The Effects of COVID-19 Lockdown on Air Pollutant Concentrations across China: A Google Earth Engine-Based Analysis
Abstract
1. Introduction
2. Materials and Methods
2.1. Study Area
2.2. Data Sources
2.3. Data Processing
3. Results
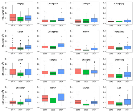
3.1. The Effect of COVID-19 Lockdown on NO2 Concentration
3.2. The Effect of COVID-19 Lockdown on O3 Concentration
3.3. The Effect of COVID-19 Lockdown on CO and SO2 Concentration
4. Discussion
4.1. Response of Different Air Pollutants to the COVID-19 Lockdown
4.2. Limitations and Possible Improvements
5. Conclusions
Author Contributions
Funding
Institutional Review Board Statement
Informed Consent Statement
Data Availability Statement
Conflicts of Interest
References
- Home-Johns Hopkins Coronavirus Resource Center. Available online: https://coronavirus.jhu.edu/ (accessed on 13 September 2022).
- Dominici, F.; McDermott, A.; Daniels, M.; Zeger, S.L.; Samet, J.M. Revised Analyses of the National Morbidity, Mortality, and Air Pollution Study: Mortality among Residents of 90 Cities. J. Toxicol. Environ. Health-Part A 2005, 68, 1071–1092. [Google Scholar] [CrossRef] [PubMed]
- Cao, J.; Yang, C.; Li, J.; Chen, R.; Chen, B.; Gu, D.; Kan, H. Association between Long-Term Exposure to Outdoor Air Pollution and Mortality in China: A Cohort Study. J. Hazard. Mater. 2011, 186, 1594–1600. [Google Scholar] [CrossRef] [PubMed]
- Guan, W.-J.; Zheng, X.-Y.; Chung, K.F.; Zhong, N.-S. Impact of Air Pollution on the Burden of Chronic Respiratory Diseases in China: Time for Urgent Action. Lancet 2016, 388, 1939–1951. [Google Scholar] [CrossRef] [PubMed]
- Jin, Y.; Andersson, H.; Zhang, S. Air Pollution Control Policies in China: A Retrospective and Prospects. Int. J. Environ. Res. Public Health 2016, 13, 1219. [Google Scholar] [CrossRef] [PubMed]
- Wang, S.; Zhao, M.; Xing, J.; Wu, Y.; Zhou, Y.; Lei, Y.; He, K.; Fu, L.; Hao, J. Quantifying the Air Pollutants Emission Reduction during the 2008 Olympic Games in Beijing. Environ. Sci. Technol. 2010, 44, 2490–2496. [Google Scholar] [CrossRef]
- Huang, K.; Zhang, X.; Lin, Y. The “APEC Blue” Phenomenon: Regional Emission Control Effects Observed from Space. Atmos. Res. 2015, 164–165, 65–75. [Google Scholar] [CrossRef]
- Chan, K.L.; Hartl, A.; Lam, Y.F.; Xie, P.H.; Liu, W.Q.; Cheung, H.M.; Lampel, J.; Pöhler, D.; Li, A.; Xu, J.; et al. Observations of Tropospheric NO2 Using Ground Based MAX-DOAS and OMI Measurements during the Shanghai World Expo 2010. Atmos. Environ. 2015, 119, 45–58. [Google Scholar] [CrossRef]
- Esworthy, R. The National Ambient Air Quality Standards (NAAQS) for Particulate Matter (PM): EPA’s 2006 Revisions and Associated Issues; EPA: Washington, DC, USA, 2006; p. 31.
- El-Sayed, M.M.H.; Elshorbany, Y.F.; Koehler, K. On the Impact of the COVID-19 Pandemic on Air Quality in Florida. Environ. Pollut. 2021, 285, 117451. [Google Scholar] [CrossRef]
- Zhang, R.; Wang, Y.; Smeltzer, C.; Qu, H.; Koshak, W.; Boersma, K.F. Comparing OMI-Based and EPA AQS in Situ NO2 Trends: Towards Understanding Surface NOx Emission Changes. Atmos. Meas. Tech. 2018, 11, 3955–3967. [Google Scholar] [CrossRef]
- Berman, J.D.; Ebisu, K. Changes in U.S. Air Pollution during the COVID-19 Pandemic. Sci. Total Environ. 2020, 739, 139864. [Google Scholar] [CrossRef]
- Fan, C.; Li, Y.; Guang, J.; Li, Z.; Elnashar, A.; Allam, M.; de Leeuw, G. The Impact of the Control Measures during the COVID-19 Outbreak on Air Pollution in China. Remote Sens. 2020, 12, 1613. [Google Scholar] [CrossRef]
- Elshorbany, Y.F.; Kapper, H.C.; Ziemke, J.R.; Parr, S.A. The Status of Air Quality in the United States During the COVID-19 Pandemic: A Remote Sensing Perspective. Remote Sens. 2021, 13, 369. [Google Scholar] [CrossRef]
- Sicard, P.; De Marco, A.; Agathokleous, E.; Feng, Z.; Xu, X.; Paoletti, E.; Rodriguez, J.J.D.; Calatayud, V. Amplified Ozone Pollution in Cities during the COVID-19 Lockdown. Sci. Total Environ. 2020, 735, 139542. [Google Scholar] [CrossRef] [PubMed]
- Bekbulat, B.; Apte, J.S.; Millet, D.B.; Robinson, A.; Wells, K.C.; Marshall, J.D. PM2.5 and Ozone Air Pollution Levels Have Not Dropped Consistently Across the US Following Societal Covid Response. ISEE Conf. Abstr. 2020, 2020. [Google Scholar] [CrossRef]
- Chen, L.-W.A.; Chien, L.-C.; Li, Y.; Lin, G. Nonuniform Impacts of COVID-19 Lockdown on Air Quality over the United States. Sci. Total Environ. 2020, 745, 141105. [Google Scholar] [CrossRef] [PubMed]
- Kerimray, A.; Baimatova, N.; Ibragimova, O.P.; Bukenov, B.; Kenessov, B.; Plotitsyn, P.; Karaca, F. Assessing Air Quality Changes in Large Cities during COVID-19 Lockdowns: The Impacts of Traffic-Free Urban Conditions in Almaty, Kazakhstan. Sci. Total Environ. 2020, 730, 139179. [Google Scholar] [CrossRef]
- European Space Agency. TROPOMI Level 2 Nitrogen Dioxide 2021; European Space Agency: Paris, France, 2021. [Google Scholar]
- Sulphur Dioxide. Available online: http://www.tropomi.eu/data-products/sulphur-dioxide (accessed on 14 September 2022).
- Borsdorff, T.; aan de Brugh, J.; Schneider, A.; Lorente, A.; Birk, M.; Wagner, G.; Kivi, R.; Hase, F.; Feist, D.G.; Sussmann, R.; et al. Improving the TROPOMI CO Data Product: Update of the Spectroscopic Database and Destriping of Single Orbits. Atmos. Meas. Tech. 2019, 12, 5443–5455. [Google Scholar] [CrossRef]
- Level 2 Products. Available online: http://www.tropomi.eu/data-products/level-2-products (accessed on 13 September 2022).
- National Health Commission of the People’s Republic of China. Available online: https://www.who.int/westernpacific/about/partnerships/partners/national-health-commission-of-the-people-s-republic-of-china (accessed on 13 September 2022).
- Air Pollution Goes down as Europe Takes Hard Measures to Combat Coronavirus—European Environment Agency. Available online: https://www.eea.europa.eu/highlights/air-pollution-goes-down-as (accessed on 13 September 2022).
- Wang, S.; Yu, S.; Yan, R.; Zhang, Q.; Li, P.; Wang, L.; Liu, W.; Zheng, X. Characteristics and Origins of Air Pollutants in Wuhan, China, Based on Observations and Hybrid Receptor Models. J. Air Waste Manag. Assoc. 2017, 67, 739–753. [Google Scholar] [CrossRef]
- Wang, T.; Xue, L.; Brimblecombe, P.; Lam, Y.F.; Li, L.; Zhang, L. Ozone Pollution in China: A Review of Concentrations, Meteorological Influences, Chemical Precursors, and Effects. Sci. Total Environ. 2017, 575, 1582–1596. [Google Scholar] [CrossRef]
- Araúz, G.S.; Marcos, J.R.; Sanz, S.B. Snow Avalanches in Spain: The Role of Spanish State Meteorological Agency. Advers. Weather Spain 2013, 235. [Google Scholar]
- Pusede, S.E.; Cohen, R.C. On the Observed Response of Ozone to NOx and VOC Reactivity Reductions in San Joaquin Valley California 1995–Present. Atmos. Chem. Phys. 2012, 12, 8323–8339. [Google Scholar] [CrossRef]
- Li, K.; Jacob, D.J.; Liao, H.; Zhu, J.; Shah, V.; Shen, L.; Bates, K.H.; Zhang, Q.; Zhai, S. A Two-Pollutant Strategy for Improving Ozone and Particulate Air Quality in China. Nat. Geosci. 2019, 12, 906–910. [Google Scholar] [CrossRef]
- Wang, C.; Wang, T.; Wang, P.; Wang, W. Assessment of the Performance of TROPOMI NO2 and SO2 Data Products in the North China Plain: Comparison, Correction and Application. Remote Sens. 2022, 14, 214. [Google Scholar] [CrossRef]
- Wang, T.; Wang, P.; Hendrick, F.; Van Roozendael, M. Re-Examine the APEC Blue in Beijing 2014. J. Atmos. Chem. 2018, 75, 235–246. [Google Scholar] [CrossRef]
- Athanassiadou, M.; Baker, J.; Carruthers, D.; Collins, W.; Girnary, S.; Hassell, D.; Hort, M.; Johnson, C.; Johnson, K.; Jones, R.; et al. An Assessment of the Impact of Climate Change on Air Quality at Two UK Sites. Atmos. Environ. 2010, 44, 1877–1886. [Google Scholar] [CrossRef]
- Ali, G.; Abbas, S.; Qamer, F.M.; Wong, M.S.; Rasul, G.; Irteza, S.M.; Shahzad, N. Environmental impacts of shifts in energy, emissions, and urban heat island during the COVID-19 lockdown across Pakistan. J. Clean. Prod. 2021, 291, 125806. [Google Scholar] [CrossRef]
- Ghasempour, F.; Sekertekin, A.; Kutoglu, S.H. Google Earth Engine based spatio-temporal analysis of air pollutants before and during the first wave COVID-19 outbreak over Turkey via remote sensing. J. Clean. Prod. 2021, 319, 128599. [Google Scholar] [CrossRef] [PubMed]
- Miyazaki, K.; Bowman, K.W.; Sekiya, T.; Jiang, Z.; Chen, X.; Eskes, H.; Ru, M.; Zhang, Y.; Shindell, D.T. Air Quality Response in China Linked to the 2019 Novel Coronavirus (COVID-19) Mitigation; Earth and Space Science Open Archive ESSOAr: Washington, DC, USA, 2020. [Google Scholar]





| Population of Permanent Residents (Million) | Possession of Private Vehicles (Million) | |
|---|---|---|
| Wuhan | 12.45 | 3.67 |
| Megacities | ||
| Beijing | 21.89 | 5.08 |
| Shanghai | 24.87 | 3.66 |
| Guangzhou | 18.74 | 2.34 |
| Shenzhen | 17.63 | 2.80 |
| Industrial cities | ||
| Harbin | 10.01 | 1.94 |
| Xi’an | 12.95 | 3.61 |
| Tianjin | 13.87 | 2.79 |
| Dalian | 7.45 | 1.57 |
| Shenyang | 9.07 | 2.33 |
| Chengdu | 20.93 | 4.56 |
| Major cities | ||
| Jinan | 11.94 | 2.51 |
| Hangzhou | 9.07 | 2.28 |
| Changchun | 32.05 | 1.88 |
| Chongqing | 9.32 | 6.97 |
| Nanjing | 12.45 | 2.16 |
| Resolution | Product | Band Name (Units) |
|---|---|---|
| 0.01 arc degrees | GEE Sentinel-5P OFFL NO2 | tropospheric_NO2_column_number_density (mol/m2) |
| 0.01 arc degrees | GEE Sentinel-5P OFFL O3 | O3_column_number_density (mol/m2) |
| 0.01 arc degrees | GEE Sentinel-5P OFFL SO2 | SO2_column_number_density (mol/m2) |
| 0.01 arc degrees | GEE Sentinel-5P OFFL CO | CO_column_number_density (mol/m2) |
| 2019 | 2020 | 2021 | Change from 2019 to 2020 (%) | p (2019 and 2020) | p (2019 and 2021) | |
|---|---|---|---|---|---|---|
| Wuhan | 0.108 | 0.059 | 0.105 | −45.1% | 0 | 0.781 |
| Megacities | ||||||
| Beijing | 0.131 | 0.086 | 0.11 | −34.3% | 0.001 | 0.267 |
| Shanghai | 0.195 | 0.144 | 0.17 | −26.2% | 0.023 | 0.335 |
| Guangzhou | 0.099 | 0.088 | 0.125 | −11.2% | 0.274 | 0.001 |
| Shenzhen | 0.107 | 0.101 | 0.137 | −5.5% | 0.082 | 0.001 |
| mean | 0.133 | 0.105 | 0.136 | −21.2% | ||
| Industrial cities | ||||||
| Harbin | 0.039 | 0.028 | 0.048 | −27.3% | 0 | 0.055 |
| Xi’an | 0.103 | 0.075 | 0.116 | −27.0% | 0.003 | 0.306 |
| Tianjin | 0.189 | 0.141 | 0.198 | −25.5% | 0.001 | 0.465 |
| Dalian | 0.08 | 0.064 | 0.09 | −20.5% | 0.011 | 0.429 |
| Shenyang | 0.085 | 0.073 | 0.113 | −13.6% | 0.147 | 0.059 |
| Chengdu | 0.049 | 0.052 | 0.068 | 6.0% | 0.905 | 0.004 |
| mean | 0.091 | 0.072 | 0.105 | −20.5% | ||
| Major cities | ||||||
| Jinan | 0.164 | 0.106 | 0.154 | −35.1% | 0 | 0.522 |
| Hangzhou | 0.082 | 0.062 | 0.082 | −23.7% | 0.088 | 0.796 |
| Changchun | 0.056 | 0.043 | 0.073 | −23.3% | 0.001 | 0.051 |
| Chongqing | 0.04 | 0.034 | 0.046 | −15.0% | 0.029 | 0.04 |
| Nanjing | 0.145 | 0.125 | 0.16 | −13.7% | 0.04 | 0.261 |
| mean | 0.097 | 0.074 | 0.103 | −23.8% |
| 2019 | 2020 | 2021 | Change from 2019 to 2020 (%) | p (2019 and 2020) | p (2019 and 2021) | |
|---|---|---|---|---|---|---|
| Wuhan | 123.801 | 138.316 | 131.620 | 11.7% | 2.56 × 10−19 | 1.17 × 10−09 |
| Megacities | ||||||
| Beijing | 161.902 | 165.026 | 161.655 | 1.9% | 0.185 | 0.682 |
| Shanghai | 125.348 | 139.559 | 133.376 | 11.3% | 2.98 × 10−14 | 6.68 × 10−08 |
| Guangzhou | 111.315 | 121.632 | 121.801 | 9.3% | 8.20 × 10−13 | 1.15 × 10−12 |
| Shenzhen | 111.000 | 120.832 | 121.443 | 8.9% | 2.01 × 10−12 | 4.72 × 10−13 |
| Mean | 127.391 | 136.762 | 134.569 | 7.4% | ||
| Industrial cities | ||||||
| Harbin | 189.252 | 182.344 | 182.487 | −3.7% | 0.023 | 0.023 |
| Xi’an | 133.127 | 146.500 | 137.691 | 10.1% | 6.34 × 10−15 | 0.003 |
| Tianjin | 158.855 | 164.369 | 159.345 | 3.5% | 0.020 | 0.868 |
| Dalian | 164.119 | 168.556 | 163.035 | 2.7% | 0.077 | 0.477 |
| Shenyang | 174.443 | 173.878 | 172.544 | −0.3% | 0.807 | 0.309 |
| Chengdu | 122.671 | 138.664 | 130.165 | 13.0% | 1.24 × 10−22 | 7.26 × 10−12 |
| Mean | 157.078 | 162.385 | 157.545 | 3.4% | ||
| Major cities | ||||||
| Jinan | 146.714 | 156.866 | 149.061 | 6.9% | 8.60 × 10−7 | 0.257 |
| Hangzhou | 120.615 | 135.060 | 129.740 | 12.0% | 2.08 × 10−16 | 8.73 × 10−11 |
| Changchun | 183.640 | 179.405 | 178.212 | −2.3% | 0.214 | 0.057 |
| Chongqing | 121.532 | 136.601 | 129.294 | 12.4% | 5.22 × 10−22 | 3.51 × 10−12 |
| Nanjing | 127.820 | 141.681 | 134.945 | 10.8% | 3.33 × 10−14 | 8.42 × 10−7 |
| Mean | 140.064 | 149.923 | 144.251 | 7.0% |
| CO | SO2 | |||||||
|---|---|---|---|---|---|---|---|---|
| 2019 | 2020 | 2021 | p (2019 and 2020) | 2019 | 2020 | 2021 | p (2019 and 2020) | |
| Wuhan | 57.745 | 58.045 | 60.134 | 0.776 | 0.196 | 0.175 | 0.158 | 0.983 |
| Megacities | ||||||||
| Beijing | 50.110 | 48.582 | 48.788 | 0.546 | 0.363 | 0.411 | 0.495 | 0.422 |
| Shanghai | 55.405 | 55.657 | 54.169 | 0.904 | 0.214 | 0.205 | 0.195 | 0.741 |
| Guangzhou | 55.871 | 58.861 | 56.953 | 0.105 | 0.055 | 0.007 | 0.002 | 0.535 |
| Shenzhen | 53.429 | 56.323 | 54.655 | 0.164 | 0.061 | 0.058 | 0.050 | 0.002 |
| Mean | 53.704 | 54.856 | 53.641 | 0.143 | 0.171 | 0.185 | ||
| Industrial cities | ||||||||
| Harbin | 43.418 | 45.140 | 44.141 | 0.413 | 0.542 | 0.402 | 0.383 | 0.277 |
| Xian | 44.402 | 42.510 | 43.981 | 0.229 | 0.217 | 0.315 | 0.268 | 0.050 |
| Tianjin | 56.879 | 55.119 | 55.162 | 0.546 | 0.379 | 0.346 | 0.436 | 0.611 |
| Dalian | 53.090 | 50.707 | 53.486 | 0.860 | 0.378 | 0.390 | 0.457 | 0.874 |
| Shenyang | 49.283 | 49.473 | 51.994 | 0.228 | 0.488 | 0.457 | 0.586 | 0.771 |
| Chengdu | 39.187 | 41.071 | 42.808 | 0.254 | 0.036 | 0.104 | 0.024 | 0.039 |
| Mean | 47.710 | 47.337 | 48.595 | 0.340 | 0.336 | 0.359 | ||
| Other major cities | ||||||||
| Jinan | 56.958 | 54.500 | 54.731 | 0.113 | 0.321 | 0.322 | 0.331 | 0.389 |
| Hangzhou | 53.385 | 56.011 | 56.659 | 0.215 | 0.140 | 0.150 | 0.142 | 0.423 |
| Changchun | 45.254 | 47.441 | 46.726 | 0.529 | 0.578 | 0.445 | 0.585 | 0.328 |
| Chongqing | 47.707 | 49.509 | 50.768 | 0.151 | 0.102 | 0.109 | 0.101 | 0.343 |
| Nanjing | 55.346 | 58.741 | 59.606 | 0.041 | 0.211 | 0.284 | 0.202 | 0.537 |
| Mean | 51.730 | 53.240 | 53.698 | 0.270 | 0.262 | 0.272 | ||
Publisher’s Note: MDPI stays neutral with regard to jurisdictional claims in published maps and institutional affiliations. |
© 2022 by the authors. Licensee MDPI, Basel, Switzerland. This article is an open access article distributed under the terms and conditions of the Creative Commons Attribution (CC BY) license (https://creativecommons.org/licenses/by/4.0/).
Share and Cite
Wang, S.; Chu, H.; Gong, C.; Wang, P.; Wu, F.; Zhao, C. The Effects of COVID-19 Lockdown on Air Pollutant Concentrations across China: A Google Earth Engine-Based Analysis. Int. J. Environ. Res. Public Health 2022, 19, 17056. https://doi.org/10.3390/ijerph192417056
Wang S, Chu H, Gong C, Wang P, Wu F, Zhao C. The Effects of COVID-19 Lockdown on Air Pollutant Concentrations across China: A Google Earth Engine-Based Analysis. International Journal of Environmental Research and Public Health. 2022; 19(24):17056. https://doi.org/10.3390/ijerph192417056
Chicago/Turabian StyleWang, Siyu, Haijiao Chu, Changyu Gong, Ping Wang, Fei Wu, and Chunhong Zhao. 2022. "The Effects of COVID-19 Lockdown on Air Pollutant Concentrations across China: A Google Earth Engine-Based Analysis" International Journal of Environmental Research and Public Health 19, no. 24: 17056. https://doi.org/10.3390/ijerph192417056
APA StyleWang, S., Chu, H., Gong, C., Wang, P., Wu, F., & Zhao, C. (2022). The Effects of COVID-19 Lockdown on Air Pollutant Concentrations across China: A Google Earth Engine-Based Analysis. International Journal of Environmental Research and Public Health, 19(24), 17056. https://doi.org/10.3390/ijerph192417056
