Source Analysis of Heavy Metal Pollution Using UNMIX and PMF Models in Soils along the Shuimo River in Urumqi, China
Abstract
:1. Introduction
2. Geography of the Shuimo River
3. Sample Collection and Analysis
3.1. Sample Collection
3.2. Sample Analysis
3.3. Quality Assurance and Control
4. Introduction to Models
4.1. PMF Model
4.2. UNMIX Model
5. Results and Discussion
5.1. Analysis of Heavy Metal Pollution along the Shuimo River
5.2. Correlation Analysis of Heavy Metal Contents
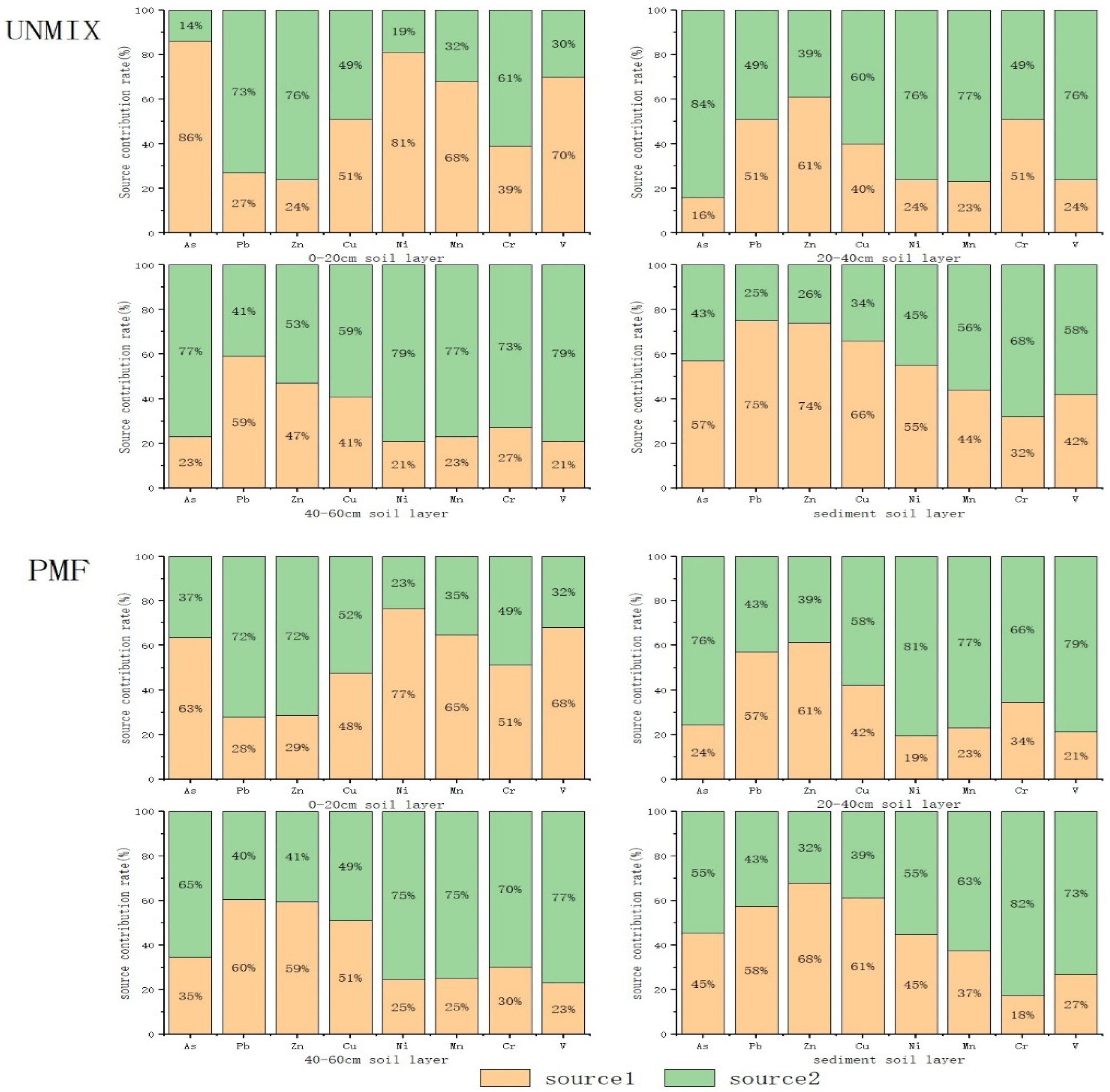
5.3. Source Analysis of UNMIX and PMF Models
5.4. Surface Distribution of Heavy Metal Concentration via the Kriging Interpolation Method
6. Conclusions
Author Contributions
Funding
Institutional Review Board Statement
Informed Consent Statement
Data Availability Statement
Conflicts of Interest
References
- Liu, Y.; Zhu, C.; Wei, X.; Miao, J.; Zhou, M. Characteristics and evaluation of soil heavy metal pollution in different functional areas of Luoyang City, Henan. Environ. Sci. 2016, 37, 2322–2328. [Google Scholar]
- Chen, X.; Lu, X. Analysis of soil heavy metal pollution sources in urban residential areas based on receptor model and geostatistics. Environ. Sci. 2017, 38, 2513–2521. [Google Scholar]
- Dai, B.; Lv, J.; Zhan, Q.; Zhang, Z.; Liu, Y.; Zhou, R. Source, spatial distribution and potential ecological risk assessment of heavy metals in soils of typical industrial cities in Shandong Province. Environ. Sci. 2015, 36, 507–515. [Google Scholar]
- Hu, B.; Jia, X.; Hu, J. Assessment of heavy metal pollution and health risks in the soil-plant-human system in the Yangtze River Delta, China. Int. J. Environ. Res. Public Health 2017, 14, 1042. [Google Scholar]
- Luo, Y. Soil Environment and Ecological Security; Science Press: Beijing, China, 2009; pp. 1–10. [Google Scholar]
- Li, H.; Zhong, Y.; Zhang, H.; Wang, X.; Chen, J.; Wang, L.; Xiao, J.; Xiao, W.; Wang, W. Research Progress on mechanism and application of biochar in remediation of Heavy Metal Contaminated Farmland Soil. J. Agric. Eng. 2020, 36, 173–185. [Google Scholar]
- Yang, Q.; Li, Z.; Lu, X.; Duan, Q.; Huang, L.; Bi, J. A review of soil heavy metal pollution from industrial and agricultural regions in China: Pollution and risk assessment. Sci. Total Environ. 2018, 642, 690–700. [Google Scholar]
- Wang, S.; Cai, L.; Wen, H.; Luo, J.; Wang, Q.; Liu, X. Spatial distribution and source apportionment of heavy metals in soil from a typical county-level city of Guangdong Province, China. Sci. Total Environ. 2019, 655, 92–101. [Google Scholar]
- Li, W.; Zhu, C.; He, X.; Wang, H.; Zhou, Y.; Xu, B. Analysis on the influence of cultivated land landscape pattern on soil heavy metal pollution risk in economically developed areas. J. Agric. Eng. 2021, 37, 233–241. [Google Scholar]
- Drobnik, T.; Greiner, L.; Keller, A.; Grêt-Regamey, A. Soil quality indicators–From soil functions to ecosystem services. Ecol. Indic. 2018, 94, 151–169. [Google Scholar]
- Liu, J.; Liu, Y.; Liu, Y.; Liu, Z.; Zhang, A. Quantitative contributions of the major sources of heavy metals in soils to ecosystem and human health risks: A case study of Yulin, China. Ecotoxicol. Environ. Saf. 2018, 164, 261–269. [Google Scholar]
- Song, H.; Hu, K.; An, Y.; Chen, C.; Li, G. Spatial distribution and source apportionment of the heavy metals in the agricultural soil in a regional scale. Soils Sediments. 2018, 18, 852–862. [Google Scholar]
- Huang, Y.; Deng, M.; Wu, S.; Japenga, J.; Li, T.; Yang, X.; He, Z. A modified receptor model for source apportionment of heavy metal pollution in soil. Hard Mater. 2018, 354, 161–169. [Google Scholar]
- Eze, P.; Udeigwe, T.; Stietiya, M. Distribution and potential source evaluation of heavy metals in prominent soils of Accra Plains, Ghana. Geoderma 2010, 156, 357–362. [Google Scholar]
- Hua, L.; Yang, X.; Liu, Y.; Tan, X.; Yang, Y. Spatial distributions, pollution assessment, and qualified source apportionment of soil heavy metals in a typical mineral mining city in China. Sustainability 2018, 10, 3115. [Google Scholar]
- Li, X.; Feng, L. Spatial distribution of hazardous elements in urban topsoils surrounding Xi’an industrial areas,(NW, China): Controlling factors and contamination assessments. Hard Mater 2010, 174, 662–669. [Google Scholar]
- Qu, M.; Wang, Y.; Huang, B.; Zhao, Y. Source apportionment of soil heavy metals using robust absolute principal component scores-robust geographically weighted regression (RAPCS-RGWR) receptor model. Sci. Total Environ. 2018, 626, 203–210. [Google Scholar]
- Harrison, R.; Smith, D.; Piou, C.; Castro, L. Comparative receptor modeling study of airborne particulate pollutants in Birmingham (United Kingdom), Coimbra (Portugal) and Lahore (Pakistan). Atmos. Environ. 1997, 31, 3309–3321. [Google Scholar]
- Jin, G.; Fang, W.; Shafi, M.; Wu, D.; Li, Y.; Zhong, B.; Ma, J.; Liu, D. Source apportionment of heavy metals in farmland soil with application of APCS-MLR model: A pilot study for restoration of farmland in Shaoxing City Zhejiang, China. Ecotoxicol. Environ. Saf. 2019, 184, 109495. [Google Scholar]
- Men, C.; Liu, R.; Wang, Q.; Guo, L.; Shen, Z. The impact of seasonal varied human activity on characteristics and sources of heavy metals in metropolitan road dusts. Sci. Total Environ. 2018, 637, 844–854. [Google Scholar]
- Vega, E.; Mugica, V.; Carmona, R.; Valencia, E. Hydrocarbon source apportionment in Mexico City using the chemical mass balance receptor model. Atmos. Environ. 2000, 34, 4121–4129. [Google Scholar]
- Hopke, P. Recent developments in receptor modeling. J. Chemom. J. Chemom. Soc. 2003, 17, 255–265. [Google Scholar]
- Zhang, H. Geochemical Characteristic of Sphalerite and Zn Isotope Study in Tongkang Tin Polymetallic Deposit, DaChang, Guangxi; Guangxi University: Nanning, China, 2019. [Google Scholar]
- Song, L.; Dai, Q.; Feng, Y.; Hopke, P. Estimating uncertainties of source contributions to PM2.5 using moving window evolving dispersion normalized PMF. Environ. Pollut. 2021, 286, 117576. [Google Scholar]
- Kermani, M.; Jafari, A.; Gholami, M.; Shahsavani, A.; Taghizadeh, F.; Arfaeinia, H. Ambient air PM2.5-bound PAHs in low traffic, high traffic, and industrial areas along Tehran, Iran. Hum. Ecol. Risk Assess. 2019, 27, 134–151. [Google Scholar]
- Li, Y.; Feng, X.; Zhou, J.; Zhu, L. Occurrence and source apportionment of novel and legacy poly/perfluoroalkyl substances in Hai River basin in China using receptor models and isomeric fingerprints. Water Res. 2020, 168, 115–145. [Google Scholar]
- Alidadi, R.; Mansouri, N.; Hemmasi, A.; Mirzahosseini, S. Source apportionment of heavy metal with UNMIX in ambient air of Ahvaz City, Southwest of Iran. Int. Environ. Sci. Technol. 2021, 18, 3099–3106. [Google Scholar]
- Vestenius, M.; Hopke, P.; Lehtipalo, K.; Petaja, T.; Hakola, H.; Hellen, H. Assessing volatile organic compound sources in a boreal forest using positive matrix factorization (PMF). Atmos. Environ. 2021, 259, 118503. [Google Scholar]
- Qi, Y.; He, Z.; Huo, S.; Zhang, J.; Xi, B.; Hu, S. Source apportionment of perfluoroalkyl substances in surface sediments from lakes in Jiangsu Province, China: Comparison of three receptor models. J. Environ. Sci. 2017, 57, 321–328. [Google Scholar]
- Ma, H. Heavy Metal Pollution of Soil and Sediment along the Shuimo River in Urumqi Research; Xinjiang University: Urumqi, China, 2016. [Google Scholar]
- Yilihamu; Sun, C.; Xie, D.; Zeng, B. Ecological construction and benefits of water and soil conservation in Shuimo River Basin. Xinjiang Environ. Prot. 2004, 26, 28–30. [Google Scholar]
- Liu, P. Spatial exploration and interpolation method discussion of rainfall data. Gansu Sci. Technol. 2019, 35, 62–65. [Google Scholar]
- Zhou, T. Kunming PM2.5 Forecast Based on Kriging Interpolation; Yunnan University: Kunming, China, 2016. [Google Scholar]
- Zhang, D.; Jiang, B.; Liu, G.; Zhang, H.; Nie, F.; Sun, Q.; Ji, M. Prediction of spatial distribution of phosphorus in Albic soil in Sanjiang Plain based on different coverage methods and its applicability. Chin. J. Ecol. Agric. 2021, 29, 1405–1416. [Google Scholar]
- Tian, T. Study on Environmental Quality Evaluation and Pollution Prevention Countermeasures of Shuimo River in Urumqi; Southwest University of Science and Technology: Mianyang, China, 2018. [Google Scholar]
- Chen, Z.; Liu, H.; Zhang, X.; Li, C.; Yu, S. Vertical distribution characteristics of copper and lead in room temperature soil with different planting years. J. Soil Water Conserv. 2016, 30, 321–330. [Google Scholar]
- Liu, F.; Liu, X. Soil and Solid Waste Monitoring and Analysis Technology; Chemical Industry Press: Beijing, China, 2007. [Google Scholar]
- Paatero, P.; Tapper, U. Positive matrix factorization: A non-negative factor model with optimal utilization of error estimates of data values. Environmetrics 1994, 5, 111–126. [Google Scholar]
- Chen, Z.; Hua, Y.; Xu, W.; Pei, J. Analysis of heavy metal pollution sources in suburban farmland based on positive definite matrix factor model. Acta Sci. Circumst. 2020, 40, 276–283. [Google Scholar]
- Henry, R. Multivariate receptor modeling by n-dimensional edge detection. Chem. Intell. Lab. Syst. 2003, 65, 179–189. [Google Scholar]
- Zhang, Y.; Guo, C.; Xu, J.; Tian, Y.; Shi, G.; Feng, Y. Potential source contributions and risk assessment of PAHs in sediments from Taihu Lake, China: Comparison of three receptor models. Water Res. 2012, 46, 3065–3073. [Google Scholar]
- Hu, X.; Zhang, Y.; Luo, J.; Wang, T.; Lian, H.; Ding, Z. Bioaccessibility and health risk of arsenic, mercury and other metals in urban street dusts from a mega-city, Nanjing, China. Environ. Pollut. 2011, 159, 1215–1221. [Google Scholar]
- Ye, P.; Abudu, A.; Sun, X.; Harridan, A. Evaluation and source analysis of soil heavy metal pollution in the Economic Zone on the north slope of Tianshan Mountains based on PMF model. China Environ. Sci. 2022, 42, 4704–4712. [Google Scholar]
- Wang, Q. Assessment of Marine Ecosystem Services in the Yellow Sea; Ocean University of China: Qingdao, China, 2009. [Google Scholar]
- Xie, G.; Lu, C.; Cheng, S. Research progress of global ecosystem service function. Resour. Sci. 2001, 23, 8–11. [Google Scholar]
- Jiang, B.; Ouyang, Z.; Miao, H. Evaluation on the Service Function Value of Haihe River Basin Wetland Ecosystem. J. Ecol. 2011, 31, 2236–2244. [Google Scholar]
- Cui, L.; Pang, B.; Li Wei, Z. Wetland Ecosystem Service Value Evaluation. J. Ecol. 2016, 36, 1–10. [Google Scholar]
- Ji, L.; Wen, Y. Evaluation of Chongming Dongtan Wetland Ecosystem Service Function. Chin. J. Agron. 2013, 29, 160–166. [Google Scholar]




| Soil Depth (cm) | Heavy Metals | ω (mg/kg) | Variant Line Number (%) | ||||||
|---|---|---|---|---|---|---|---|---|---|
| Minimum Value | Mean Value | Maximum Value | Median Value | Standard Deviation | BackGround Value | Filtered Value | |||
| 0–20 | As | 6.72 | 12.69 | 43.49 | 11.67 | 5.13 | 11.2 | 60 | 40.46 |
| Pb | 10.32 | 20.60 | 66.49 | 18.59 | 8.21 | 19.4 | 800 | 39.87 | |
| Zn | 46.79 | 79.07 | 230.14 | 69.38 | 29.89 | 68.8 | / | 37.80 | |
| Cu | 18.09 | 39.01 | 144.41 | 37.69 | 12.85 | 26.7 | 18,000 | 32.95 | |
| Ni | 29.57 | 49.29 | 86.74 | 47.55 | 13.07 | 26.6 | 900 | 26.53 | |
| Mn | 377.08 | 529.00 | 769.47 | 525.68 | 66.05 | 688 | / | 12.49 | |
| Cr | 20.75 | 52.40 | 187.68 | 50.68 | 18.83 | 49.3 | / | 35.93 | |
| V | 70.24 | 112.31 | 175.77 | 112.66 | 15.24 | 74.9 | / | 13.57 | |
| 20–40 | As | 6.06 | 12.65 | 41.61 | 11.80 | 4.92 | 11.2 | 60 | 38.92 |
| Pb | 9.07 | 19.53 | 48.47 | 17.31 | 7.42 | 19.4 | 800 | 37.98 | |
| Zn | 43.65 | 78.94 | 264.57 | 66.62 | 38.23 | 68.8 | / | 48.43 | |
| Cu | 20.92 | 37.40 | 103.88 | 35.40 | 11.72 | 26.7 | 18,000 | 31.33 | |
| Ni | 30.61 | 49.74 | 92.49 | 46.77 | 12.91 | 26.6 | 900 | 25.95 | |
| Mn | 334.71 | 545.36 | 1413.36 | 531.02 | 117.17 | 688 | / | 21.49 | |
| Cr | 20.43 | 56.02 | 252.82 | 52.86 | 27.02 | 49.3 | / | 48.23 | |
| V | 58.57 | 112.63 | 182.32 | 114.03 | 15.95 | 74.9 | / | 14.16 | |
| 40–60 | As | 5.58 | 12.89 | 45.64 | 11.71 | 5.61 | 11.2 | 60 | 43.57 |
| Pb | 9.46 | 20.10 | 70.43 | 17.71 | 9.97 | 19.4 | 800 | 49.63 | |
| Zn | 22.64 | 76.98 | 323.71 | 66.53 | 36.04 | 68.8 | / | 46.82 | |
| Cu | 19.1 | 39.34 | 101.43 | 36.83 | 13.63 | 26.7 | 18,000 | 34.65 | |
| Ni | 30.44 | 50.97 | 83.81 | 49.67 | 12.38 | 26.6 | 900 | 24.29 | |
| Mn | 261.17 | 543.00 | 1307.35 | 532.55 | 116.88 | 688 | / | 21.53 | |
| Cr | 17.5 | 50.90 | 128.46 | 49.86 | 16.14 | 49.3 | / | 31.70 | |
| V | 44.38 | 111.74 | 181.42 | 112.35 | 18.50 | 74.9 | / | 16.55 | |
| Sampling Depth (cm) | Heavy Metal | As | Pb | Zn | Cu | Ni | Mn | Cr |
|---|---|---|---|---|---|---|---|---|
| 0–20 | As | 1.00 | ||||||
| Pb | 0.14 | 1.00 | ||||||
| Zn | 0.14 | 0.69 ** | 1.00 | |||||
| Cu | 0.30 * | 0.30 * | 0.67 ** | 1.00 | ||||
| Ni | 0.04 | −0.08 | −0.05 | 0.05 | 1.00 | |||
| Mn | 0.28 | 0.07 | 0.14 | 0.23 | 0.22 | 1.00 | ||
| Cr | 0.11 | 0.39 * | 0.48 * | 0.22 | −0.17 | 0.19 | 1.00 | |
| V | 0.45 * | 0.17 | 0.03 | 0.17 | 0.12 | 0.35 * | 0.23 | |
| 20–40 | As | 1.00 | ||||||
| Pb | 0.12 | 1.00 | ||||||
| Zn | 0.12 | 0.86 ** | 1.00 | |||||
| Cu | 0.32 * | 0.70 ** | 0.74 ** | 1.00 | ||||
| Ni | 0.13 | 0.10 | 0.15 | 0.28 | 1.00 | |||
| Mn | 0.34 * | 0.18 | 0.23 | 0.33 * | 0.03 | 1.00 | ||
| Cr | 0.11 | 0.45 * | 0.47 * | 0.42 * | 0.20 | 0.09 | 1.00 | |
| V | 0.34 * | 0.21 | 0.14 | 0.27 | 0.14 | 0.29 | 0.31 * | |
| 40–60 | As | 1.00 | ||||||
| Pb | 0.22 | 1.00 | ||||||
| Zn | 0.12 | 0.75 ** | 1.00 | |||||
| Cu | 0.44 * | 0.59 * | 0.64 ** | 1.00 | ||||
| Ni | 0.25 | 0.21 | −0.01 | 0.11 | 1.00 | |||
| Mn | 0.05 | 0.07 | 0.18 | 0.14 | 0.11 | 1.00 | ||
| Cr | 0.41 * | 0.16 | 0.27 | 0.31 * | −0.01 | 0.05 | 1.00 | |
| V | 0.26 | −0.01 | −0.06 | 0.27 | 0.25 | 0.07 | 0.24 |
Publisher’s Note: MDPI stays neutral with regard to jurisdictional claims in published maps and institutional affiliations. |
© 2022 by the authors. Licensee MDPI, Basel, Switzerland. This article is an open access article distributed under the terms and conditions of the Creative Commons Attribution (CC BY) license (https://creativecommons.org/licenses/by/4.0/).
Share and Cite
Zang, H.; Zhang, Y.; Yao, J.; Ma, H. Source Analysis of Heavy Metal Pollution Using UNMIX and PMF Models in Soils along the Shuimo River in Urumqi, China. Int. J. Environ. Res. Public Health 2022, 19, 14794. https://doi.org/10.3390/ijerph192214794
Zang H, Zhang Y, Yao J, Ma H. Source Analysis of Heavy Metal Pollution Using UNMIX and PMF Models in Soils along the Shuimo River in Urumqi, China. International Journal of Environmental Research and Public Health. 2022; 19(22):14794. https://doi.org/10.3390/ijerph192214794
Chicago/Turabian StyleZang, Honggang, Yidan Zhang, Junqin Yao, and Huiying Ma. 2022. "Source Analysis of Heavy Metal Pollution Using UNMIX and PMF Models in Soils along the Shuimo River in Urumqi, China" International Journal of Environmental Research and Public Health 19, no. 22: 14794. https://doi.org/10.3390/ijerph192214794
APA StyleZang, H., Zhang, Y., Yao, J., & Ma, H. (2022). Source Analysis of Heavy Metal Pollution Using UNMIX and PMF Models in Soils along the Shuimo River in Urumqi, China. International Journal of Environmental Research and Public Health, 19(22), 14794. https://doi.org/10.3390/ijerph192214794
