Relationship between Kinesiophobia and Ankle Joint Position Sense and Postural Control in Individuals with Chronic Ankle Instability—A Cross-Sectional Study
Abstract
1. Introduction
2. Materials and Methods
2.1. Design
2.2. Participants
2.3. Assessment of Kinesiophobia
2.4. Assessment of Ankle Joint Position Sense
2.5. Assessment of Postural Control
2.6. Statistical Analysis
3. Results
4. Discussion
Limitations
5. Conclusions
Author Contributions
Funding
Institutional Review Board Statement
Informed Consent Statement
Data Availability Statement
Acknowledgments
Conflicts of Interest
References
- Poitras, I.; Dupuis, F.; Bielmann, M.; Campeau-Lecours, A.; Mercier, C.; Bouyer, L.J.; Roy, J.-S. Validity and reliability of wearable sensors for joint angle estimation: A systematic review. Sensors 2019, 19, 1555. [Google Scholar] [CrossRef] [PubMed]
- Wang, Y.; Li, Z.; Wong, D.W.-C.; Zhang, M. Effects of ankle arthrodesis on biomechanical performance of the entire foot. PLoS ONE 2015, 10, e0134340. [Google Scholar] [CrossRef] [PubMed]
- Xu, J.; Wang, K.; Gao, M.; Tu, Z.; Zhang, S.; Tan, J. Biomechanical performance design of joint prosthesis for medical rehabilitation via generative structure optimization. Comput. Methods Biomech. Biomed. Eng. 2020, 23, 1163–1179. [Google Scholar] [CrossRef] [PubMed]
- Denegar, C.R.; Sayers, J. Miller III Can chronic ankle instability be prevented? Rethinking management of lateral ankle sprains. J. Athl. Train. 2002, 37, 430. [Google Scholar] [PubMed]
- Gribble, P.A.; Bleakley, C.M.; Caulfield, B.M.; Docherty, C.L.; Fourchet, F.; Fong, D.T.-P.; Hertel, J.; Hiller, C.E.; Kaminski, T.W.; McKeon, P.O. Evidence review for the 2016 International Ankle Consortium consensus statement on the prevalence, impact and long-term consequences of lateral ankle sprains. Br. J. Sports Med. 2016, 50, 1496–1505. [Google Scholar] [CrossRef]
- Al Bimani, S.A.; Gates, L.S.; Warner, M.; Ewings, S.; Crouch, R.; Bowen, C. Characteristics of patients with ankle sprain presenting to an emergency department in the south of England (UK): A seven-month review. Int. Emerg. Nurs. 2018, 41, 38–44. [Google Scholar] [CrossRef]
- O’Connor, S.R.; Bleakley, C.M.; Tully, M.A.; McDonough, S.M. Predicting functional recovery after acute ankle sprain. PLoS ONE 2013, 8, e72124. [Google Scholar] [CrossRef]
- Anandacoomarasamy, A.; Barnsley, L. Long term outcomes of inversion ankle injuries. Br. J. Sports Med. 2005, 39, e14. [Google Scholar] [CrossRef]
- Hertel, J.; Corbett, R.O. An updated model of chronic ankle instability. J. Athl. Train. 2019, 54, 572–588. [Google Scholar] [CrossRef]
- Dejong, A.F.; Koldenhoven, R.M.; Hertel, J. Proximal Adaptations in Chronic Ankle Instability: Systematic Review and Meta-analysis. Med. Sci. Sports Exerc. 2020, 52, 1563–1575. [Google Scholar] [CrossRef]
- Santos, M.J.; Liu, W. Possible factors related to functional ankle instability. J. Orthop. Sports Phys. Ther. 2008, 38, 150–157. [Google Scholar] [CrossRef] [PubMed]
- Mollà-Casanova, S.; Inglés, M.; Serra-Añó, P. Effects of balance training on functionality, ankle instability, and dynamic balance outcomes in people with chronic ankle instability: Systematic review and meta-analysis. Clin. Rehabil. 2021, 35, 1694–1709. [Google Scholar] [CrossRef] [PubMed]
- Zhang, S.; Wortley, M.; Silvernail, J.F.; Carson, D.; Paquette, M.R. Do ankle braces provide similar effects on ankle biomechanical variables in subjects with and without chronic ankle instability during landing? J. Sport Health Sci. 2012, 1, 114–120. [Google Scholar] [CrossRef]
- Asiri, F.; Reddy, R.S.; Tedla, J.S.; ALMohiza, M.A.; Alshahrani, M.S.; Govindappa, S.C.; Sangadala, D.R. Kinesiophobia and its correlations with pain, proprioception, and functional performance among individuals with chronic neck pain. PLoS ONE 2021, 16, e0254262. [Google Scholar] [CrossRef]
- Brea-Gómez, B.; Torres-Sánchez, I.; Ortiz-Rubio, A.; Calvache-Mateo, A.; Cabrera-Martos, I.; López-López, L.; Valenza, M.C. Virtual Reality in the Treatment of Adults with Chronic Low Back Pain: A Systematic Review and Meta-Analysis of Randomized Clinical Trials. Int. J. Environ. Res. Public Health 2021, 18, 11806. [Google Scholar] [CrossRef]
- Mendes-Fernandes, T.; Puente-González, A.S.; Márquez-Vera, M.A.; Vila-Chã, C.; Méndez-Sánchez, R. Effects of Global Postural Reeducation versus Specific Therapeutic Neck Exercises on Pain, Disability, Postural Control, and Neuromuscular Efficiency in Women with Chronic Nonspecific Neck Pain: Study Protocol for a Randomized, Parallel, Clinical Trial. Int. J. Environ. Res. Public Health 2021, 18, 10704. [Google Scholar] [CrossRef]
- Luque-Suarez, A.; Martinez-Calderon, J.; Falla, D. Role of kinesiophobia on pain, disability and quality of life in people suffering from chronic musculoskeletal pain: A systematic review. Br. J. Sports Med. 2019, 53, 554–559. [Google Scholar] [CrossRef]
- Meulders, A. From fear of movement-related pain and avoidance to chronic pain disability: A state-of-the-art review. Curr. Opin. Behav. Sci. 2019, 26, 130–136. [Google Scholar] [CrossRef]
- Alahmari, K.A.; Rengaramanujam, K.; Reddy, R.S.; Samuel, P.S.; Tedla, J.S.; Kakaraparthi, V.N.; Ahmad, I. The immediate and short-term effects of dynamic taping on pain, endurance, disability, mobility and kinesiophobia in individuals with chronic non-specific low back pain: A randomized controlled trial. PLoS ONE 2020, 15, e0239505. [Google Scholar] [CrossRef]
- Filipczyk, P.; Filipczyk, K.; Saulicz, E. Influence of Stabilization Techniques Used in the Treatment of Low Back Pain on the Level of Kinesiophobia. Int. J. Environ. Res. Public Health 2021, 18, 6393. [Google Scholar] [CrossRef]
- Tajdini, H.; Letafatkar, A.; Brewer, B.W.; Hosseinzadeh, M. Association between kinesiophobia and gait asymmetry after ACL reconstruction: Implications for prevention of reinjury. Int. J. Environ. Res. Public Health 2021, 18, 3264. [Google Scholar] [CrossRef] [PubMed]
- Okur, I.; Taspinar, B.; Kilit, T.P.; Okur, E.O.; Taspinar, F. Musculoskeletal system disorders and kinesiophobia in type 2 diabetes: A case–control study. Aust. J. Rehabil. Couns. 2021, 27, 41–49. [Google Scholar] [CrossRef]
- Reddy, R.S.; Meziat-Filho, N.; Ferreira, A.S.; Tedla, J.S.; Kandakurti, P.K.; Kakaraparthi, V.N. Comparison of neck extensor muscle endurance and cervical proprioception between asymptomatic individuals and patients with chronic neck pain. J. Bodyw. Mov. Ther. 2021, 26, 180–186. [Google Scholar] [CrossRef] [PubMed]
- Mazaheri, M.; Heidari, E.; Mostamand, J.; Negahban, H.; van Dieen, J.H. Competing effects of pain and fear of pain on postural control in low back pain? Spine 2014, 39, E1518–E1523. [Google Scholar] [CrossRef] [PubMed][Green Version]
- Lundberg, M.; Grimby-Ekman, A.; Verbunt, J.; Simmonds, M. Pain-related fear: A critical review of the related measures. Pain Res. Treat. 2011, 2011, 494196. [Google Scholar] [CrossRef]
- Xu, Y.; Song, Y.; Sun, D.; Fekete, G.; Gu, Y. Effect of multi-modal therapies for kinesiophobia caused by musculoskeletal disorders: A systematic review and meta-analysis. Int. J. Environ. Res. Public Health 2020, 17, 9439. [Google Scholar] [CrossRef]
- Walankar, P.P.; Panhale, V.P.; Vyas, K.M. Impact of kinesiophobia on physical function and quality of life in functional ankle instability individuals: An observational study. Bull. Fac. Phys. Ther. 2021, 26, 14. [Google Scholar] [CrossRef]
- Fukano, M.; Mineta, S.; Hirose, N. Fear avoidance beliefs in college athletes with a history of ankle sprain. Int. J. Sports Med. 2020, 41, 128–133. [Google Scholar] [CrossRef]
- Palomo-López, P.; Becerro-de-Bengoa-Vallejo, R.; Losa-Iglesias, M.E.; López-López, D.; Rodríguez-Sanz, D.; Romero-Morales, C.; Calvo-Lobo, C.; Mazoteras-Pardo, V. Kinesiophobia and pain intensity are increased by a greater hallux valgus deformity degree-kinesiophobia and pain intensity in hallux valgus. Int. J. Environ. Res. Public Health 2020, 17, 626. [Google Scholar] [CrossRef]
- Simon, J.; Donahue, M.; Docherty, C. Development of the identification of functional ankle instability (IdFAI). Foot Ankle Int. 2012, 33, 755–763. [Google Scholar] [CrossRef]
- Swinkels-Meewisse, E.; Swinkels, R.; Verbeek, A.; Vlaeyen, J.; Oostendorp, R. Psychometric properties of the Tampa Scale for kinesiophobia and the fear-avoidance beliefs questionnaire in acute low back pain. Man. Ther. 2003, 8, 29–36. [Google Scholar] [CrossRef] [PubMed]
- Lentz, T.A.; Sutton, Z.; Greenberg, S.; Bishop, M.D. Pain-related fear contributes to self-reported disability in patients with foot and ankle pathology. Arch. Phys. Med. Rehabil. 2010, 91, 557–561. [Google Scholar] [CrossRef] [PubMed]
- Claeys, K. The Role of Proprioceptive Postural Control in the Development and Maintenance of Low back Pain: A Cross-Sectional and a Prospective Study. Ph.D. Thesis, KU Leuven, Leuven, Belgium, 2013; pp. 1–159, 8th ed.. [Google Scholar]
- Adams, N.; Poole, H.; Richardson, C. Psychological approaches to chronic pain management: Part 1. J. Clin. Nurs. 2006, 15, 290–300. [Google Scholar] [CrossRef]
- Billieux, J. Problematic use of the mobile phone: A literature review and a pathways model. Curr. Psychiatry Rev. 2012, 8, 299–307. [Google Scholar] [CrossRef]
- Alshahrani, M.S.; Reddy, R.S.; Tedla, J.S.; Asiri, F.; Alshahrani, A. Association between Kinesiophobia and Knee Pain Intensity, Joint Position Sense, and Functional Performance in Individuals with Bilateral Knee Osteoarthritis. Healthcare 2022, 10, 120. [Google Scholar] [CrossRef] [PubMed]
- Aydoğdu, O.; Zübeyir, S. The association between kinesiophobia and proprioception, postural stability, activity level, knee function, and quality of life following anterior cruciate ligament reconstruction. J. Exerc. Ther. Rehabil. 2020, 7, 247–252. [Google Scholar]
- Crombez, G.; Eccleston, C.; Van Damme, S.; Vlaeyen, J.W.; Karoly, P. Fear-avoidance model of chronic pain: The next generation. Clin. J. Pain 2012, 28, 475–483. [Google Scholar] [CrossRef]
- Vlaeyen, J.W.; Linton, S.J. Fear-avoidance and its consequences in chronic musculoskeletal pain: A state of the art. Pain 2000, 85, 317–332. [Google Scholar] [CrossRef]




| Variables | FAI Group Mean ± SD | p-Value |
|---|---|---|
| Age (years) | 23.00 ± 1.91 | - |
| Gender: M: F (%) | 34 (42.5):21 (26.3) | - |
| BMI (kg/m2) | 24.41 ± 2.67 | - |
| Duration of Ankle Sprain (Months) | 12.47 ± 3.84 | - |
| TSK sore | 41.36 ± 2.91 | - |
JPS at 10 degrees of dorsiflexion
| 4.93 ± 1.38 1.35 ± 1.04 | <0.001 |
JPS at 15 degrees of dorsiflexion
| 4.80 ± 1.50 1.33 ± 1.16 | <0.001 |
JPS at 10 degrees of plantarflexion
| 4.82 ± 1.49 1.11 ± 0.79 | <0.001 |
JPS at 15 degrees of plantarflexion
| 4.84 ± 1.56 1.33 ± 0.70 | <0.001 |
Ellipse area (mm2)
| 946.75 ± 166.13 462.22 ± 155.53 | <0.001 |
Anterior–Posterior sway (mm2)
| 8.73 ± 3.08 3.67 ± 1.40 | <0.001 |
Medial–Lateral sway (mm2)
| 6.67 ± 2.10 3.57 ± 1.57 | <0.001 |
| Explanatory Variables | TSK Scores | |
|---|---|---|
| r | p-Value | |
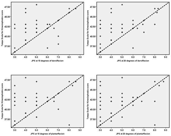
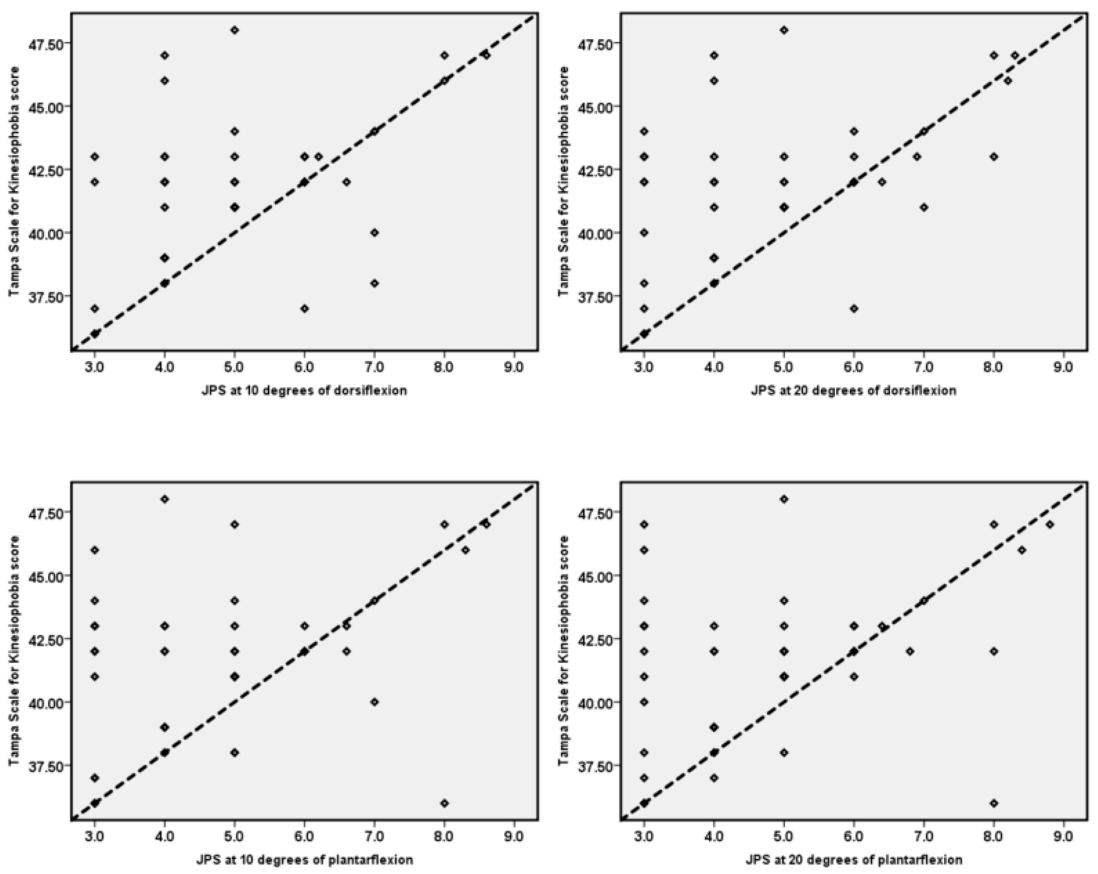
| JPS at 10 degrees of dorsiflexion | 0.51 | <0.001 |
| JPS at 15 degrees of dorsiflexion | 0.52 | <0.001 |
| JPS at 10 degrees of plantarflexion | 0.35 | 0.009 |
| JPS at 15 degrees of plantarflexion | 0.37 | 0.005 |
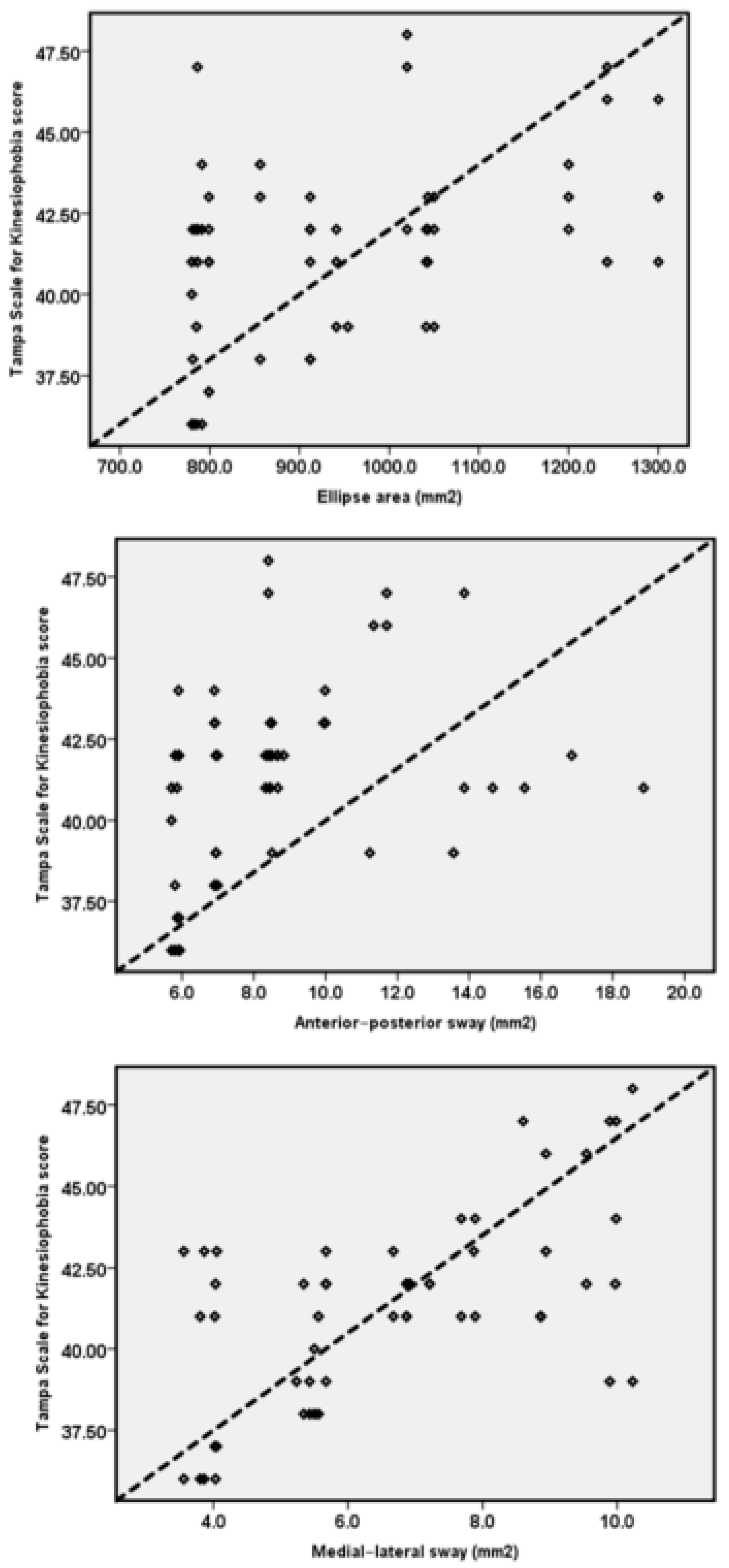
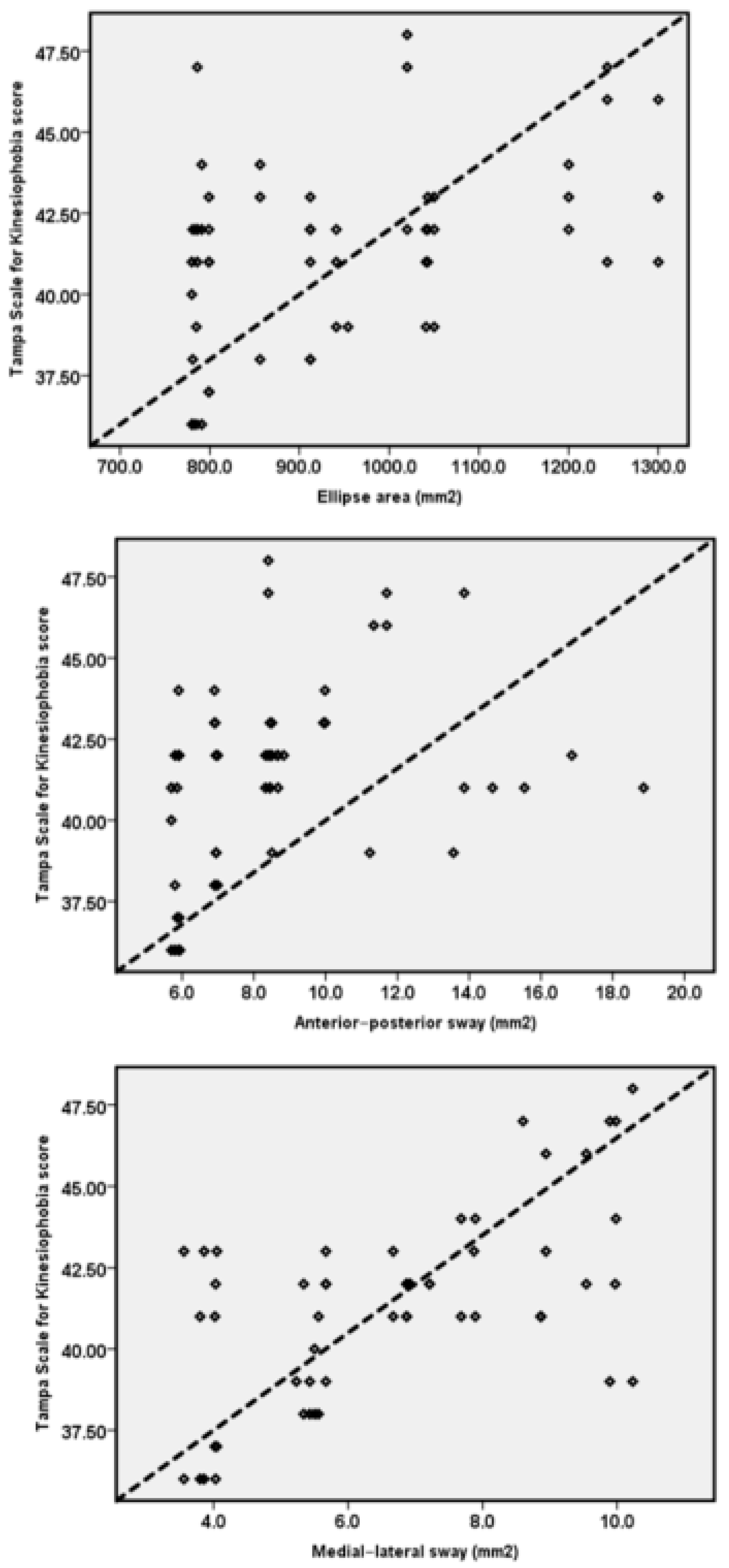
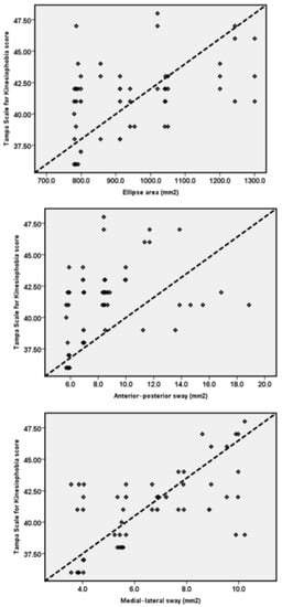
| Ellipse area (mm2) | 0.44 | 0.001 |
| Anterior–Posterior sway (mm2) | 0.32 | 0.015 |
| Medial–Lateral sway (mm2) | 0.60 | <0.001 |
| Explanatory Variables | B | SE. | t-Value | p Value |
|---|---|---|---|---|
| JPS at 10 degrees of dorsiflexion | 0.24 | 0.05 | 4.28 | <0.001 |
| JPS at 15 degrees of dorsiflexion | 0.26 | 0.06 | 4.41 | <0.001 |
| JPS at 10 degrees of plantarflexion | 0.17 | 0.06 | 2.71 | 0.009 |
| JPS at 15 degrees of plantarflexion | 0.20 | 0.06 | 2.93 | 0.005 |
| Ellipse area (mm2) | 24.86 | 7.06 | 3.51 | 0.001 |
| Anterior–Posterior sway (mm2) | 0.34 | 0.13 | 2.50 | 0.015 |
| Medial–Lateral sway (mm2) | 0.42 | 0.08 | 5.39 | <0.001 |
Publisher’s Note: MDPI stays neutral with regard to jurisdictional claims in published maps and institutional affiliations. |
© 2022 by the authors. Licensee MDPI, Basel, Switzerland. This article is an open access article distributed under the terms and conditions of the Creative Commons Attribution (CC BY) license (https://creativecommons.org/licenses/by/4.0/).
Share and Cite
Alshahrani, M.S.; Reddy, R.S. Relationship between Kinesiophobia and Ankle Joint Position Sense and Postural Control in Individuals with Chronic Ankle Instability—A Cross-Sectional Study. Int. J. Environ. Res. Public Health 2022, 19, 2792. https://doi.org/10.3390/ijerph19052792
Alshahrani MS, Reddy RS. Relationship between Kinesiophobia and Ankle Joint Position Sense and Postural Control in Individuals with Chronic Ankle Instability—A Cross-Sectional Study. International Journal of Environmental Research and Public Health. 2022; 19(5):2792. https://doi.org/10.3390/ijerph19052792
Chicago/Turabian StyleAlshahrani, Mastour Saeed, and Ravi Shankar Reddy. 2022. "Relationship between Kinesiophobia and Ankle Joint Position Sense and Postural Control in Individuals with Chronic Ankle Instability—A Cross-Sectional Study" International Journal of Environmental Research and Public Health 19, no. 5: 2792. https://doi.org/10.3390/ijerph19052792
APA StyleAlshahrani, M. S., & Reddy, R. S. (2022). Relationship between Kinesiophobia and Ankle Joint Position Sense and Postural Control in Individuals with Chronic Ankle Instability—A Cross-Sectional Study. International Journal of Environmental Research and Public Health, 19(5), 2792. https://doi.org/10.3390/ijerph19052792

