Fixed-Bed Adsorption of Lead from Aqueous Solution Using Chitosan-Coated Bentonite
Abstract
:1. Introduction
2. Materials and Methods
2.1. Chemicals
2.2. Synthesis of Chitosan-Coated Bentonite
2.3. Characterization of CCB
2.4. Fixed-Bed Experiments
2.5. Analysis of Fixed-Bed Data
Fixed-Bed Adsorption Model
3. Results and Discussion
3.1. Characterization of CCB
3.2. Effect of Flow Rate
3.3. Effect of Bed Height
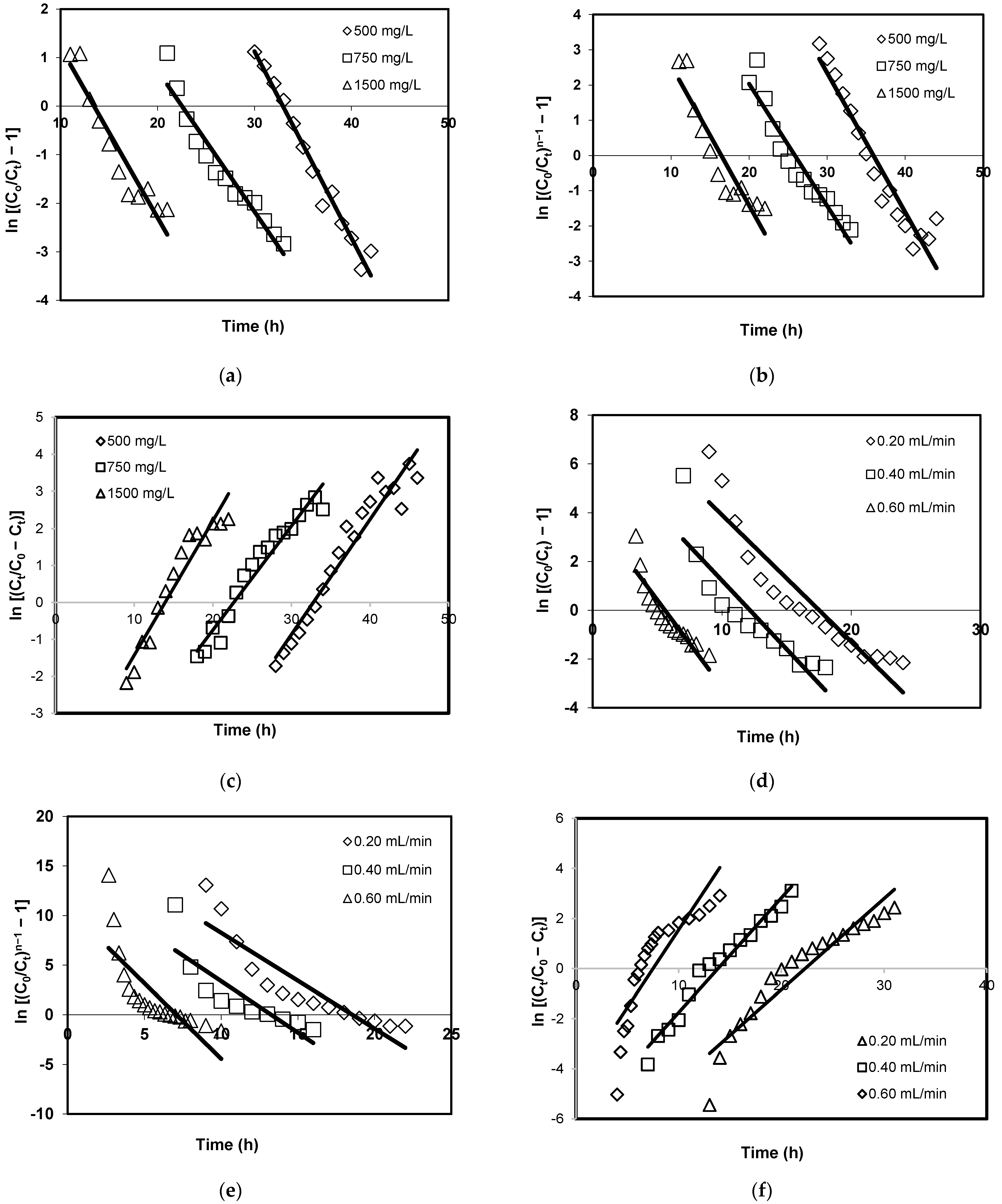
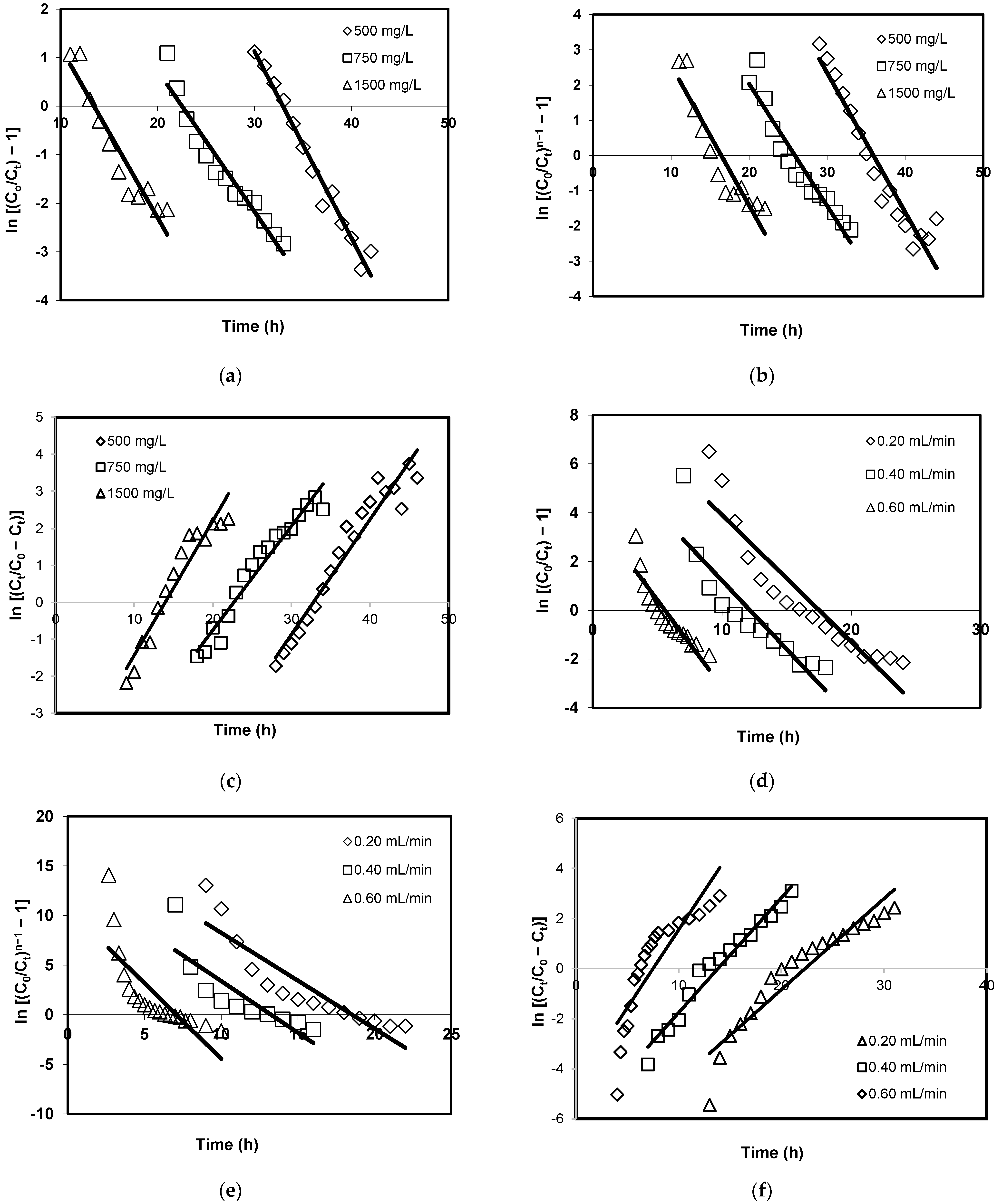
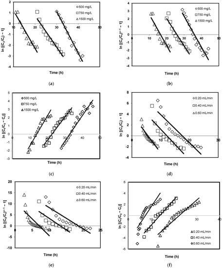
3.4. Effect of Initial Concentration
3.5. Breakthrough Curve Modelling
4. Conclusions
Author Contributions
Funding
Institutional Review Board Statement
Informed Consent Statement
Data Availability Statement
Conflicts of Interest
References
- Momčilović, M.; Purenović, M.; Bojić, A.; Zarubica, A.; Ranđelović, M. Removal of Lead(II) Ions from Aqueous Solutions by Adsorption onto Pine Cone Activated Carbon. Desalination 2011, 276, 53–59. [Google Scholar] [CrossRef]
- Gatabi, J.; Sarrafi, Y.; Lakouraj, M.M.; Taghavi, M. Facile and Efficient Removal of Pb(II) from Aqueous Solution by Chitosan-Lead Ion Imprinted Polymer Network. Chemosphere 2020, 240, 124772. [Google Scholar] [CrossRef]
- Xu, Y.; Zhao, D. Removal of Lead from Contaminated Soils Using Poly(Amidoamine) Dendrimers. Ind. Eng. Chem. Res. 2006, 45, 1758–1765. [Google Scholar] [CrossRef]
- Elias, M.A.; Hadibarata, T.; Sathishkumar, P. Modified Oil Palm Industry Solid Waste as a Potential Adsorbent for Lead Removal. Environ. Chem. Ecotoxicol. 2021, 3, 1–7. [Google Scholar] [CrossRef]
- Hayes, C.R. 10—Heavy Metals: Lead. In Toxicity of Building Materials; Pacheco-Torgal, F., Jalali, S., Fucic, A., Eds.; Woodhead Publishing Series in Civil and Structural Engineering; Woodhead Publishing: Amsterdam, The Netherlands, 2012; pp. 283–296. ISBN 978-0-85709-122-2. [Google Scholar]
- Grijalbo Fernández, L.; Fernández-Pascual, M.; Gutiérrez Mañero, F.J.; Lucas García, J.A. Phytoremediation of Contaminated Waters to Improve Water Quality. In Phytoremediation: Management of Environmental Contaminants; Ansari, A.A., Gill, S.S., Gill, R., Lanza, G.R., Newman, L., Eds.; Springer International Publishing: Cham, Switzerland, 2015; Volume 2, pp. 11–26. ISBN 978-3-319-10969-5. [Google Scholar]
- Anantha, R.K.; Kota, S. Removal of Lead by Adsorption with the Renewable Biopolymer Composite of Feather (Dromaius novaehollandiae) and Chitosan (Agaricus bisporus). Environ. Technol. Innov. 2016, 6, 11–26. [Google Scholar] [CrossRef]
- Chibuike, G.U.; Obiora, S.C. Heavy Metal Polluted Soils: Effect on Plants and Bioremediation Methods. Appl. Environ. Soil Sci. 2014, 2014, e752708. [Google Scholar] [CrossRef] [Green Version]
- Moustakas, M.; Lanaras, T.; Symeonidis, L.; Karataglis, S. Growth and Some Photosynthetic Characteristics of Field Grown Avena Sativa under Copper and Lead Stress. Photosynthetica 1994, 30, 389–396. [Google Scholar]
- Rusmin, R.; Sarkar, B.; Mukhopadhyay, R.; Tsuzuki, T.; Liu, Y.; Naidu, R. Facile One Pot Preparation of Magnetic Chitosan-Palygorskite Nanocomposite for Efficient Removal of Lead from Water. J. Colloid Interface Sci. 2022, 608, 575–587. [Google Scholar] [CrossRef]
- Administrative Order No. 2017-0010 || Philippine National Standards for Drinking Water of 2017—Food and Drug Administration. Available online: https://www.fda.gov.ph/administrative-order-no-2017-0010-philippine-national-standards-for-drinking-water-of-2017/ (accessed on 4 November 2021).
- Athman, S.; Sdiri, A.; Boufatit, M. Spectroscopic and Mineralogical Characterization of Bentonite Clay (Ghardaïa, Algeria) for Heavy Metals Removal in Aqueous Solutions. Int. J. Environ. Res. 2020, 14, 1–14. [Google Scholar] [CrossRef]
- Chatterjee, S.; Mondal, S.; De, S. Design and Scaling up of Fixed Bed Adsorption Columns for Lead Removal by Treated Laterite. J. Clean. Prod. 2018, 177, 760–774. [Google Scholar] [CrossRef]
- Mahaninia, M.H.; Wilson, L.D. Phosphate Uptake Studies of Cross-Linked Chitosan Bead Materials. J. Colloid Interface Sci. 2017, 485, 201–212. [Google Scholar] [CrossRef]
- Ekrayem, N.A.; Alhwaige, A.A.; Elhrari, W.; Amer, M. Removal of Lead (II) Ions from Water Using Chitosan/Polyester Crosslinked Spheres Derived from Chitosan and Glycerol-Based Polyester. J. Environ. Chem. Eng. 2021, 9, 106628. [Google Scholar] [CrossRef]
- Kuroki, V.; Bosco, G.E.; Fadini, P.S.; Mozeto, A.A.; Cestari, A.R.; Carvalho, W.A. Use of a La(III)-Modified Bentonite for Effective Phosphate Removal from Aqueous Media. J. Hazard. Mater. 2014, 274, 124–131. [Google Scholar] [CrossRef]
- Tian, S.; Jiang, P.; Ning, P.; Su, Y. Enhanced Adsorption Removal of Phosphate from Water by Mixed Lanthanum/Aluminum Pillared Montmorillonite. Chem. Eng. J. 2009, 151, 141–148. [Google Scholar] [CrossRef]
- Xu, X.; Cheng, Y.; Wu, X.; Fan, P.; Song, R. La(III)-Bentonite/Chitosan Composite: A New Type Adsorbent for Rapid Removal of Phosphate from Water Bodies. Appl. Clay Sci. 2020, 190, 105547. [Google Scholar] [CrossRef]
- Priya, A.K.; Yogeshwaran, V.; Rajendran, S.; Hoang, T.K.A.; Soto-Moscoso, M.; Ghfar, A.A.; Bathula, C. Investigation of Mechanism of Heavy Metals (Cr6+, Pb2+ & Zn2+) Adsorption from Aqueous Medium Using Rice Husk Ash: Kinetic and Thermodynamic Approach. Chemosphere 2022, 286, 131796. [Google Scholar] [CrossRef]
- Nguyen, V.-T.; Vo, T.-D.-H.; Nguyen, T.-B.; Dat, N.D.; Huu, B.T.; Nguyen, X.-C.; Tran, T.; Le, T.-N.-C.; Duong, T.-G.-H.; Bui, M.-H.; et al. Adsorption of Norfloxacin from Aqueous Solution on Biochar Derived from Spent Coffee Ground: Master Variables and Response Surface Method Optimized Adsorption Process. Chemosphere 2021, 288, 132577. [Google Scholar] [CrossRef]
- Jeon, C. Removal of Cr(VI) from Aqueous Solution Using Amine-Impregnated Crab Shells in the Batch Process. J. Ind. Eng. Chem. 2019, 77, 111–117. [Google Scholar] [CrossRef]
- Yang, A.; Yang, S.; Zhu, Y. Magnetic Modification of Used Tea Leaves for Uranium Adsorption. New Carbon Mater. 2021, 36, 821–826. [Google Scholar] [CrossRef]
- Khajavian, M.; Salehi, E.; Vatanpour, V. Chitosan/Polyvinyl Alcohol Thin Membrane Adsorbents Modified with Zeolitic Imidazolate Framework (ZIF-8) Nanostructures: Batch Adsorption and Optimization. Sep. Purif. Technol. 2020, 241, 116759. [Google Scholar] [CrossRef]
- Bensalem, S.; Hamdi, B.; Del Confetto, S.; Calvet, R. Characterization of Surface Properties of Chitosan/Bentonite Composites Beads by Inverse Gas Chromatography. Int. J. Biol. Macromol. 2021, 166, 1448–1459. [Google Scholar] [CrossRef] [PubMed]
- Juang, R.-S.; Shao, H.-J. A Simplified Equilibrium Model for Sorption of Heavy Metal Ions from Aqueous Solutions on Chitosan. Water Res. 2002, 36, 2999–3008. [Google Scholar] [CrossRef]
- Radnia, H.; Ghoreyshi, A.A.; Younesi, H.; Najafpour, G.D. Adsorption of Fe(II) Ions from Aqueous Phase by Chitosan Adsorbent: Equilibrium, Kinetic, and Thermodynamic Studies. Desalin. Water Treat. 2012, 50, 348–359. [Google Scholar] [CrossRef]
- Guibal, E. Interactions of Metal Ions with Chitosan-Based Sorbents: A Review. Sep. Purif. Technol. 2004, 38, 43–74. [Google Scholar] [CrossRef]
- Jin, J.; Song, M.; Hourston, D.J. Novel Chitosan-Based Films Cross-Linked by Genipin with Improved Physical Properties. Biomacromolecules 2004, 5, 162–168. [Google Scholar] [CrossRef]
- Alhwaige, A.A.; Agag, T.; Ishida, H.; Qutubuddin, S. Biobased Chitosan/Polybenzoxazine Cross-Linked Films: Preparation in Aqueous Media and Synergistic Improvements in Thermal and Mechanical Properties. Biomacromolecules 2013, 14, 1806–1815. [Google Scholar] [CrossRef]
- Wu, P.X.; Liao, Z.W.; Zhang, H.F.; Guo, J.G. Adsorption of Phenol on Inorganic–Organic Pillared Montmorillonite in Polluted Water. Environ. Int. 2001, 26, 401–407. [Google Scholar] [CrossRef]
- Azha, S.F.; Ahmad, A.L.; Ismail, S. Thin Coated Adsorbent Layer: Characteristics and Performance Study. Desalin. Water Treat. 2015, 55, 956–969. [Google Scholar] [CrossRef]
- Hamid, S.A.; Shahadat, M.; Ismail, S. Development of Cost Effective Bentonite Adsorbent Coating for the Removal of Organic Pollutant. Appl. Clay Sci. 2017, 149, 79–86. [Google Scholar] [CrossRef]
- Sarkar, B.; Rusmin, R.; Ugochukwu, U.C.; Mukhopadhyay, R.; Manjaiah, K.M. Chapter 5—Modified Clay Minerals for Environmental Applications. In Modified Clay and Zeolite Nanocomposite Materials; Mercurio, M., Sarkar, B., Langella, A., Eds.; Micro and Nano Technologies; Elsevier: Amsterdam, The Netherlands, 2019; pp. 113–127. ISBN 978-0-12-814617-0. [Google Scholar]
- Jimtaisong, A.; Sarakonsri, T. Chitosan Intercalated Bentonite as Natural Adsorbent Matrix for Water-Soluble Sappanwood Dye. Int. J. Biol. Macromol. 2019, 129, 737–743. [Google Scholar] [CrossRef]
- Wang, K.; Ma, H.; Pu, S.; Yan, C.; Wang, M.; Yu, J.; Wang, X.; Chu, W.; Zinchenko, A. Hybrid Porous Magnetic Bentonite-Chitosan Beads for Selective Removal of Radioactive Cesium in Water. J. Hazard Mater. 2019, 362, 160–169. [Google Scholar] [CrossRef] [PubMed]
- Wang, L.; Wang, A. Adsorption Characteristics of Congo Red onto the Chitosan/Montmorillonite Nanocomposite. J. Hazard Mater. 2007, 147, 979–985. [Google Scholar] [CrossRef] [PubMed]
- Futalan, C.M.; Kan, C.-C.; Dalida, M.L.; Hsien, K.-J.; Pascua, C.; Wan, M.-W. Comparative and Competitive Adsorption of Copper, Lead, and Nickel Using Chitosan Immobilized on Bentonite. Carbohydr. Polym. 2011, 83, 528–536. [Google Scholar] [CrossRef]
- Dalida, M.L.P.; Mariano, A.F.V.; Futalan, C.M.; Kan, C.-C.; Tsai, W.-C.; Wan, M.-W. Adsorptive Removal of Cu(II) from Aqueous Solutions Using Non-Crosslinked and Crosslinked Chitosan-Coated Bentonite Beads. Desalination 2011, 275, 154–159. [Google Scholar] [CrossRef]
- Calagui, M.J.C.; Senoro, D.B.; Kan, C.-C.; Salvacion, J.W.L.; Futalan, C.M.; Wan, M.-W. Adsorption of Indium(III) Ions from Aqueous Solution Using Chitosan-Coated Bentonite Beads. J. Hazard Mater. 2014, 277, 120–126. [Google Scholar] [CrossRef]
- Tsai, W.-C.; de Luna, M.D.G.; Bermillo-Arriesgado, H.L.P.; Futalan, C.M.; Colades, J.I.; Wan, M.-W. Competitive Fixed-Bed Adsorption of Pb(II), Cu(II), and Ni(II) from Aqueous Solution Using Chitosan-Coated Bentonite. Int. J. Polym. Sci. 2016, 2016, e1608939. [Google Scholar] [CrossRef] [Green Version]
- Grisdanurak, N.; Akewaranugulsiri, S.; Futalan, C.M.; Tsai, W.-C.; Kan, C.-C.; Hsu, C.-W.; Wan, M.-W. The Study of Copper Adsorption from Aqueous Solution Using Crosslinked Chitosan Immobilized on Bentonite. J. Appl. Polym. Sci. 2012, 125, E132–E142. [Google Scholar] [CrossRef]
- Tsai, W.-C.; Ibarra-Buscano, S.; Kan, C.-C.; Futalan, C.M.; Dalida, M.L.P.; Wan, M.-W. Removal of Copper, Nickel, Lead, and Zinc Using Chitosan-Coated Montmorillonite Beads in Single- and Multi-Metal System. Desalin. Water Treat. 2016, 57, 9799–9812. [Google Scholar] [CrossRef]
- Arida, C.V.J.; de Luna, M.D.G.; Futalan, C.M.; Wan, M.-W. Optimization of As(V) Removal Using Chitosan-Coated Bentonite from Groundwater Using Box–Behnken Design: Effects of Adsorbent Mass, Flow Rate, and Initial Concentration. Desalin. Water Treat. 2016, 57, 18739–18747. [Google Scholar] [CrossRef]
- Lu, M.-C.; Biel, L.C.C.; Wan, M.-W.; de Leon, R.; Arco, S.; Futalan, C.M. Adsorption of Dibenzothiophene Sulfone from Fuel Using Chitosan-Coated Bentonite (CCB) as Biosorbent. Desalin. Water Treat. 2016, 57, 5108–5118. [Google Scholar] [CrossRef]
- de Luna, M.D.G.; Futalan, C.M.; Jurado, C.A., Jr.; Colades, J.I.; Wan, M.-W. Removal of Ammonium-Nitrogen from Aqueous Solution Using Chitosan-Coated Bentonite: Mechanism and Effect of Operating Parameters. J. Appl. Polym. Sci. 2018, 135, 45924. [Google Scholar] [CrossRef]
- Ligaray, M.; Futalan, C.M.; de Luna, M.D.; Wan, M.-W. Removal of Chemical Oxygen Demand from Thin-Film Transistor Liquid-Crystal Display Wastewater Using Chitosan-Coated Bentonite: Isotherm, Kinetics and Optimization Studies. J. Clean. Prod. 2018, 175, 145–154. [Google Scholar] [CrossRef]
- Gibert, O.; de Pablo, J.; Luis Cortina, J.; Ayora, C. Evaluation of Municipal Compost/Limestone/Iron Mixtures as Filling Material for Permeable Reactive Barriers for in-Situ Acid Mine Drainage Treatment. J. Chem. Technol. Biotechnol. 2003, 78, 489–496. [Google Scholar] [CrossRef]
- Xiao, J.; Pang, Z.; Zhou, S.; Chu, L.; Rong, L.; Liu, Y.; Li, J.; Tian, L. The Mechanism of Acid-Washed Zero-Valent Iron/Activated Carbon as Permeable Reactive Barrier Enhanced Electrokinetic Remediation of Uranium-Contaminated Soil. Sep. Purif. Technol. 2020, 244, 116667. [Google Scholar] [CrossRef]
- Han, J.-G.; Hong, K.-K.; Kim, Y.-W.; Lee, J.-Y. Enhanced Electrokinetic (E/K) Remediation on Copper Contaminated Soil by CFW (Carbonized Foods Waste). J. Hazard Mater. 2010, 177, 530–538. [Google Scholar] [CrossRef] [PubMed]
- Tor, A.; Danaoglu, N.; Arslan, G.; Cengeloglu, Y. Removal of Fluoride from Water by Using Granular Red Mud: Batch and Column Studies. J. Hazard Mater. 2009, 164, 271–278. [Google Scholar] [CrossRef]
- Vijayaraghavan, K.; Jegan, J.; Palanivelu, K.; Velan, M. Removal of Nickel(II) Ions from Aqueous Solution Using Crab Shell Particles in a Packed Bed up-Flow Column. J. Hazard Mater. 2004, 113, 223–230. [Google Scholar] [CrossRef]
- Thomas, H.C. Chromatography; a Problem in Kinetics. Ann. N. Y. Acad. Sci 1948, 49, 161–182. [Google Scholar] [CrossRef]
- Qaiser, S.; Saleemi, A.R.; Umar, M. Biosorption of Lead from Aqueous Solution by Ficus Religiosa Leaves: Batch and Column Study. J. Hazard Mater. 2009, 166, 998–1005. [Google Scholar] [CrossRef]
- Patel, H. Fixed-Bed Column Adsorption Study: A Comprehensive Review. Appl. Water Sci. 2019, 9, 45. [Google Scholar] [CrossRef] [Green Version]
- Clark, R.M. Evaluating the Cost and Performance of Field-Scale Granular Activated Carbon Systems. Environ. Sci. Technol. 1987, 21, 573–580. [Google Scholar] [CrossRef] [PubMed]
- Nur, T.; Loganathan, P.; Nguyen, T.C.; Vigneswaran, S.; Singh, G.; Kandasamy, J. Batch and Column Adsorption and Desorption of Fluoride Using Hydrous Ferric Oxide: Solution Chemistry and Modeling. Chem. Eng. J. 2014, 247, 93–102. [Google Scholar] [CrossRef]
- Yoon, Y.H.; Nelson, J.H. Breakthrough Time and Adsorption Capacity of Respirator Cartridges. Am. Ind. Hyg. Assoc. J. 2010. [Google Scholar] [CrossRef] [PubMed]
- Barbosa, H.F.G.; Francisco, D.S.; Ferreira, A.P.G.; Cavalheiro, É.T.G. A New Look towards the Thermal Decomposition of Chitins and Chitosans with Different Degrees of Deacetylation by Coupled TG-FTIR. Carbohydr. Polym. 2019, 225, 115232. [Google Scholar] [CrossRef] [PubMed]
- Madejová, J.; Arvaiová, B.; Komadel, P. FTIR Spectroscopic Characterization of Thermally Treated Cu2+, Cd2+, and Li+ Montmorillonites. Spectrochim. Acta Part A Mol. Biomol. Spectrosc. 1999, 55, 2467–2476. [Google Scholar] [CrossRef]
- Alabarse, F.G.; Conceição, R.V.; Balzaretti, N.M.; Schenato, F.; Xavier, A.M. In-Situ FTIR Analyses of Bentonite under High-Pressure. Appl. Clay Sci. 2011, 51, 202–208. [Google Scholar] [CrossRef] [Green Version]
- Guo, C.; Qi, L.; Bai, Y.; Yin, L.; Li, L.; Zhang, W. Geochemical Stability of Zero-Valent Iron Modified Raw Wheat Straw Innovatively Applicated to in Situ Permeable Reactive Barrier: N2 Selectivity and Long-Term Denitrification. Ecotoxicol. Environ. Saf. 2021, 224, 112649. [Google Scholar] [CrossRef]
- Singh, T.S.; Pant, K.K. Experimental and Modelling Studies on Fixed Bed Adsorption of As(III) Ions from Aqueous Solution. Sep. Purif. Technol. 2006, 48, 288–296. [Google Scholar] [CrossRef]
- Taty-Costodes, V.C.; Fauduet, H.; Porte, C.; Ho, Y.-S. Removal of Lead (II) Ions from Synthetic and Real Effluents Using Immobilized Pinus Sylvestris Sawdust: Adsorption on a Fixed-Bed Column. J. Hazard Mater. 2005, 123, 135–144. [Google Scholar] [CrossRef]
- Aksu, Z.; Gönen, F. Biosorption of Phenol by Immobilized Activated Sludge in a Continuous Packed Bed: Prediction of Breakthrough Curves. Process Biochem. 2004, 39, 599–613. [Google Scholar] [CrossRef]
- Kumari, U.; Mishra, A.; Siddiqi, H.; Meikap, B.C. Effective Defluoridation of Industrial Wastewater by Using Acid Modified Alumina in Fixed-Bed Adsorption Column: Experimental and Breakthrough Curves Analysis. J. Clean. Prod. 2021, 279, 123645. [Google Scholar] [CrossRef]
- Dovi, E.; Aryee, A.A.; Kani, A.N.; Mpatani, F.M.; Li, J.; Li, Z.; Qu, L.; Han, R. Functionalization of Walnut Shell by Grafting Amine Groups to Enhance the Adsorption of Congo Red from Water in Batch and Fixed-Bed Column Modes. J. Environ. Chem. Eng. 2021, 9, 106301. [Google Scholar] [CrossRef]
- Han, R.; Wang, Y.; Yu, W.; Zou, W.; Shi, J.; Liu, H. Biosorption of Methylene Blue from Aqueous Solution by Rice Husk in a Fixed-Bed Column. J. Hazard Mater. 2007, 141, 713–718. [Google Scholar] [CrossRef] [PubMed]
- Park, J.-H.; Cho, J.-S.; Ok, Y.S.; Kim, S.-H.; Kang, S.-W.; Choi, I.-W.; Heo, J.-S.; DeLaune, R.D.; Seo, D.-C. Competitive Adsorption and Selectivity Sequence of Heavy Metals by Chicken Bone-Derived Biochar: Batch and Column Experiment. J Environ. Sci. Health A Tox Hazard Subst. Environ. Eng. 2015, 50, 1194–1204. [Google Scholar] [CrossRef]
- Seo, D.C.; Yu, K.; DeLaune, R.D. Comparison of Monometal and Multimetal Adsorption in Mississippi River Alluvial Wetland Sediment: Batch and Column Experiments. Chemosphere 2008, 73, 1757–1764. [Google Scholar] [CrossRef]
- Lim, A.P.; Aris, A.Z. Continuous Fixed-Bed Column Study and Adsorption Modeling: Removal of Cadmium (II) and Lead (II) Ions in Aqueous Solution by Dead Calcareous Skeletons. Biochem. Eng. J. 2014, 87, 50–61. [Google Scholar] [CrossRef]
- Maged, A.; Ismael, I.S.; Kharbish, S.; Sarkar, B.; Peräniemi, S.; Bhatnagar, A. Enhanced Interlayer Trapping of Pb(II) Ions within Kaolinite Layers: Intercalation, Characterization, and Sorption Studies. Environ. Sci. Pollut. Res. 2020, 27, 1870–1887. [Google Scholar] [CrossRef] [Green Version]
- Zhang, Y.; Wang, F.; Cao, B.; Yin, H.; Al-Tabbaa, A. Simultaneous Removal of Pb and MTBE by Mixed Zeolites in Fixed-Bed Column Tests. J. Environ. Sci. 2022, 122, 41–49. [Google Scholar] [CrossRef]
- Li, G.; Zhang, J.; Liu, J.; Luo, T.; Xi, Y. Investigation of the Transport Characteristics of Pb(II) in Sand-Bone Char Columns. Sci. Prog. 2021, 104. [Google Scholar] [CrossRef]





| Parameter | qb (mg/g) | qe (mg/g) | Zm (cm) | |
|---|---|---|---|---|
| Flow rate (mL/min) 1 | 0.20 | 22.81 | 30.03 | 0.93 |
| 0.40 | 21.77 | 28.83 | 1.04 | |
| 0.60 | 20.95 | 28.46 | 1.40 | |
| Bed height (cm) 2 | 1.3 | 22.62 | 30.25 | 0.87 |
| 2.3 | 24.69 | 34.36 | 0.98 | |
| 4.3 | 26.11 | 32.93 | 1.04 | |
| Initial concentration (mg/L) 3 | 500 | 24.03 | 28.34 | 1.19 |
| 750 | 24.86 | 29.02 | 1.26 | |
| 1500 | 29.52 | 37.71 | 2.02 |
| Q (mL/min) | Z (cm) | C0 (mg/L) | Thomas | Clark | ||||
|---|---|---|---|---|---|---|---|---|
| kTh | Q0 | R2 | A | r | R2 | |||
| 0.20 | 4.3 | 500 | 0.0008 | 32.93 | 0.9758 | 149.70 × 102 | 0.3958 | 0.9204 |
| 0.20 | 4.3 | 750 | 0.0004 | 33.79 | 0.9402 | 77.20 × 102 | 0.3460 | 0.9228 |
| 0.20 | 4.3 | 1500 | 0.0001 | 41.38 | 0.9054 | 681.64 | 0.2972 | 0.8657 |
| 0.20 | 2.3 | 500 | 0.0010 | 35.04 | 0.8689 | 594.11 × 102 | 0.9645 | 0.8181 |
| 0.40 | 2.3 | 500 | 0.0011 | 33.77 | 0.8087 | 193.75 × 102 | 1.0362 | 0.7139 |
| 0.60 | 2.3 | 500 | 0.0014 | 30.53 | 0.8380 | 480.98 | 1.5203 | 0.6791 |
| Q (mL/min) | Z (cm) | C0 (mg/L) | Yoon–Nelson | ||
|---|---|---|---|---|---|
| KYN | τ | R2 | |||
| 0.20 | 4.3 | 500 | 0.3116 | 32.78 | 0.9380 |
| 0.20 | 4.3 | 750 | 0.2821 | 22.68 | 0.9012 |
| 0.20 | 4.3 | 1500 | 0.3634 | 13.93 | 0.8949 |
| 0.20 | 2.3 | 500 | 0.6214 | 7.51 | 0.7407 |
| 0.40 | 2.3 | 500 | 0.4577 | 13.83 | 0.8776 |
| 0.60 | 2.3 | 500 | 0.3637 | 22.31 | 0.8549 |
| Adsorbents | Adsorption Capacity (mg/g) | References |
|---|---|---|
| Dead calcareous skeletons | 38.46 | [70] |
| Natural kaolinite | 15.52 | [71] |
| Chitosan-coated bentonite (multi-metal system) | 13.49 | [40] |
| Clinoptilolite granules | 45.30 | [72] |
| Sand-bone char | 38.17 | [73] |
| Intercalated kaolinite | 52.55 | [71] |
| Chitosan-coated bentonite (single metal system) | 41.38 | This study |
Publisher’s Note: MDPI stays neutral with regard to jurisdictional claims in published maps and institutional affiliations. |
© 2022 by the authors. Licensee MDPI, Basel, Switzerland. This article is an open access article distributed under the terms and conditions of the Creative Commons Attribution (CC BY) license (https://creativecommons.org/licenses/by/4.0/).
Share and Cite
Futalan, C.M.; Wan, M.-W. Fixed-Bed Adsorption of Lead from Aqueous Solution Using Chitosan-Coated Bentonite. Int. J. Environ. Res. Public Health 2022, 19, 2597. https://doi.org/10.3390/ijerph19052597
Futalan CM, Wan M-W. Fixed-Bed Adsorption of Lead from Aqueous Solution Using Chitosan-Coated Bentonite. International Journal of Environmental Research and Public Health. 2022; 19(5):2597. https://doi.org/10.3390/ijerph19052597
Chicago/Turabian StyleFutalan, Cybelle Morales, and Meng-Wei Wan. 2022. "Fixed-Bed Adsorption of Lead from Aqueous Solution Using Chitosan-Coated Bentonite" International Journal of Environmental Research and Public Health 19, no. 5: 2597. https://doi.org/10.3390/ijerph19052597
APA StyleFutalan, C. M., & Wan, M.-W. (2022). Fixed-Bed Adsorption of Lead from Aqueous Solution Using Chitosan-Coated Bentonite. International Journal of Environmental Research and Public Health, 19(5), 2597. https://doi.org/10.3390/ijerph19052597

