A Low-Cost Electrochemical Method for the Determination of Sulfadiazine in Aquaculture Wastewater
Abstract
1. Introduction
2. Experimental Section
2.1. Reagents and Instruments
2.2. Pretreatment of Electrodes
2.3. Preparation of the Standard Solution
2.4. Electrochemical Determination of SDZ
3. Results and Discussion
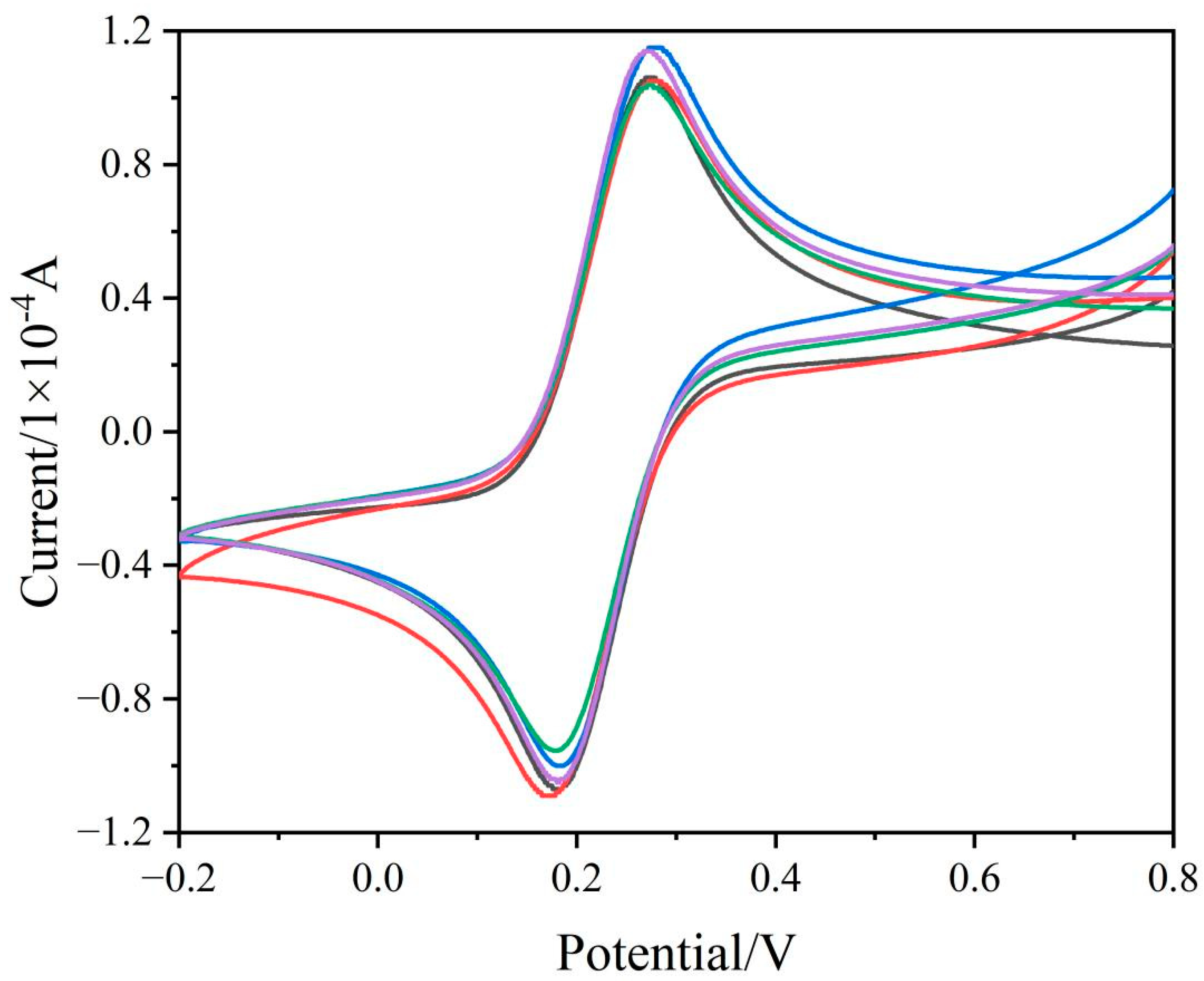
3.1. Polishing of the Electrode
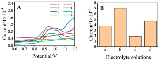
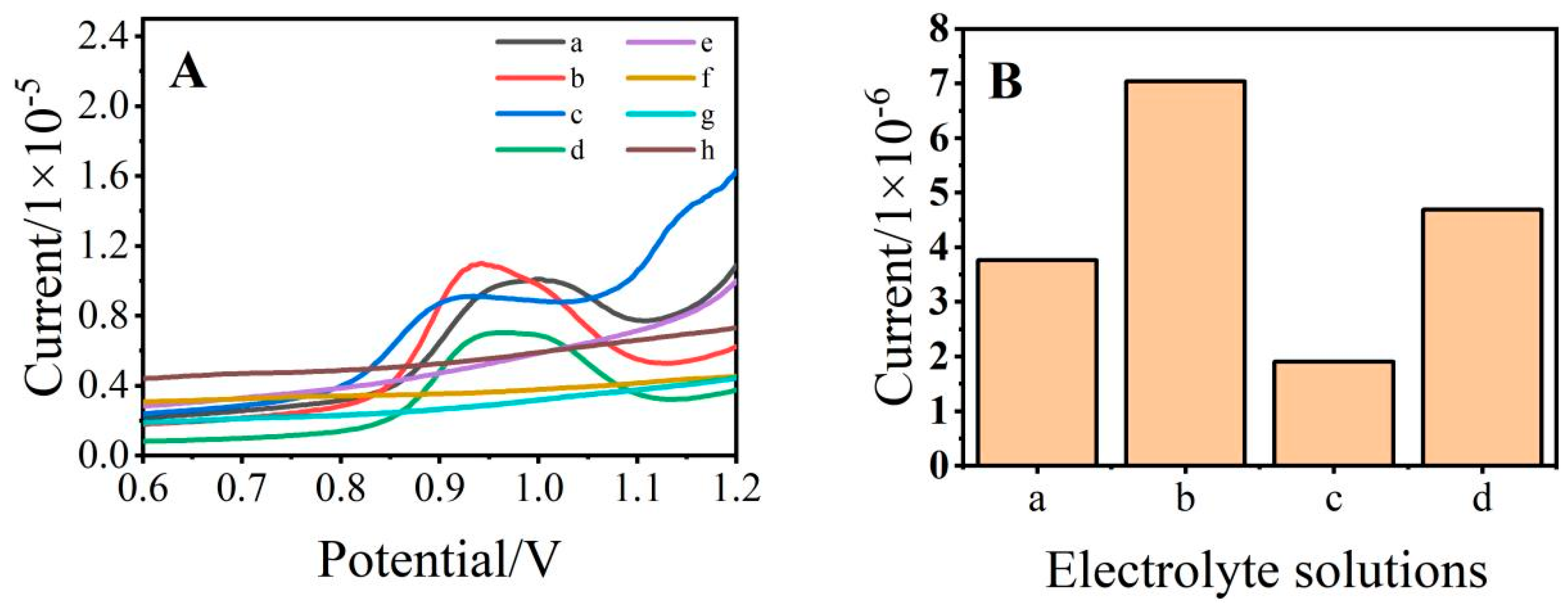
3.2. Comparison of Electrolyte Solutions
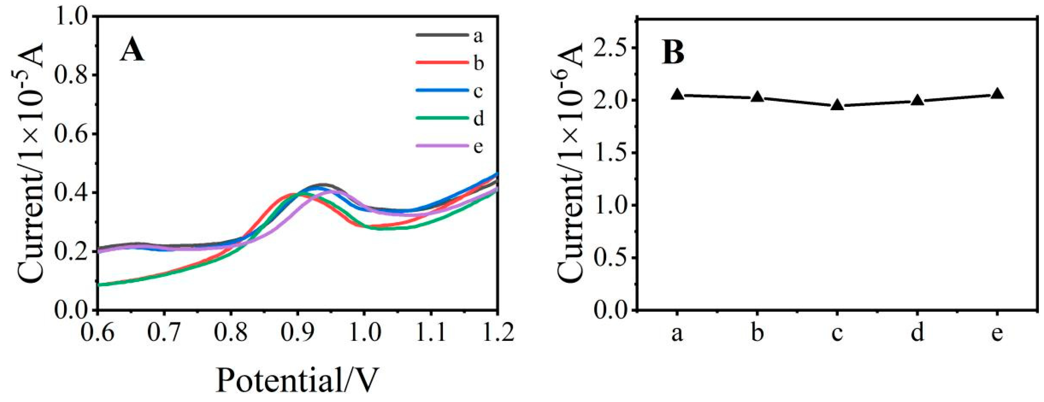
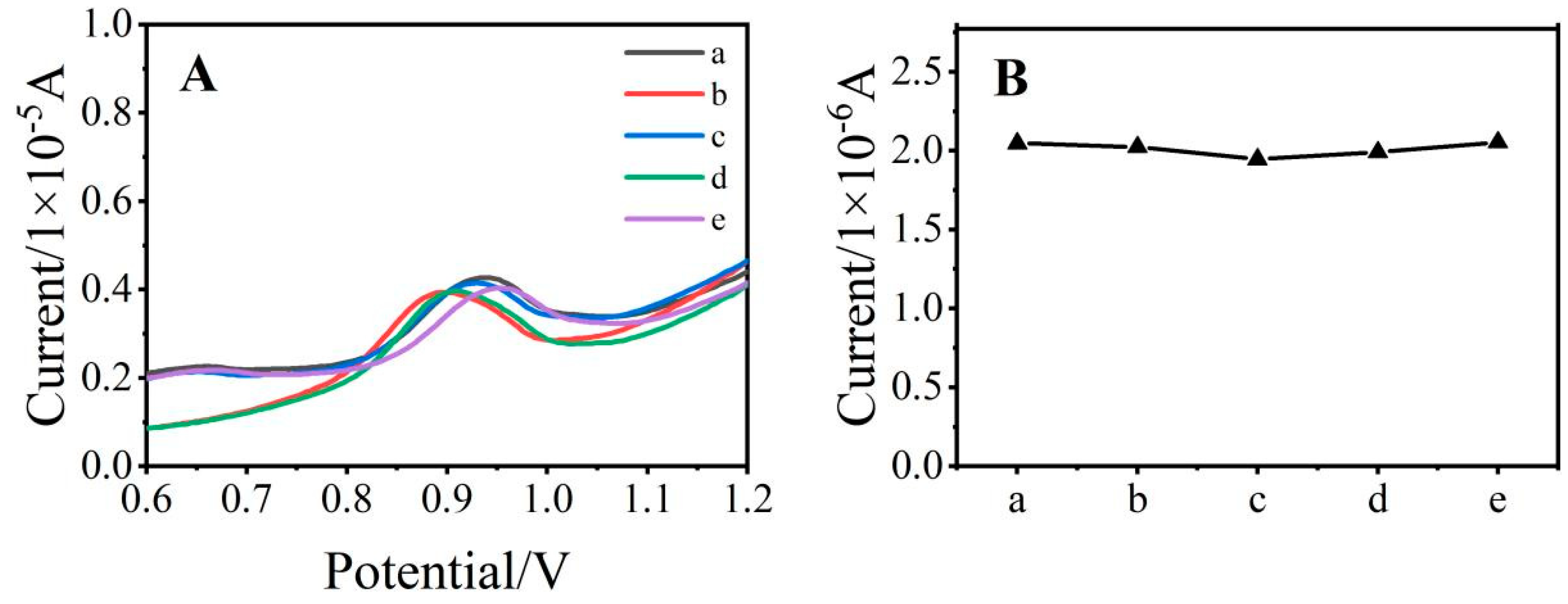
3.3. Comparison of Electrolyte pH Affecting Current Strength
3.4. Analytical Performance of the Sensor
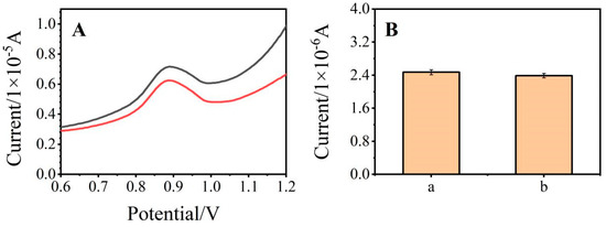
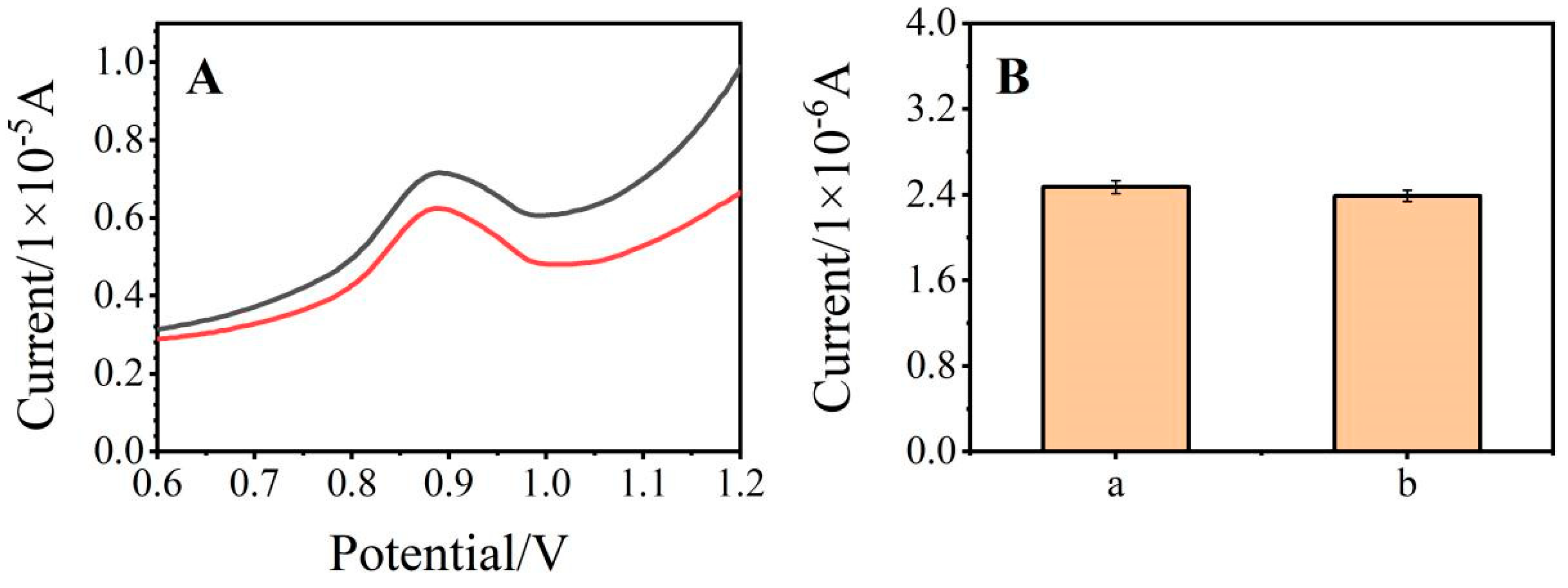
3.5. Sensor Reproducibility and Interference Immunity
3.6. Practical Sample Application
4. Conclusions
Supplementary Materials
Author Contributions
Funding
Institutional Review Board Statement
Informed Consent Statement
Data Availability Statement
Conflicts of Interest
References
- Yuan, S.-F.; Liu, Z.-H.; Yin, H.; Dang, Z.; Wu, P.-X.; Zhu, N.-W.; Lin, Z. Trace determination of sulfonamide antibiotics and their acetylated metabolites via SPE-LC-MS/MS in wastewater and insights from their occurrence in a municipal wastewater treatment plant. Sci. Total Environ. 2019, 653, 815–821. [Google Scholar] [CrossRef] [PubMed]
- Aminov, R.I.; Mackie, R.I. Evolution and ecology of antibiotic resistance genes. FEMS Microbiol. Lett. 2007, 271, 147–161. [Google Scholar] [CrossRef] [PubMed]
- Corpuz, M.V.A.; Buonerba, A.; Vigliotta, G.; Zarra, T.; Ballesteros, F., Jr.; Campiglia, P.; Belgiorno, V.; Korshin, G.; Naddeo, V. Viruses in wastewater: Occurrence, abundance and detection methods. Sci. Total Environ. 2020, 745, 140910. [Google Scholar] [CrossRef] [PubMed]
- Bouki, C.; Venieri, D.; Diamadopoulos, E. Detection and fate of antibiotic resistant bacteria in wastewater treatment plants: A review. Ecotoxicol. Environ. Saf. 2013, 91, 1–9. [Google Scholar] [CrossRef] [PubMed]
- Liu, Y.; Tay, J.-H. State of the art of biogranulation technology for wastewater treatment. Biotechnol. Adv. 2004, 22, 533–563. [Google Scholar] [CrossRef] [PubMed]
- Shannon, K.; Lee, D.-Y.; Trevors, J.; Beaudette, L. Application of real-time quantitative PCR for the detection of selected bacterial pathogens during municipal wastewater treatment. Sci. Total Environ. 2007, 382, 121–129. [Google Scholar] [CrossRef]
- Crini, G.; Lichtfouse, E. Advantages and disadvantages of techniques used for wastewater treatment. Environ. Chem. Lett. 2019, 17, 145–155. [Google Scholar] [CrossRef]
- Cheng, D.; Ngo, H.H.; Guo, W.; Chang, S.W.; Nguyen, D.D.; Liu, Y.; Wei, Q.; Wei, D. A critical review on antibiotics and hormones in swine wastewater: Water pollution problems and control approaches. J. Hazard. Mater. 2020, 387, 121682. [Google Scholar] [CrossRef]
- Sun, C.; Chen, X.; Ma, C.; Cao, L.; Yang, J. Pr-Si co-doped IrOx as promoted anode for refractory SDZ degradation. J. Electroanal. Chem. 2021, 881, 114954. [Google Scholar] [CrossRef]
- Stange, C.; Tiehm, A. Occurrence of antibiotic resistance genes and microbial source tracking markers in the water of a karst spring in Germany. Sci. Total Environ. 2020, 742, 140529. [Google Scholar] [CrossRef]
- Wang, L.; You, L.; Zhang, J.; Yang, T.; Zhang, W.; Zhang, Z.; Liu, P.; Wu, S.; Zhao, F.; Ma, J. Biodegradation of sulfadiazine in microbial fuel cells: Reaction mechanism, biotoxicity removal and the correlation with reactor microbes. J. Hazard. Mater. 2018, 360, 402–411. [Google Scholar] [CrossRef] [PubMed]
- Reichel, R.; Rosendahl, I.; Peeters, E.T.H.M.; Focks, A.; Groeneweg, J.; Bierl, R.; Schlichting, A.; Amelung, W.; Thiele-Bruhn, S. Effects of slurry from sulfadiazine- (SDZ) and difloxacin- (DIF) medicated pigs on the structural diversity of microorganisms in bulk and rhizosphere soil. Soil Biol. Biochem. 2013, 62, 82–91. [Google Scholar] [CrossRef]
- Kovalakova, P.; Cizmas, L.; McDonald, T.J.; Marsalek, B.; Feng, M.; Sharma, V.K. Occurrence and toxicity of antibiotics in the aquatic environment: A review. Chemosphere 2020, 251, 126351. [Google Scholar] [CrossRef] [PubMed]
- Zhou, J.; Yun, X.; Wang, J.; Li, Q.; Wang, Y. A review on the ecotoxicological effect of sulphonamides on aquatic organisms. Toxicol. Rep. 2022, 9, 534–540. [Google Scholar] [CrossRef] [PubMed]
- Arroyo-Manzanares, N.; Gámiz-Gracia, L.; García-Campaña, A.M. Alternative sample treatments for the determination of sulfonamides in milk by HPLC with fluorescence detection. Food Chem. 2014, 143, 459–464. [Google Scholar] [CrossRef]
- Lian, Z.; He, X.; Wang, J. Determination of sulfadiazine in Jiaozhou Bay using molecularly imprinted solid-phase extraction followed by high-performance liquid chromatography with a diode-array detector. J. Chromatogr. B 2014, 957, 53–59. [Google Scholar] [CrossRef]
- Won, S.Y.; Lee, C.H.; Chang, H.S.; Kim, S.O.; Lee, S.H.; Kim, D.S. Monitoring of 14 sulfonamide antibiotic residues in marine products using HPLC-PDA and LC-MS/MS. Food Control 2011, 22, 1101–1107. [Google Scholar] [CrossRef]
- Kazemi, E.; Dadfarnia, S.; Haji Shabani, A.M.; Fattahi, M.R.; Khodaveisi, J. Indirect spectrophotometric determination of sulfadiazine based on localized surface plasmon resonance peak of silver nanoparticles after cloud point extraction. Spectrochim. Acta Part A Mol. Biomol. Spectrosc. 2017, 187, 30–35. [Google Scholar] [CrossRef]
- Malá, Z.; Gebauer, P.; Boček, P. New methodology for capillary electrophoresis with ESI-MS detection: Electrophoretic focusing on inverse electromigration dispersion gradient. High-sensitivity analysis of sulfonamides in waters. Anal. Chim. Acta 2016, 935, 249–257. [Google Scholar] [CrossRef]
- You, T.; Yang, X.; Wang, E. Determination of sulfadiazine and sulfamethoxazole by capillary electrophoresis with end-column electrochemical detection. Analyst 1998, 123, 2357–2360. [Google Scholar] [CrossRef]
- Ramya, M.; Senthil Kumar, P.; Rangasamy, G.; Uma Shankar, V.; Rajesh, G.; Nirmala, K.; Saravanan, A.; Krishnapandi, A. A recent advancement on the applications of nanomaterials in electrochemical sensors and biosensors. Chemosphere 2022, 308, 136416. [Google Scholar] [CrossRef] [PubMed]
- Sun, Y.; He, J.; Waterhouse, G.I.N.; Xu, L.; Zhang, H.; Qiao, X.; Xu, Z. A selective molecularly imprinted electrochemical sensor with GO@COF signal amplification for the simultaneous determination of sulfadiazine and acetaminophen. Sens. Actuators B Chem. 2019, 300, 126993. [Google Scholar] [CrossRef]
- Kokulnathan, T.; Kumar, E.A.; Wang, T.-J.; Cheng, I.C. Strontium tungstate-modified disposable strip for electrochemical detection of sulfadiazine in environmental samples. Ecotoxicol. Environ. Saf. 2021, 208, 111516. [Google Scholar] [CrossRef] [PubMed]
- Ding, H.; Jiao, H.-F.; Shi, X.-Z.; Sun, A.-L.; Guo, X.-Q.; Li, D.-X.; Chen, J. Molecularly imprinted optosensing sensor for highly selective and sensitive recognition of sulfadiazine in seawater and shrimp samples. Sens. Actuators B Chem. 2017, 246, 510–517. [Google Scholar] [CrossRef]
- Yue, H.; Ling, C.; Yang, T.; Chen, X.; Chen, Y.; Deng, H.; Wu, Q.; Chen, J.; Chen, G.-Q. A seawater-based open and continuous process for polyhydroxyalkanoates production by recombinant Halomonas campaniensis LS21 grown in mixed substrates. Biotechnol. Biofuels 2014, 7, 1–12. [Google Scholar] [CrossRef]
- Kuang, M.; Hu, X.; Yang, G.; Wang, J.; Yuan, G.; Tao, C.; Wu, S.; Ding, J.; Meng, X. Seawater/alkaline liquid cascade-scrubbing desulfurization performance for the exhaust gas of a 162-kW marine diesel engine. Asia-Pac. J. Chem. Eng. 2019, 14, e2370. [Google Scholar] [CrossRef]
- Sun, B.; Zhang, F.; Gao, M.; Zhao, S.; Wang, J.; Zhang, W.; Wang, Z.; Wang, J. Superhydrophilic Stainless Steel Mesh for Oil–Water Separation with Long-Term Durability, Impressive Corrosion Resistance, and Abrasion Resistance. Adv. Eng. Mater. 2020, 22, 2000262. [Google Scholar] [CrossRef]
- Wu, S.; Kuang, M.; Zhao, M.; Yang, G.; Geng, X.; Hu, X.; Huang, J. ASPEN PLUS desulfurization simulations for the scrubber of a large-scale marine diesel engine: Main scrubbing section’s desulfurization share optimization and superiority confirmation for the seawater/seawater cascade-scrubbing solution. Environ. Sci. Pollut. Res. 2021, 28, 22131–22145. [Google Scholar] [CrossRef]
- Cheng, D.; Ngo, H.; Guo, W.; Liu, Y.; Zhou, J.; Chang, S.; Nguyen, D.; Bui, X.; Zhang, X. Bioprocessing for elimination antibiotics and hormones from swine wastewater. Sci. Total Environ. 2018, 621, 1664–1682. [Google Scholar] [CrossRef]
- Carvalho, F.M.; Só, Y.A.d.O.; Wernik, A.S.K.; Silva, M.d.A.; Gargano, R. Accurate acid dissociation constant (pKa) calculation for the sulfachloropyridazine and similar molecules. J. Mol. Model. 2021, 27, 1–9. [Google Scholar] [CrossRef]
- Yu, C.; Hu, B. C18-coated stir bar sorptive extraction combined with high performance liquid chromatography–electrospray tandem mass spectrometry for the analysis of sulfonamides in milk and milk powder. Talanta 2012, 90, 77–84. [Google Scholar] [CrossRef]
- Dos Louros, V.L.; Silva, C.P.; Nadais, H.; Otero, M.; Esteves, V.I.; Lima, D.L. Photodegradation of sulfadiazine in different aquatic environments–evaluation of influencing factors. Environ. Res. 2020, 188, 109730. [Google Scholar] [CrossRef] [PubMed]
- Sakthivel, R.; Kubendhiran, S.; Chen, S.-M.; Chen, T.-W.; Al-Zaqri, N.; Alsalme, A.; Alharthi, F.A.; Abu Khanjer, M.M.; Tseng, T.-W.; Huang, C.-C. Exploring the promising potential of MoS2–RuS2 binary metal sulphide towards the electrocatalysis of antibiotic drug sulphadiazine. Anal. Chim. Acta 2019, 1086, 55–65. [Google Scholar] [CrossRef] [PubMed]
- Jerome, R.; Sundramoorthy, A.K. Preparation of hexagonal boron nitride doped graphene film modified sensor for selective electrochemical detection of nicotine in tobacco sample. Anal. Chim. Acta 2020, 1132, 110–120. [Google Scholar] [CrossRef]
- Braga, O.C.; Campestrini, I.; Vieira, I.C.; Spinelli, A. Sulfadiazine determination in pharmaceuticals by electrochemical reduction on a glassy carbon electrode. J. Braz. Chem. Soc. 2010, 21, 813–820. [Google Scholar] [CrossRef]
- He, B.-S.; Chen, W.-B. Voltammetric determination of sulfonamides with a modified glassy carbon electrode using carboxyl multiwalled carbon nanotubes. J. Braz. Chem. Soc. 2016, 27, 2216–2225. [Google Scholar] [CrossRef]
- Fotouhi, L.; Hashkavayi, A.B.; Heravi, M.M. Electrochemical behaviour and voltammetric determination of sulphadiazine using a multi-walled carbon nanotube composite film-glassy carbon electrode. J. Exp. Nanosci. 2013, 8, 947–956. [Google Scholar] [CrossRef]







| Samples | Detection (μmol/L) | Spiked Level (μmol/L) | Found Level (μmol/L) | Recovery % |
|---|---|---|---|---|
| Aquaculture wastewater | nd | 50.00 | 43.75 | 87.50 |
| nd | 100.00 | 92.75 | 92.75 | |
| nd | 150.00 | 135.76 | 90.51 |
Publisher’s Note: MDPI stays neutral with regard to jurisdictional claims in published maps and institutional affiliations. |
© 2022 by the authors. Licensee MDPI, Basel, Switzerland. This article is an open access article distributed under the terms and conditions of the Creative Commons Attribution (CC BY) license (https://creativecommons.org/licenses/by/4.0/).
Share and Cite
Liu, Y.; Chen, J.; Hu, H.; Qu, K.; Cui, Z. A Low-Cost Electrochemical Method for the Determination of Sulfadiazine in Aquaculture Wastewater. Int. J. Environ. Res. Public Health 2022, 19, 16945. https://doi.org/10.3390/ijerph192416945
Liu Y, Chen J, Hu H, Qu K, Cui Z. A Low-Cost Electrochemical Method for the Determination of Sulfadiazine in Aquaculture Wastewater. International Journal of Environmental Research and Public Health. 2022; 19(24):16945. https://doi.org/10.3390/ijerph192416945
Chicago/Turabian StyleLiu, Yang, Jianlei Chen, Haiyan Hu, Keming Qu, and Zhengguo Cui. 2022. "A Low-Cost Electrochemical Method for the Determination of Sulfadiazine in Aquaculture Wastewater" International Journal of Environmental Research and Public Health 19, no. 24: 16945. https://doi.org/10.3390/ijerph192416945
APA StyleLiu, Y., Chen, J., Hu, H., Qu, K., & Cui, Z. (2022). A Low-Cost Electrochemical Method for the Determination of Sulfadiazine in Aquaculture Wastewater. International Journal of Environmental Research and Public Health, 19(24), 16945. https://doi.org/10.3390/ijerph192416945
