In Search for an Ionic Liquid with the Best Performance during 210Pb/210Bi Cherenkov Counting in Waters on an LS Counter
Abstract
1. Introduction
2. Materials and Methods
2.1. Instrumentation and Materials
2.2. IL Synthesis
2.2.1. Synthesis of 1-Butyl-3-Methylimidazolium-Based Ionic Liquids
2.2.2. Synthesis of Ionic Liquid 2-Hydroxypropylammonium Salicylate
2.3. Molecular Simulations
3. Results and Discussion
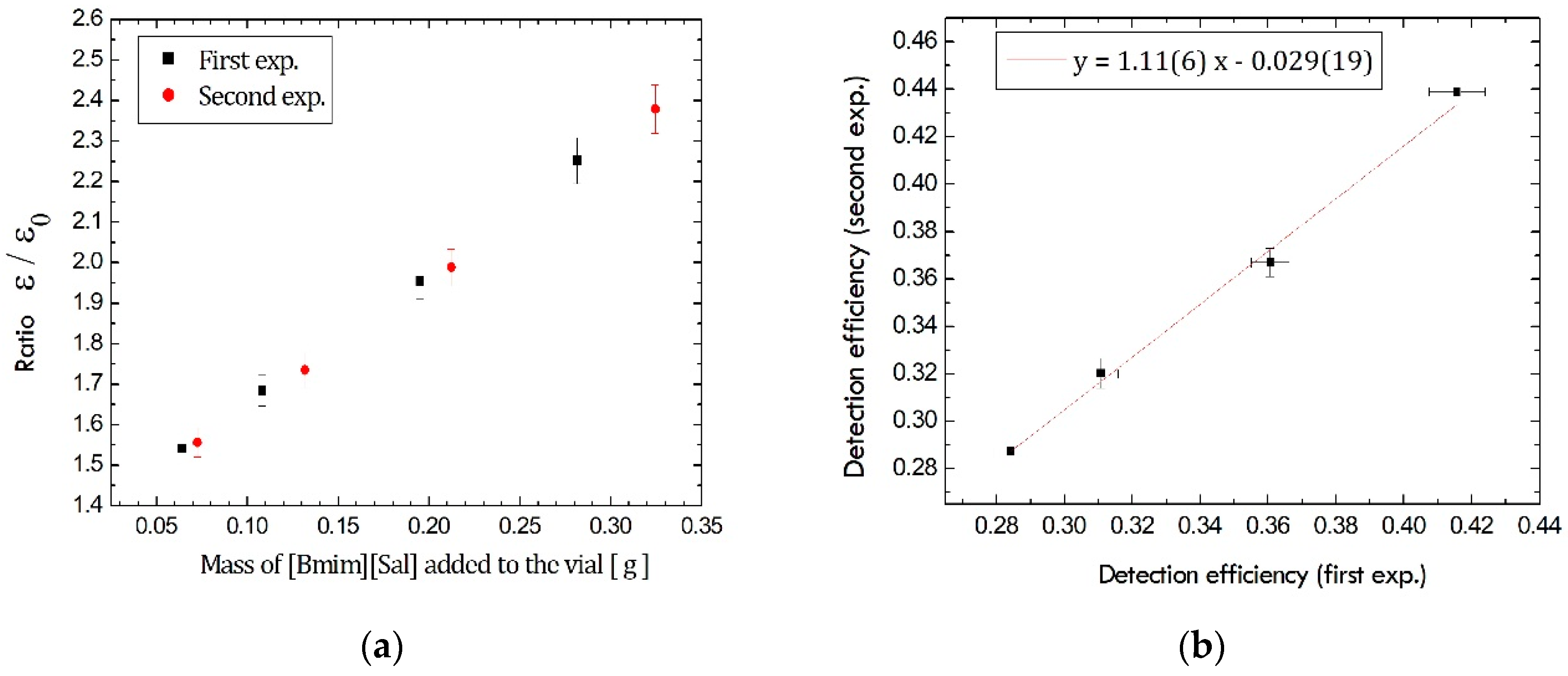
3.1. IL’s Influence on the Detection Efficiency of Cherenkov Counting
Reproducibility Investigation
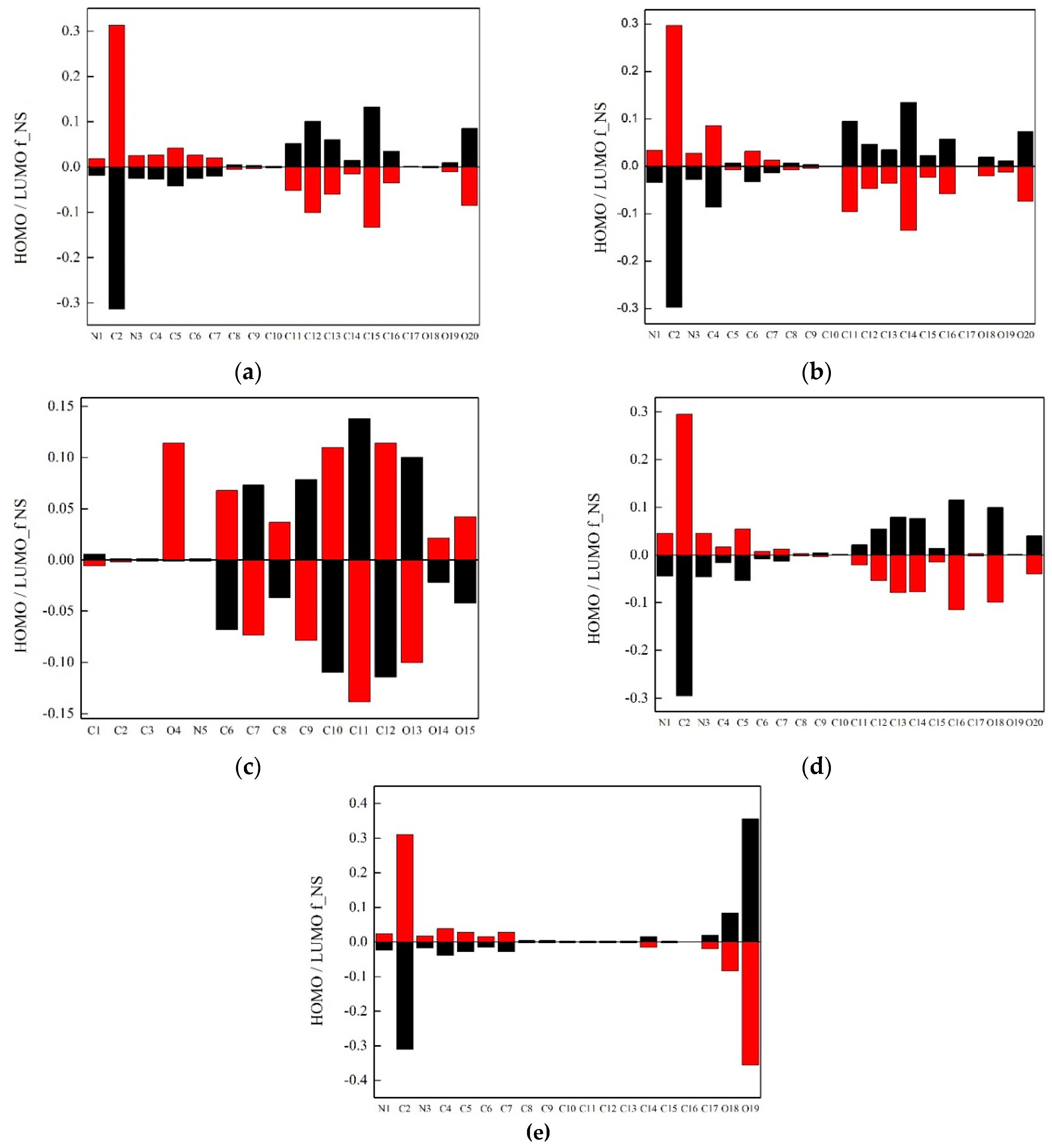
3.2. Results of Molecular Simulations
4. Conclusions
Author Contributions
Funding
Institutional Review Board Statement
Informed Consent Statement
Data Availability Statement
Conflicts of Interest
Appendix A
| Chemical Name | Structure | Source | CAS Number | Molar Mass | Mass Fraction Purity |
|---|---|---|---|---|---|
| 1-amino-2-propanol | ![]() | Sigma Aldrich | 48-96-6 | 75.11 | 93% |
| 1-butyl-3-methylimidazolium chloride | ![]() | TCI Europe | 79917-90-1 | 174.67 | ≥98% |
| Salicylic acid | ![]() | Sigma Aldrich | 69-72-7 | 138.12 | ≥99% |
| Sodium benzoate | ![]() | TCI Europe | 532-32-1 | 144.10 | >98% |
| Sodium salicylate | ![]() | Sigma Aldrich | 54-21-7 | 160.11 | ≥99.5% |
| Sodium-3-hydroxybenzoate | ![]() | TCI Europe | 7720-19-6 | 160.11 | ≥99% |
| Sodium-4-hydroxybenzoate | ![]() | Sigma Aldrich | 114-63-6 | 160.11 | ≥96% |
| Acetone | ![]() | Lachner | 67-64-1 | 58.08 | ≥99% |
| Methanol | ![]() | Sigma Aldrich | 57-56-1 | 32.04 | ≥99.8% |










References
- World Health Organization. Guidelines for Drinking-Water Quality, 4th ed.; WHO Press: Genève, Switzerland, 2011; ISBN 9789241548151. [Google Scholar]
- Wei, C.-L.; Lin, S.-Y.; Wen, L.-S.; Sheu, D.-D. Geochemical behavior of 210Pb and 210Po in the nearshore waters off western Taiwan. Mar. Pollut. Bull. 2012, 64, 214–220. [Google Scholar] [CrossRef]
- Murray, J.W.; Paul, B.; Dunne, J.P.; Chapin, T. 234Th, 210Pb, 210Po and stable Pb in the central equatorial Pacific: Tracers for particle cycling. Deep-Sea Res. Pt. I 2005, 52, 2109–2139. [Google Scholar] [CrossRef]
- Kim, T.H.; Kim, G. Important role of colloids in the cycling of 210Po and 210Pb in the ocean: Results from the East/Japan Sea. Geochim. Cosmochim. Acta 2012, 95, 134–142. [Google Scholar] [CrossRef]
- Larivière, D.; Reiber, K.M.; Evans, R.D.; Cornett, R.J. Determination of 210Pb at ultra-trace levels in water by ICP-MS. Anal. Chim. Acta 2005, 549, 188–196. [Google Scholar] [CrossRef]
- Grahek, Ž.; Rožmarić Mačefat, M.; Lulić, S. Isolation of lead from water samples and determination of 210Pb. Anal. Chim. Acta 2006, 560, 84–93. [Google Scholar] [CrossRef]
- Villa, M.; Hurtado, S.; Manjón, G.; García-Tenorio, R. Calibration and measurement of 210Pb using two independent techniques. Radiat. Meas. 2007, 42, 1552–1560. [Google Scholar] [CrossRef]
- Arinc, A.; Johansson, L.C.; Gilligan, C.R.D.; Pearce, A.K. Standardization of 210Pb by Čerenkov counting. Appl. Radiat. Isot. 2011, 69, 768–772. [Google Scholar] [CrossRef]
- Johansson, L.Y. Determination of Pb-210 and Po-210 in Aqueous Environmental Samples. Doctoral Dissertation, Faculty of Natural Sciences, Gottfried Wilhelm Leibniz Universität Hannover, Hannover, Germany, 28 July 2008. Available online: https://www.nrc.gov/docs/ML1105/ML110560301.pdf (accessed on 25 February 2022).
- Al-Marri, M.S.; Hamwi, A.; Mikhlallaty, H. Radiochemical determination of lead-210 in environmental water samples using Cerenkov counting. J. Radioanal. Nucl. Chem. 1997, 219, 73–75. [Google Scholar] [CrossRef]
- Manjon, G.; Absi, A.; Gomez, E.; Vaca, F.; Garcia-Leon, M. Efficiency and background in Cerenkov counting affected by color quenching: An optical study. In Proceedings of the LSC 2001, Advances in Liquid Scintillation Spectrometry, Karlsruhe, Germany, 7–11 May 2001. [Google Scholar]
- Stojković, I.; Todorović, N.; Nikolov, J.; Tenjović, B.; Gadžurić, S.; Tot, A.; Vraneš, M. 210Pb/210Bi detection in waters by Cherenkov counting—Perspectives and new possibilities. Radiat. Phys. Chem. 2020, 166, 108474. [Google Scholar] [CrossRef]
- Mirenda, M.; Rodrigues, D.; Ferreyra, C.; Arenillas, P.; Sarmiento, G.P.; Krimer, N.; Japas, M.L. Ionic liquids as solvents for Čerenkov counting and the effect of a wavelength shifter. Appl. Radiat. Isot. 2018, 134, 275–279. [Google Scholar] [CrossRef]
- Vraneš, M.; Stojković, I.; Tot, A.; Todorović, N.; Nikolov, J.; Gadžurić, S. Scintillating and wavelength shifting effect investigation of 3-methylpiridinium salicylate and its application in LSC measurements. Appl. Radiat. Isot. 2021, 172, 109697. [Google Scholar] [CrossRef] [PubMed]
- Berthod, A.; Ruiz-Ángel, M.J.; Carda-Broch, S. Recent advances on ionic liquid uses in separation techniques. J. Chromatogr. A 2018, 1559, 2–16. [Google Scholar] [CrossRef] [PubMed]
- Baranyai, K.J.; Deacon, G.B.; MacFarlane, D.R.; Pringle, J.M.; Scott, J.L. Thermal degradation of ionic liquids at elevated temperatures. Aust. J. Chem. 2004, 57, 145–147. [Google Scholar] [CrossRef]
- Brennecke, J.F.; Rogers, R.D.; Seddon, K.R. Ionic Liquids IV.; ACS Symposium series; American Chemical Society: Washington, WA, USA, 2007; pp. 13–15. ISBN 9780841274457. [Google Scholar]
- Vraneš, M.; Tot, A.; Jovanović-Šanta, S.; Karaman, M.; Dožić, S.; Tešanović, K.; Kojić, V.; Gadžurić, S. Toxicity reduction of imidazolium-based ionic liquids by the oxygenation of the alkyl substituent. RSC Adv. 2016, 6, 96289–96295. [Google Scholar] [CrossRef]
- Čobanov, I.; Šarac, B.; Medoš, Ž.; Tot, A.; Vraneš, M.; Gadžurić, S.; Bešter-Rogač, M. Thermodynamic and computational study of isomerism effect at micellization of imidazolium based surface-active ionic liquids: Counterion structure. J. Mol. Liq. 2020, 301, 112419. [Google Scholar] [CrossRef]
- PerkinElmer Life Sciences. Wallac 1220 Quantulus. In Instrument Manual, Ultra Low Level Liquid Scintillation Spectrometer; PerkinElmer: Turku, Finland, 2002. [Google Scholar]
- Todorović, N.; Stojković, I.; Nikolov, J.; Tenjović, B. 90Sr determination in water samples using Čerenkov radiation. J. Environ. Radioact. 2017, 169, 197–202. [Google Scholar] [CrossRef]
- Johnson, E.R.; Keinan, S.; Mori-Sanchez, P.; Contreras-Garcia, J.; Cohen, A.J.; Yang, W. Revealing noncovalent interactions. J. Am. Chem. Soc. 2010, 132, 6498–6506. [Google Scholar] [CrossRef]
- Currie, L.A. Limits for qualitative detection and quantification determination. Application to radiochemistry. Anal. Chem. 1968, 40, 586–593. [Google Scholar] [CrossRef]
- L’Annunziata, M.F. Handbook of Radioactivity Analysis, 3rd ed.; Academic Press: Cambridge, MA, USA, 2012; ISBN 978-0-12-384873-4. [Google Scholar]
- Wang, Y.; Yang, Y.; Song, L.; Ma, Y.; Luo, M.; Dai, X. Effects of sodium salicylate on the determination of Lead-210/Bismuth-210 by Cerenkov counting. Appl. Radiat. Isot. 2018, 139, 175–180. [Google Scholar] [CrossRef]
- Vaca, F.; Manjon, G.; Garcia-Leon, M. Efficiency calibration of a liquid scintillation counter for 90Y Cherenkov counting. Nucl. Instrum. Meth. A 1998, 406, 267–275. [Google Scholar] [CrossRef]
- Kuźniak, M.; Szelc, A.M. Wavelength Shifters for Applications in Liquid Argon Detectors. Instruments 2021, 5, 4. [Google Scholar] [CrossRef]










| Ionic Liquid | Chemical Structure |
|---|---|
| 1-butyl-3-methylimidazolium 3-hydroxybenzoate [Bmim][3HB] | ![]() |
| 1-butyl-3-methylimidazolium 4-hydroxybenzoate [Bmim][4HB] | ![]() |
| 2-hydroxypropylammonium salicylate [HPA][Sal] | ![]() |
| 1-butyl-3-methylimidazolium salicylate [Bmim][Sal] | ![]() |
| 1-butyl-3-methylimidazolium benzoate [Bmim][Ben] | ![]() |
| Compound | |||
|---|---|---|---|
| [Bmim][3HB] | −5.123 | −0.520 | 4.603 |
| [Bmim][4HB] | −4.791 | −1.179 | 3.612 |
| [HPA][Sal] | −6.002 | −1.075 | 4.927 |
| [Bmim][Sal] | −6.024 | −0.778 | 5.245 |
| [Bmim][Ben] | −5.292 | −0.537 | 4.755 |
Publisher’s Note: MDPI stays neutral with regard to jurisdictional claims in published maps and institutional affiliations. |
© 2022 by the authors. Licensee MDPI, Basel, Switzerland. This article is an open access article distributed under the terms and conditions of the Creative Commons Attribution (CC BY) license (https://creativecommons.org/licenses/by/4.0/).
Share and Cite
Stojković, I.; Vraneš, M.; Borović, T.T.; Todorović, N.; Nikolov, J.; Zečević, M.; Gadžurić, S.; Mancini, S. In Search for an Ionic Liquid with the Best Performance during 210Pb/210Bi Cherenkov Counting in Waters on an LS Counter. Int. J. Environ. Res. Public Health 2022, 19, 16563. https://doi.org/10.3390/ijerph192416563
Stojković I, Vraneš M, Borović TT, Todorović N, Nikolov J, Zečević M, Gadžurić S, Mancini S. In Search for an Ionic Liquid with the Best Performance during 210Pb/210Bi Cherenkov Counting in Waters on an LS Counter. International Journal of Environmental Research and Public Health. 2022; 19(24):16563. https://doi.org/10.3390/ijerph192416563
Chicago/Turabian StyleStojković, Ivana, Milan Vraneš, Teona Teodora Borović, Nataša Todorović, Jovana Nikolov, Milka Zečević, Slobodan Gadžurić, and Simona Mancini. 2022. "In Search for an Ionic Liquid with the Best Performance during 210Pb/210Bi Cherenkov Counting in Waters on an LS Counter" International Journal of Environmental Research and Public Health 19, no. 24: 16563. https://doi.org/10.3390/ijerph192416563
APA StyleStojković, I., Vraneš, M., Borović, T. T., Todorović, N., Nikolov, J., Zečević, M., Gadžurić, S., & Mancini, S. (2022). In Search for an Ionic Liquid with the Best Performance during 210Pb/210Bi Cherenkov Counting in Waters on an LS Counter. International Journal of Environmental Research and Public Health, 19(24), 16563. https://doi.org/10.3390/ijerph192416563















