Current Progress in Natural Degradation and Enhanced Removal Techniques of Antibiotics in the Environment: A Review
Abstract
1. Introduction
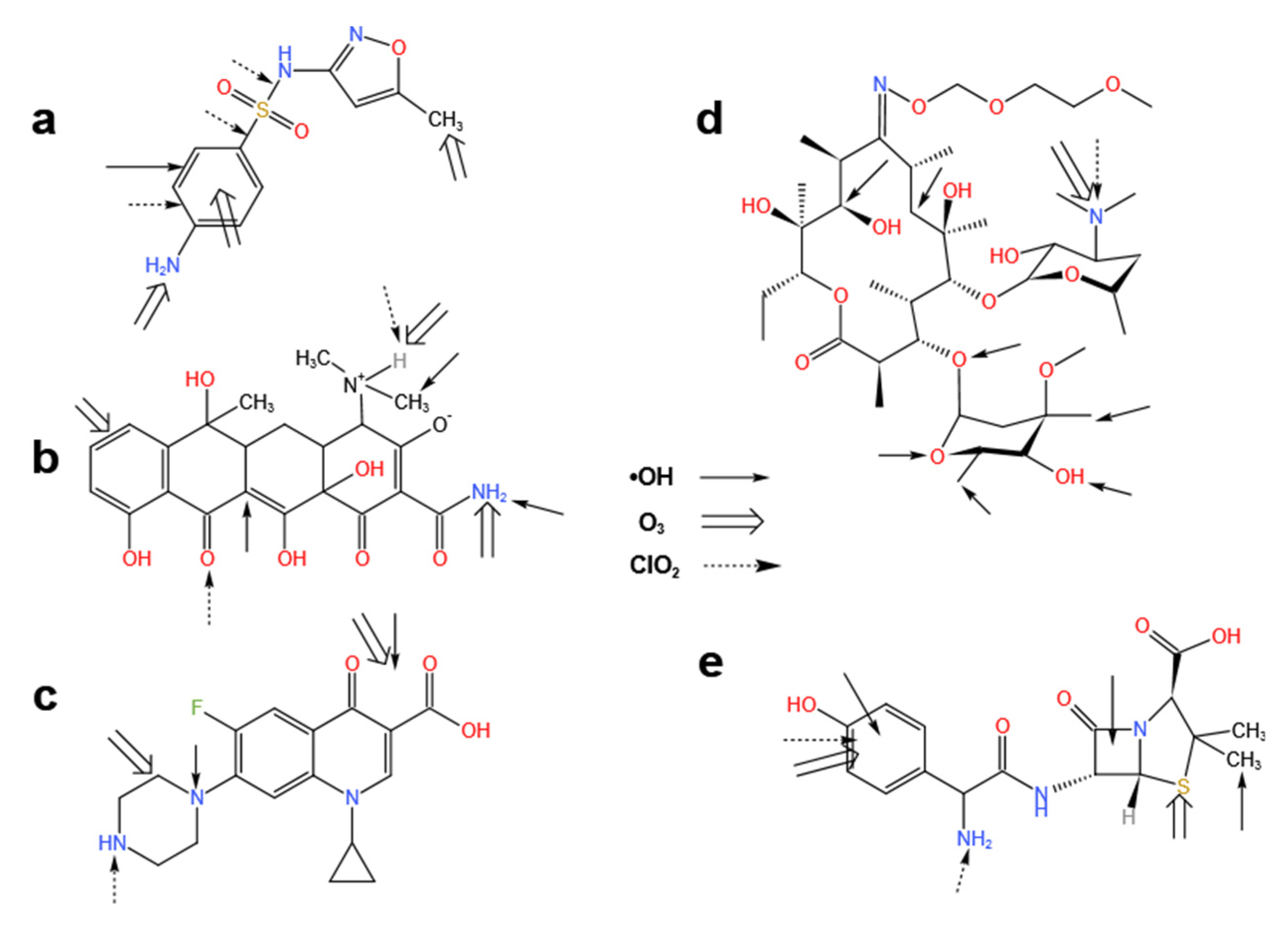
2. Degradation of Antibiotics in the Natural Environment
2.1. Photolysis
2.2. Hydrolysis
2.3. Biodegradation
3. Enhanced Removal Techniques
3.1. Biotechnology
3.2. Membrane Filtration
3.3. Adsorption
3.4. Advanced Oxidation Processes
3.5. Microbial Electrochemical Systems
3.6. Constructed Wetland
3.7. Microalgae Technique
3.8. Hybrid Technology
4. Conclusions and Perspective
Author Contributions
Funding
Institutional Review Board Statement
Informed Consent Statement
Conflicts of Interest
References
- Carvalho, I.T.; Santos, L. Antibiotics in the Aquatic Environments: A Review of the European Scenario. Environ. Int. 2016, 94, 736–757. [Google Scholar] [CrossRef] [PubMed]
- Moreno-Bondi, M.C.; Marazuela, M.D.; Herranz, S.; Rodriguez, E. An Overview of Sample Preparation Procedures for LC-MS Multiclass Antibiotic Determination in Environmental and Food Samples. Anal. Bioanal. Chem. 2009, 365, 921–946. [Google Scholar] [CrossRef] [PubMed]
- Ventola, C.L. The antibiotic resistance crisis: Part 1: Causes and threats. Pharmacol. Therapeut. 2015, 40, 277–283. [Google Scholar]
- Xu, Y.; Guo, C.S.; Luo, Y.; Lv, J.P.; Zhang, Y.; Lin, H.X.; Wang, L.; Xu, J. Occurrence and Distribution of Antibiotics, Antibiotic Resistance Genes in the Urban Rivers in Beijing, China. Environ. Pollut. 2016, 213, 833–840. [Google Scholar] [CrossRef] [PubMed]
- Zhang, H.M.; Liu, P.X.; Feng, Y.J.; Yang, F.L. Fate of Antibiotics during Wastewater Treatment and Antibiotic Distribution in the Effluent-receiving Waters of the Yellow Sea, Northern China. Mar. Pollut. Bull. 2013, 73, 282–290. [Google Scholar] [CrossRef]
- Shao, S.; Hu, Y.; Cheng, J.; Chen, Y. Research progress on distribution, migration, transformation of antibiotics and antibiotic resistance genes (ARGs) in aquatic environment. Crit. Rev. Biotechnol. 2018, 38, 1195–1208. [Google Scholar] [CrossRef]
- Zhang, S.; Lv, X.; Han, B.; Gu, X.; Wang, P.; Wang, C.; He, Z. Prevalence of antibiotic resistance genes in antibiotic-resistant Escherichia coli isolates in surface water of Taihu Lake Basin, China. Environ. Sci. Pollut. Res. 2015, 22, 11412–11421. [Google Scholar] [CrossRef]
- Lekunberri, I.; Villagrasa, M.; Balcazar, J.L.; Borrego, C.M. Contribution of bacteriophage and plasmid DNA to the mobilization of antibiotic resistance genes in a river receiving treated wastewater discharges. Sci. Total Environ. 2017, 601, 206–209. [Google Scholar] [CrossRef]
- Stoll, C.; Sidhu, J.P.S.; Tiehm, A.; Toze, S. Prevalence of clinically relevant antibiotic resistance genes in surface water samples collected from Germany and Australia. Environ. Sci. Technol. 2012, 46, 9716–9726. [Google Scholar] [CrossRef]
- Ash, R.J.; Mauck, B.; Morgan, M. Antibiotic resistance of gramnegative bacteria in rivers, United States. Emerg. Infect. Dis. 2002, 8, 713–716. [Google Scholar]
- Laroche, E.; Pawlak, B.; Berthe, T.; Skurnik, D.; Petit, F. Occurrence of antibiotic resistance and class 1, 2 and 3 integrons in Escherichia coli isolated from a densely populated estuary (Seine, France). FEMS Microbiol. Ecol. 2009, 68, 118–130. [Google Scholar] [CrossRef][Green Version]
- Kneebone, J.; Tsang, P.C.W.; Towson, D.H. Rapid Antibiotic Screening Tests Detect Antibiotic Residues in Powdered Milk Products. J. Dairy Sci. 2010, 93, 3961–3964. [Google Scholar] [CrossRef]
- Jammoul, A.; El Darra, N. Evaluation of Antibiotics Residues in Chicken Meat Samples in Lebanon. Antibiotics 2019, 8, 69. [Google Scholar] [CrossRef]
- Farouk, F.; Azzazy, H.M.E.; Niessen, W.M.A. Challenges in the Determination of Aminoglycoside Antibiotics, a Review. Anal. Chim. Acta 2015, 890, 21–43. [Google Scholar] [CrossRef]
- Dawadi, S.; Thapa, R.; Modi, B.; Bhandari, S.; Timilsina, A.P.; Yadav, R.P.; Aryal, B.; Gautam, S.; Sharma, P.; Thapa, B.B.; et al. Technological Advancements for the Detection of Antibiotics in Food Products. Processes 2021, 9, 1500. [Google Scholar] [CrossRef]
- Catelani, T.A.; Tóth, I.V.; Lima, J.L.F.C.; Pezza, L.; Pezza, H.R. A simple and rapid screening method for sulfonamides in honey using a flow injection system coupled to a liquid waveguide capillary cell. Talanta 2014, 121, 281–287. [Google Scholar] [CrossRef]
- Zhang, Y.; Li, X.Q.; Li, H.M.; Zhang, Q.H.; Gao, Y.; Li, X.J. Antibiotic residues in honey: A review on analytical methods by liquid chromatography tandem mass spectrometry. TrAC Trend. Anal. Chem. 2019, 110, 344–356. [Google Scholar] [CrossRef]
- Bogialli, S.; Di Corcia, A. Recent applications of liquid chromatography-mass spectrometry to residue analysis of antimicrobials in food of animal origin. Anal. Bioanal. Chem. 2009, 395, 947–966. [Google Scholar] [CrossRef]
- El Hassani, N.E.A.; Baraket, A.; Neto, E.T.T.; Lee, M.; Salvador, J.P.; Marco, M.P.; Bausells, J.; El Bari, N.; Bouchikhi, B.; Elaissari, A.; et al. Novel strategy for sulfapyridine detection using a fully integrated electrochemical Bio-MEMS: Application to honey analysis. Biosens. Bioelectron. 2017, 93, 282–288. [Google Scholar] [CrossRef]
- Bu, Q.W.; Wang, B.; Huang, J.; Deng, S.; Yu, G. Pharmaceuticals and Personal Care Products in the Aquatic Environment in China: A review. J. Hazard. Mater. 2013, 262, 189–211. [Google Scholar] [CrossRef]
- Jiang, Y.; Li, M.; Guo, C.; An, D.; Xu, J.; Zhang, Y.; Xi, B.D. Distribution and Ecological Risk of Antibiotics in A Typical Effluent-receiving River (Wangyang River) in North China. Chemosphere 2014, 112, 267–274. [Google Scholar] [CrossRef]
- Xu, J.; Zhang, Y.; Zhou, C.; Guo, C.; Wang, D.; Du, P.; Luo, Y.; Wan, J.; Meng, W. Distribution, Sources and Composition of Antibiotics in Sediment, Overlying Water and Pore Water from Taihu Lake, China. Sci. Total Environ. 2014, 497, 267–273. [Google Scholar] [CrossRef] [PubMed]
- Bilal, M.; Ashraf, S.S.; Barcelo, D.; Iqbal, H.M.N. Biocatalytic Degradation/Redefining “Removal” Fate of Pharmaceutically Active Compounds and Antibiotics in the Aquatic Environment. Sci. Total Environ. 2019, 691, 1190–1211. [Google Scholar] [CrossRef] [PubMed]
- Charuaud, L.; Jarde, E.; Jaffrezic, A.; Thomas, M.F.; Bot, B.L. Veterinary Pharmaceutical Residues from Natural Water to Tap Water: Sales, Occurrence and Fate. J. Hazard. Mater. 2019, 361, 169–186. [Google Scholar] [CrossRef] [PubMed]
- Ben, Y.J.; Hu, M.; Zhang, X.Y.; Wu, S.M.; Wong, M.H.; Wang, M.Y.; Andrews, C.B.; Zheng, C.M. Efficient Detection and Assessment of Human Exposure to Trace Antibiotic Residues in Drinking Water. Water Res. 2020, 175, 115699. [Google Scholar] [CrossRef]
- Xie, H.; Chen, J.; Chen, Q.; Chen, C.; Du, J.; Tan, F.; Zhou, C. Development and evaluation of diffusive gradients in thin films technique for measuring antibiotics in seawater. Sci. Total Environ. 2018, 618, 1605. [Google Scholar] [CrossRef]
- Zou, S.; Xu, W.; Zhang, R.; Tang, J.; Chen, Y.; Zhang, G. Occurrence and distribution of antibiotics in coastal water of the bohai bay, China: Impacts of river discharge and aquaculture activities. Environ. Pollut. 2011, 159, 2913–2920. [Google Scholar] [CrossRef]
- Yan, C.; Yang, Y.; Zhou, J.; Nie, M.; Liu, M.; Hochella, M.F. Selected emerging organic contaminants in the yangtze estuary, China: A comprehensive treatment of their association with aquatic colloids. J. Hazard. Mater. 2015, 283, 14–23. [Google Scholar] [CrossRef]
- Mutiyar, P.K.; Mittal, A.K. Risk assessment of antibiotic residues in different water matrices in India: Key issues and challenges. Environ. Sci. Pollut. Res. 2014, 21, 7723–7736. [Google Scholar] [CrossRef]
- Liu, X.; Wang, Z.; Zhang, L.; Fan, W.; Yang, C.; Li, E.; Du, Y.; Wang, X. Inconsistent seasonal variation of antibiotics between surface water and groundwater in the Jianghan Plain: Risks and linkage to land uses. J. Environ. Sci. 2021, 109, 102–113. [Google Scholar] [CrossRef]
- Zainab, S.M.; Junaid, M.; Xu, N.; Malik, R.N. Antibiotics and antibiotic resistant genes (ARGs) in groundwater: A global review on dissemination, sources, interactions, environmental and human health risks. Water Res. 2020, 187, 116455. [Google Scholar] [CrossRef]
- Boy-Roura, M.; Mas-Pla, J.; Petrovic, M.; Gros, M.; Soler, D.; Brusi, D.; Menció, A. Towards the understanding of antibiotic occurrence and transport in groundwater: Findings from the Baix Fluvià alluvial aquifer (NE Catalonia, Spain). Sci. Total Environ. 2018, 612, 1387–1406. [Google Scholar] [CrossRef]
- Shi, J.; Dong, Y.; Shi, Y.; Yin, T.; He, W.; An, T.; Tang, Y.; Hou, X.; Chong, S.; Chen, D.; et al. Groundwater antibiotics and microplastics in a drinking-water source area, northern China: Occurrence, spatial distribution, risk assessment, and correlation. Environ. Res. 2022, 210, 112855. [Google Scholar] [CrossRef]
- Lewandowski, J.; Putschew, A.; Schwesig, D.; Neumann, C.; Radke, M. Fate of organic micropollutants in the hyporheic zone of a eutrophic lowland stream: Results of a preliminary field study. Sci. Total Environ. 2011, 409, 1824–1835. [Google Scholar] [CrossRef]
- Tong, L.; Huang, S.B.; Wang, Y.X.; Liu, H.; Li, M.J. Occurrence of Antibiotics in the Aquatic Environment of Jianghan Plain, Central China. Sci. Total Environ. 2014, 497, 180–187. [Google Scholar] [CrossRef]
- Guo, X.; Akram, S.; Stedtfeld, R.; Johnson, M.; Mitchell, J. Distribution of antimicrobial resistance across the overall environment of dairy farms—A case study. Sci. Total Environ. 2021, 788, 147489. [Google Scholar] [CrossRef]
- Ellis, J.B. Pharmaceutical and Personal Care Products (PPCPs) in Urban Receiving Waters. Environ. Pollut. 2006, 144, 184–189. [Google Scholar] [CrossRef]
- González-Pleiter, M.; Gonzalo, S.; Rodea-Palomares, I.; Leganés, F.; Rosal, R.; Boltes, K.; Marco, E.; Fernández-Piñas, F. Toxicity of five antibiotics and their mixtures towards photosynthetic aquatic organisms: Implications for environmental risk assessment. Water Res. 2013, 47, 2050–2064. [Google Scholar] [CrossRef]
- Johansson, C.H.; Janmar, L.; Backhaus, T. Toxicity of ciprofloxacin and sulfamethoxazole to marine periphytic algae and bacteria. Aquat. Toxicol. 2014, 156, 248–258. [Google Scholar] [CrossRef]
- Gorokhova, E.; Rivetti, C.; Furuhagen, S.; Edlund, A.; Ek, K.; Breitholtz, M. Bacteria-mediated effects of antibiotics on daphnia nutrition. Environ. Sci. Technol. 2015, 49, 5779–5787. [Google Scholar] [CrossRef]
- Lin, T.; Chen, Y.; Chen, W. Toxic effect of sulfadiazine on the growth of zebrafish embryos in the water body. J. Safety Environ. 2014, 14, 324–327. [Google Scholar]
- Bilal, M.; Mehmood, S.; Rasheed, T.; Iqbal, H.M.N. Antibiotics Traces in the Aquatic Environment: Persistence and Adverse Environmental Impact. Curr. Opin. Environ. Sci. Health 2019, 13, 68–74. [Google Scholar] [CrossRef]
- Zhou, Q.; Cheng, Y.; Zhang, Q.; Liang, J. Quantitative Analyses of Relationships between EcotoxicologicalEffects and Combined Pollution. Sci. China Ser. C Life Sci. 2004, 47, 332–339. [Google Scholar] [CrossRef] [PubMed]
- Li, Z.; Qi, W.; Feng, Y.; Liu, Y.; Ebrahim, S.; Long, J. Degradation mechanisms of oxytetracycline in the environment. J. Integr. Agr. 2019, 18, 1953–1960. [Google Scholar] [CrossRef]
- Liu, X.; Lv, K.; Deng, C.; Yu, Z.; Shi, J.; Johnson, A.C. Persistence and migration of tetracycline, sulfonamide, quinolone, and macrolide antibiotics in streams using a simulated hydrodynamic system. Environ. Pollut. 2019, 252, 1532–1538. [Google Scholar] [CrossRef]
- Zhang, Y.; Xu, J.; Zhong, Z.; Guo, C.; Li, L.; He, Y.; Fan, W.; Chen, Y. Degradation of sulfonamides antibiotics in lake water and sediment. Environ. Sci. Pollut. Res. 2013, 20, 2372–2380. [Google Scholar] [CrossRef]
- Baena-Nogueras, R.M.; González-Mazo, E.; Lara-Martín, P.A. Degradation kinetics of pharmaceuticals and personal care products in surface waters: Photolysis vs. biodegradation. Sci. Total Environ. 2017, 590–591, 643–654. [Google Scholar] [CrossRef]
- Aymerich, I.; Acuña, V.; Barceló, D.; García, M.J.; Petrovic, M.; Poch, M.; Sabater, S.; Rodriguez-Mozaz, S.; Rodríguez-Roda, I.; von Schiller, D.; et al. Attenuation of pharmaceuticals and their transformation products in a wastewater treatment plant and its receiving river ecosystem. Water Res. 2016, 100, 126–136. [Google Scholar] [CrossRef]
- Li, Z.; Sobek, A.; Radke, M. Flume Experiments To Investigate the Environmental Fate of Pharmaceuticals and Their Transformation Products in Streams. Environ. Sci. Technol. 2015, 49, 6009–6017. [Google Scholar] [CrossRef]
- Caracciolo, A.B.; Grenni, P.; Rauseo, J.; Ademollo, N.; Cardoni, M.; Rolando, L.; Patrolecco, L. Degradation of a fluoroquinolone antibiotic in an urbanized stretch of the River Tiber. Microchem. J. 2016, 136, 43–48. [Google Scholar] [CrossRef]
- Gothwal, R.; Shashidhar, T. Antibiotic Pollution in the Environment: A Review. Clean–Soil Air Water 2015, 43, 479–489. [Google Scholar] [CrossRef]
- Zaranyika, M.F.; Dzomba, P.; Kugara, J. Degradation of Oxytetracycline in the Aquatic Environment: A Proposed Steady State Kinetic Model That Takes Into Account Hydrolysis, Photolysis, Microbial Degradation and Adsorption by Colloidal and Sediment Particles. Environ. Chem. 2015, 12, 174–188. [Google Scholar] [CrossRef]
- Arnold, W.A.; McNeill, K. Transformation of pharmaceuticals in the environment: Photolysis and other abiotic processes. Compr. Anal. Chem. 2007, 50, 361–385. [Google Scholar]
- Razuc, M.; Garrido, M.; Caro, Y.; Teglia, C.; Goicoechea, H.; Fernandez-Band, C.B. Hybrid Hard and Soft Modeling of Spectrophotometric Data for Monitoring of Ciprofloxacin and Its Main Photodegradation Products at Different pH Values. Spectrochim. Acta A 2013, 106, 146–154. [Google Scholar] [CrossRef]
- Edhlund, B.L.; Arnold, W.A.; Mcneill, K. Aquatic Photochemistry of Nitrofuran Antibiotics. Environ. Sci. Technol. 2006, 40, 5422–5427. [Google Scholar] [CrossRef]
- Snowberger, S.; Adejumo, H.; He, K.; Mangalgiri, K.P.; Hopanna, M.; Soares, A.D.; Blaney, L. Direct Photolysis of Fluoroquinolone Antibiotics at 253.7 nm: Specific Reaction Kinetics and Formation of Equally Potent Fluoroquinolone Antibiotics. Environ. Sci. Technol. 2016, 50, 9533–9542. [Google Scholar] [CrossRef]
- Koe, W.S.; Lee, J.W.; Chong, W.C.; Pang, Y.L.; Sim, L.C. An overview of photocatalytic degradation: Photocatalysts, mechanisms, and development of photocatalytic membrane. Environ. Sci. Pollut. Res. 2020, 27, 2522–2565. [Google Scholar] [CrossRef]
- Dai, Y.; Liu, M.; Li, J.; Yang, S.; Sun, Y.; Sun, Q.; Wang, W.; Lu, L.; Zhang, K.; Xu, J.; et al. A Review on Pollution Situation and Treatment Methods of Tetracycline in Groundwater. Sep. Sci. Technol. 2020, 55, 1005–1021. [Google Scholar] [CrossRef]
- Wenk, J.; Graf, C.; Aeschbacher, M.; Sander, M.; Canonica, S. Effect of Solution pH on the Dual Role of Dissolved Organic Matter in Sensitized Pollutant Photooxidation. Environ. Sci. Technol. 2021, 55, 15110–15122. [Google Scholar] [CrossRef]
- Zhu, H.M.; Cao, G.D.; Qiang, C.; Fu, Y.K.; Wu, Y.L.; Li, X.; Han, G.R. Hollow ferric-tannic acid nanocapsules with sustained O(2)and ROS induction for synergistic tumor therapy. Biomater. Sci. 2020, 8, 3844–3855. [Google Scholar] [CrossRef]
- Saha, A.; Goldstein, S.; Cabelli, D.; Czapski, G. Determination of optimal conditions for synthesis of peroxynitrite by mixing acidified hydrogen peroxide with nitrite. Free Radic. Biol. Med. 1998, 24, 653–659. [Google Scholar] [CrossRef]
- Ju, L.; Wu, P.; Lai, X.; Yang, S.; Gong, B.; Chen, M.; Zhu, N. Synthesis and Characterization of Fullerene Modified ZnAlTi-LDO in Photo-Degradation of Bisphenol A Under Simulated Visible Light Irradiation. Environ. Pollut. 2017, 228, 234–244. [Google Scholar] [CrossRef] [PubMed]
- Martin, B.P.; Martal, V.; Marco, G. Theoretical Mechanistic Study of Self-Sensitized Photo-Oxygenation and Singlet Oxygen Thermal Release in A Dimethyldihydropyrene Derivative. J. Photochem. Photobiol. A Chem. 2017, 333, 156–164. [Google Scholar]
- Zhou, J.; Li, M.X.; Luo, L.; Gao, H.; Zheng, F. Photodegradation of Moxifloxacin Hydrochloride Solutions Under Visible Light Irradiation: Identification of Products and the Effect of pH on Their Formation. AAPS PharmSciTech 2018, 19, 1182–1190. [Google Scholar] [CrossRef]
- Hubicka, U.; Zmudzki, P.; Talik, P.; Uromska-Witek, B.; Krzek, J. Photodegradation Assessment of Ciprofloxacin, Moxifloxacin, Norfloxacin and Ofloxacin in the Presence of Excipients from Tablets by UPLC-MS/MS and DSC. Chem. Cent. J. 2013, 7, 133–144. [Google Scholar] [CrossRef]
- Zhang, Z.C.; Xie, X.D.; Yu, Z.Q.; Cheng, H.F. Influence of chemical speciation on photochemical transformation of three fluoroquinolones (FQs) in water: Kinetics, mechanism, and toxicity of photolysis products. Water Res. 2019, 148, 19–29. [Google Scholar] [CrossRef]
- Ding, Y.; Jiang, W.; Liang, B.; Han, J.; Cheng, H.; Haider, M.R.; Wang, H.; Liu, W.; Liu, S.; Wang, A. UV photolysis as an efficient pretreatment method for antibiotics decomposition and their antibacterial activity elimination. J. Hazard. Mater. 2020, 392, 122321. [Google Scholar] [CrossRef]
- Babic, S.; Perisa, M.; Skoric, I. Photolytic degradation of norfloxacin, enrofloxacin and ciprofloxacin in various aqueous media. Chemosphere 2013, 91, 1635–1642. [Google Scholar] [CrossRef]
- Batisia, A.P.S.; Cottrell, B.A.; Nogueira, R.F.P. Photochemical Transformation of Antibiotics by Excitation of Fe(III)-Complexes in Aqueous Medium. J. Photochem. Photobiol. A Chem. 2014, 274, 50–56. [Google Scholar] [CrossRef]
- Dzhakipbekov, E.; Sakibayeva, S.A.; Dzhakipbekova, N.; Tarlanova, B.; Sagitova, G.; Shingisbayeva, Z.A. The Study of Physical and Chemical Properties of Water-Soluble Polymer Reagents and Their Compatibility With Antibiotics. Rasayan J. Chem. 2020, 13, 1417–1423. [Google Scholar] [CrossRef]
- Loftin, K.A.; Adamds, C.D.; Meyer, M.T.; Surampallic, R. Effects of Ionic Strength, Temperature, and pH on Degradation of Selected Antibiotics. J. Environ. Qual. 2008, 37, 378–386. [Google Scholar] [CrossRef]
- Chen, W.; Huang, C. Transformation kinetics and pathways of tetracycline antibiotics with manganese oxide. Environ. Pollut. 2011, 159, 1092–1100. [Google Scholar] [CrossRef]
- Chen, X.; Yang, Y.; Ke, Y.; Chen, C.; Xie, S. A comprehensive review on biodegradation of tetracyclines: Current research progress and prospect. Sci. Total Environ. 2022, 814, 152852. [Google Scholar] [CrossRef]
- Mitchell, S.M.; Ullman, J.L.; Teel, A.L.; Watts, R.J. pH and temperature effects on the hydrolysis of three beta-lactam antibiotics: Ampicillin, cefalotin and cefoxitin. Sci. Total Environ. 2014, 466–467, 547–555. [Google Scholar] [CrossRef]
- Mitchell, S.M.; Ullman, J.L.; Teel, A.L.; Watts, R.J. Hydrolysis of amphenicol and macrolide antibiotics: Chloramphenicol, florfenicol, spiramycin, and tylosim. Chemosphere 2015, 134, 504–511. [Google Scholar] [CrossRef]
- Trovó, A.G.; Nogueira, R.; Agueera, G.A.; Fernandez-Alba, A.R.; Sirtori, C.; Malato, S. Degradation of sulfamethoxazole in water by solar photo-Fenton. Chemical and toxicological evaluation. Water Res. 2009, 43, 3922–3931. [Google Scholar] [CrossRef]
- Guo, R.; Chen, J. Application of alga-activated sludge combined system (AASCS) as a novel treatment to remove cephalosporins. Chem. Eng. J. 2015, 260, 550–556. [Google Scholar] [CrossRef]
- Xuan, R.C.; Arisi, L.; Wang, Q.Q.; Yates, S.R.; Biswas, K.C. Hydrolysis and Photolysis of Oxytetracycline in Aqueous Solution. J. Environ. Sci. Health Part B 2009, 45, 73–81. [Google Scholar] [CrossRef]
- Shao, S.; Wu, X. Microbial degradation of tetracycline in the aquatic environment: A review. Crit. Rev. Biotechnol. 2020, 40, 1010–1018. [Google Scholar] [CrossRef]
- Ubando, A.T.; Africa, A.D.M.; Maniquiz-Redillas, M.C.; Culaba, A.B.; Chen, W.; Chang, J. Microalgal Biosorption of Heavy Metals: A Comprehensive Bibliometric Review. J. Hazard. Mater. 2021, 402, 123431. [Google Scholar] [CrossRef]
- Naik, K.; Mishra, S.; Srichandan, H.; Singh, P.K.; Sarangi, P.K. Plant growth promoting microbes: Potential link to sustainable agriculture and environment. Biocatalysis Agricul. Biotechnol. 2019, 21, 101326. [Google Scholar] [CrossRef]
- Huang, X.; Zhang, X.; Feng, F.; Xu, X. Biodegradation of Tetracycline by the Yeast Strain Trichosporon mycotoxinivorans XPY-10. Prep. Biochem. Biotechnol. 2014, 46, 15–22. [Google Scholar] [CrossRef] [PubMed]
- Maki, T.; Hasegawa, H.; Kitami, H.; Fumoto, K.; Munekage, Y.; Ueda, K. Bacterial Degradation of Antibiotic Residues in Marine Fish Farm Sediments of Uranouchi Bay and Phylogenetic Analysis of Antibiotic-Degrading Bacteria Using 16S rDNA Sequences. Fisheries Sci. 2006, 72, 811–820. [Google Scholar] [CrossRef]
- Fuursted, K. Postexposure factors influencing the duration of postantibiotic effect: Significance of temperature, pH, cations, and oxygen tension. Antimicrob. Agents Chemother. 1997, 41, 1693–1696. [Google Scholar] [CrossRef]
- Kirk, J.L.; Klironomos, J.N.; Lee, H.; Trevors, J.T. The Effects of Perennial Ryegrass and Alfalfa on Microbial Abundance and Diversity in Petroleum Contaminated Soil. Environ. Pollut. 2005, 133, 455–465. [Google Scholar] [CrossRef]
- Wang, C.; Zheng, S.S.; Wang, P.F.; Qian, J. Effects of Vegetations on the Removal of Contaminants in Aquatic Environments: A Review. J. Hydrodyn. 2014, 26, 497–511. [Google Scholar] [CrossRef]
- Onydinma, U.P.; Aljerf, L.; Obike, A.; Onah, O.E.; Caleb, N.J. Evaluation of physicochemical characteristics and health risk of polycyclic aromatic hydrocarbons in borehole waters around automobile workshops in Southeastern Nigeria. Groundw. Sustain. Dev. 2021, 14, 100615. [Google Scholar] [CrossRef]
- Kumara, K.; Gupta, S.C.; Baidoo, S.K.; Chander, Y.; Rosen, C.J. Antibiotic Uptake by Plants from Soil Fertilized with Animal Manure. J. Environ. Qual. 2005, 34, 2082–2085. [Google Scholar] [CrossRef]
- Migliore, L.; Cozzolino, S.; Fiori, M. Phytotoxicity to and uptake of enrofloxacin in crop plants. Chemosphere 2003, 52, 1233–1244. [Google Scholar] [CrossRef]
- Li, J.; Luo, C.; Zhang, D.; Cai, X.; Jiang, L.; Zhao, X.; Zhang, G. Diversity of the active phenanthrene degraders in PAH-polluted soil is shaped by ryegrass rhizosphere and root exudates. Soil Biol. Biochem. 2019, 128, 100–110. [Google Scholar] [CrossRef]
- Hoang, T.T.T.; Tu, L.T.C.; Le, N.P.; Dao, Q.P. A preliminary study on the phytoremediation of antibiotic contaminated sediment. Int. J. Phytoremediation 2013, 15, 65–76. [Google Scholar] [CrossRef]
- Chen, J.; Liu, S.; He, L.; Cheng, Y.; Ye, P.; Li, J.; Ying, G.; Wang, Y.; Yang, F. The fate of sulfonamides in the process of phytoremediation in hydroponics. Water Res. 2021, 198, 117145. [Google Scholar] [CrossRef]
- Ezeuko, A.S.; Ojemaye, M.; Okoh, O.O.; Okoh, A.I. Technological advancement for eliminating antibiotic resistance genes from wastewater: A review of their mechanisms and progress. J. Environ. Chem. Eng. 2021, 9, 106183. [Google Scholar] [CrossRef]
- Hiller, C.X.; Huebner, U.; Fajnorova, S.; Schwartz, T.; Drewes, J.E. Antibiotic Microbial Resistance (AMR) Removal Efficiencies by Conventional and Advanced Wastewater Treatment Processes: A Review. Sci. Total Environ. 2019, 685, 596–608. [Google Scholar] [CrossRef]
- Gulkowska, A.; Leung, H.W.; So, M.K.; Taniyasu, S.; Yamashita, N.; Yeung, L.W.Y.; Richardson, B.J.; Lei, A.P.; Giesy, J.P.; Lam, P.K.S. Removal of antibiotics from wastewater by sewage treatment facilities in Hong Kong and Shenzhen, China. Water Res. 2008, 42, 395–403. [Google Scholar] [CrossRef]
- Mohapatra, S.; Huang, C.H.; Mukherji, S.; Padhye, L.P. Occurrence and fate of pharmaceuticals in WWTPs in India and comparison comparison with a similar study in the United States. Chemosphere 2016, 159, 526–535. [Google Scholar] [CrossRef]
- Zuccato, E.; Castiglioni, S.; Bagnati, R.; Melis, M.; Fanelli, R. Source, occurrence and fate of antibiotics in the Italian aquatic environment. J. Hazard. Mater. 2010, 179, 1042–1048. [Google Scholar] [CrossRef]
- Kasprzyk-Hordern, B.; Dinsdale, R.M.; Guwy, A.J. The removal of pharmaceuticals, personal care products, endocrine disruptors and illicit drugs during wastewater treatment and its impact on the quality of receiving waters. Water Res. 2009, 43, 363–380. [Google Scholar] [CrossRef]
- Wang, W.; Zhang, W.; Liang, H.; Gao, D. Occurrence and fate of typical antibiotics in wastewater treatment plants in Harbin, North-east China. Front. Environ. Sci. Eng. 2019, 13, 34. [Google Scholar] [CrossRef]
- Greenham, R.T.; Miller, K.Y.; Tong, A. Removal efficiencies of top-used pharmaceuticals at sewage treatment plants with various technologies. J. Environ. Chem. Eng. 2019, 7, 103294. [Google Scholar] [CrossRef]
- Leng, L.; Wei, L.; Xiong, Q.; Xu, S.; Li, W.; Lv, S.; Lu, Q.; Wan, L.; Wen, Z.; Zhou, W. Use of microalgae based technology for the removal of antibiotics from wastewater: A review. Chemosphere 2020, 238, 124680. [Google Scholar] [CrossRef] [PubMed]
- García, N.D.; Zafra-Gómez, A.; Navalón, A.; González-López, J.; Hontoria, E.; Vílchez, J.L. Removal and degradation characteristics of quinolone antibiotics in laboratory-scale activated sludge reactors under aerobic, nitrifying and anoxic conditions. J. Environ. Manage. 2013, 120, 75–83. [Google Scholar] [CrossRef]
- Wang, X.; Chen, Z.; Shen, J.; Kang, J.; Zhang, X.; Li, J.; Zhao, X. Effect of carbon source on pollutant removal and microbial community dynamics in treatment of swine wastewater containing antibiotics by aerobic granular sludge. Chemosphere 2020, 260, 127544. [Google Scholar] [CrossRef] [PubMed]
- Liao, X.; Li, B.; Zou, R.; Xie, S.; Yuan, B. Antibiotic Sulfanilamide Biodegradation by Acclimated Microbial Populations. Appl. Microbiol. Biotechnol. 2016, 100, 2439–2447. [Google Scholar] [CrossRef] [PubMed]
- Chen, J.; Liu, Y.; Zhang, J.; Yang, Y.; Hu, L.; Yang, Y.; Zhao, J.; Chen, F.; Ying, G. Removal of Antibiotics from Piggery Wastewater by Biological Aerated Filter System: Treatment Efficiency and Biodegradation Kinetics. Bioresour. Technol. 2017, 238, 70–77. [Google Scholar] [CrossRef] [PubMed]
- Han, Y.; Yang, L.; Chen, X.; Cai, Y.; Shen, G. Removal of Veterinary Antibiotics from Swine Wastewater Using Anaerobic and Aerobic Biodegradation. Sci. Total Environ. 2020, 709, 136094. [Google Scholar] [CrossRef] [PubMed]
- Kumar, A.; Pal, D. Antibiotic resistance and wastewater: Correlation, impact and critical human health challenges. J. Environ. Chem. Eng. 2018, 6, 52–58. [Google Scholar] [CrossRef]
- Le-Minh, N.; Khan, S.J.; Drewes, J.E.; Stuetz, R.M. Fate of Antibiotics during Municipal Water Recycling Treatment Processes. Water Res. 2010, 44, 4295–4323. [Google Scholar] [CrossRef]
- Ganiyu, S.O.; Hullebusch, E.D.; Cretin, M.; Esposito, G.; Oturan, M.A. Coupling of membrane filtration and advanced oxidation processes for removal of pharmaceutical residues: A critical review. Sep. Purif. Technol. 2015, 156, 891–914. [Google Scholar] [CrossRef]
- Nghiem, L.D.; Hawkes, S. Effects of membrane fouling on the nanofiltration of pharmaceutically active compounds (PhACs): Mechanisms and role of membrane pore size. Sep. Purif. Technol. 2007, 57, 176–184. [Google Scholar] [CrossRef]
- Aljerf, L.; Nadra, R. Developed greener method based on MW implementation in manufacturing CNFs. Int. J. Nanomanufacturing 2019, 15, 269–289. [Google Scholar] [CrossRef]
- Liang, C.; Wei, D.; Zhang, S.; Ren, Q.; Liu, L. Removal of Antibiotic Resistance Genes from Swine Wastewater by Membrane Filtration Treatment. Ecotoxicol. Environ. Saf. 2021, 210, 111885. [Google Scholar] [CrossRef]
- Aljerf, L. Advanced highly polluted rainwater treatment process. J. Urban Environ. Eng. 2018, 12, 50–58. [Google Scholar] [CrossRef]
- Tan, X.; Liu, Y.; Zeng, G.; Wang, X.; Hu, X.; Gu, Y.; Yang, Z. Application of Biochar for the Removal of Pollutants from Aqueous Solutions. Chemosphere 2015, 125, 70–85. [Google Scholar] [CrossRef]
- Zha, S.X.; Zhou, Y.; Jin, X.; Chen, Z. The Removal of Amoxicillin from Wastewater Using Organobentonite. J. Environ. Manage. 2013, 129, 569–576. [Google Scholar] [CrossRef]
- Shao, L.; Ren, Z.; Zhang, G.; Chen, L. Facile Synthesis, Characterization of A MnFe2O4/Activated Carbon Magnetic Composite and Its Effectiveness in Tetracycline Removal. Mater. Chem. Phys. 2012, 135, 16–24. [Google Scholar] [CrossRef]
- Dutta, J.; Mala, A.A. Removal of Antibiotic from the Water Environment by the Adsorption Technologies: A Review. Water Sci. Technol. 2020, 82, 401–426. [Google Scholar] [CrossRef]
- Zheng, H.; Wang, Z.; Zhao, J.; Herbert, S.; Xing, B. Sorption of Antibiotic Sulfamethoxazole Varies with Biochars Produced at Different Temperatures. Environ. Pollut. 2013, 181, 60–67. [Google Scholar] [CrossRef]
- Rathod, M.; Haldar, S.; Basha, S. Nanocrystalline Cellulose for Removal of Tetracycline Hydrochloride from Water via Biosorption: Equilibrium, Kinetic and Thermodynamic Studies. Ecol. Eng. 2015, 84, 240–249. [Google Scholar] [CrossRef]
- Yu, Y.; Wang, W.; Shi, J.; Zhu, S.; Yan, Y. Enhanced Levofloxacin Removal from Water Using Zirconium (IV) Loaded Corn Bracts. Environ. Sci. Pollut. Res. 2017, 24, 10685–10694. [Google Scholar] [CrossRef]
- Babic, S.; Curkovic, L.; Ljubas, D.; Čizmić, M. TiO2 assisted photocatalytic degradation of macrolide antibiotics. Curr. Opin. Green Sust. 2017, 6, 34–41. [Google Scholar] [CrossRef]
- Chandan, S.; Rubina, C.; Kavita, G. Solar photocatalytic oxidation and disinfection of municipal wastewater using advanced oxidation processes based on pH, catalyst dose, and oxidant. J. Renew. Sustain. Ener. 2013, 5, 023124. [Google Scholar]
- Suwannaruang, T.; Kidkhunthod, P.; Butburee, T.; Shivaraju, H.P.; Shahmoradi, B.; Wantala, K. Facile synthesis of cooperative mesoporous-assembled CexSr1-xFexTi1-xO3 perovskite catalysts for enhancement beta-lactam antibiotic photodegradation under visible light irradiation. Surf. Interfaces 2021, 23, 101013. [Google Scholar] [CrossRef]
- Wang, P.; He, Y.; Huang, C. Reactions of tetracycline antibiotics with chlorine dioxide and free chlorine. Water Res. 2011, 45, 1838–1846. [Google Scholar] [CrossRef]
- Ben, W.; Shi, Y.; Li, W.; Zhang, Y.; Qiang, Z. Oxidation of sulfonamide antibiotics by chlorine dioxide in water: Kinetics and reaction pathways. Chem. Eng. J. 2017, 327, 743–750. [Google Scholar] [CrossRef]
- Martínez-Costa, J.I.; Rivera-Utrilla, J.; Leyva-Ramos, R.; Sánchez-Polo, M.; Velo-Gala, I.; Mota, A.J. Individual and simultaneous degradation of the antibiotics sulfamethoxazole and trimethoprim in aqueous solutions by Fenton, Fenton-like and photo-Fenton processes using solar and UV radiations. J. Photochem. Photobiol. A Chem. 2018, 360, 95–108. [Google Scholar] [CrossRef]
- Trovó, A.G.; PupoNogueira, R.F.; Agüera, A.; Fernandez-Alba, A.R.; Malato, S. Degradation of the antibiotic amoxicillin by photo-Fenton process–Chemical and toxicological assessment. Water Res. 2011, 45, 1394–1402. [Google Scholar] [CrossRef]
- Gou, Y.; Chen, P.; Yang, L.; Li, S.; Peng, L.; Song, S.; Xu, Y. Degradation of fluoroquinolones in homogeneous and heterogeneous photo-Fenton processes: A review. Chemosphere 2021, 270, 129481. [Google Scholar] [CrossRef]
- Chen, S.; Tang, L.; Feng, H.; Zhou, Y.; Zeng, G.; Lu, Y.; Yu, J.; Ren, X.; Peng, B.; Liu, X. Carbon felt cathodes for electro-Fenton process to remove tetracycline via synergistic adsorption and degradation. Sci. Total Environ. 2019, 670, 921–931. [Google Scholar] [CrossRef]
- Kim, T.H.; Kim, S.D.; Kim, H.Y.; Li, S.J.; Lee, M.; Yu, S. Degradation and toxicity assessment of sulfamethoxazole and chlortetracycline using electron beam, ozone and UV. J. Hazard. Mater. 2012, 227–228, 237–242. [Google Scholar] [CrossRef]
- Anjali, R.; Shanthakumar, S. Insights on the current status of occurrence and removal of antibiotics in wastewater by advanced oxidation processes. J. Environ. Manag. 2019, 246, 51–62. [Google Scholar] [CrossRef]
- Dantas, R.F.; Contreras, S.; Sans, C.; Esplugas, S. Sulfamethoxazole abatement by means of ozonation. J. Hazard. Mater. 2008, 150, 790–794. [Google Scholar] [CrossRef]
- Huber, M.M.; Korhonen, S.; Ternes, T.A.; Gunten, U.V. Oxidation of pharmaceuticals during water treatment with chlorine dioxide. Water Res. 2005, 39, 3607–3617. [Google Scholar] [CrossRef]
- Gao, S.; Zhao, Z.; Xu, Y.; Tian, J.; Qi, H.; Lin, W.; Cui, F. Oxidation of sulfamethoxazole (SMX) by chlorine, ozone and permanganate: A comparative study. J. Hazard. Mater. 2014, 274, 258–269. [Google Scholar] [CrossRef]
- Ostman, M.; Bjorlenius, B.; Fick, J.; Tysklind, M. Effect of Full-Scale Ozonation and Pilot-Scale Granular Activated Carbon on the Removal of Biocides, Antimycotics and Antibiotics in A Sewage Treatment Plant. Sci. Total Environ. 2019, 649, 1117–1123. [Google Scholar] [CrossRef]
- Zhang, R.; Yang, Y.; Huang, C.; Zhao, L.; Sun, P. Kinetics and Modeling of Sulfonamide Antibiotic Degradation in Wastewater and Human Urine by UV/H2O2 and UV/PDS. Water Res. 2016, 103, 283–292. [Google Scholar] [CrossRef]
- Lester, Y.; Avisar, D.; Gozlan, I.; Mamane, H. Removal of Pharmaceuticals Using Combination of UV/H2O2/O3Advanced Oxidation Process. Water Sci. Technol. 2011, 64, 2230–2238. [Google Scholar] [CrossRef]
- Pelalak, R.; Alizadeh, R.; Ghareshabani, E.; Heidari, Z. Degradation of sulfonamide antibiotics using ozone-based advanced oxidation process: Experimental, modeling, transformation mechanism and DFT study. Sci. Total Environ. 2020, 734, 139446. [Google Scholar] [CrossRef]
- Aljerf, L.; Williams, M.; Ajong, A.B.; Onydinma, U.P.; Dehmchi, F.; Pham, V.T.; Bhatnagar, S.; Belboukhari, N. Comparative study of the biochemical response behavior of some highly toxic minerals on selenosis in rats. Rev. Chim. 2021, 72, 9–18. [Google Scholar] [CrossRef]
- Du, Y.X.; Zhang, S.N.; Guo, R.X.; Chen, J.Q. Understanding the algal contribution in combined UV-algae treatment to remove antibiotic cefradine. RSC Adv. 2015, 5, 59953–59959. [Google Scholar] [CrossRef]
- Taoufik, N.; Boumya, W.; Achak, M.; Sillanpää, M.; Barka, N. Comparative overview of advanced oxidation processes and biological approaches for the removal pharmaceuticals. J. Environ. Manage. 2021, 288, 112404. [Google Scholar] [CrossRef]
- Rozendal, R.A.; Hamelers, H.V.M.; Rabaey, K.; Keller, J.; Buisman, C.J.N. Towards Practical Implementation of Bioelectrochemical Wastewater Treatment. Trends Biotechnol. 2008, 26, 450–459. [Google Scholar] [CrossRef]
- Zakaria, B.S.; Dhar, B.R. A Review of Stand-Alone and Hybrid Microbial Electrochemical Systems for Antibiotics Removal from Wastewater. Processes 2022, 10, 714. [Google Scholar] [CrossRef]
- Matsumae, Y.; Takahashi, Y.; Ino, K.; Shiku, H.; Matsue, T. Electrochemical Monitoring of Intracellular Enzyme Activity of Single Living Mammalian Cells by Using A Double-mediator System. Anal. Chim. Acta 2014, 842, 20–26. [Google Scholar] [CrossRef]
- Grattieri, M. Purple Bacteria Photo-bioelectrochemistry: Enthralling Challenges and Opportunities. Photochem. Photobiol. Sci. 2020, 19, 424–435. [Google Scholar] [CrossRef]
- Guo, N.; Wang, Y.; Yan, L.; Wang, X.; Wang, M.; Xu, H.; Wang, S. Effect of Bio-electrochemical System on the Fate and Proliferation of Chloramphenicol Resistance Genes during the Treatment of Chloramphenicol Wastewater. Water Res. 2017, 117, 95–101. [Google Scholar] [CrossRef]
- Li, H.; Song, H.; Xu, H.; Lu, Y.; Zhang, S.; Yang, Y.; Yang, X.; Lu, Y. Effect of the Coexposure of Sulfadiazine, Ciprofloxacin and Zinc on the Fate of Antibiotic Resistance Genes, Bacterial Communities and Functions in Three-dimensional Biofilm-electrode Reactors. Bioresour. Technol. 2020, 296, 122290. [Google Scholar] [CrossRef]
- Xue, W.; Li, F.; Zhou, Q. Degradation Mechanisms of Sulfamethoxazole and Its Induction of Bacterial Community Changes and Antibiotic Resistance Genes in A Microbial Fuel Cell. Bioresour. Technol. 2019, 289, 121632. [Google Scholar] [CrossRef]
- Hua, T.; Li, S.; Li, F.; Ondon, B.; Liu, Y.; Wang, H. Degradation Performance and Microbial Community Analysis of Microbial Electrolysis Cells for Erythromycin Wastewater Treatment. Biochem. Eng. J. 2019, 146, 1–9. [Google Scholar] [CrossRef]
- Kong, D.; Liang, B.; Lee, D.J.; Wang, A.; Ren, N. Effect of temperature switchover on the degradation of antibiotic chloramphenicol by biocathode bioelectrochemical system. J. Environ. Sci. 2014, 26, 1689–1697. [Google Scholar] [CrossRef]
- Mark, D.; Ni, G.; Hja, S.T. Possibilities for extremophilic microorganisms in microbial electrochemical systems. FEMS Microbiol. Rev. 2016, 2, 164–181. [Google Scholar]
- Liu, X.; Guo, X.; Liu, Y.; Lu, S.; Xi, B.; Zhang, J.; Wang, Z.; Bi, B. A Review on Removing Antibiotics and Antibiotic Resistance Genes from Wastewater by Constructed Wetlands: Performance and Microbial Response. Environ. Pollut. 2019, 254, 112996. [Google Scholar] [CrossRef] [PubMed]
- Chen, J.; Deng, W.; Liu, Y.; Hu, L.; He, L.; Zhao, J.; Wang, T.; Ying, G. Fate and removal of antibiotics and antibiotic resistance genes in hybrid constructed wetlands. Environ. Pollut. 2019, 249, 894–903. [Google Scholar] [CrossRef] [PubMed]
- He, Y.; Sutton, N.B.; Lei, Y.; Rijnaarts, H.H.M.; Langenhoff, A.A.M. Fata and Distribution of Pharmaceutically Active Compounds in Mesocosm Constructed Wetlands. J. Hazard. Mater. 2018, 357, 198–206. [Google Scholar] [CrossRef]
- Yan, Q.; Min, J.; Yu, Y.; Zhu, Z.; Feng, G. Microbial community response during the treatment of pharmaceutically active compounds (PhACs) in constructed wetland mesocosms. Chemosphere 2017, 186, 823–831. [Google Scholar] [CrossRef]
- Jechalke, S.; Heuer, H.; Siemens, J.; Amelung, W.; Smalla, K. Fate and Effects of Veterinary Antibiotics in Soil. Trends Microbiol. 2014, 22, 536–545. [Google Scholar] [CrossRef]
- Li, M.; Zhou, Q.; Tao, M.; Wang, Y.; Jiang, L.; Wu, Z. Comparative Study of Microbial Community Structure in Different Filter Media of Constructed Wetland. J. Environ. Sci. 2010, 22, 127–133. [Google Scholar] [CrossRef]
- Wang, S.; Wang, H. Adsorption behavior of antibiotic in soil environment: A critical review. Front. Environ. Sci. Eng. 2015, 9, 565–574. [Google Scholar] [CrossRef]
- Zhang, D.; Gersberg, R.M.; Ng, W.J.; Tan, S.K. Removal of Pharmaceuticals and Personal Care Products in Aquatic Plant-Based Systems: A Review. Environ. Pollut. 2014, 184, 620–639. [Google Scholar] [CrossRef]
- Liu, Y.; Liu, X.; Lu, S.; Zhao, B.; Guo, W. Adsorption and Biodegradation of Sulfamethoxazole and Ofloxacin on Zeolite: Influence of Particle Diameter and Redox Potential. Chem. Eng. J. 2020, 384, 123346. [Google Scholar] [CrossRef]
- Chen, M.; Zhu, M.; Zhu, Y.; Wang, D.; Li, Z.; Zeng, G.; Zhang, C.; Huang, J.; Xu, P. Collision of Emerging and Traditional Methods for Antibiotics Removal: Taking Constructed Wetlands and Nanotechnology as An Example. NanoImpact 2019, 15, 100175. [Google Scholar] [CrossRef]
- Liu, L.; Liu, Y.-H.; Liu, C.X.; Wang, Z.; Dong, J.; Zhu, G.; Huang, X. Potential Effect and Accumulation of Veterinary Antibiotics in Phragmitesaustralis under Hydroponic Condition. Ecol. Eng. 2013, 53, 138–143. [Google Scholar] [CrossRef]
- He, Y.; Zhang, L.; Jiang, L.; Wagner, T.; Langenhoff, A.A.M. Improving Removal of Antibiotics in Constructed Wetland Treatment Systems Based on Key Design and Operational Parameters: A Review. J. Hazard. Mater. 2021, 407, 124386. [Google Scholar] [CrossRef]
- Osundeko, O.; Dean, A.P.; Davies, H.; Pittman, J.K. Acclimation of Microalgae to Wastewater Environments Involves Increased Oxidative Stress Tolerance Activity. Plant Cell Physiol. 2014, 55, 1848–1857. [Google Scholar] [CrossRef]
- Xiong, J.; Kurade, M.B.; Jeon, B. Biodegradation of Levofloxacin by An Acclimated Freshwater Microalga, Chlorella vulgaris. Chem. Eng. J. 2017, 313, 1251–1257. [Google Scholar] [CrossRef]
- Bai, X.; Liang, W.; Sun, J.; Zhao, C.; Wang, P.; Zhang, Y. Enhanced production of microalgae-originated photosensitizer by integrating photosynthetic electrons extraction and antibiotic induction towards photocatalytic degradation of antibiotic: A novel complementary treatment process for antibiotic removal from effluent of conventional biological wastewater treatment. J. Environ. Manage. 2022, 308, 114527. [Google Scholar]
- Zhang, Z.; Yan, K.; Zhang, L.; Wang, Q.; Guo, R.; Yan, Z.; Chen, J. A Novel Cadmium-Containing Wastewater Treatment Method: Bio-Immobilization by Microalgae Cell and Their Mechanism. J. Hazard. Mater. 2019, 374, 420–427. [Google Scholar] [CrossRef]
- Norvill, Z.N.; Toledo-Cervantes, A.; Blanco, S.; Shilton, A.; Guieysse, B.; MuOz, R. Photodegradation and Sorption Govern Tetracycline Removal during Wastewater Treatment in Algal Ponds. Bioresour. Technol. 2017, 232, 35–43. [Google Scholar] [CrossRef]
- Xiong, Q.; Hu, L.X.; Liu, Y.S.; Zhao, J.L.; He, L.Y.; Ying, G.G. Microalgae-based technology for antibiotics removal: From mechanisms to application of innovational hybrid systems. Environ. Int. 2021, 155, 106594. [Google Scholar] [CrossRef]
- Xiong, J.Q.; Kurade, M.B.; Jeon, B.H. Can microalgae remove pharmaceutical contaminants from water? Trends Biotechnol. 2018, 36, 30–44. [Google Scholar] [CrossRef]
- Li, H.; Wei, L.; Lu, J. Algae-induced photodegradation of antibiotics: A review. Environ. Pollut. 2021, 272, 115589. [Google Scholar]
- Ganiyu, S.O.; Martínez-Huitle, C.A.; Rodrigo, M.A. Renewable Energies Driven Electrochemical Wastewater/Soil Decontamination Technologies: A Critical Review of Fundamental Concepts and Applications. Appl. Catal. B Environ. 2020, 270, 118857. [Google Scholar] [CrossRef]
- Ganiyu, S.O.; Zhou, M.; Martínez-Huitle, C.A. Heterogeneous electro-Fenton and photoelectro-Fenton processes: A critical review of fundamental principles and application for water/wastewater treatment. Appl. Catal. B Environ. 2018, 235, 103–129. [Google Scholar] [CrossRef]
- Ganiyu, S.O.; Le, T.X.H.; Bechelany, M.; Oturan, N.; Papirio, S.; Esposito, G.; van Hullebusch, E.; Cretin, M.; Oturan, M.A. Electrochemical mineralization of sulfamethoxazole over wide pH range using FeIIFeIII LDH modified carbon felt cathode: Degradation pathway, toxicity and reusability of the modified cathode. Chem. Eng. J. 2018, 350, 844–855. [Google Scholar] [CrossRef]
- Wang, X.; Li, F.; Hu, X.; Hua, T. Electrochemical advanced oxidation processes coupled with membrane filtration for degrading antibiotic residues: A review on its potential applications, advances, and challenges. Sci. Total Environ. 2021, 784, 146912. [Google Scholar] [CrossRef] [PubMed]
- Du, X.; Yang, W.; Zhao, J.; Zhang, W.; Cheng, X.; Liu, J.; Wang, Z.; Li, G.; Liang, H. Peroxymonosulfate-assisted electrolytic oxidation/coagulation combined with ceramic ultrafiltration for surface water treatment: Membrane fouling and sulfamethazine degradation. J. Clean. Prod. 2019, 235, 779–788. [Google Scholar] [CrossRef]
- Tan, T.; Zeng, Z.; Zeng, G.; Gong, J.L.; Ren, X.Y. Electrochemically Enhanced Simultaneous Degradation of Sulfamethoxazole, Ciprofloxacin and Amoxicillin from Aqueous Solution by Multi-walled Carbon Nanotube Filter. Sep. Purif. Technol. 2020, 235, 116167. [Google Scholar] [CrossRef]
- Gupta, S.; Srivastava, P.; Patil, S.A.; Yadav, A.K. A comprehensive review on emerging constructed wetland coupled microbial fuel cell technology: Potential applications and challenges. Bioresour. Technol. 2021, 320, 124376. [Google Scholar] [CrossRef]
- Song, H.L.; Li, H.; Zhang, S.; Yang, Y.L.; Zhang, L.M.; Xu, H.; Yang, X.L. Fate of sulfadiazine and its corresponding resistance genes in up-flow microbial fuel cell coupled constructed wetlands: Effects of circuit operation mode and hydraulic retention time. Chem. Eng. J. 2018, 350, 920–929. [Google Scholar] [CrossRef]
- Wen, H.; Zhu, H.; Yan, B.; Xu, Y.; Shutes, B. Treatment of typical antibiotics in constructed wetlands integrated with microbial fuel cells: Roles of plant and circuit operation mode. Chemosphere 2020, 250, 126252. [Google Scholar] [CrossRef] [PubMed]
- Li, H.; Xu, H.; Song, H.L.; Lu, Y.; Yang, X.L. Antibiotic resistance genes, bacterial communities, and functions in constructed wetland-microbial fuel cells: Responses to the co-stresses of antibiotics and zinc. Environ. Pollut. 2020, 265, 115084. [Google Scholar] [CrossRef]
- Xu, H.; Song, H.L.; Singh, R.P.; Yang, Y.L.; Xu, J.Y.; Yang, X.L. Simultaneous reduction of antibiotics leakage and methane emission from constructed wetland by integrating microbial fuel cell. Bioresoure Technol. 2021, 320, 124285. [Google Scholar] [CrossRef]
- Zhang, S.; Song, H.L.; Yang, X.L.; Yang, Y.L.; Yang, K.Y.; Wang, X.-Y. Fate of tetracycline and sulfamethoxazole and their corresponding resistance genes in microbial fuel cell coupled constructed wetlands. RSC Adv. 2016, 6, 95999–96005. [Google Scholar] [CrossRef]
- Dai, M.; Zhang, Y.; Wu, Y.; Sun, R.; Zong, W.; Kong, Q. Mechanism involved in the treatment of sulfamethoxazole in wastewater using a constructed wetland microbial fuel cell system. J. Environ. Chem. Eng. 2021, 9, 106193. [Google Scholar] [CrossRef]
- Wen, H.; Zhu, H.; Yan, B.; Bañuelos, G.; Shutes, B.; Wang, X.; Cao, S.; Cheng, R.; Tian, L. High removal efficiencies of antibiotics and low accumulation of antibiotic resistant genes obtained in microbial fuel cell-constructed wetlands intensified by sponge iron. Sci. Total Environ. 2021, 806, 150220. [Google Scholar] [CrossRef]
- Wen, H.; Zhu, H.; Xu, Y.; Yan, B.; Shutes, B.; Bañuelos, G.; Wang, X. Removal of sulfamethoxazole and tetracycline in constructed wetlands integrated with microbial fuel cells influenced by influent and operational conditions. Environ. Pollut. 2021, 272, 115988. [Google Scholar] [CrossRef]
- Li, H.; Xu, H.; Yang, Y.; Yang, X.; Wu, Y.; Zhang, S.; Song, H. Effects of graphite and Mn ore media on electro-active bacteria enrichment and fate of antibiotic and corresponding resistance gene in up flow microbial fuel cell constructed wetland. Water Res. 2019, 165, 114988. [Google Scholar] [CrossRef]
- Li, H.; Cai, Y.; Gu, Z.; Yang, Y.; Zhang, S.; Yang, X.; Song, H. Accumulation of sulfonamide resistance genes and bacterial community function prediction in microbial fuel cell-constructed wetland treating pharmaceutical wastewater. Chemosphere 2020, 248, 126014. [Google Scholar] [CrossRef]
- Li, H.; Song, H.; Yang, X.; Zhang, S.; Yang, Y.; Zhang, L.; Xu, H.; Wang, Y. A continuous flow MFC-CW coupled with a biofilm electrode reactor to simultaneously attenuate sulfamethoxazole and its corresponding resistance genes. Sci. Total Environ. 2018, 637–638, 295–305. [Google Scholar] [CrossRef]
- Zhang, X.; Song, H.L.; Yang, X.L.; Li, H.; Wang, Y.W. A system composed of a biofilm electrode reactor and a microbial fuel cell-constructed wetland exhibited efficient sulfamethoxazole removal but induced sul genes. Bioresource Technol. 2018, 256, 224–231. [Google Scholar] [CrossRef]
- Zhang, S.; Yang, X.; Li, H.; Song, H.; Wang, R.; Dai, Z. Degradation of sulfamethoxazole in bioelectrochemical system with power supplied by constructed wetland-coupled microbial fuel cells. Bioresource Technol. 2017, 244, 245–252. [Google Scholar] [CrossRef] [PubMed]
- Wang, Y.; Zhang, H.; Feng, Y.; Li, B.; Yu, M.; Xu, X.; Cai, L. Bio-Electron-Fenton (BEF) process driven by sediment microbial fuel cells (SMFCs) for antibiotics desorption and degradation. Biosens. Bioelectron. 2019, 136, 8–15. [Google Scholar] [CrossRef] [PubMed]
- Wang, Q.; Cai, Z.; Huang, L.; Pan, Y.; Quan, X.; Puma, G.L. Intensified degradation and mineralization of antibiotic metronidazole in photo-assisted microbial fuel cells with Mo-W catalytic cathodes under anaerobic or aerobic conditions in the presence of Fe(III). Chem. Eng. J. 2019, 376, 119566. [Google Scholar] [CrossRef]
- Xu, P.; Zheng, D.; He, Q.; Yu, J. The feasibility of ofloxacin degradation and electricity generation in photo-assisted microbial fuel cells with LiNbO3/CF photocatalytic cathode. Sep. Purif. Technol. 2020, 250, 117106. [Google Scholar] [CrossRef]
- Wang, Y.; Feng, C.; Li, Y.; Gao, J.; Yu, C. Enhancement of emerging contaminants removal using Fenton reaction driven by H2O2—producing microbial fuel cells. Chem. Eng. J. 2017, 307, 679–686. [Google Scholar] [CrossRef]
- Quijano, G.; Arcila, J.S.; Buitron, G. Microalgal-bacterial aggregates: Applications and perspectives for wastewater treatment. Biotechnol. Adv. 2017, 35, 772–781. [Google Scholar] [CrossRef]
- Gonçalves, A.L.; Pires, J.C.M.; Simōes, M. A review on the use of microalgal consortia for wastewater treatment. Algal Res. 2017, 24, 403–415. [Google Scholar] [CrossRef]
- Zhang, B.; Li, W.; Guo, Y.; Zhang, Z.Q.; Shi, W.X.; Cui, F.Y.; Lens, P.N.L.; Tay, J.H. Microalgal-bacterial consortia: From interspecies interactions to biotechnological applications. Renew. Sust. Energy Rev. 2020, 118, 109563. [Google Scholar] [CrossRef]
- Hassan, M.; Zhu, G.C.; Lu, Y.Z.; AL-Falahi, A.H.; Lu, Y.; Huang, S.; Wan, Z.R. Removal of antibiotics from wastewater and its problematic effects on microbial communities by bioelectrochemical technology: Current knowledge and future perspectives. Environ. Eng. Res. 2021, 26, 190405. [Google Scholar] [CrossRef]
- Yan, W.F.; Xiao, Y.; Yan, W.D.; Ding, R.; Wang, S.H.; Zhao, F. The effect of bioelectrochemical systems on antibiotics removal and antibiotic resistance genes: A review. Chem. Eng. J. 2019, 358, 1421–1437. [Google Scholar] [CrossRef]
- Saba, B.; Christy, A.D.; Yu, Z.T.; Co, A.C. Sustainable power generation from bacterio-algal microbial fuel cells (MFCs): An overview. Renew. Sust. Energy Rev. 2017, 73, 75–84. [Google Scholar] [CrossRef]
- Bhatia, S.K.; Mehariya, S.; Bhatia, R.K.; Kumar, M.; Pugazhendhi, A.; Awasthi, M.K.; Atabani, A.E.; Kumar, G.; Kim, W.; Seo, S.O.; et al. Wastewater based microalgal biorefinery for bioenergy production: Progress and challenges. Sci. Total Environ. 2021, 751, 141599. [Google Scholar] [CrossRef]
- Shukla, M.; Kumar, S. Algal growth in photosynthetic algal microbial fuel cell and its subsequent utilization for biofuels. Renew. Sust. Energy Rev. 2018, 82, 402–414. [Google Scholar] [CrossRef]
- Sun, M.; Lin, H.; Guo, W.; Zhao, F.Z.; Li, J. Bioaccumulation and biodegradation of sulfamethazine in Chlorella pyrenoidosa. J. Ocean Univ. China 2017, 16, 1167–1174. [Google Scholar] [CrossRef]
- Sun, J.; Li, N.; Yang, P.; Zhang, Y.; Yuan, Y.; Lu, X.; Zhang, H. Simultaneous antibiotic degradation, nitrogen removal and power generation in a microalgae-bacteria powered biofuel cell designed for aquaculture wastewater treatment and energy recovery. Int. J. Hydrogen Energy 2020, 45, 10871–10881. [Google Scholar] [CrossRef]
- Bolognesi, S.; Cecconet, D.; Callegari, A.; Capodaglio, A.G. Combined microalgal photobioreactor/microbial fuel cell system: Performance analysis under different process conditions. Environ. Res. 2020, 192, 110263. [Google Scholar] [CrossRef]
- Reddy, C.N.; Nguyen, H.T.H.; Noori, M.T.; Min, B. Potential applications of algae in the cathode of microbial fuel cells for enhanced electricity generation with simultaneous nutrient removal and algae biorefinery: Current status and future perspectives. Bioresour. Technol. 2019, 292, 122010. [Google Scholar] [CrossRef]
- Ahmed, M.B.; Zhou, J.L.; Ngo, H.H.; Guo, W.S.; Thomaidis, N.S.; Xu, J. Progress in the biological and chemical treatment technologies for emerging contaminant removal from wastewater: A critical review. J. Hazard. Mater. 2017, 323, 274–298. [Google Scholar] [CrossRef]
- Li, H.T.; Pan, Y.; Wang, Z.Z.; Chen, S.; Guo, R.X.; Chen, J.Q. An algal process treatment combined with the Fenton reaction for high concentrations of amoxicillin and cefradine. RSC Adv. 2015, 5, 100775. [Google Scholar] [CrossRef]
- Yang, K.; Lu, J.; Jiang, W.; Jiang, C.; Chen, J.; Wang, Z.; Guo, R. An integrated view of the intimate coupling UV irradiation and algal treatment on antibiotic: Compatibility, efficiency and microbic impact assessment. J. Environ. Chem. Eng. 2017, 5, 4262–4268. [Google Scholar] [CrossRef]
- Ge, L.Y.; Deng, H.H. Degradation of two fluoroquinolone antibiotics photo induced by Fe(III)-microalgae suspension in an aqueous solution. Photochem. Photobiol. Sci. 2015, 14, 693–699. [Google Scholar] [CrossRef] [PubMed]














| Antibiotics | Site | ARGs | ARB |
|---|---|---|---|
| Tetracyclines, oxytetracycline | Surface water, China [7] | blactx, sul I, tet A, qnr S, aac-1b and so on | antibiotic-resistant Escherichia coli |
| Sulfonamides, sulfonamides | River, China [4] | sul 1, sul 2, tet A,tet B,tet E,tet W,tet M,tet Z | River bacteria |
| Trimethoprim, Ofloxacin | River, wastewater treatment plant, Spain [8] | qnr S, erm B, tet W, blaTEM, blaNDM, blakpc, van A | |
| Tetracyclines, Chloramphenicol | River, Germany and Australia [9] | Ampc, van A, tet A, aac(3)-IIa, dfrA1, ermA | |
| β-lactams | River, United States [10] | antibiotic-resistant Gram-negative bacteria | |
| Tetracyclines, amoxicillin | River, France [11] | antibiotic-resistant Escherichia coli |
| Antibiotics | Total | Photolysis | Biodegradation |
|---|---|---|---|
| Half-Life Time (t1/2, d) | Half-Life Time (t1/2, d) | Half-Life Time (t1/2, d) | |
| Sulfadiazine | 25.7 (stream) [45] | ||
| Sulfamethazine | 17.3 (stream) [45] 12.9 (lakewater) [46] | 3.4 (h) [47] 34.7 (lakewater) [46] | 24 (freshwater) [47] 7.79 (seawater) [47] |
| Sulfamethoxazole | 17.8 (stream) [45] 15.5 (h, river) [48] 34 (hyporheic zone) [49] 11.4 (lakewater) [46] | 3.73 (h) [47] 49.8 (lakewater) [46] | 13 (seawater) [47] |
| Sulfadimethoxine | 18.2 (stream) [45] 10.5 (lakewater) [46] | 31.9 (lakewater) [46] | |
| Sulfamerazine | 17.9 (stream) [45] | ||
| Sulfathiazole | 13.3 (stream) [45] | ||
| Enrofloxacin | 8.78 (stream) [45] | ||
| Norfloxacin | 5.64 (stream) [45] | 0.03(h) [47] | 15.1 (freshwater) [47] 8 (seawater) [47] |
| Novobiocin | 1.6 (h) [47] | 8.25 (freshwater) [47] 2.88 (seawater) [47] | |
| Ofloxacin | 11.1 (stream) [45] | ||
| Ciprofloxacin | 5.33 (stream) [45] | 0.04 (h) [47] | 15.75 (freshwater) [47] 8.3 (seawater) [47] |
| Tetracycline | 4.15 (stream) [45] | ||
| Oxytetracycline | 1.82 (stream) [45] | ||
| Erythromycin | 4.22 (stream) [45] | ||
| Roxithromycin | 2.76 (stream) [45] | ||
| Fluoroquinolone | 18.4 (river) [50] | 10.4 (river) [50] | |
| Enrofloxacin | 0.8, 3.7, 72 [51] | ||
| Flumequine | 3.21 (h) [47] | 29.2 (freshwater) [47] | |
| Sulfamethoxypyridazine | 1.58 (h) [47] | 14 (freshwater) [47] 11.25 (seawater) [47] | |
| Trimethoprim | 6.63 (seawater) [47] |
| Antibiotics | Inflow Concentration | Outflow Concentration | Site |
|---|---|---|---|
| Cefalexin | 670–2900 | 240–1800 | Hongkong, China [95] |
| Cefotaxim | 24 | 34 | |
| Sulfadiazine | 120–320 | 120–230 | |
| Tetracycline | 96–1300 | 180–620 | |
| Norfloxacin | 110–460 | 85–320 | |
| Cefalexin | 13818 | 5624 | United States [96] |
| Tetracycline | 240–48,000 | 50–3600 | |
| Sulfamethoxazole | 650–4255 | 86–4145 | |
| Ciprofloxacin | 315–5451 | 130–919 | |
| Sulfamethoxazole | 246 | 46 | Italy [97] |
| Amoxicillin | 18 | - | |
| Ofloxacin | 463 | 191 | |
| Clarithromycin | 319 | 117 | |
| Lincolnensin | 9 | 6 | |
| Chloramphenicol | 4–452 | 6–69 | UK [98] |
| Trimethoprim | 464–6796 | 685–3052 | |
| Erythromycin-H2O | 7,110,025 | 232,841 | |
| Sulfapyridine | 2164–12,397 | 94–1112 | |
| Sulfamethoxazole | 3–274 | 3–44 | |
| Sulfamethoxazole | 2.1–809 | 506 | Harbin, China [99] |
| Azithromycin | 110 | 61.2 | |
| Clarithromycin | 321 | 164 | |
| Roxithromycin | 14.2–2986 | 6–1419 | |
| Ofloxacin | 1.5–2787 | 1.1–1481 | |
| Norfloxacin | 1.5–2168 | 0.8–1018 |
| Antibiotic (Initial Concentration) | Removal Efficiency | Key Findings |
|---|---|---|
| Sulfadiazine (4 mg/L) [179] | - |
|
| Sulfamethoxazole (5–100 µg/L), tetracycline (5–50 µg/L) [180] | 99.70–100% (sulfamethoxazole), 99.66–99.85% (tetracycline) at HRT of 1 day | Plants and circuit connection both accelerated antibiotic removal. |
| Sulfadiazine (2 mg/L) ciprofloxacin (2 mg/L) [181] | - | A low level of Zn enriched ARGs, while excessive Zn inhibited antibiotic removal and ARGs proliferation. |
| Sulfadiazine (2 mg/L) and ciprofloxacin (2 mg/L) [182] | Averagely, 80% for sulfadiazine and 90% for ciprofloxacin | Methane emission declined by 15.29% in CW–MFC compared with CW. |
| Tetracycline and sulfamethoxazole (400–1600 µg/L) [183] | More than 99% for tetracycline and sulfamethoxazole |
|
| Sulfamethoxazole (4 mg/L) [184] | Mean 82.37% |
|
| Sulfamethoxazole (100 µg/L), tetracycline (50 µg/L) [185] | 96.9–98.2% for sulfamethoxazole and 80.3–88.0% for tetracycline | Sponge iron (s-Fe0) significantly reduced ARGs and improved voltage output, power density, columbic efficiency, and reduced internal resistance of reactor. |
| Sulfamethoxazole (60 µg/L), tetracycline (25 µg/L) [186] | 88.24–99.4% for sulfamethoxazole, 84.6–97.8% for tetracycline | carbon source species and concentrations, external resistances, and aeration duration all play vital roles in removing sulfamethoxazole and tetracycline. |
| Sulfadiazine (2 mg/L), ciprofloxacin (2 mg/L) [187] | 84.9–95.9% in graphite CW–MFC and 46.6–62.8% in Mn ore CW–MFC for sulfadiazine, >97.8% for ciprofloxacin |
|
| Sulfonamide (4 mg/L) [188] | - | Closed circuit operation with low HRT enhanced sulfonamide mass accumulation on electrodes by electro-adsorption, and thus higher ARGs abundance was detected in electrodes and effluent. |
| Integration of MFC with AOPs | Features |
|---|---|
| Bio-Electron-Fenton (BEF)+MFC [192] |
|
| Photo + Fenton + MFCs [193] |
|
| Photo + MFCs [194] |
|
| MFC + Fenton [195] |
|
| Integration of Microalgae with AOPs | Antibiotic Removal Efficiency | Key Findings |
|---|---|---|
| Fenton + microalgae [209] | Amoxicillin (96.86–99.86% at 100, 200 and 300 mg/L, less than 90% at 400 and 500 mg/L) cefradine (93.98–95.5%) | Compared with removal capacity of individual algal treatment, a higher removal rate and a shorter treatment time were achieved using combined Fenton–algal treatment |
| UV + microalgae [140,210] | Cefradine, 73% (UV treatment), 78% (UV–algae treatment) |
|
| 84.96–99.84% for amoxicillin, 44.42–63.18% for cefradine | Optimal application involved UV at 365 nm combined green algae Scenedesmus obliquus | |
| Fe(III) + microalgae [211] | Enrofloxacin (about 80–50% at 1–9 mg/L) and ciprofloxacin (about 80–40% at 10–80 mg/L) | Degradation efficiency of enrofloxacin and ciprofloxacin was better at lower concentrations |
Publisher’s Note: MDPI stays neutral with regard to jurisdictional claims in published maps and institutional affiliations. |
© 2022 by the authors. Licensee MDPI, Basel, Switzerland. This article is an open access article distributed under the terms and conditions of the Creative Commons Attribution (CC BY) license (https://creativecommons.org/licenses/by/4.0/).
Share and Cite
Zheng, S.; Wang, Y.; Chen, C.; Zhou, X.; Liu, Y.; Yang, J.; Geng, Q.; Chen, G.; Ding, Y.; Yang, F. Current Progress in Natural Degradation and Enhanced Removal Techniques of Antibiotics in the Environment: A Review. Int. J. Environ. Res. Public Health 2022, 19, 10919. https://doi.org/10.3390/ijerph191710919
Zheng S, Wang Y, Chen C, Zhou X, Liu Y, Yang J, Geng Q, Chen G, Ding Y, Yang F. Current Progress in Natural Degradation and Enhanced Removal Techniques of Antibiotics in the Environment: A Review. International Journal of Environmental Research and Public Health. 2022; 19(17):10919. https://doi.org/10.3390/ijerph191710919
Chicago/Turabian StyleZheng, Shimei, Yandong Wang, Cuihong Chen, Xiaojing Zhou, Ying Liu, Jinmei Yang, Qijin Geng, Gang Chen, Yongzhen Ding, and Fengxia Yang. 2022. "Current Progress in Natural Degradation and Enhanced Removal Techniques of Antibiotics in the Environment: A Review" International Journal of Environmental Research and Public Health 19, no. 17: 10919. https://doi.org/10.3390/ijerph191710919
APA StyleZheng, S., Wang, Y., Chen, C., Zhou, X., Liu, Y., Yang, J., Geng, Q., Chen, G., Ding, Y., & Yang, F. (2022). Current Progress in Natural Degradation and Enhanced Removal Techniques of Antibiotics in the Environment: A Review. International Journal of Environmental Research and Public Health, 19(17), 10919. https://doi.org/10.3390/ijerph191710919

