Contamination, Source Identification, Ecological and Human Health Risks Assessment of Potentially Toxic-Elements in Soils of Typical Rare-Earth Mining Areas
Abstract
1. Introduction
2. Materials and Methods
2.1. Study Area
2.2. Site Description and Sample Collection
2.3. Pollution Index Evaluation
2.4. Positive Matrix Factorization and Correlation Analysis
2.5. Human Health Risk Assessment
2.6. Statistical Analysis
3. Results and Discussion
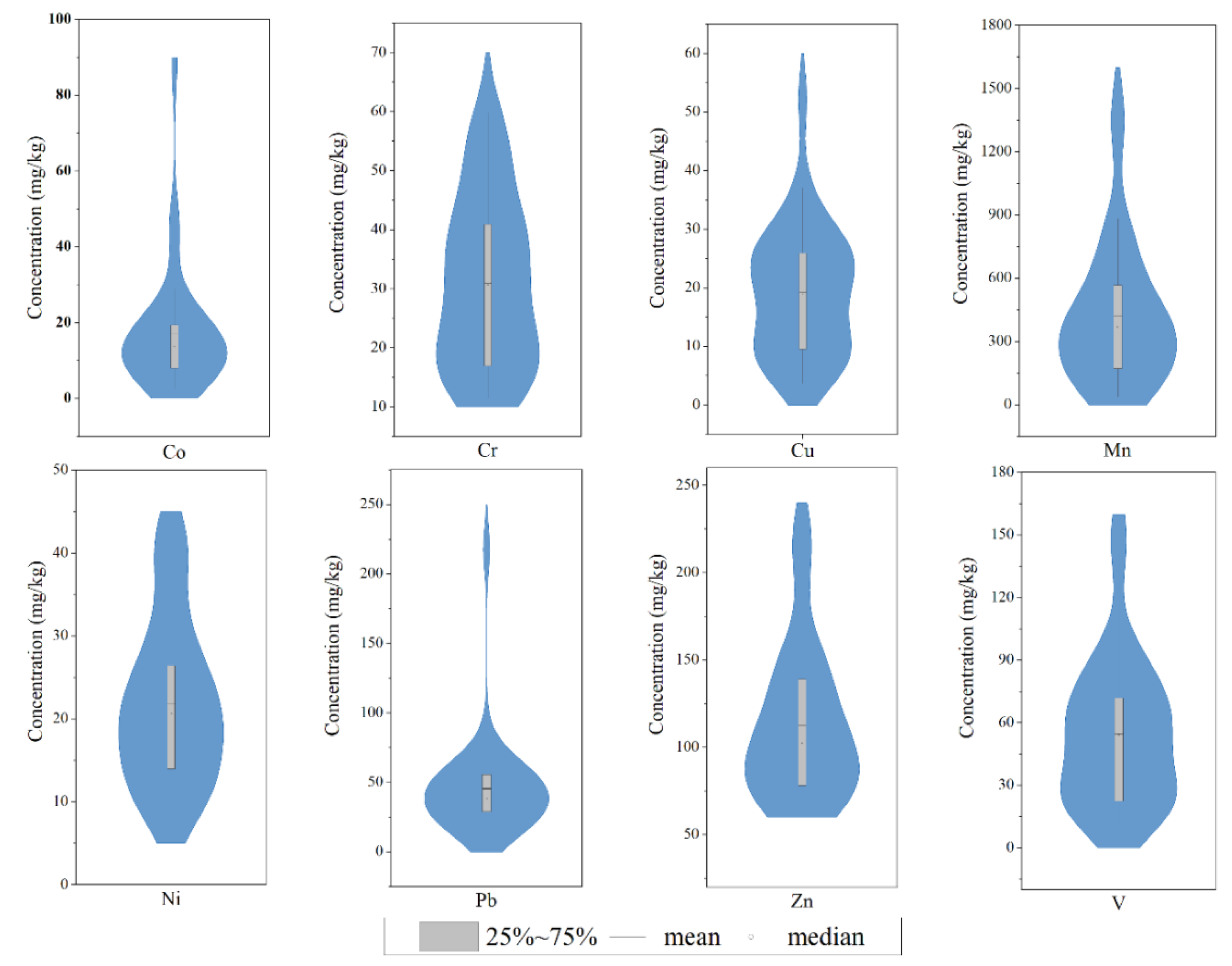
3.1. Contents of Potentially Toxic Elements and Property of Soil
3.2. Spatial Distribution of Potentially Toxic Elements
3.3. Pollution Index Analysis
3.4. Quantitative Distribution of Sources of Potentially Toxic Elements in Soil
3.5. Health Risk Assessment of Potentially Toxic Elements in Soils
4. Conclusions
Supplementary Materials
Author Contributions
Funding
Institutional Review Board Statement
Informed Consent Statement
Data Availability Statement
Conflicts of Interest
References
- Zhao, K.; Yang, Y.; Peng, H.; Zhang, L.; Zhou, Y.; Zhang, J.; Du, C.; Liu, J.; Lin, X.; Wang, N.; et al. Silicon fertilizers, humic acid and their impact on physicochemical properties, availability and distribution of heavy metals in soil and soil aggregates. Sci. Total Environ. 2022, 822, 153483. [Google Scholar] [CrossRef] [PubMed]
- Kan, X.; Dong, Y.; Feng, L.; Zhou, M.; Hou, H. Contamination and health risk assessment of heavy metals in China’s lead–zinc mine tailings: A meta–analysis. Chemosphere 2021, 267, 128909. [Google Scholar] [CrossRef] [PubMed]
- Wan, M.; Hu, W.; Wang, H.; Tian, K.; Huang, B. Comprehensive assessment of heavy metal risk in soil-crop systems along the Yangtze River in Nanjing, Southeast China. Sci. Total Environ. 2021, 780, 146567. [Google Scholar] [CrossRef] [PubMed]
- Peng, J.-Y.; Zhang, S.; Han, Y.; Bate, B.; Ke, H.; Chen, Y. Soil heavy metal pollution of industrial legacies in China and health risk assessment. Sci. Total Environ. 2021, 816, 151632. [Google Scholar] [CrossRef]
- Liu, J.; Li, N.; Zhang, W.; Wei, X.; Tsang, D.C.; Sun, Y.; Luo, X.; Bao, Z.; Zheng, W.; Wang, J.; et al. Thallium contamination in farmlands and common vegetables in a pyrite mining city and potential health risks. Environ. Pollut. 2019, 248, 906–915. [Google Scholar] [CrossRef]
- Qin, G.; Niu, Z.; Yu, J.; Li, Z.; Ma, J.; Xiang, P. Soil heavy metal pollution and food safety in China: Effects, sources and removing technology. Chemosphere 2020, 267, 129205. [Google Scholar] [CrossRef]
- Khazdair, M.R.; Boskabady, M.H.; Afshari, R.; Dadpour, B.; Behforouz, A.; Javidi, M.M.; Abbasnezhad, A.; Moradi, V.; Tabatabaie, S.S. Respiratory Symptoms and Pulmonary Function Testes in Lead Exposed Workers. Iran. Red Crescent Med. J. 2012, 14, 738–743. [Google Scholar] [CrossRef]
- Boskabady, M.; Marefati, N.; Farkhondeh, T.; Shakeri, F.; Farshbaf, A.; Boskabady, M.H. The effect of environmental lead exposure on human health and the contribution of inflammatory mechanisms, a review. Environ. Int. 2018, 120, 404–420. [Google Scholar] [CrossRef]
- Aksu, A. Sources of metal pollution in the urban atmosphere (A case study: Tuzla, Istanbul). J. Environ. Health Sci. Eng. 2015, 13, 1–10. [Google Scholar] [CrossRef]
- Gaetke, L.M.; Chow-Johnson, H.S.; Chow, C.K. Copper: Toxicological relevance and mechanisms. Arch. Toxicol. 2014, 88, 1929–1938. [Google Scholar] [CrossRef]
- Chen, R.; Zhang, Q.; Chen, H.; Yue, W.; Teng, Y. Source apportionment of heavy metals in sediments and soils in an interconnected river-soil system based on a composite fingerprint screening approach. J. Hazard. Mater. 2021, 411, 125125. [Google Scholar] [CrossRef]
- Fang, H.; Gui, H.; Yu, H.; Li, J.; Wang, M.; Jiang, Y.; Wang, C.; Chen, C. Characteristics and source identification of heavy metals in abandoned coal-mining soil: A case study of Zhuxianzhuang coal mine in Huaibei coalfield (Anhui, China). Hum. Ecol. Risk Assess. Int. J. 2020, 27, 708–723. [Google Scholar] [CrossRef]
- Li, W.; Zhang, W.; Shan, B.; Sun, B.; Guo, X.; Li, Z. Risk assessment of heavy metals in suspended particulate matter in a typical urban river. Environ. Sci. Pollut. Res. 2022, 29, 46649–46664. [Google Scholar] [CrossRef]
- Guo, G.; Zhang, D.; Yuntao; Wang. Source apportionment and source-specific health risk assessment of heavy metals in size-fractionated road dust from a typical mining and smelting area, Gejiu, China. Environ. Sci. Pollut. Res. 2020, 28, 9313–9326. [Google Scholar] [CrossRef]
- Li, Y.; Li, P.; Liu, L. Source Identification and Potential Ecological Risk Assessment of Heavy Metals in the Topsoil of the Weining Plain (Northwest China). Expo. Health 2021, 14, 281–294. [Google Scholar] [CrossRef]
- Chai, L.; Wang, Y.; Wang, X.; Ma, L.; Cheng, Z.; Su, L. Pollution characteristics, spatial distributions, and source apportionment of heavy metals in cultivated soil in Lanzhou, China. Ecol. Indic. 2021, 125, 107507. [Google Scholar] [CrossRef]
- Chai, L.; Wang, Y.; Wang, X.; Ma, L.; Cheng, Z.; Su, L.; Liu, M. Quantitative source apportionment of heavy metals in cultivated soil and associated model uncertainty. Ecotoxicol. Environ. Saf. 2021, 215, 112150. [Google Scholar] [CrossRef]
- Qiao, J.Y.; Tang, J.; Xue, Q. Study on Pb release by several new lixiviants in weathered crust elution-deposited rare earth ore leaching process: Behavior and mechanism. Ecotoxicol. Environ. Saf. 2019, 190, 110138. [Google Scholar] [CrossRef]
- Tang, J.; Qiao, J.; Xue, Q.; Liu, F.; Chen, H.; Zhang, G. Leach of the weathering crust elution-deposited rare earth ore for low environmental pollution with a combination of (NH4)2SO4 and EDTA. Chemosphere 2018, 199, 160–167. [Google Scholar] [CrossRef]
- Pan, Y.; Li, H. Investigating Heavy Metal Pollution in Mining Brownfield and Its Policy Implications: A Case Study of the Bayan Obo Rare Earth Mine, Inner Mongolia, China. Environ. Manag. 2016, 57, 879–893. [Google Scholar] [CrossRef]
- Qi, J.; Zhang, H.; Li, X.; Zhang, G. Concentrations, spatial distribution, and risk assessment of soil heavy metals in a Zn-Pb mine district in southern China. Environ. Monit. Assess. 2016, 188, 413. [Google Scholar] [CrossRef] [PubMed]
- Luo, C.; Routh, J.; Dario, M.; Sarkar, S.; Wei, L.; Luo, D.; Liu, Y. Distribution and mobilization of heavy metals at an acid mine drainage affected region in South China, a post-remediation study. Sci. Total Environ. 2020, 724, 138122. [Google Scholar] [CrossRef] [PubMed]
- Shi, J.; Du, P.; Luo, H.; Wu, H.; Zhang, Y.; Chen, J.; Wu, M.; Xu, G.; Gao, H. Soil contamination with cadmium and potential risk around various mines in China during 2000–2020. J. Environ. Manag. 2022, 310, 114509. [Google Scholar] [CrossRef] [PubMed]
- Zhang, Q.; Shu, W.; Li, F.; Li, M.; Zhou, J.; Tian, C.; Liu, S.; Ren, F.; Chen, G. Nitrate source apportionment and risk assessment: A study in the largest ion-adsorption rare earth mine in China. Environ. Pollut. 2022, 302, 119052. [Google Scholar] [CrossRef] [PubMed]
- Paatero, P.; Tapper, U. Analysis of different modes of factor analysis as least squares fit problems. Chemom. Intell. Lab. Syst. 1993, 18, 183–194. [Google Scholar] [CrossRef]
- Jiang, H. Source apportionment of heavy metals in sediment using CMB model Advanced Materials Research. Trans. Tech. Publ. 2013, 800, 127–131. [Google Scholar]
- Lv, J. Multivariate receptor models and robust geostatistics to estimate source apportionment of heavy metals in soils. Environ. Pollut. 2018, 244, 72–83. [Google Scholar] [CrossRef]
- Ramadan, Z.; Song, X.-H.; Hopke, P.K. Identification of Sources of Phoenix Aerosol by Positive Matrix Factorization. J. Air Waste Manag. Assoc. 2000, 50, 1308–1320. [Google Scholar] [CrossRef]
- Guan, Q.; Wang, F.; Xu, C.; Pan, N.; Lin, J.; Zhao, R.; Yang, Y.; Luo, H. Source apportionment of heavy metals in agricultural soil based on PMF: A case study in Hexi Corridor, northwest China. Chemosphere 2018, 193, 189–197. [Google Scholar] [CrossRef]
- Magesh, N.; Tiwari, A.; Botsa, S.M.; Leitao, T.D.L. Hazardous heavy metals in the pristine lacustrine systems of Antarctica: Insights from PMF model and ERA techniques. J. Hazard. Mater. 2021, 412, 125263. [Google Scholar] [CrossRef]
- Wang, X.; Wang, L.; Zhang, Q.; Liang, T.; Li, J.; Hansen, H.C.B.; Shaheen, S.M.; Antoniadis, V.; Bolan, N.; Rinklebe, J. Integrated assessment of the impact of land use types on soil pollution by potentially toxic elements and the associated ecological and human health risk. Environ. Pollut. 2022, 299, 118911. [Google Scholar] [CrossRef]
- Gupta, S.; Gadi, R.; Sharma, S.; Mandal, T. Characterization and source apportionment of organic compounds in PM10 using PCA and PMF at a traffic hotspot of Delhi. Sustain. Cities Soc. 2018, 39, 52–67. [Google Scholar] [CrossRef]
- FAO; IIASA; ISRIC; ISS-CAS; JRC. Harmonized World Soil Database. Italy and IIASA, Rome, Version 1.2. 2012. Available online: https://www.fao.org/soils-portal/soil-survey/soil-maps-and-databases/harmonized-world-soil-database-v12/ (accessed on 11 November 2022).
- Håkanson, L. An ecological risk index for aquatic pollution control. A sedimentological approach. Water Res. 1980, 14, 975–1001. [Google Scholar] [CrossRef]
- Egbueri, J.C. Groundwater quality assessment using pollution index of groundwater (PIG), ecological risk index (ERI) and hierarchical cluster analysis (HCA): A case study. Groundw. Sustain. Dev. 2019, 10, 100292. [Google Scholar] [CrossRef]
- Li, J.; Wang, G.; Liu, F.; Cui, L.; Jiao, Y. Source Apportionment and Ecological-Health Risks Assessment of Heavy Metals in Topsoil Near a Factory, Central China. Expo. Health 2020, 13, 79–92. [Google Scholar] [CrossRef]
- CEPA (Chinese Environmental Protection Administration). Elemental Background Values of Soils in China; Environmental Science Press of China: Beijing, China, 1990. [Google Scholar]
- Kowalska, J.B.; Mazurek, R.; Gąsiorek, M.; Zaleski, T. Pollution indices as useful tools for the comprehensive evaluation of the degree of soil contamination—A review. Environ. Geochem. Health 2018, 40, 2395–2420. [Google Scholar] [CrossRef]
- Xu, L.; Dai, H.; Skuza, L.; Wei, S. Comprehensive exploration of heavy metal contamination and risk assessment at two common smelter sites. Chemosphere 2021, 285, 131350. [Google Scholar] [CrossRef]
- Bai, L.Y.; Zeng, X.B.; Su, S.M.; Duan, R.; Wang, Y.N.; Gao, X. Heavy metal accumulation and source analysis in greenhouse soils of Wuwei District, Gansu Province, China. Environ. Sci. Pollut. Res. 2014, 22, 5359–5369. [Google Scholar] [CrossRef]
- Xiang, M.; Li, Y.; Yang, J.; Lei, K.; Li, Y.; Li, F.; Zheng, D.; Fang, X.; Cao, Y. Heavy metal contamination risk assessment and correlation analysis of heavy metal contents in soil and crops. Environ. Pollut. 2021, 278, 116911. [Google Scholar] [CrossRef]
- Benesty, J.; Chen, J.; Huang, Y.; Cohen, I. Pearson Correlation Coefficient Noise Reduction in Speech Processing; Springer: Berlin/Heidelberg, Germany, 2009; pp. 1–4. [Google Scholar]
- Manousakas, M.; Papaefthymiou, H.; Diapouli, E.; Migliori, A.; Karydas, A.; Bogdanovic-Radovic, I.; Eleftheriadis, K. Assessment of PM2.5 sources and their corresponding level of uncertainty in a coastal urban area using EPA PMF 5.0 enhanced diagnostics. Sci. Total Environ. 2017, 574, 155–164. [Google Scholar] [CrossRef]
- Wu, J.; Li, J.; Teng, Y.; Chen, H.; Wang, Y. A partition computing-based positive matrix factorization (PC-PMF) approach for the source apportionment of agricultural soil heavy metal contents and associated health risks. J. Hazard. Mater. 2019, 388, 121766. [Google Scholar] [CrossRef] [PubMed]
- Paatero, P.; Eberly, S.; Brown, S.G.; Norris, G.A. Methods for estimating uncertainty in factor analytic solutions. Atmos. Meas. Tech. 2014, 7, 781–797. [Google Scholar] [CrossRef]
- Taghvaee, S.; Sowlat, M.H.; Mousavi, A.; Hassanvand, M.S.; Yunesian, M.; Naddafi, K.; Sioutas, C. Source apportionment of ambient PM2.5 in two locations in central Tehran using the Positive Matrix Factorization (PMF) model. Sci. Total Environ. 2018, 628–629, 672–686. [Google Scholar] [CrossRef] [PubMed]
- Kimmel, C.A. U.S. EPA Reference Dose/Reference Concentration Methodology: Update on a Review of the Process. Hum. Ecol. Risk Assess. Int. J. 2001, 7, 117–123. [Google Scholar] [CrossRef]
- MEPC, Ministry of Environmental Protection of the People’s Republic of China. Exposure Factors Handbook of Chinese Population; China Environmental Science Press: Beijing, China, 2013. [Google Scholar]
- Chakraborty, B.; Bera, B.; Roy, S.; Adhikary, P.P.; Sengupta, D.; Shit, P.K. Assessment of non-carcinogenic health risk of heavy metal pollution: Evidences from coal mining region of eastern India. Environ. Sci. Pollut. Res. 2021, 28, 47275–47293. [Google Scholar] [CrossRef]
- Dai, L.; Wang, L.; Liang, T.; Zhang, Y.; Li, J.; Xiao, J.; Dong, L.; Zhang, H. Geostatistical analyses and co-occurrence correlations of heavy metals distribution with various types of land use within a watershed in eastern QingHai-Tibet Plateau, China. Sci. Total Environ. 2019, 653, 849–859. [Google Scholar] [CrossRef]
- Teng, Y.; Wu, J.; Lu, S.; Wang, Y.; Jiao, X.; Song, L. Soil and soil environmental quality monitoring in China: A review. Environ. Int. 2014, 69, 177–199. [Google Scholar] [CrossRef]
- CEPA (Chinese Environmental Protection Administration). Gb15618-1995; Environmental Quality Standard for Soils. Standards Press of China: Beijing, China, 1995.
- Parween, M.; Ramanathan, A.; Raju, N.J. Assessment of toxicity and potential health risk from persistent pesticides and heavy metals along the Delhi stretch of river Yamuna. Environ. Res. 2021, 202, 111780. [Google Scholar] [CrossRef]
- Yu, B.; Lu, X.; Fan, X.; Fan, P.; Zuo, L.; Yang, Y.; Wang, L. Analyzing environmental risk, source and spatial distribution of potentially toxic elements in dust of residential area in Xi’an urban area, China. Ecotoxicol. Environ. Saf. 2021, 208, 111679. [Google Scholar] [CrossRef]
- Zhuang, W.; Zhou, F. Distribution, source and pollution assessment of heavy metals in the surface sediments of the Yangtze River Estuary and its adjacent East China Sea. Mar. Pollut. Bull. 2021, 164, 112002. [Google Scholar] [CrossRef]
- Zhang, Y.; Hou, D.; O’Connor, D.; Shen, Z.; Shi, P.; Ok, Y.S.; Tsang, D.C.W.; Wen, Y.; Luo, M. Lead contamination in Chinese surface soils: Source identification, spatial-temporal distribution and associated health risks. Crit. Rev. Environ. Sci. Technol. 2019, 49, 1386–1423. [Google Scholar] [CrossRef]
- Wang, S.; Cai, L.-M.; Wen, H.-H.; Luo, J.; Wang, Q.-S.; Liu, X. Spatial distribution and source apportionment of heavy metals in soil from a typical county-level city of Guangdong Province, China. Sci. Total Environ. 2018, 655, 92–101. [Google Scholar] [CrossRef]
- Zhang, L.; Zhu, G.; Ge, X.; Xu, G.; Guan, Y. Novel insights into heavy metal pollution of farmland based on reactive heavy metals (RHMs): Pollution characteristics, predictive models, and quantitative source apportionment. J. Hazard. Mater. 2018, 360, 32–42. [Google Scholar] [CrossRef]
- Li, X.; Zhang, J.; Gong, Y.; Liu, Q.; Yang, S.; Ma, J.; Zhao, L.; Hou, H. Status of copper accumulation in agricultural soils across China (1985–2016). Chemosphere 2019, 244, 125516. [Google Scholar] [CrossRef]
- Gan, Y.; Huang, X.; Li, S.; Liu, N.; Li, Y.C.; Freidenreich, A.; Wang, W.; Wang, R.; Dai, J. Source quantification and potential risk of mercury, cadmium, arsenic, lead, and chromium in farmland soils of Yellow River Delta. J. Clean. Prod. 2019, 221, 98–107. [Google Scholar] [CrossRef]
- Hu, B.; Zhou, Y.; Jiang, Y.; Ji, W.; Fu, Z.; Shao, S.; Li, S.; Huang, M.; Zhou, L.; Shi, Z. Spatio-temporal variation and source changes of potentially toxic elements in soil on a typical plain of the Yangtze River Delta, China (2002–2012). J. Environ. Manag. 2020, 271, 110943. [Google Scholar] [CrossRef]
- Amuah, E.E.Y.; Fei Baffoe, B.; Kazapoe, R.W. Emerging potentially toxic elements (strontium and vanadium) in Ghana’s pedological studies: Understanding the levels, distributions and potential health implications. A preliminary review. Environ. Chall. 2021, 5, 100235. [Google Scholar] [CrossRef]
- Kicińska, A.; Wikar, J. Ecological risk associated with agricultural production in soils contaminated by the activities of the metal ore mining and processing industry—Example from southern Poland. Soil Tillage Res. 2020, 205, 104817. [Google Scholar] [CrossRef]
- Mohammadi, A.; Mansour, S.N.; Najafi, M.L.; Toolabi, A.; Abdolahnejad, A.; Faraji, M.; Miri, M. Probabilistic risk assessment of soil contamination related to agricultural and industrial activities. Environ. Res. 2021, 203, 111837. [Google Scholar] [CrossRef]
- Szwalec, A.; Mundała, P.; Kędzior, R.; Pawlik, J. Monitoring and assessment of cadmium, lead, zinc and copper concentrations in arable roadside soils in terms of different traffic conditions. Environ. Monit. Assess. 2020, 192, 155. [Google Scholar] [CrossRef]
- Tepanosyan, G.; Sahakyan, L.; Belyaeva, O.; Asmaryan, S.; Saghatelyan, A. Continuous impact of mining activities on soil heavy metals levels and human health. Sci. Total Environ. 2018, 639, 900–909. [Google Scholar] [CrossRef] [PubMed]
- Sun, Z.; Xie, X.; Wang, P.; Hu, Y.; Cheng, H. Heavy metal pollution caused by small-scale metal ore mining activities: A case study from a polymetallic mine in South China. Sci. Total Environ. 2018, 639, 217–227. [Google Scholar] [CrossRef] [PubMed]
- Zhang, Q.; Wang, C. Natural and Human Factors Affect the Distribution of Soil Heavy Metal Pollution: A Review. Water Air Soil Pollut. 2020, 231, 350. [Google Scholar] [CrossRef]
- Fernández, J.A.; Carballeira, A. Evaluation of Contamination, by Different Elements, in Terrestrial Mosses. Arch. Environ. Contam. Toxicol. 2001, 40, 461–468. [Google Scholar] [PubMed]
- Dash, S.; Borah, S.S.; Kalamdhad, A.S. Heavy metal pollution and potential ecological risk assessment of urban soil in Kaifeng. Environ. Sci. 2015, 36, 1037–1044. [Google Scholar]
- Komijani, M.; Shamabadi, N.S.; Shahin, K.; Eghbalpour, F.; Tahsili, M.R.; Bahram, M. Heavy metal pollution promotes antibiotic resistance potential in the aquatic environment. Environ. Pollut. 2021, 274, 116569. [Google Scholar] [CrossRef]
- Dey, S.; Mehta, N. Automobile pollution control using catalysis. Resour. Environ. Sustain. 2020, 2, 100006. [Google Scholar] [CrossRef]
- Zhang, L.; Zhang, P.; Yoza, B.; Liu, W.; Liang, H. Phytoremediation of metal-contaminated rare-earth mining sites using Paspalum conjugatum. Chemosphere 2020, 259, 127280. [Google Scholar] [CrossRef]
- Shi, T.; Ma, J.; Zhang, Y.; Liu, C.; Hu, Y.; Gong, Y.; Wu, X.; Ju, T.; Hou, H.; Zhao, L. Status of lead accumulation in agricultural soils across China (1979–2016). Environ. Int. 2019, 129, 35–41. [Google Scholar] [CrossRef]
- Kayee, J.; Bureekul, S.; Sompongchaiyakul, P.; Wang, X.; Das, R. Sources of atmospheric lead (Pb) after quarter century of phasing out of leaded gasoline in Bangkok, Thailand. Atmos. Environ. 2021, 253, 118355. [Google Scholar] [CrossRef]
- Harrison, R.M.; Jones, A.M.; Gietl, J.; Yin, J.; Green, D.C. Estimation of the Contributions of Brake Dust, Tire Wear, and Resuspension to Nonexhaust Traffic Particles Derived from Atmospheric Measurements. Environ. Sci. Technol. 2012, 46, 6523–6529. [Google Scholar] [CrossRef]
- Jeong, H.; Ryu, J.-S.; Ra, K. Characteristics of potentially toxic elements and multi-isotope signatures (Cu, Zn, Pb) in non-exhaust traffic emission sources. Environ. Pollut. 2021, 292, 118339. [Google Scholar] [CrossRef]
- Dutta, T.; Kim, K.-H.; Uchimiya, M.; Kwon, E.E.; Jeon, B.-H.; Deep, A.; Yun, S.-T. Global demand for rare earth resources and strategies for green mining. Environ. Res. 2016, 150, 182–190. [Google Scholar] [CrossRef]
- Araya, N.; Kraslawski, A.; Cisternas, L.A. Towards mine tailings valorization: Recovery of critical materials from Chilean mine tailings. J. Clean. Prod. 2020, 263, 121555. [Google Scholar] [CrossRef]
- Okonkwo, S.; Idakwo, S.; Ameh, E. Heavy metal contamination and ecological risk assessment of soils around the pegmatite mining sites at Olode area, Ibadan southwestern Nigeria. Environ. Nanotechnol. Monit. Manag. 2021, 15, 100424. [Google Scholar] [CrossRef]
- Zheng, K.; Ren, Z.; Qin, X.; Zhao, Y.; Zhu, Z.; Lian, W.; Li, Y. Status and risk assessment of heavy metal pollution in paddy soil and rice grains from the industrial and mining area of Shaoguan, Guangdong Province. J. Agro-Environ. Sci. 2018, 37, 915–925. [Google Scholar]
- Soltani, N.; Moore, F.; Keshavarzi, B.; Sharifi, R. Geochemistry of Trace Metals and Rare Earth Elements in Stream Water, Stream Sediments and Acid Mine Drainage from Darrehzar Copper Mine, Kerman, Iran. Water Qual. Expo. Health 2014, 6, 97–114. [Google Scholar] [CrossRef]
- Galhardi, J.A.; Leles, B.P.; de Mello, J.W.; Wilkinson, K. Bioavailability of trace metals and rare earth elements (REE) from the tropical soils of a coal mining area. Sci. Total Environ. 2019, 717, 134484. [Google Scholar] [CrossRef]
- Neculita, C.M.; Rosa, E. A review of the implications and challenges of manganese removal from mine drainage. Chemosphere 2018, 214, 491–510. [Google Scholar] [CrossRef]
- Jiang, F.; Ren, B.; Hursthouse, A.S.; Zhou, Y. Trace Metal Pollution in Topsoil Surrounding the Xiangtan Manganese Mine Area (South-Central China): Source Identification, Spatial Distribution and Assessment of Potential Ecological Risks. Int. J. Environ. Res. Public Health 2018, 15, 2412. [Google Scholar] [CrossRef]
- Luo, L.; Ma, Y.; Zhang, S.; Wei, D.; Zhu, Y.-G. An inventory of trace element inputs to agricultural soils in China. J. Environ. Manag. 2009, 90, 2524–2530. [Google Scholar] [CrossRef] [PubMed]
- Adisa, I.O.; Pullagurala, V.L.R.; Peralta-Videa, J.R.; Dimkpa, C.O.; Elmer, W.H.; Gardea-Torresdey, J.L.; White, J.C. Recent advances in nano-enabled fertilizers and pesticides: A critical review of mechanisms of action. Environ. Sci. Nano 2019, 6, 2002–2030. [Google Scholar] [CrossRef]
- Shanker, A.K.; Cervantes, C.; Loza-Tavera, H.; Avudainayagam, S. Chromium toxicity in plants. Environ. Int. 2005, 31, 739–753. [Google Scholar] [CrossRef] [PubMed]
- Tassi, E.; Grifoni, M.; Bardelli, F.; Aquilanti, G.; La Felice, S.; Iadecola, A.; Lattanzi, P.; Petruzzelli, G. Evidence for the natural origins of anomalously high chromium levels in soils of the Cecina Valley (Italy). Environ. Sci. Process. Impacts 2018, 20, 965–976. [Google Scholar] [CrossRef] [PubMed]
- Aliu, M.; Šajn, R.; Stafilov, T. Occurrence and enrichment sources of cobalt, chromium, and nickel in soils of Mitrovica Region, Republic of Kosovo. J. Environ. Sci. Health Part A 2021, 56, 566–571. [Google Scholar] [CrossRef]
- Wu, Q.; Hu, W.; Wang, H.; Liu, P.; Wang, X.; Huang, B. Spatial distribution, ecological risk and sources of heavy metals in soils from a typical economic development area, Southeastern China. Sci. Total Environ. 2021, 780, 146557. [Google Scholar] [CrossRef]
- Han, W.; Gao, G.; Geng, J.; Li, Y.; Wang, Y. Ecological and health risks assessment and spatial distribution of residual heavy metals in the soil of an e-waste circular economy park in Tianjin, China. Chemosphere 2018, 197, 325–335. [Google Scholar] [CrossRef]
- Jiang, H.-H.; Cai, L.-M.; Wen, H.-H.; Hu, G.-C.; Chen, L.-G.; Luo, J. An integrated approach to quantifying ecological and human health risks from different sources of soil heavy metals. Sci. Total Environ. 2019, 701, 134466. [Google Scholar] [CrossRef]
- Mielke, H.; Gonzales, C.; Smith, M. The Urban Environment and Children’s Health: Soils as an Integrator of Lead, Zinc, and Cadmium in New Orleans, Louisiana, U.S.A. Environ. Res. 1999, 81, 117–129. [Google Scholar] [CrossRef]
- Karim, Z.; Qureshi, B.A. Health Risk Assessment of Heavy Metals in Urban Soil of Karachi, Pakistan. Hum. Ecol. Risk Assess. Int. J. 2014, 20, 658–667. [Google Scholar] [CrossRef]







| Elements (mg/kg) | Co | Cr | Cu | Mn | Ni | Pb | Zn | V |
|---|---|---|---|---|---|---|---|---|
| Mean | 17.21 | 30.91 | 19.17 | 418.88 | 21.86 | 45.41 | 112.65 | 54.39 |
| Maximum | 88.19 | 59.82 | 52.29 | 1409.22 | 42.04 | 217.61 | 225.25 | 154.46 |
| Minimum | 2.46 | 11.42 | 3.61 | 35.42 | 8.26 | 12.87 | 65.83 | 11.93 |
| CV(%) | 93.61 | 45.51 | 56.13 | 77.85 | 44.49 | 77.54 | 37.81 | 63.43 |
| Background a | 11.5 | 45.9 | 20.3 | 328 | 18.9 | 32.3 | 69.4 | 95.8 |
| Average of China b | 13 | 61 | 23 | 582 | 26.9 | 27 | 74.2 | 82.4 |
| Grade I c | - | 90 | 35 | - | 40 | 35 | 100 | - |
| Grade II c | - | 150 | 50 | - | 40 | 250 | 200 | - |
| Pi | ||||||||
|---|---|---|---|---|---|---|---|---|
| Maximum | Minimum | Mean | CV(%) | Maximum | Minimum | Mean | CV(%) | |
| Co | 7.67 | 0.21 | 1.49 | 93.62 | 38.34 | 1.07 | 7.48 | 93.62 |
| Cr | 1.30 | 0.25 | 0.67 | 45.52 | 26.07 | 4.98 | 13.5 | 45.52 |
| Cu | 2.58 | 0.18 | 0.94 | 56.13 | 12.9 | 0.89 | 4.72 | 56.13 |
| Mn | 4.30 | 0.11 | 1.28 | 77.86 | 4.30 | 0.11 | 1.28 | 77.86 |
| Ni | 2.22 | 0.44 | 1.16 | 44.50 | 4.45 | 0.87 | 2.31 | 44.50 |
| Pb | 6.74 | 0.39 | 1.41 | 77.55 | 33.69 | 1.99 | 7.03 | 77.55 |
| Zn | 3.25 | 0.95 | 1.62 | 37.81 | 3.25 | 0.95 | 1.62 | 37.81 |
| V | 1.61 | 0.12 | 0.57 | 63.43 | 3.22 | 0.25 | 1.14 | 63.43 |
| NPI | 5.76 | 0.73 | 1.75 | 56.46 | - | - | - | - |
| RI | - | - | - | - | 106.64 | 7.37 | 28.95 | 53.89 |
| Elements | Adult | Child | ||||||
|---|---|---|---|---|---|---|---|---|
| HQing | HQder | HQinh | HQ | HQing | HQder | HQinh | HQ | |
| Co | 1.30 10−3 | 6.03 10−6 | 4.80 10−4 | 1.70 10−3 | 8.25 10−3 | 2.94 10−5 | 7.98 10−4 | 9.08 10−3 |
| Cr | 9.20 10−3 | 2.20 10−4 | 1.70 10−4 | 9.60 10−3 | 5.93 10−2 | 3.38 10−3 | 2.82 10−4 | 6.29 10−2 |
| Cu | 8.10 10−4 | 1.80 10−3 | 7.61 10−8 | 2.60 10−3 | 4.97 10−3 | 2.76 10−4 | 1.27 10−7 | 5.24 10−3 |
| Ni | 1.60 10−3 | 3.86 10−5 | 3.17 10−6 | 1.70 10−3 | 1.05 10−2 | 5.97 10−4 | 2.75 10−7 | 1.11 10−2 |
| Pb | 1.90 10−2 | 9.10 10−4 | 2.06 10−6 | 2.00 10−2 | 1.24 10−1 | 2.34 10−3 | 3.43 10−6 | 1.30 10−2 |
| Zn | 5.60 10−4 | 6.63 10−5 | 5.96 10−8 | 6.00 10−4 | 3.60 10−3 | 5.13 10−5 | 9.93 10−8 | 3.65 10−3 |
| V | 1.20 10−2 | 2.75 10−2 | 2.56 10−6 | 3.90 10−2 | 7.50 10−3 | 2.10 10−3 | 2.05 10−6 | 9.57 10−2 |
| HI | 8 10−2 | 3.1 10−1 | ||||||
Publisher’s Note: MDPI stays neutral with regard to jurisdictional claims in published maps and institutional affiliations. |
© 2022 by the authors. Licensee MDPI, Basel, Switzerland. This article is an open access article distributed under the terms and conditions of the Creative Commons Attribution (CC BY) license (https://creativecommons.org/licenses/by/4.0/).
Share and Cite
Fan, J.; Deng, L.; Wang, W.; Yi, X.; Yang, Z. Contamination, Source Identification, Ecological and Human Health Risks Assessment of Potentially Toxic-Elements in Soils of Typical Rare-Earth Mining Areas. Int. J. Environ. Res. Public Health 2022, 19, 15105. https://doi.org/10.3390/ijerph192215105
Fan J, Deng L, Wang W, Yi X, Yang Z. Contamination, Source Identification, Ecological and Human Health Risks Assessment of Potentially Toxic-Elements in Soils of Typical Rare-Earth Mining Areas. International Journal of Environmental Research and Public Health. 2022; 19(22):15105. https://doi.org/10.3390/ijerph192215105
Chicago/Turabian StyleFan, Jiajia, Li Deng, Weili Wang, Xiu Yi, and Zhiping Yang. 2022. "Contamination, Source Identification, Ecological and Human Health Risks Assessment of Potentially Toxic-Elements in Soils of Typical Rare-Earth Mining Areas" International Journal of Environmental Research and Public Health 19, no. 22: 15105. https://doi.org/10.3390/ijerph192215105
APA StyleFan, J., Deng, L., Wang, W., Yi, X., & Yang, Z. (2022). Contamination, Source Identification, Ecological and Human Health Risks Assessment of Potentially Toxic-Elements in Soils of Typical Rare-Earth Mining Areas. International Journal of Environmental Research and Public Health, 19(22), 15105. https://doi.org/10.3390/ijerph192215105
