar] [CrossRef]
- De Luca, C.J. The use of surface electromyography in biomechanics. J. Appl. Biomech. 1997, 13, 135–163. [Google Scholar] [CrossRef]



| Parameter | Male Athletes | Female Athletes | |||||||||||||
|---|---|---|---|---|---|---|---|---|---|---|---|---|---|---|---|
| Subject | M01 | M02 | M03 | M04 | M05 | M06 | M07 | M08 | F01 | F02 | F03 | F04 | F05 | F06 | F07 |
| Age | 31 | 29 | 31 | 34 | 29 | 26 | 27 | 23 | 25 | 27 | 30 | 24 | 35 | 34 | 34 |
| Career | 20 | 18 | 15 | 20 | 15 | 18 | 18 | 10 | 13 | 7 | 15 | 10 | 15 | 15 | 22 |
| Height | 174.6 | 189.6 | 168.0 | 184.4 | 175.1 | 169.0 | 179.3 | 176.2 | 166.7 | 168.0 | 156.5 | 160.1 | 168.8 | 160.0 | 163.0 |
| Weight (kg) | 72.1 | 86.2 | 65.4 | 84.6 | 80.6 | 59.1 | 80.6 | 66.7 | 55.2 | 58.9 | 48.7 | 63.6 | 64.7 | 53.0 | 55.0 |
| Dominant hand | L | L | R | R | R | R | R | R | R | R | R | R | L | L | R |
| Parameters | Male | Female | t | p |
|---|---|---|---|---|
| Peak anteroposterior GRF | 0.10 ± 0.04 | 0.09 ± 0.04 | 0.46 | 0.65 |
| Peak mediolateral GRF | 0.88 ± 0.11 | 0.78 ± 0.09 | 1.84 | 0.09 |
| Peak vertical GRF | 1.71 ± 0.12 | 1.55 ± 0.11 | 13.00 | 0.02 * |
| Group | Phase | Part | RF | VLO | BF | ST | TA | GL | GM |
|---|---|---|---|---|---|---|---|---|---|
| Male | Phase 1 | DL | 12.3 ± 0.05 * | 6.3 ± 0.02 | 5.5 ± 0.03 | 9.2 ± 0.09 | 31.6 ± 0.07 | 3.4 ± 0.02 | 7.3 ± 0.03 |
| NDL | 12.6 ± 0.08 | 14.4 ± 0.04 | 9.1 ± 0.05 | 4.1 ± 0.02 * | 37.0 ± 0.08 | 4.5 ± 0.03 | 4.8 ± 0.04 | ||
| Phase 2 | DL | 35.5 ± 0.05 * | 10.6 ±0.02 | 27.5 ± 0.03 | 81.7 ± 0.09 | 48.8 ± 0.07 | 16.2 ± 0.02 | 19.0 ± 0.03 | |
| NDL | 40.3 ± 0.08 | 41.7 ± 0.04 | 50.5 ± 0.05 | 42.5 ± 0.02 | 54.1 ± 0.08 * | 30.6 ± 0.03 | 37.8 ± 0.04 | ||
| Female | Phase 1 | DL | 5.6 ± 0.03 * | 5.7 ± 0.02 | 6.2 ± 0.04 | 8.1 ± 0.04 | 31.5 ± 0.15 | 3.9 ± 0.02 | 5.1 ± 0.02 |
| NDL | 15.8 ± 0.06 | 19.9 ± 0.09 | 12.5 ± 0.06 | 12.6 ± 0.08 * | 50.6 ± 0.21 | 3.8 ± 0.01 | 3.1 ± 0.01 | ||
| Phase 2 | DL | 20.5 ± 0.13 * | 12.1 ± 0.07 | 40.7 ± 0.21 | 67.9 ± 0.28 | 58.5 ± 0.19 | 16.8 ± 0.05 | 20.6 ± 0.04 | |
| NDL | 31.6 ± 0.08 | 36.9 ± 0.12 | 61.0 ± 0.33 | 63.0 ± 0.39 | 72.6 ± 0.15 * | 30.7 ± 0.09 | 34.0 ± 0.10 |
| Phase | Parameters | DL | NDL | ||||||||
|---|---|---|---|---|---|---|---|---|---|---|---|
| RF | VLO | BF | ST | TA | RF | VLO | BF | ST | TA | ||
| Phase 1 | Reaction time | −0.131 | −0.223 | −0.663 ** | −0.166 | −0.093 | −0.178 | −0.383 | −0.217 | −0.250 | −0.278 |
| Response time | −0.721 ** | −0.319 | −0.247 | −0.013 | 0.128 | 0.199 | 0.100 | 0.181 | 0.289 | 0.353 | |
| Phase 2 | Movement time | −0.786 ** | −0.218 | 0.228 | −0.083 | 0.473 | −0.511 | −0.411 | 0.086 | 0.310 | 0.542 * |
| Response time | −0.704 ** | −0.392 | 0.019 | −0.003 | 0.414 | −0.452 | −0.628 * | 0.224 | 0.131 | 0.505 | |
| Vertical GRF | 0.475 | 0.343 | −0.307 | 0.282 | −0.219 | 0.345 | 0.060 | 0.043 | −0.193 | −0.171 | |
Disclaimer/Publisher’s Note: The statements, opinions and data contained in all publications are solely those of the individual author(s) and contributor(s) and not of MDPI and/or the editor(s). MDPI and/or the editor(s) disclaim responsibility for any injury to people or property resulting from any ideas, methods, instructions or products referred to in the content. |
© 2022 by the authors. Licensee MDPI, Basel, Switzerland. This article is an open access article distributed under the terms and conditions of the Creative Commons Attribution (CC BY) license (https://creativecommons.org/licenses/by/4.0/).
Share and Cite
Kim, T.-W.; Lee, J.-s.; Jo, I. Low Activation of Knee Extensors and High Activation of Knee Flexors in Female Fencing Athletes Is Related to the Response Time during the Marche-Fente. Int. J. Environ. Res. Public Health 2023, 20, 17. https://doi.org/10.3390/ijerph20010017
Kim T-W, Lee J-s, Jo I. Low Activation of Knee Extensors and High Activation of Knee Flexors in Female Fencing Athletes Is Related to the Response Time during the Marche-Fente. International Journal of Environmental Research and Public Health. 2023; 20(1):17. https://doi.org/10.3390/ijerph20010017
Chicago/Turabian StyleKim, Tae-Whan, Jin-seok Lee, and Iseul Jo. 2023. "Low Activation of Knee Extensors and High Activation of Knee Flexors in Female Fencing Athletes Is Related to the Response Time during the Marche-Fente" International Journal of Environmental Research and Public Health 20, no. 1: 17. https://doi.org/10.3390/ijerph20010017
APA StyleKim, T.-W., Lee, J.-s., & Jo, I. (2023). Low Activation of Knee Extensors and High Activation of Knee Flexors in Female Fencing Athletes Is Related to the Response Time during the Marche-Fente. International Journal of Environmental Research and Public Health, 20(1), 17. https://doi.org/10.3390/ijerph20010017

