Relative Contribution of Metal Content and Soil Particle Mass to Health Risk of Chromium-Contaminated Soil
Abstract
:1. Introduction
2. Materials and Methods
2.1. Study Area and Sample Collection
2.2. Sample Particle Size Separation
2.3. Sample Physicochemical Properties
2.4. Sample Total Cr Concentration
2.5. In Vitro Bioaccessibility Tests
2.6. Human Health Risk Assessment
2.6.1. Scenarios of Risk Assessment
2.6.2. Noncarcinogenic Health Risk Assessment
2.7. Quality Assurance and Quality Control
2.8. Statistical Analysis
3. Results and Discussion
3.1. Sample Properties in Different Particle Sizes
3.2. Bioaccessibility of Cr in Different Particle Size Ranges
3.2.1. Bioaccessible Concentration of Cr
3.2.2. Bioaccessibility of Cr
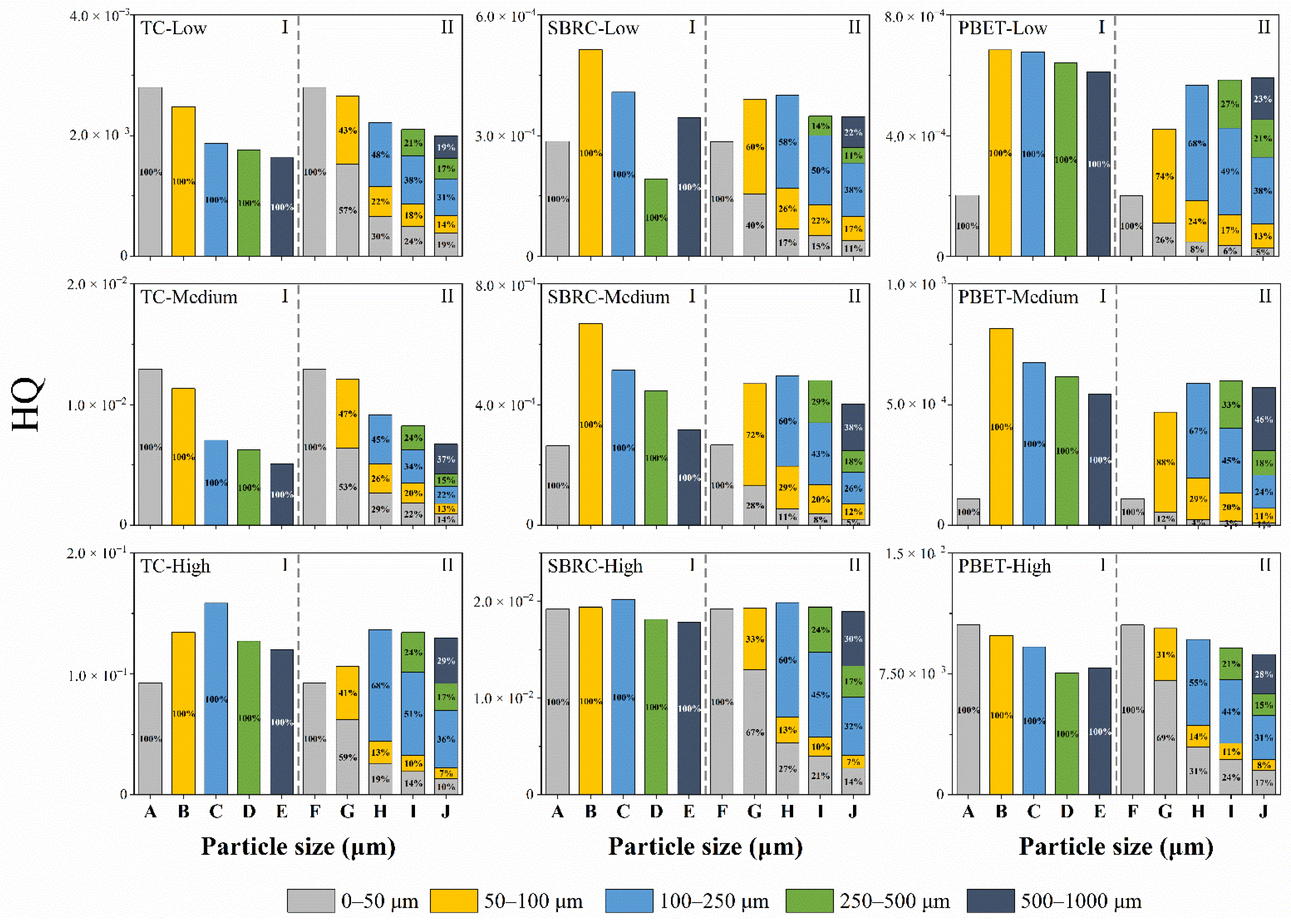
3.3. Health Risk Contribution in Different Particle Size Ranges
3.3.1. Health Risks
3.3.2. Risk Contribution of Different Particles
4. Conclusions
Supplementary Materials
Author Contributions
Funding
Institutional Review Board Statement
Informed Consent Statement
Data Availability Statement
Conflicts of Interest
References
- Shahid, M.; Shamshad, S.; Rafiq, M.; Khalid, S.; Bibi, I.; Niazi, N.K.; Dumat, C.; Rashid, M.I. Chromium speciation, bioavailability, uptake, toxicity and detoxification in soil–plant system: A review. Chemosphere 2017, 178, 513–533. [Google Scholar] [CrossRef] [PubMed]
- Benimeli, C.S.; Polti, M.A.; Albarracín, V.H.; Abate, C.M.; Amoroso, M.J. Bioremediation Potential of Heavy Metal–Resistant Actinobacteria and Maize Plants in Polluted Soil. In Biomanagement of Metal–Contaminated Soils; Khan, M.S., Zaidi, A., Goel, R., Musarrat, J., Eds.; Springer: Dordrecht, The Netherlands, 2011; pp. 459–477. [Google Scholar]
- Norseth, T. The carcinogenicity of chromium. Environ. Health Perspect. 1981, 40, 121–130. [Google Scholar] [CrossRef] [PubMed]
- Wilbur, S.; Abadin, H.; Fay, M.; Yu, D.; Tencza, B.; Ingerman, L.; Klotzbach, J.; James, S. Toxicological Profile for Chromium; Agency for Toxic Substances and Disease Registry (US): Atlanta, GA, USA, 2012. Available online: https://pubmed.ncbi.nlm.nih.gov/24049864/ (accessed on 21 July 2021).
- Stalcup, D. Memorandum: Recommendations for Sieving Soil and Dust Samples at Lead Sites for Assessment of Incidental Ingestion. Washington, DC. 2016. Available online: https://semspub.epa.gov/work/HQ/100000133.pdf (accessed on 21 July 2021).
- Dehghani, S.; Moore, F.; Vasiluk, L.; Hale, B.A. The influence of physicochemical parameters on bioaccessibility–adjusted hazard quotients for copper, lead and zinc in different grain size fractions of urban street dusts and soils. Environ. Geochem. Health 2018, 40, 1155–1174. [Google Scholar] [CrossRef]
- Ikegami, M.; Yoneda, M.; Tsuji, T.; Bannai, O.; Morisawa, S. Effect of Particle Size on Risk Assessment of Direct Soil Ingestion and Metals Adhered to Children’s Hands at Playgrounds. Risk Anal. 2014, 34, 1677–1687. [Google Scholar] [CrossRef]
- van der Kallen, C.C.; Gosselin, M.; Zagury, G.J. Oral and inhalation bioaccessibility of metal(loid)s in chromated copper arsenate (CCA)–contaminated soils: Assessment of particle size influence. Sci. Total Environ. 2020, 734, 139412. [Google Scholar] [CrossRef] [PubMed]
- Siciliano, S.D.; James, K.; Zhang, G.; Schafer, A.N.; Peak, J.D. Adhesion and Enrichment of Metals on Human Hands from Contaminated Soil at an Arctic Urban Brownfield. Environ. Sci. Technol. 2009, 43, 6385–6390. [Google Scholar] [CrossRef]
- Mahowald, N.; Albani, S.; Kok, J.F.; Engelstaeder, S.; Scanza, R.; Ward, D.S.; Flanner, M.G. The size distribution of desert dust aerosols and its impact on the Earth system. Aeolian Res. 2014, 15, 53–71. [Google Scholar] [CrossRef] [Green Version]
- Duggan, M.J.; Inskip, M.J.; Rundle, S.A.; Moorcroft, J.S. Lead in playground dust and on the hands of schoolchildren. Sci. Total Environ. 1985, 44, 65–79. [Google Scholar] [CrossRef]
- Wu, Y.; Lou, J.; Sun, X.; Ma, L.Q.; Wang, J.; Li, M.; Sun, H.; Li, H.; Huang, L. Linking elevated blood lead level in urban school–aged children with bioaccessible lead in neighborhood soil. Environ. Pollut. 2020, 261, 114093. [Google Scholar] [CrossRef] [PubMed]
- Kastury, F.; Smith, E.; Juhasz, A.L. A critical review of approaches and limitations of inhalation bioavailability and bioaccessibility of metal(loid)s from ambient particulate matter or dust. Sci. Total Environ. 2017, 574, 1054–1074. [Google Scholar] [CrossRef] [PubMed]
- Huang, H.; Jiang, Y.; Xu, X.; Cao, X. In vitro bioaccessibility and health risk assessment of heavy metals in atmospheric particulate matters from three different functional areas of Shanghai, China. Sci. Total Environ. 2018, 610–611, 546–554. [Google Scholar] [CrossRef]
- Cheng, Z.; Chen, L.-J.; Li, H.-H.; Lin, J.-Q.; Yang, Z.-B.; Yang, Y.-X.; Xu, X.-X.; Xian, J.-R.; Shao, J.-R.; Zhu, X.-M. Characteristics and health risk assessment of heavy metals exposure via household dust from urban area in Chengdu, China. Sci. Total Environ. 2018, 619–620, 621–629. [Google Scholar] [CrossRef]
- Xing, W.; Zhao, Q.; Scheckel, K.G.; Zheng, L.; Li, L. Inhalation bioaccessibility of Cd, Cu, Pb and Zn and speciation of Pb in particulate matter fractions from areas with different pollution characteristics in Henan Province, China. Ecotoxicol. Environ. Saf. 2019, 175, 192–200. [Google Scholar] [CrossRef]
- Ma, J.; Li, Y.; Liu, Y.; Lin, C.; Cheng, H. Effects of soil particle size on metal bioaccessibility and health risk assessment. Ecotoxicol. Environ. Saf. 2019, 186, 109748. [Google Scholar] [CrossRef]
- Liu, G.; Wang, J.; Liu, X.; Liu, X.; Li, X.; Ren, Y.; Wang, J.; Dong, L. Partitioning and geochemical fractions of heavy metals from geogenic and anthropogenic sources in various soil particle size fractions. Geoderma 2018, 312, 104–113. [Google Scholar] [CrossRef]
- Luo, X.-S.; Yu, S.; Li, X.-D. Distribution, availability, and sources of trace metals in different particle size fractions of urban soils in Hong Kong: Implications for assessing the risk to human health. Environ. Pollut. 2011, 159, 1317–1326. [Google Scholar] [CrossRef]
- Rieuwerts, J.S.; Thornton, I.; Farago, M.E.; Ashmore, M.R. Factors influencing metal bioavailability in soils: Preliminary investigations for the development of a critical loads approach for metals. Chem. Speciat. Bioavailab. 1998, 10, 61–75. [Google Scholar] [CrossRef] [Green Version]
- Ministry of Ecology and Environment of the People’s Republic of China. The Technical Specification for Soil Environmental Monitoring HJ/T 166–2004. 2004. Available online: http://www.mee.gov.cn/image20010518/5406.pdf (accessed on 30 August 2021).
- Moeys, J. The Soil Texture Wizard: R Functions for Plotting, Classifying, Transforming and Exploring Soil Texture Data. 2018. Available online: https://link.springer.com/chapter/10.1007/978-3-030-64896-1_2 (accessed on 30 August 2021).
- Li, X.; Gao, Y.; Zhang, M.; Zhang, Y.; Zhou, M.; Peng, L.; He, A.; Zhang, X.; Yan, X.; Wang, Y.; et al. In vitro lung and gastrointestinal bioaccessibility of potentially toxic metals in Pb–contaminated alkaline urban soil: The role of particle size fractions. Ecotoxicol. Environ. Saf. 2020, 190, 110151. [Google Scholar] [CrossRef] [PubMed]
- Ministry of Ecology and Environment of the People’s Republic of China. Soil–Determination of PH–Potentiometry HJ 962–2018. 2018. Available online: http://www.mee.gov.cn/ywgz/fgbz/bz/bzwb/jcffbz/201808/W020180815584753007210.pdf (accessed on 6 September 2021).
- Ministry of Ecology and Environment of the People’s Republic of China. Soil Quality–Determination of Cation Exchange Capacity(CEC)–Hexamminecobalt Trichloride Solution–Spectrophotometric Method HJ 889–2017. 2017. Available online: http://www.mee.gov.cn/ywgz/fgbz/bz/bzwb/jcffbz/201712/W020171220601861904342.pdf (accessed on 17 September 2021).
- Ministry of Ecology and Environment of the People’s Republic of China. Soil–Determination of Organic Carbon–Potassium Dichromate Oxidation Spectrophotometric Method HJ 615–2011. 2011. Available online: http://www.mee.gov.cn/ywgz/fgbz/bz/bzwb/jcffbz/201104/W020130206500699012099.pdf (accessed on 17 September 2021).
- Liu, C.; Yu, H.-Y.; Liu, C.; Li, F.; Xu, X.; Wang, Q. Arsenic availability in rice from a mining area: Is amorphous iron oxide–bound arsenic a source or sink? Environ. Pollut. 2015, 199, 95–101. [Google Scholar] [CrossRef]
- Ministry of Ecology and Environment of the People’s Republic of China. Soil and Sediment–Digestion of Total Metal Elements–Microwave Assisted Acid Digestion Method HJ 832–2017. 2017. Available online: http://www.mee.gov.cn/ywgz/fgbz/bz/bzwb/jcffbz/201707/W020170724584994832653.pdf (accessed on 22 March 2021).
- Julien, C.; Esperanza, P.; Bruno, M.; Alleman, L.Y. Development of an in vitro method to estimate lung bioaccessibility of metals from atmospheric particles. J. Environ. Monit. 2011, 13, 621–630. [Google Scholar] [CrossRef]
- Ruby, M.V.; Schoof, R.; Brattin, W.; Goldade, M.; Post, G.; Harnois, M.; Mosby, D.E.; Casteel, S.W.; Berti, W.; Carpenter, M.; et al. Advances in Evaluating the Oral Bioavailability of Inorganics in Soil for Use in Human Health Risk Assessment. Environ. Sci. Technol. 1999, 33, 3697–3705. [Google Scholar] [CrossRef]
- Ruby, M.V.; Davis, A.; Link, T.E.; Schoof, R.; Chaney, R.L.; Freeman, G.B.; Bergstrom, P. Development of an in vitro screening test to evaluate the in vivo bioaccessibility of ingested mine–waste lead. Environ. Sci. Technol. 1993, 27, 2870–2877. [Google Scholar] [CrossRef]
- Cai, L.-M.; Wang, Q.-S.; Luo, J.; Chen, L.-G.; Zhu, R.-L.; Wang, S.; Tang, C.-H. Heavy metal contamination and health risk assessment for children near a large Cu–smelter in central China. Sci. Total Environ. 2019, 650, 725–733. [Google Scholar] [CrossRef]
- Tepanosyan, G.; Maghakyan, N.; Sahakyan, L.; Saghatelyan, A. Heavy metals pollution levels and children health risk assessment of Yerevan kindergartens soils. Ecotoxicol. Environ. Saf. 2017, 142, 257–265. [Google Scholar] [CrossRef] [PubMed]
- Cao, S.; Duan, X.; Zhao, X.; Chen, Y.; Wang, B.; Sun, C.; Zheng, B.; Wei, F. Health risks of children’s cumulative and aggregative exposure to metals and metalloids in a typical urban environment in China. Chemosphere 2016, 147, 404–411. [Google Scholar] [CrossRef]
- U.S. EPA. Integrated Risk Information System (IRIS); U.S. EPA: Washington, DC, USA, 1998. Available online: https://cfpub.epa.gov/ncea/iris/iris_documents/documents/subst/0028_summary.pdf#nameddest=rfd (accessed on 22 June 2021).
- Gephart, L.A.; Tell, J.G.; Triemer, L.R. Exposure factors manual. J. Soil Contam. 2008, 3, 47–117. [Google Scholar] [CrossRef]
- U.S. EPA. Exposure Factors Handbook 2011 Edition (Final Report); EPA/600/R–09/052F; US Environmental Protection Agency: Washington, DC, USA, 2011.
- Wang, B.; Cao, S.; Zhao, X.; Dong, T.; Nie, J.; Duan, X. 7–Time–Activity Factors Related to Soil Exposure. In Highlights of the Chinese Exposure Factors Handbook (Adults); Duan, X., Zhao, X., Wang, B., Chen, Y., Cao, S., Eds.; Academic Press: Cambridge, MA, USA, 2015; pp. 44–48. [Google Scholar]
- Cao, S.; Zhao, X.; Wang, L.; Wang, B.; Chen, Y.; Duan, X. 9–Body Weight. In Highlights of the Chinese Exposure Factors Handbook (Adults); Duan, X., Zhao, X., Wang, B., Chen, Y., Cao, S., Eds.; Academic Press: Cambridge, MA, USA, 2015; pp. 53–54. [Google Scholar]
- Wang, Z.; Qin, H.; Liu, X. Health risk assessment of heavy metals in the soil–water–rice system around the Xiazhuang uranium mine, China. Environ. Sci. Pollut. Res. 2019, 26, 5904–5912. [Google Scholar] [CrossRef] [PubMed]
- Li, H.; Ji, H.; Shi, C.; Gao, Y.; Zhang, Y.; Xu, X.; Ding, H.; Tang, L.; Xing, Y. Distribution of heavy metals and metalloids in bulk and particle size fractions of soils from coal–mine brownfield and implications on human health. Chemosphere 2017, 172, 505–515. [Google Scholar] [CrossRef] [PubMed]
- Yutong, Z.; Qing, X.; Shenggao, L. Distribution, bioavailability, and leachability of heavy metals in soil particle size fractions of urban soils (northeastern China). Environ. Sci. Pollut. Res. 2016, 23, 14600–14607. [Google Scholar] [CrossRef]
- Zhang, Z.; Guo, G.; Zhao, H.; Wu, D. Partitioning, leachability, and speciation of chromium in the size–fractions of soil contaminated by chromate production. Chemosphere 2021, 263, 128308. [Google Scholar] [CrossRef]
- Shahid, M.; Dumat, C.; Khalid, S.; Niazi, N.K.; Antunes, P.M.C. Cadmium Bioavailability, Uptake, Toxicity and Detoxification in Soil–Plant System. In Reviews of Environmental Contamination and Toxicology; de Voogt, P., Gunther, F.A., Eds.; Springer International Publishing: Cham, Switzerland, 2017; Volume 241, pp. 73–137. [Google Scholar]
- Zeng, F.; Ali, S.; Zhang, H.; Ouyang, Y.; Qiu, B.; Wu, F.; Zhang, G. The influence of pH and organic matter content in paddy soil on heavy metal availability and their uptake by rice plants. Environ. Pollut. 2011, 159, 84–91. [Google Scholar] [CrossRef] [PubMed]
- Gunawardana, C.; Egodawatta, P.; Goonetilleke, A. Role of particle size and composition in metal adsorption by solids deposited on urban road surfaces. Environ. Pollut. 2014, 184, 44–53. [Google Scholar] [CrossRef] [Green Version]
- Quenea, K.; Lamy, I.; Winterton, P.; Bermond, A.; Dumat, C. Interactions between metals and soil organic matter in various particle size fractions of soil contaminated with waste water. Geoderma 2009, 149, 217–223. [Google Scholar] [CrossRef] [Green Version]
- Eyvazi, B.; Jamshidi-Zanjani, A.; Khodadadi Darban, A. Immobilization of hexavalent chromium in contaminated soil using nano–magnetic MnFe2O4. J. Hazard. Mater. 2019, 365, 813–819. [Google Scholar] [CrossRef] [PubMed]
- Botsou, F.; Koutsopoulou, E.; Andrioti, A.; Dassenakis, M.; Scoullos, M.; Karageorgis, A.P. Chromium speciation, mobility, and Cr(VI) retention–release processes in ultramafic rocks and Fe–Ni lateritic deposits of Greece. Environ. Geochem. Health 2021. [Google Scholar] [CrossRef]
- Qin, J.; Nworie, O.E.; Lin, C. Particle size effects on bioaccessible amounts of ingestible soil–borne toxic elements. Chemosphere 2016, 159, 442–448. [Google Scholar] [CrossRef] [Green Version]
- Cai, M.; McBride, M.B.; Li, K.; Li, Z. Bioaccessibility of As and Pb in orchard and urban soils amended with phosphate, Fe oxide and organic matter. Chemosphere 2017, 173, 153–159. [Google Scholar] [CrossRef] [Green Version]
- Smith, E.; Scheckel, K.; Miller, B.W.; Weber, J.; Juhasz, A.L. Influence of in vitro assay pH and extractant composition on As bioaccessibility in contaminated soils. Sci. Total Environ. 2014, 473–474, 171–177. [Google Scholar] [CrossRef]
- Losi, M.E.; Amrhein, C.; Frankenberger, W.T. Environmental Biochemistry of Chromium. In Reviews of Environmental Contamination and Toxicology; Ware, G.W., Ed.; Springer: New York, NY, USA, 1994; pp. 91–121. [Google Scholar]
- Hellerich, L.A.; Nikolaidis, N.P. Studies of hexavalent chromium attenuation in redox variable soils obtained from a sandy to sub–wetland groundwater environment. Water Res. 2005, 39, 2851–2868. [Google Scholar] [CrossRef] [PubMed]
- Gong, C.; Donahoe, R.J. An experimental study of heavy metal attenuation and mobility in sandy loam soils. Appl. Geochem. 1997, 12, 243–254. [Google Scholar] [CrossRef]
- Gao, P.; Guo, H.; Zhang, Z.; Ou, C.; Hang, J.; Fan, Q.; He, C.; Wu, B.; Feng, Y.; Xing, B. Bioaccessibility and exposure assessment of trace metals from urban airborne particulate matter (PM10 and PM2.5) in simulated digestive fluid. Environ. Pollut. 2018, 242, 1669–1677. [Google Scholar] [CrossRef] [PubMed]




| Soil Properties | Particle Fraction (μm) | ||||
|---|---|---|---|---|---|
| 0–50 | 50–100 | 100–250 | 250–500 | 500–1000 | |
| Low | |||||
| pH | 4.95 ± 0.06 a | 5.09 ± 0.26 a | 5.16 ± 0.03 a | 5.21 ± 0.05 a | 5.65 ± 0.57 a |
| OM (mg·kg−1) | 508.68 ± 34.56 ab | 570.85 ± 42.83 a | 504.53 ± 71.45 ab | 545.44 ± 65.59 ab | 463.44 ± 46.8 b |
| CEC (cmol+·kg−1) | 1.65 ± 0.27 a | 1.29 ± 0.13 b | 1.14 ± 0.02 b | 1.38 ± 0.07 ab | 1.21 ± 0.04 b |
| Total Fe (mg·kg−1) | 4540.58 ± 284.49 a | 4691.3 ± 299.08 a | 3146.38 ± 172.68 b | 2317.39 ± 492.75 c | 2015.94 ± 65.27 c |
| Medium | |||||
| pH | 8.35 ± 0.09 a | 7.71 ± 0.11 a | 7.86 ± 0.45 a | 7.71 ± 0.51 a | 7.94 ± 0.39 a |
| OM (mg·kg−1) | 649.15 ± 24.42 ab | 677.18 ± 49.86 a | 597.34 ± 27.31 bc | 613.38 ± 24.66 bc | 585.27 ± 19.57 c |
| CEC (cmol+·kg−1) | 3.41 ± 0.13 a | 2.14 ± 0.25 b | 0.83 ± 0.16 c | 0.28 ± 0.06 d | 0.14 ± 0.01 d |
| Total Fe (mg·kg−1) | 45028.99 ± 652.66 a | 37537.97 ± 1383.63 b | 21666.67 ± 3263.28 d | 22616.23 ± 2826.12 d | 30348.41 ± 4589.14 c |
| High | |||||
| pH | 9.5 ± 0.04 a | 9.37 ± 0.18 a | 9.67 ± 0.06 a | 9.46 ± 0.12 a | 9.63 ± 0.27 a |
| OM (mg·kg−1) | 741.33 ± 15.03 a | 760.8 ± 10.74 a | 680.06 ± 16.44 b | 658.8 ± 8.99 b | 601.49 ± 19.79 c |
| CEC (cmol+·kg−1) | 9.66 ± 0.13 b | 9.71 ± 0.18 b | 10.45 ± 0.12 a | 9.83 ± 0.03 b | 8.23 ± 0.29 c |
| Total Fe (mg·kg−1) | 2254.48 ± 236.38 a | 2102.61 ± 286.65 a | 2152.06 ± 327.93 a | 1818.92 ± 40.96 a | 1827.54 ± 65.27 a |
| Element (mg·kg−1) | Particle Fraction (μm) | ||||
|---|---|---|---|---|---|
| 0–50 | 50–100 | 100–250 | 250–500 | 500–1000 | |
| Low | |||||
| PBET-G | 19.78 ± 2.51 c | 43.23 ± 2.97 b | 59.43 ± 1.58 a | 40.1 ± 1.46 b | 38.04 ± 1.45 b |
| PBET-GI | 27.27 ± 0.45 c | 91.46 ± 1.94 a | 90.55 ± 0.71 a | 85.91 ± 1.94 ab | 81.83 ± 3.83 b |
| SBRC-G | 25.92 ± 0.32 d | 87.93 ± 1.75 a | 75.19 ± 0.85 b | 68.7 ± 1.65 c | 66.36 ± 1.64 c |
| SBRC-GI | 38.19 ± 3.98 c | 68.76 ± 2.57 a | 54.5 ± 7.44 b | 26.53 ± 1.05 d | 34.05 ± 2.43 cd |
| Medium | |||||
| PBET-G | 25.23 ± 1.3 b | 50.66 ± 1.52 a | 46.39 ± 1.5 a | 44.73 ± 5.08 a | 42.4 ± 4.72 a |
| PBET-GI | 14.99 ± 0.46 c | 114.62 ± 7.61 a | 91.45 ± 1.96 b | 82.07 ± 0.35 b | 73.12 ± 0.93 b |
| SBRC-G | 49.54 ± 1.3 d | 116.41 ± 1.41 a | 95.41 ± 1.78 b | 87.93 ± 1.75 bc | 81.84 ± 6.87 c |
| SBRC-GI | 35.44 ± 0.98 c | 89.29 ± 5.4 a | 68.76 ± 2.57 b | 59.78 ± 5.03 b | 42.39 ± 4.8 c |
| High | |||||
| PBET-G | 1669.38 ± 30.11 b | 2112.26 ± 19.46 a | 1204.97 ± 68.28 c | 1098.97 ± 53.74 c | 880.58 ± 12.02 d |
| PBET-GI | 1410.81 ± 1.91 b | 1907.94 ± 15.62 a | 1203.99 ± 32.07 c | 1018.39 ± 10.02 d | 1068.91 ± 25.73 d |
| SBRC-G | 6340.63 ± 96.01 b | 9380.3 ± 139.9 a | 6525.62 ± 27.58 b | 5861.86 ± 12.02 c | 5411.21 ± 275.79 d |
| SBRC-GI | 2573.38 ± 45.05 bc | 3752.62 ± 43.5 a | 2714.97 ± 145.17 b | 2428.25 ± 90.11 bc | 2389.31 ± 185.22 c |
Publisher’s Note: MDPI stays neutral with regard to jurisdictional claims in published maps and institutional affiliations. |
© 2022 by the authors. Licensee MDPI, Basel, Switzerland. This article is an open access article distributed under the terms and conditions of the Creative Commons Attribution (CC BY) license (https://creativecommons.org/licenses/by/4.0/).
Share and Cite
Huang, S.; Huang, F.; Yang, X.; Xiao, R.; Wang, Y.; Xu, M.; Huang, Y.; Shi, H.; Wang, P. Relative Contribution of Metal Content and Soil Particle Mass to Health Risk of Chromium-Contaminated Soil. Int. J. Environ. Res. Public Health 2022, 19, 5253. https://doi.org/10.3390/ijerph19095253
Huang S, Huang F, Yang X, Xiao R, Wang Y, Xu M, Huang Y, Shi H, Wang P. Relative Contribution of Metal Content and Soil Particle Mass to Health Risk of Chromium-Contaminated Soil. International Journal of Environmental Research and Public Health. 2022; 19(9):5253. https://doi.org/10.3390/ijerph19095253
Chicago/Turabian StyleHuang, Shuting, Fei Huang, Xiaojun Yang, Rongbo Xiao, Yunze Wang, Meili Xu, Yuxuan Huang, Hangyuan Shi, and Peng Wang. 2022. "Relative Contribution of Metal Content and Soil Particle Mass to Health Risk of Chromium-Contaminated Soil" International Journal of Environmental Research and Public Health 19, no. 9: 5253. https://doi.org/10.3390/ijerph19095253
APA StyleHuang, S., Huang, F., Yang, X., Xiao, R., Wang, Y., Xu, M., Huang, Y., Shi, H., & Wang, P. (2022). Relative Contribution of Metal Content and Soil Particle Mass to Health Risk of Chromium-Contaminated Soil. International Journal of Environmental Research and Public Health, 19(9), 5253. https://doi.org/10.3390/ijerph19095253

