Spatial and Temporal Volatility of PM2.5, PM10 and PM10-Bound B[a]P Concentrations and Assessment of the Exposure of the Population of Silesia in 2018–2021
Abstract
1. Introduction
2. Materials and Methods
2.1. Study Area
2.2. Sample Collection
2.3. Statistical Analysis
2.4. Lifetime Cancer Risk Assessment
3. Results and Discussion
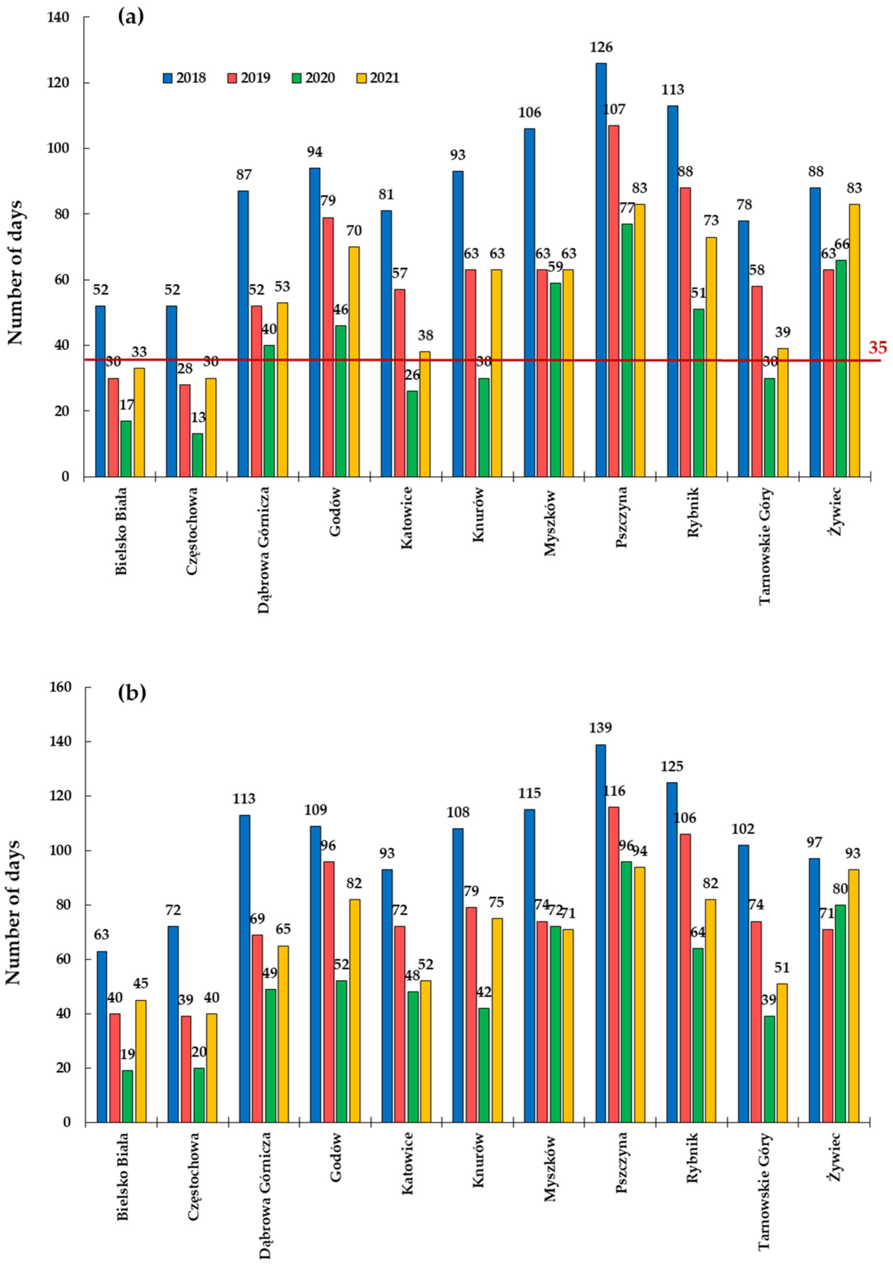
3.1. Concentrations of PM2.5 and PM10
3.2. Relationship between Some Meteorological Parameters and Particulate Matter Concentrations
3.3. Concentration of PM10-Bound B[a]P
3.4. Health Risk Assessment
4. Conclusions
Supplementary Materials
Author Contributions
Funding
Institutional Review Board Statement
Informed Consent Statement
Data Availability Statement
Conflicts of Interest
References
- WHO. Ambient (Outdoor) Air Pollution. Available online: https://www.who.int/en/news-room/fact-sheets/detail/ambient-(outdoor)-air-quality-and-health (accessed on 25 August 2022).
- Mauderly, J.L.; Samet, J.M. Is there evidence for synergy among air pollutants in causing health effects? Environ. Health Perspect. 2009, 117, 1–6. [Google Scholar] [CrossRef] [PubMed]
- Billionnet, C.; Sherrill, D.; Annesi-Maesano, I. Estimating the health effects of exposure to multi-pollutant mixture. Ann. Epidemiol. 2012, 22, 126–141. [Google Scholar] [CrossRef] [PubMed]
- WHO. Compendium of WHO and other UN Guidance on Health and Environment, 2022 Update; WHO: Geneva, Switzerland, 2022. Available online: https://apps.who.int/iris/handle/10665/352844 (accessed on 25 August 2022).
- Badyda, A.J.; Grellier, J.; Dąbrowiecki, P. Ambient PM2.5 exposure and mortality due to lung cancer and cardiopulmonary diseases in Polish cities. Adv. Exp. Med. Biol. 2017, 944, 9–17. [Google Scholar] [CrossRef] [PubMed]
- European Commission. Air. Available online: https://environment.ec.europa.eu/topics/air_pl?etrans=pl (accessed on 22 July 2022).
- European Environment Agency. 2021 Country Fact Sheets. Available online: https://www.eea.europa.eu/themes/air/country-fact-sheets/2021-country-fact-sheets (accessed on 22 July 2022).
- European Environment Agency (EEA). Air Quality in Europe—2018 Report. 2018. Available online: http://www.eea.europa.eu/publications/air-quality-in-europe-2018 (accessed on 25 August 2022).
- European Environment Agency (EEA). Air Quality in Europe—2020 Report. 2020. Available online: https://www.eea.europa.eu/publications/air-quality-in-europe-2020-report (accessed on 25 August 2022).
- European Environment Agency (EEA). Air Quality in Europe—2021 Report. 2021. Available online: https://www.eea.europa.eu/publications/air-quality-in-europe-2021/ (accessed on 20 October 2022).
- Pehnec, G.; Jakovljević, I.; Godec, R.; Štrukil, Z.S.; Žero, S.; Huremović, J.; Džepina, K. Carcinogenic organic content of particulate matter at urban locations with different pollution sources. Sci. Total Environ. 2020, 734, 139414. [Google Scholar] [CrossRef] [PubMed]
- IARC International Agency for Research on Cancer: Monographs on the Evaluation of Carcinogenic Risks to Humans. 2015. Available online: https://monographs.iarc.who.int/list-of-classifications (accessed on 21 July 2022).
- IARC. IARC Monographs on the Evaluation of Carcinogenic Risks to Humans; IARC International Agency for Research on Cancer: Lyon, France, 2005; Available online: http://www-cie.iarc.fr/ (accessed on 6 September 2022).
- Supplemental Information Toxicological Review of Benzo[a]pyrene. 2017. Available online: https://iris.epa.gov/static/pdfs/0136tr.pdf (accessed on 6 September 2022).
- EC. Council Directive 2004/107/EC Relating to Arsenic, Cadmium, Mercury, Nickel and Polycyclic Aromatic Hydrocarbons in Ambient Air. Available online: http://eur-lex.europa.eu/LexUriServ/LexUriServ.do?uri=OJ:L:2005:023:0003:0016:EN:PDF (accessed on 6 September 2022).
- World Health Organization. Air Quality Guidelines for Europe, 2nd ed; WHO Regional Office for Europe: Copenhagen, Denmark, 2000; Available online: https://apps.who.int/iris/handle/10665/107335 (accessed on 12 September 2022).
- Annual Assessment of Air Quality in the Śląskie Voivodeship; Voivodship Report for 2021; CIEP: Katowice, Poland, 2022.
- Ustawa z Dnia 14 Grudnia 2012 r. o Odpadach (Dz.U. z 2022 r. poz. 699). Available online: https://isap.sejm.gov.pl/isap.nsf/DocDetails.xsp?id=WDU20220000699 (accessed on 22 September 2022).
- Muzyka, R.; Chrubasik, M.; Pogoda, M.; Tarnowska, J.; Sajdak, M. Py–GC–MS and PCA analysis approach for the detection of illegal waste combustion processes in central heating furnaces. Chromatographia 2019, 82, 1101–1109. [Google Scholar] [CrossRef]
- Cieślik, E.; Fabiańska, M.J. Preservation of geochemical markers during co-combustion of hard coal and various domestic waste materials. Sci. Total Environ. 2021, 768, 144638. [Google Scholar] [CrossRef]
- Kozielska, B.; Żeliński, J.; Cieślar, M. The occurrence of polycyclic aromatic hydrocarbons in bottom ash from individual heating devices. Zeszyty Naukowe SGSP 2022, 83, 7–18. [Google Scholar] [CrossRef]
- Kozielska, B.; Rogula-Kozłowska, W.; Klejnowski, K. Seasonal variations in health hazards from polycyclic aromatic hydrocarbons bound to submicrometer particles at three characteristic sites in the heavily polluted polish region. Atmosphere 2015, 6, 1–20. [Google Scholar] [CrossRef]
- Kozielska, B.; Rogula-Kozłowska, W.; Klejnowski, K. Selected organic compounds in fine particulate matter at the regional background, urban background and urban traffic points in Silesia (Poland). Int. J. Environ. Res. 2015, 9, 575–584. [Google Scholar]
- Křůmal, K.; Mikuška, P.; Večeřa, Z. Characterization of organic compounds in winter PM1 aerosols in a small industrial town. Atmos. Pollut. Res. 2017, 8, 930–939. [Google Scholar] [CrossRef]
- CSO. Central Statistical Office. Household Energy Consumption in 2018. 2020. Available online: https://stat.gov.pl/obszary-tematyczne/srodowisko-energia/energia/zuzycie-energii-w-gospodarstwach-domowych-w-2018-roku,2,4.html (accessed on 21 July 2022).
- Křůmal, K.; Mikuška, P. Mass concentrations and lung cancer risk assessment of PAHs bound to PM 1 aerosol in six industrial, urban and rural areas in the Czech Republic, Central Europe. Atmos. Pollut. Res. 2020, 11, 401–408. [Google Scholar] [CrossRef]
- Rogula-Kozłowska, W.; Kozielska, B.; Rogula-Kopiec, P. Road traffic effects in size-segregated ambient particle-bound PAHs. Int. J. Environ. Res. 2016, 10, 531–542. [Google Scholar]
- Rogula-Kozłowska, W. Traffic-generated changes in the chemical characteristics of size-segregated urban aerosols. Bull. Environ. Contam. Toxicol. 2014, 93, 493–502. [Google Scholar] [CrossRef] [PubMed]
- Myllyvirta, L.; Howard, E. Five Things We Learned from the World’s Biggest Air Pollution Database. Available online: https://unearthed.greenpeace.org/2018/05/02/air-pollution-cities-worst-global-data-world-health-organisation/ (accessed on 21 July 2022).
- Widziewicz, K.; Rogula-Kozłowska, W.; Loska, K.; Kociszewska, K.; Majewski, G. Health risk impacts of exposure to airborne metals and benzo(a)pyrene during episodes of high PM10 concentrations in Poland. Biomed. Environ. Sci. 2018, 31, 23–36. [Google Scholar] [CrossRef] [PubMed]
- Rawicki, K.; Czarnecka, M.; Nidzgorska-Lencewicz, J. Regions of pollution with particulate matter in Poland. E3S Web Conf. 2018, 28, 01025. [Google Scholar] [CrossRef]
- Kowalska, M.; Zejda, J.E. Relationship between PM2.5 concentration in the ambient air and daily exacerbation of respiratory diseases in the population of Silesian Voivodeship during winter smog. Med. Pr. 2018, 69, 523–530. [Google Scholar] [CrossRef] [PubMed]
- Kowalska, M.; Skrzypek, M.; Kowalski, M.; Cyrys, J.; Niewiadomska, E.; Czech, E. The relationship between daily concentration of fine particulate matter in ambient air and exacerbation of respiratory diseases in Silesian Agglomeration, Poland. Int. J. Environ. Res. Public Health 2019, 16, 1131. [Google Scholar] [CrossRef]
- Regulation of the Minister of Entrepreneurship and Technology of 21 February 2019 Amending the Regulation on Requirements for Solid Fuel Boilers; (Dz.U. 2019, pos. 363). Available online: https://isap.sejm.gov.pl/isap.nsf/DocDetails.xsp?id=WDU20190000363 (accessed on 22 September 2022).
- Act of 5 July 2018 Amending the Act on the Fuel Quality Monitoring and Scrutinizing System and the Act on the National Revenue Administration; (Dz.U. 2018, pos. 1654). Available online: https://isap.sejm.gov.pl/isap.nsf/DocDetails.xsp?id=WDU20180001654 (accessed on 22 September 2022).
- Resolution No. VI/21/12/2020 of the Sejmik of the Śląskie Voivodeship of 22 June 2020 on the Adoption of the “Air Protection Program for the Śląskie Voivodeship”; Katowice City Council: Katowice, Poland, 2020.
- Belaïd, F. Exposure and risk to fuel poverty in France: Examining the extent of the fuel precariousness and its salient determinants. Energy Policy 2018, 114, 189–200. [Google Scholar] [CrossRef]
- Primc, K.; Slabe-Erker, R.; Majcen, B. Constructing energy poverty profiles for an effective energy policy. Energy Policy 2019, 128, 727–734. [Google Scholar] [CrossRef]
- Kozielska, B.; Mainka, A.; Żak, M.; Kaleta, D.; Mucha, W. Indoor air quality in residential buildings in Upper Silesia, Poland. Build. Environ. 2020, 177, 106914. [Google Scholar] [CrossRef]
- Oliveira, M.; Slezakova, K.; Delerue-Matos, C.; Pereira, M.C.; Morais, S. Children environmental exposure to particulate matter and polycyclic aromatic hydrocarbons and biomonitoring in school environments: A review on indoor and outdoor exposure levels, major sources and health impacts. Environ. Int. 2019, 124, 180–204. [Google Scholar] [CrossRef] [PubMed]
- Kozielska, B.; Kaleta, D. Assessment of indoor benzene and its alkyl derivatives concentrations in offices belonging to University of Technology (Poland). Atmosphere 2021, 12, 51. [Google Scholar] [CrossRef]
- CSO. Central Statistical Office. Population. Population Status and Structure as Well as Vital Statistics in the Territorial Profile (as of June 30, 2021). 2021. Available online: https://stat.gov.pl/obszary-tematyczne/ludnosc/ludnosc/ludnosc-stan-i-struktura-ludnosci-oraz-ruch-naturalny-w-przekroju-terytorialnym-stan-w-dniu-30-06-2021,6,30.html (accessed on 21 July 2022).
- Aarnio, P.; Martikainen, J.; Hussein, T.; Valkama, I.; Vehkamäki, H.; Sogacheva, L.; Härkönen, J.; Karppinen, A.; Koskentalo, T.; Kukkonen, J.; et al. Analysis and evaluation of selected PM10 pollution episodes in the Helsinki Metropolitan Area in 2002. Atmos. Environ. 2008, 42, 3992–4005. [Google Scholar] [CrossRef]
- CIEP. Chief Inspectorate of Environmental Protection. Available online: https://powietrze.gios.gov.pl/pjp/archives (accessed on 21 June 2022).
- PN-EN 12341:2014-07; Ambient Air—Standard Gravimetric Measurement Method to Determine the Concentration of Mass Fractions PM10 or PM2.5 Particulate Matter. CEN: Brussels, Belgium, 2014.
- PN-EN 15549:2011; Air Quality—Standard Method for the Measurement of the Concentration of Benzo[a]pyrene in Ambient Air. CEN: Brussels, Belgium, 2011.
- Delgado-Saborit, J.M.; Stark, C.; Harrison, R.M. Carcinogenic potential, levels and sources of polycyclic aromatic hydrocarbon mixtures in indoor and outdoor environments and their implications for air quality standards. Environ. Int. 2011, 37, 383–392. [Google Scholar] [CrossRef] [PubMed]
- Zheng, H.; Xing, X.; Hu, T.; Zhang, Y.; Zhang, J.; Zhu, G.; Li, Y.; Qi, S. Biomass burning contributed most to the human cancer risk exposed to the soil-bound PAHs from Chengdu Economic Region, western China. Ecotoxicol. Environ. Saf. 2018, 159, 63–70. [Google Scholar] [CrossRef] [PubMed]
- Wu, M.; Luo, J.; Huang, T.; Lian, L.; Chen, T.; Song, S.; Wang, Z.; Ma, S.; Xie, C.; Zhao, Y.; et al. Effects of African BaP emission from wildfire biomass burning on regional and global environment and human health. Environ. Int. 2022, 162, 107162. [Google Scholar] [CrossRef]
- Nisbet, I.C.T.; LaGoy, P.K. Toxic Equivalency Factors (TEFs) for polycyclic aromatic hydrocarbons (PAHs). Regul. Toxicol. Pharmacol. 1992, 16, 290–300. [Google Scholar] [CrossRef]
- USEPA EPA. Health Effects Assessement Summary Tables; U.S. Environmental Protection Agency: Washington, DC, USA, 1993.
- Ramírez, N.; Cuadras, A.; Rovira, E.; Marcé, R.M.; Borrull, F. Risk assessment related to atmospheric polycyclic aromatic hydrocarbons in gas and particle phasesnear industrial sites. Environ. Health Perspect. 2011, 119, 1110–1116. [Google Scholar] [CrossRef]
- Masiol, M.; Hofer, A.; Squizzato, S.; Piazza, R.; Rampazzo, G.; Pavoni, B. Carcinogenic and mutagenic risk associated to airborne particle-phase polycyclic aromatic hydrocarbons: A source apportionment. Atmos. Environ. 2012, 60, 375–382. [Google Scholar] [CrossRef]
- Bootdee, S.; Chantara, S.; Prapamontol, T. Determination of PM2.5 and polycyclicaromatic hydrocarbons from incense burning emission at shrine for health risk assessment. Atmos. Pollut. Res. 2016, 7, 680–689. [Google Scholar] [CrossRef]
- U.S. Environmental Protection Agency (USEPA). Guidelines for Carcinogen Risk Assessment; (EPA/630/P-03/001F); USEPA: Washington, DC, USA, 2005. Available online: http://www2.epa.gov/osa/guidelines-carcinogen-risk-assessment (accessed on 21 July 2022).
- RAIS. The Risk Assessment Information System. Available online: https://rais.ornl.gov (accessed on 6 September 2022).
- IRIS. Integrated Risk Information System. 2017. Available online: https://iris.epa.gov (accessed on 6 September 2022).
- EPA. Toxicological Review of Benzo[a]pyrene—Exectuvie Summary. Available online: https://iris.epa.gov/static/pdfs/0136_summary.pdf (accessed on 6 September 2022).
- U.S. EPA. Health Effects Assessment for Benzo[a]pyrene; EPA/540/1-86/022 (NTIS PB86134335); U.S. Environmental Protection Agency: Washington, DC, USA, 1984.
- CEPA. Air Toxics Hot Spots Program Risk Assessment Guidelines; Office of Environmental Health Hazard Assessment: Oakland, CA, USA, 2005.
- WHO. Air Quality Guidelines for Europe, 2nd ed.; European Series, No. 91; World Health Organisation Regional Publications: Geneva, Switzerland, 2000. [Google Scholar]
- Rogula-Kozłowska, W.; Kozielska, B.; Błaszczak, B.; Klejnowski, K. The mass distribution of particle-bound PAH among aerosol fractions: A case-study of an urban area in Poland. In Organic Pollutants Ten Years after the Stockholm Convention-Environmental and Analytical Update; Puzyn, T., Mostrag-Szlichtyng, A., Eds.; InTech: Rijeka, Croatia, 2012; pp. 163–190. [Google Scholar]
- Kozielska, B.; Rogula-Kozłowska, W. Polycyclic aromatic hydrocarbons in particulate matter in the cities of Upper Silesia. Arch. Waste Manage. Environ. Prot. 2014, 16, 75–84. [Google Scholar]
- Annual Assessment of Air Quality in the Śląskie Voivodeship; Voivodship Report for 2020; CIEP: Katowice, Poland, 2021.
- Samek, L.; Stegowski, Z.; Styszko, K.; Furman, L.; Fiedor, J. Seasonal contribution of assessed sources to submicron and fine particulate matter in a Central European urban area. Environ. Pollut. 2018, 241, 406–411. [Google Scholar] [CrossRef] [PubMed]
- Annual Assessment of Air Quality in the Śląskie Voivodeship; Voivodship Report for 2018; CIEP: Katowice, Poland, 2019.
- Huremović, J.; Žero, S.; Bubalo, E.; Dacić, M.; Čeliković, A.; Musić, I.; Bašić, M.; Huseinbašić, N.; Džepina, K.; Cepić, M.; et al. Analysis of PM10, Pb, Cd, and Ni atmospheric concentrations during domestic heating season in Sarajevo, Bosnia and Herzegovina, from 2010 to 2019. Air Qual. Atmos. Health 2020, 13, 965–976. [Google Scholar] [CrossRef]
- Rajšić, S.; Mijić, Z.; Tasić, M.; Radenković, M.; Joksić, J. Evaluation of the levels and sources of trace elements in urban particulate matter. Environ. Chem. Lett. 2008, 6, 95–100. [Google Scholar] [CrossRef]
- Klejnowski, K.; Pastuszka, J.S.; Rogula-Kozłowska, W.; Talik, E.; Krasa, A. Mass size distribution and chemical composition of the surface layer of summer and winter airborne particles in Zabrze, Poland. Bull. Environ. Contam. Toxicol. 2011, 88, 255–259. [Google Scholar] [CrossRef] [PubMed]
- Han, Y.M.; Cao, J.J.; Lee, S.C.; Ho, K.F.; An, Z.S. Different characteristics of char and soot in the atmosphere and their ratio as an indicator for source identification in Xi‘an, China. Atmos. Chem. Phys. 2010, 10, 595–607. [Google Scholar] [CrossRef]
- Spindler, G.; Bruggemann, E.; Gnauk, T.; Gruner, A.; Muller, K.; Herrmann, H. A four-year size-segregated characterization study of particles PM10, PM2.5 and PM1 depending on air mass origin at Melpitz. Atmos. Environ. 2010, 44, 164–173. [Google Scholar] [CrossRef]
- Czernecki, B.; Półrolniczak, M.; Kolendowicz, L.; Marosz, M.; Kendzierski, S.; Pilguj, N. Influence of the atmospheric conditions on PM10 concentrations in Poznań, Poland. J. Atmos. Chem. 2017, 74, 115–139. [Google Scholar] [CrossRef]
- Wang, J.; Xie, X.; Fang, C. Temporal and spatial distribution characteristics of atmospheric particulate matter (PM10 and PM2.5) in Changchun and analysis of its influencing factors. Atmosphere 2019, 10, 651. [Google Scholar] [CrossRef]
- Pohjola, M.A.; Kousa, A.; Kukkonen, J.; Härkönen, J.; Karppinen, A.; Aarnio, P.; Koskentalo, T. The spatial and temporal variation of measured urban PM10 and PM2.5 in the Helsinki Metropolitan Area. Water Air Soil Pollut. Focus 2002, 2, 189–201. [Google Scholar] [CrossRef]
- Li, X.; Ma, Y.; Wang, Y. Temporal and spatial analyses of particulate matter (PM10 and PM2.5) and its relationship with meteorological parameters over an urban city in northeast China. Atmos. Res. 2017, 198, 185–193. [Google Scholar] [CrossRef]
- Oke, T.R. Boundary Layer Climates; Methuen: London, UK, 1995. [Google Scholar]
- Fiore, A.M.; Naik, V.; Spracklen, D.V.; Steiner, A.; Unger, N.; Prather, M.; Bergmann, D.; Cameron-Smith, P.J.; Cionni, I.; Collins, W.J.; et al. Global air quality and climate. Chem. Soc. Rev. 2012, 41, 6663–6683. [Google Scholar] [CrossRef] [PubMed]
- Wang, J.; Ogawa, S. Effects of meteorological conditions on PM2.5 concentrations in Nagasaki, Japan. Int. J. Environ. Res. Public Health. 2015, 12, 9089–9101. [Google Scholar] [CrossRef] [PubMed]
- Anquetin, S.; Guilbaud, C.; Chollet, J.-P. Thermal valley inversion impact on the dispersion of a passive pollutant in a complex mountainous area. Atmos. Environ. 1999, 33, 3953–3959. [Google Scholar] [CrossRef]
- Wielgosiński, G.; Czerwińska, J. Smog Episodes in Poland. Atmosphere 2020, 11, 277. [Google Scholar] [CrossRef]
- Regulation of the Minister for the Environment of 24 August 2012 on Levels of Certain Substances in the Air; (Dz. U. 2021, pos. 845). Available online: https://isap.sejm.gov.pl/isap.nsf/DocDetails.xsp?id=WDU20210000845 (accessed on 22 September 2022).
- Kozielska, B.; Konieczyński, J. Polycyclic aromatic hydrocarbons in particulate matter emitted from coke oven battery. Fuel 2015, 144, 327–334. [Google Scholar] [CrossRef]
- Mehmood, T.; Zhu, T.; Ahmad, I.; Li, X. Ambient PM2.5 and PM10 bound PAHs in Islamabad, Pakistan: Concentration, source and health risk assessment. Chemosphere 2020, 257, 127187. [Google Scholar] [CrossRef]
- Kalim, I.; Zahra, N.; Saeed, M.K.; Gilani, R.; Munawar, A.; Jalees, M.I. Polycyclic aromatic hydrocarbons in the atmosphere of data Darbar Chowk of Lahore, Pakistan. Bangladesh J. Sci. Ind. Res. 2020, 55, 147–152. [Google Scholar] [CrossRef]
- Kaur, S.; Kumar, B.; Chakraborty, P.; Kumar, V.; Kothiyal, N.C. Polycyclic aromatic hydrocarbons in PM10 of a north-western city, India: Distribution, sources, toxicity and health risk assessment. Int. J. Environ. Sci. Technol. 2022, 19, 1041–1056. [Google Scholar] [CrossRef]
- Ramteke, S.; Patel, K.S.; Sahu, B.L.; Deb, M.K.; Giri, B.; Aggarwal, S.G.; Ren, H.; Fu, P. Spatial variation, distribution and source impacts in urban organic aerosols. Asian J. Chem. 2018, 30, 2582–2590. [Google Scholar] [CrossRef]
- Ray, D.; Chatterjee, A.; Majumdar, D.; Ghosh, S.K.; Raha, S. Polycyclic aromatic hydrocarbons over a tropical urban and a high altitude Himalayan Station in India: Temporal variation and source apportionment. Atmos. Res. 2017, 197, 331–341. [Google Scholar] [CrossRef]
- Kumar, A.; Ambade, B.; Sankar, T.K.; Sethi, S.S.; Kurwadkar, S. Source identification and health risk assessment of atmospheric PM2.5-bound polycyclic aromatic hydrocarbons in Jamshedpur, India. Sustain. Cities Soc. 2020, 52, 101801. [Google Scholar] [CrossRef]
- Islam, N.; Dihingia, A.; Khare, P.; Saikia, B.K. Atmospheric particulate matters in an Indian urban area: Health implications from potentially hazardous elements, cytotoxicity, and genotoxicity studies. J. Hazard. Mater. 2020, 384, 21472. [Google Scholar] [CrossRef]
- Fang, B.; Zhang, L.; Zeng, H.; Liu, J.; Yang, Z.; Wang, H.; Wang, Q.; Wang, M. PM2.5-bound polycyclic aromatic hydrocarbons: Sources and health risk during non-heating and heating periods (Tangshan, China). Int. J. Environ. Res. Public Health 2020, 17, 483. [Google Scholar] [CrossRef] [PubMed]
- Pehnec, G.; Jakovljevic, I. Carcinogenic potency of airborne polycyclic aromatic hydrocarbons in relation to the particle fraction size. Int. J. Environ. Res. Public Health 2018, 15, 2485. [Google Scholar] [CrossRef]
- Tsiodra, I.; Grivas, G.; Tavernaraki, K.; Bougiatioti, A.; Apostolaki, M.; Paraskevopoulou, D.; Gogou, A.; Parinos, C.; Oikonomou, K.; Tsagkaraki, M.; et al. Annual exposure to polycyclic aromatic hydrocarbons in urban environments linked to wintertime wood-burning episodes. Atmos. Chem. Phys. 2021, 21, 17865–17883. [Google Scholar] [CrossRef]
- Skiba, A.; Styszko, K.; Furman, P.; Dobrowolska, N.; Kistler, M.; Kasper-Giebl, A.; Zięba, D. Polycyclic aromatic hydrocarbons (PAHs) associated with PM10 collected in Wadowice, South Poland. E3S Web Conf. 2019, 108, 02007. [Google Scholar] [CrossRef]
- Furman, P.; Styszko, K.; Skiba, A.; Zięba, D.; Zimnoch, M.; Kistler, M.; Kasper-Giebl, A.; Gilardoni, S. Seasonal variability of PM10 chemical composition including 1,3,5-triphenylbenzene, marker of plastic combustion and toxicity in Wadowice, South Poland. Aerosol Air Qual. Res. 2021, 21, 200223. [Google Scholar] [CrossRef]
- Widziewicz, K.; Rogula-Kozłowska, W.; Majewski, G. Lung cancer risk associated with exposure to benzo(a)pyrene in Polish Agglomerations, cities, and other areas. Int. J. Environ. Res. 2017, 11, 685–693. [Google Scholar] [CrossRef]
- Ayoko, G.; Lim, M.; Morawska, L. Assessing Health Risk Associated with Airborne Polycyclic Aromatic Hydrocarbons by Chemometrics and Toxic Equivalency Factors. In Proceedings of the 17th International Clean Air and Environment Conference, Hobart, Tasmania, 3–6 May 2005. [Google Scholar]
- Teixeira, E.C.; Agudelo-Castañeda, D.M.; Fachel, J.M.G.; Leal, K.A.; Garcia, K.O.; Wiegand, F. Source identification and seasonal variation of polycyclic aromatic hydrocarbons associated with atmospheric fine and coarse particles in the Metropolitan Area of Porto Alegre. RS. Brazil. Atmos. Res. 2012, 118, 390–403. [Google Scholar] [CrossRef]
- Rogula-Kozłowska, W.; Kozielska, B.; Klejnowski, K.; Szopa, S. Hazardous compounds in urban PM in the central part of Upper Silesia (Poland) in winter. Arch. Environ. Prot. 2013, 39, 53–65. [Google Scholar] [CrossRef]
- Agudelo-Castañeda, D.M.; Teixeira, E.C.; Schneider, I.L.; Lara, S.R.; Silva, L.F.O. Exposure to polycyclic aromatic hydrocarbons in atmospheric PM1.0 of urban environments: Carcinogenic and mutagenic respiratory health risk by age groups. Environ. Pollut. 2017, 224, 158–170. [Google Scholar] [CrossRef] [PubMed]







| Godów | Katowice | Tarnowskie Góry | Bielsko Biała | Częstochowa | |
|---|---|---|---|---|---|
| 2018 | |||||
| year | 0.7453 | 0.7210 | 0.7235 | - | - |
| heating season | 0.7999 | 0.8024 | 0.7629 | - | - |
| non-heating season | 0.6855 | 0.6451 | 0.6800 | - | - |
| 2019 | |||||
| year | 0.7840 | 0.7067 | 0.6533 | - | - |
| heating season | 0.7882 | 0.7555 | 0.6573 | - | - |
| non-heating season | 0.7799 | 0.6624 | 0.497 | - | - |
| 2020 | |||||
| year | 0.8104 | 0.6900 | 0.6833 | - | - |
| heating season | 0.8327 | 0.7225 | 0.6938 | - | - |
| non-heating season | 0.7761 | 0.6523 | 0.6705 | - | - |
| 2021 | |||||
| year | 0.8063 | 0.8804 | 0.7178 | 0.7825 | 0.8066 |
| heating season | 0.8559 | 0.9877 | 0.7617 | 0.8577 | 0.8229 |
| non-heating season | 0.7634 | 0. 7557 | 0.6755 | 0.7158 | 0.7916 |
| Ta | ua | Pa | |
|---|---|---|---|
| PM10 | −0.386 * | −0.614 * | 0.164 * |
| Location | Sampling Period | Sampling Point | Fraction PM | PM, µg·m−3 | B[a]P, ng·m−3 | Reference | |
|---|---|---|---|---|---|---|---|
| Islamabad, Pakistan | 2017 | clean urban | PM2.5 | 51.59 | 1.55 | [83] | |
| PM10 | 102.79 | 2.3 | |||||
| Lahore, Pakistan | traffic | PM10 | 188.7 | 81.4 | [84] | ||
| Amritsar, India | XI 2013–I 2014 | urban | PM10 | 196–462 | 1.6 | [85] | |
| Raipur, India | XI 2013–I 2014 | urban | PM10 | 468 (291–783) | 43–76 | [86] | |
| Kolkata, India | X 2015–V 2016 | urban | PM10 | nd | 5.3 | [87] | |
| Darjeeling, India | 2.5 | ||||||
| Jamshedpur, India | XII 2016–V 2017 | semi-urban | winter | PM2.5 | nd | 1.24 | [88] |
| summer | 2.45 | ||||||
| urban | winter | 4.74 | |||||
| summer | 3.42 | ||||||
| rural | winter | 1.95 | |||||
| summer | 4.39 | ||||||
| Jorhat, India | II–III 2018 | urban | PM2.5 | 126.8 | - | [89] | |
| PM10 | 260.6 | - | |||||
| X–XI 2018 | PM2.5 | 159.0 | 4.77 | ||||
| PM10 | 274.2 | 5.48 | |||||
| Tangshan, China | 2014 | urban | PM2.5 | 23–367 | 3.64 * 61.6 ** | [90] | |
| Mlada Boleslav, Czech Republic | 15–28 II 2013 | residential district | PM1 | 26 | 0.78 | [24] | |
| Zagrzeb, Croatia | 2014 | urban | winter | PM1 | nd | 2.23 | [91] |
| spring | 0.21 | ||||||
| summer | 0.03 | ||||||
| autumn | 0.59 | ||||||
| winter | PM2.5 | 2.39 | |||||
| spring | 0.27 | ||||||
| summer | 0.03 | ||||||
| autumn | 0.73 | ||||||
| winter | PM10 | 7.66 | |||||
| spring | 0.75 | ||||||
| summer | 0.07 | ||||||
| autumn | 1.35 | ||||||
| Sarajevo, Bosnia and Herzegovina | XII 2017–II 2018 | urban background | PM10 | 50 | 7.28 | [11] | |
| Zagreb, Croatia | XII 2017–II 2018 | residential | 40 | 3.24 | |||
| Athenus, Greek | XII 2016–I 2018 | urban background | winter | PM2.5 | nd | 0.81 | [92] |
| spring | 0.02 | ||||||
| summer | 0.04 | ||||||
| autumn | 0.10 | ||||||
| Silesia, Poland | VIII 2009–XII 2010 | regional background | non-heating | PM2.5 | 19.83 | 2.43 | [23] |
| heating | 31.12 | 7.02 | |||||
| urban background | non-heating | 23.80 | 2.89 | ||||
| heating | 75.39 | 25.40 | |||||
| traffic | non-heating | 27.97 | 5.65 | ||||
| heating | 50.56 | 14.05 | |||||
| Wadowice, Poland | III 2017 | urban background | PM10 | 34.4 (10.8–116.7) | 11.1 | [93] | |
| VIII 2017 | 1.4 | ||||||
| Wadowice, Poland | II–X 2017 | urban background | non-heating | PM10 | 27.1 | 1.1 | [94] |
| heating | 43.3 | 4.98 | |||||
| Silesia, Poland | 2018 | urban background | PM10 | 43.2 | 7.1 | This study | |
| 2019 | 35.1 | 6.3 | |||||
| 2020 | 30.5 | 6.2 | |||||
| 2021 | 32.3 | 6.3 | |||||
| R Spearman | t (N−2) | p | |
|---|---|---|---|
| Częstochowa | 0.721 | 14.855 | 0.000 |
| Katowice | 0.723 | 15.042 | 0.000 |
| Rybnik | 0.843 | 22.531 | 0.000 |
| Żywiec | 0.873 | 25.545 | 0.000 |
| Air Monitoring Station | Annual | Heating Season | Non-Heating Season |
|---|---|---|---|
| Bielsko-Biała | 2.36 × 10−6 | 4.05 × 10−6 | 0.32 × 10−6 |
| Częstochowa | 1.66 × 10−6 | 2.79 × 10−6 | 0.33 × 10−6 |
| Godów | 5.19 × 10−6 | 8.66 × 10−6 | 0.82 × 10−6 |
| Katowice | 2.38 × 10−6 | 4.15 × 10−6 | 0.42 × 10−6 |
| Rybnik | 6.89 × 10−6 | 11.95 × 10−6 | 1.08 × 10−6 |
| Żywiec | 4.53 × 10−6 | 8.00 × 10−6 | 0.62 × 10−6 |
| Period | IRIS [57] | EPA [60] | WHO [61] | |
|---|---|---|---|---|
| LCR | annual | 3.88 × 10−6 | 7.12 × 10−6 | 56.33 × 10−6 |
| heating season | 6.72 × 10−6 | 12.32 × 10−6 | 97.44 × 10−6 | |
| non-heating season | 0.60 × 10−6 | 1.10 × 10−6 | 8.70 × 10−6 | |
| Number of additional lung cancer cases | annual | 17 | 31 | 248 |
| heating season | 30 | 54 | 429 | |
| non-heating season | 3 | 5 | 38 |
Disclaimer/Publisher’s Note: The statements, opinions and data contained in all publications are solely those of the individual author(s) and contributor(s) and not of MDPI and/or the editor(s). MDPI and/or the editor(s) disclaim responsibility for any injury to people or property resulting from any ideas, methods, instructions or products referred to in the content. |
© 2022 by the authors. Licensee MDPI, Basel, Switzerland. This article is an open access article distributed under the terms and conditions of the Creative Commons Attribution (CC BY) license (https://creativecommons.org/licenses/by/4.0/).
Share and Cite
Kaleta, D.; Kozielska, B. Spatial and Temporal Volatility of PM2.5, PM10 and PM10-Bound B[a]P Concentrations and Assessment of the Exposure of the Population of Silesia in 2018–2021. Int. J. Environ. Res. Public Health 2023, 20, 138. https://doi.org/10.3390/ijerph20010138
Kaleta D, Kozielska B. Spatial and Temporal Volatility of PM2.5, PM10 and PM10-Bound B[a]P Concentrations and Assessment of the Exposure of the Population of Silesia in 2018–2021. International Journal of Environmental Research and Public Health. 2023; 20(1):138. https://doi.org/10.3390/ijerph20010138
Chicago/Turabian StyleKaleta, Dorota, and Barbara Kozielska. 2023. "Spatial and Temporal Volatility of PM2.5, PM10 and PM10-Bound B[a]P Concentrations and Assessment of the Exposure of the Population of Silesia in 2018–2021" International Journal of Environmental Research and Public Health 20, no. 1: 138. https://doi.org/10.3390/ijerph20010138
APA StyleKaleta, D., & Kozielska, B. (2023). Spatial and Temporal Volatility of PM2.5, PM10 and PM10-Bound B[a]P Concentrations and Assessment of the Exposure of the Population of Silesia in 2018–2021. International Journal of Environmental Research and Public Health, 20(1), 138. https://doi.org/10.3390/ijerph20010138

