Ecological River Health Assessment Using Multi-Metric Models in an Asian Temperate Region with Land Use/Land Cover as the Primary Factor Regulating Nutrients, Organic Matter, and Fish Composition
Abstract
:1. Introduction
2. Materials and Methods
2.1. Study Area
2.2. Water Quality Assessment, LULC and Elevation
2.3. Fish Sampling
2.4. Multi-Metric WPI
2.5. Multi-Metric IBI
2.6. The QFCI Model
2.7. Statistical Analyses
3. Results
3.1. Site-Based, Seasonal, and Annual Variations in Water Quality
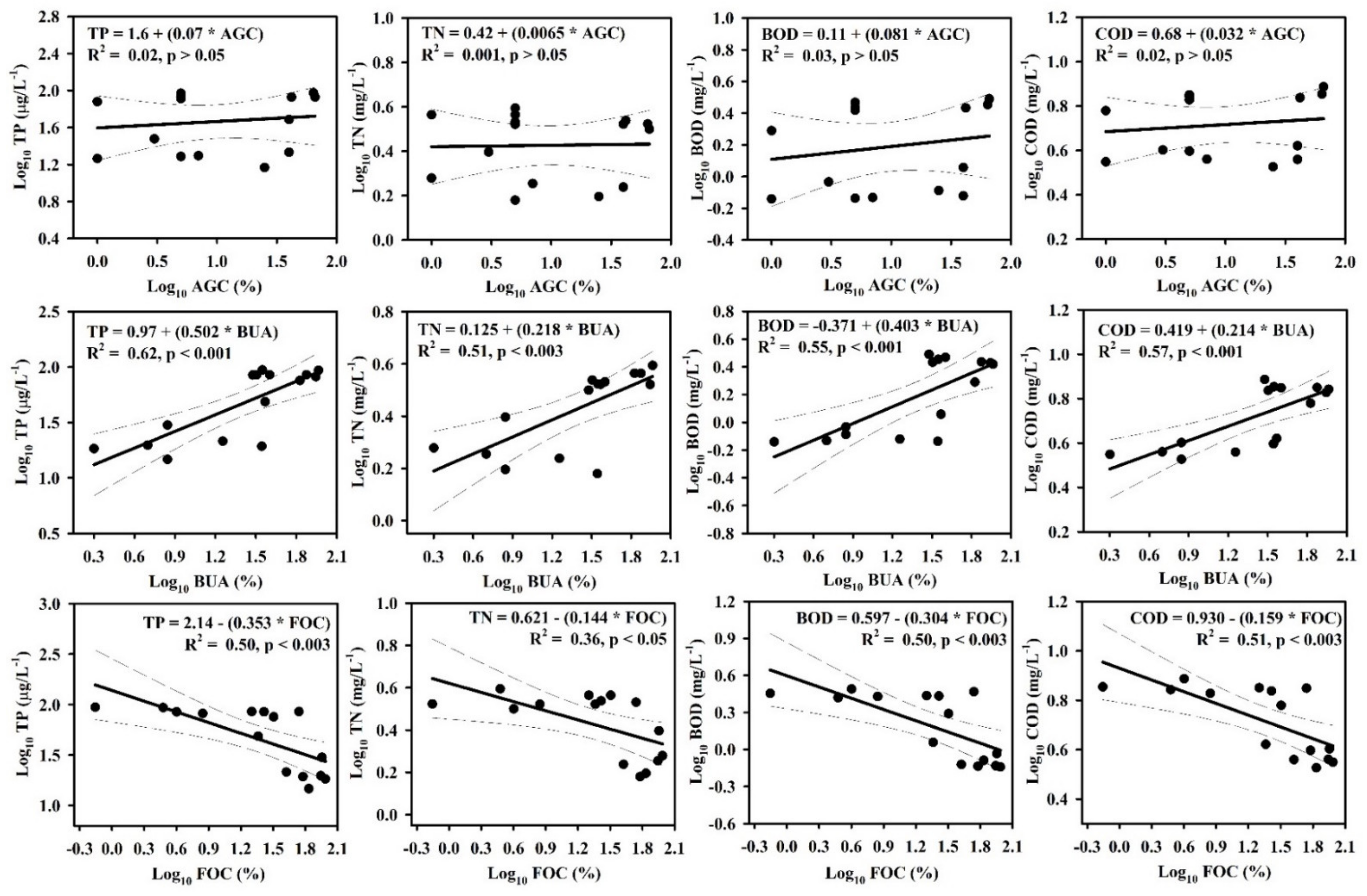
3.2. Relationships between LULC and Water Chemistry
3.3. Suspended Solids, Nutrients, and Chlorophyll-A Dynamics
3.4. Fish Fauna and Guild Composition
3.5. Spatial and Temporal Assessments Based on the WPI, IBI, and QFCI Models
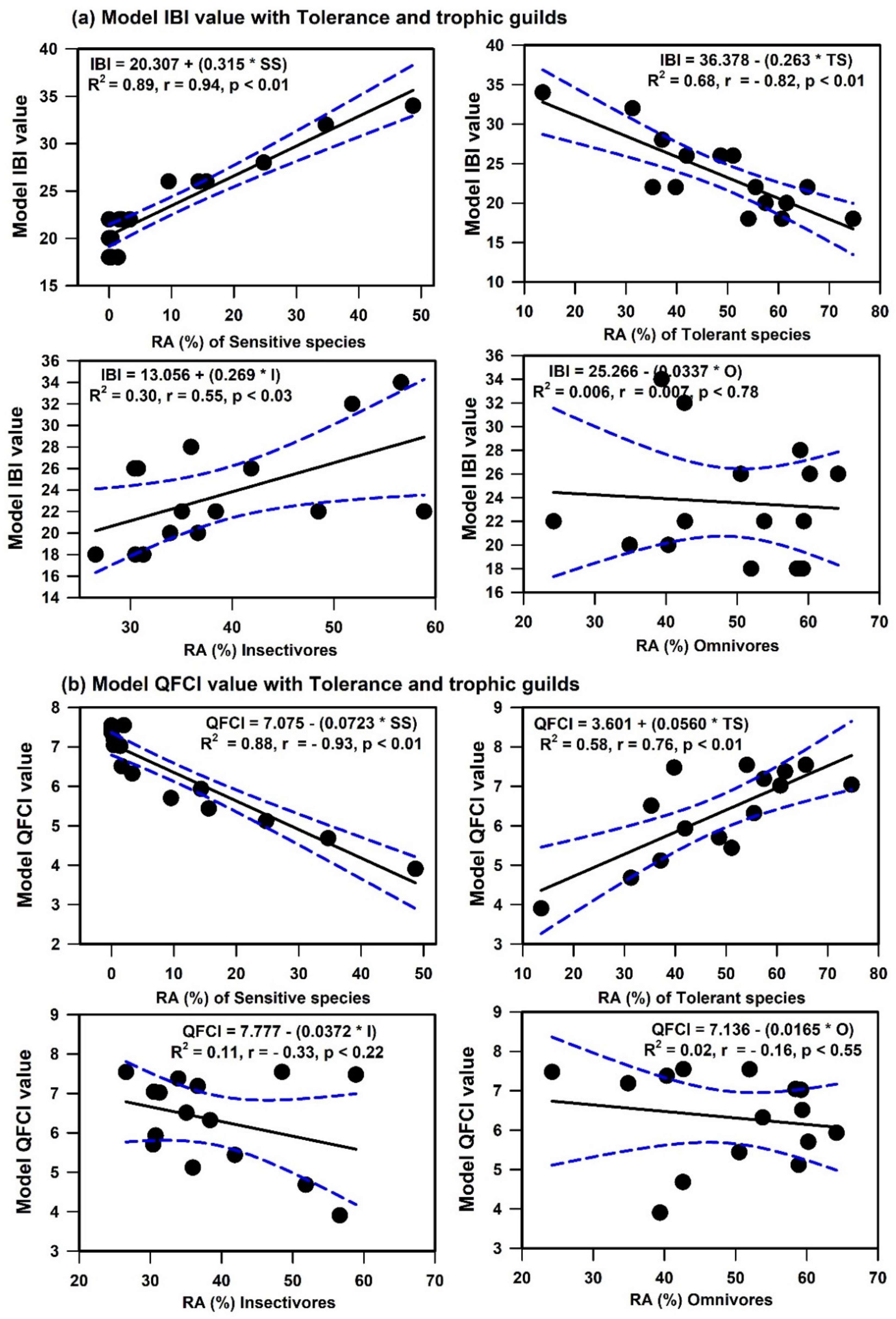
3.6. Relationships among Water Chemistry, LULC, Trophic and Tolerance Guilds, and Models
3.7. Insights from CCA
4. Discussion
4.1. Zonal and Temporal Water Quality Variations
4.2. The Impacts of LULC and Elevation on Water Quality
4.3. Solids, Nutrients, and Algal Chlorophyll Dynamics
4.4. Water Quality and LULC Impacts on Fish Guilds and Biological Health
4.5. Link between Ecological and Human Health
5. Conclusions
Supplementary Materials
Author Contributions
Funding
Institutional Review Board Statement
Informed Consent Statement
Data Availability Statement
Acknowledgments
Conflicts of Interest
References
- Karr, J.R.; Larson, E.R.; Chu, E.W. Ecological integrity is both real and valuable. Conserv. Sci. Pract. 2022, 4, e583. [Google Scholar] [CrossRef]
- Choi, J.W.; Han, J.H.; Park, C.S.; Ko, D.G.; Kang, H.I.; Kim, J.Y.; Yun, Y.J.; Kwon, H.H.; An, K.G. Nutrients and sestonic chlorophyll dynamics in Asian lotic ecosystems and ecological stream health in relation to land-use patterns and water chemistry. Ecol. Eng. 2015, 79, 15–31. [Google Scholar] [CrossRef]
- Chen, J.; Wang, Y.; Li, F.; Liu, Z. Aquatic ecosystem health assessment of a typical sub-basin of the Liao River based on entropy weights and a fuzzy comprehensive evaluation method. Sci. Rep. 2019, 9, 14045. [Google Scholar] [CrossRef] [PubMed] [Green Version]
- Karr, J.R. Assessment of biotic integrity using fish communities. Fisheries 1981, 6, 21–27. [Google Scholar] [CrossRef]
- Atique, U.; Kwon, S.; An, K.G. Linking weir imprints with riverine water chemistry, microhabitat alterations, fish assemblages, chlorophyll-nutrient dynamics, and ecological health assessments. Ecol. Indic. 2020, 117, 106652. [Google Scholar] [CrossRef]
- Fierro, P.; Bertrán, C.; Tapia, J.; Hauenstein, E.; Peña-Cortés, F.; Vergara, C.; Cerna, C.; Vargas-Chacoff, L. Effects of local land-use on riparian vegetation, water quality, and the functional organization of macroinvertebrate assemblages. Sci. Total Environ. 2017, 609, 724–734. [Google Scholar] [CrossRef]
- Munyika, S.; Kongo, V.; Kimwaga, R. River health assessment using macroinvertebrates and water quality parameters: A case of the Orange River in Namibia. Phys. Chem. Earth 2014, 76–78, 140–148. [Google Scholar] [CrossRef]
- Kim, J.Y.; An, K.G. Integrated ecological river health assessments, based on water chemistry, physical habitat quality and biological integrity. Water 2015, 7, 6378–6403. [Google Scholar] [CrossRef] [Green Version]
- Achieng, A.O.; Masese, F.O.; Coffey, T.J.; Raburu, P.O.; Agembe, S.W.; Febria, C.M.; Kaunda-Arara, B. Assessment of the Ecological Health of Afrotropical Rivers Using Fish Assemblages: A Case Study of Selected Rivers in the Lake Victoria Basin, Kenya. Front. Water 2021, 2, 1–17. [Google Scholar] [CrossRef]
- An, K.G.; Park, S.S.; Shin, J.Y. An evaluation of a river health using the index of biological integrity along with relations to chemical and habitat conditions. Environ. Int. 2002, 28, 411–420. [Google Scholar] [CrossRef]
- Dudgeon, D. Large-scale hydrological changes in tropical Asia: Prospects for riverine biodiversity. Bioscience 2000, 50, 793–806. [Google Scholar] [CrossRef]
- Mamun, M.; An, K.G. Spatio-temporal variations of fish guilds, compositions, water chemistry and the ecological health assessments in the artificial weir. Asian J. Water Environ. Pollut. 2020, 17, 1–17. [Google Scholar] [CrossRef]
- Lee, J.H.; Han, J.H.; Kumar, H.K.; Choi, J.K.; Byeon, H.K.; Choi, J.; Kim, J.K.; Jang, M.H.; Park, H.K.; An, K.G. National–level integrative ecological health assessments based on the index of biological integrity, water quality, and qualitative habitat evaluation index, in Korean rivers. Int. J. Limnol. 2011, 47, S73–S89. [Google Scholar] [CrossRef]
- Barbour, M.T.; Faulkner, C.; Gerritsen, J. Rapid Bioassessment Protocols for Use in Streams and Wadeable Rivers: Periphyton, Benthic Macriinvertebrates, and Fish, 2nd ed.; US Environmental Protection Agency, Office of Water: Washington, DC, USA, 1999. [Google Scholar]
- Lemm, J.U.; Venohr, M.; Globevnik, L.; Stefanidis, K.; Panagopoulos, Y.; van Gils, J.; Posthuma, L.; Kristensen, P.; Feld, C.K.; Mahnkopf, J.; et al. Multiple stressors determine river ecological status at the European scale: Towards an integrated understanding of river status deterioration. Glob. Chang. Biol. 2021, 27, 1962–1975. [Google Scholar] [CrossRef]
- Pont, D.; Hugueny, B.; Beier, U.; Goffaux, D.; Melcher, A.; Noble, R.; Rogers, C.; Roset, N.; Schmutz, S. Assessing river biotic condition at a continental scale: A European approach using functional metrics and fish assemblages. J. Appl. Ecol. 2006, 43, 70–80. [Google Scholar] [CrossRef]
- Capmourteres, V.; Rooney, N.; Anand, M. Assessing the causal relationships of ecological integrity a re-evaluation of Karr’s Iconic Index of Biotic Integrity. Ecosphere 2018, 9, e02168. [Google Scholar] [CrossRef] [Green Version]
- Stevens, C.T. Council A Fish-Based Index of Biological Integrity for Assessing River Condition in Central Alberta; Alberta Conservation Association: Sherwood Park, AB, Canada, 2008; p. 29. [Google Scholar]
- Dußling, U.; Berg, R.; Klinger, H.; Wolter, C. Assessing the Ecological Status of River Systems Using Fish Assemblages; Wiley-VCH: Weinheim, Germany, 2004. [Google Scholar]
- Dahl, J.; Johnson, R.K.; Sandin, L. Detection of organic pollution of streams in southern Sweden using benthic macroinvertebrates. Hydrobiologia 2004, 516, 161–172. [Google Scholar] [CrossRef]
- Storer, T.; White, G.; Galvin, L.; O’Neill, K.; van Looij, E.; Kitsios, A. The Framework for the Assessment of River and Wetland Health (FARWH) for Flowing Rivers of South-West Western Australia: Method Development, Final Report; Water Science Technical Series; Report no. 40; Water Science Branch, Department of Water: Victoria Park, VIC, Australia, 2010; ISBN 9781921789991. [Google Scholar]
- Stark, J.D. Performance of the macroinvertebrate community index: Effects of sampling method, sample replication, water depth, current velocity, and substratum on index values. N. Z. J. Mar. Freshw. Res. 1993, 27, 463–478. [Google Scholar] [CrossRef]
- Kotze, P.J.; Steyn, G.J.; Du Preez, H.H.; Kleynhans, C.J. Development and application of a fish-based Sensitivity-weighted Index of Biotic Integrity (SIBI) for use in the assessment of biotic integrity in the Klip River, Gauteng, South Africa. Afr. J. Aquat. Sci. 2004, 29, 129–143. [Google Scholar] [CrossRef]
- Jayawardana, J.M.C.K.; Gunawardana, W.D.T.M.; Udayakumara, E.P.N.; Westbrooke, M. Land use impacts on river health of Uma Oya, Sri Lanka: Implications of spatial scales. Environ. Monit. Assess. 2017, 189, 249. [Google Scholar] [CrossRef]
- Halstead, J.A.; Kliman, S.; Berheide, C.W.; Chaucer, A.; Cock-Esteb, A. Urban stream syndrome in a small, lightly developed watershed: A statistical analysis of water chemistry parameters, land use patterns, and natural sources. Environ. Monit. Assess. 2014, 186, 3391–3414. [Google Scholar] [CrossRef]
- Heatherly, T.; Whiles, M.R.; Royer, T.V.; David, M.B. Relationships between water quality, habitat quality, and macroinvertebrate assemblages in Illinois Streams. J. Environ. Qual. 2007, 36, 1653–1660. [Google Scholar] [CrossRef] [Green Version]
- Bach, E. Chemical index for surveillance of river water quality. Dtsch. Gewasserkd. Mitt 1980, 24, 102–106. [Google Scholar]
- Karr, J.R. Defining and measuring river health. Freshw. Biol. 1999, 41, 221–234. [Google Scholar] [CrossRef] [Green Version]
- Mamun, M.; An, K.G. The Application of Chemical and Biological Multi-Metric Models to a Small Urban Stream for Ecological Health Assessments. Ecol. Inform. 2019, 50, 1–12. [Google Scholar] [CrossRef]
- Stark, J.D. A macroinvertebrate community index of water quality for stony streams. Water Soil Misc. Publ. 1985, 87, 1–53. [Google Scholar]
- An, K.G.; Kim, D.S.; Kong, D.S.; Kim, S.D. Integrative assessments of a temperate stream based on a multimetric determination of biological integrity, physical habitat evaluations, and toxicity tests. Bull. Environ. Contam. Toxicol. 2004, 73, 471–478. [Google Scholar] [CrossRef]
- Dodds, W.K. Eutrophication and trophic state in rivers and streams. Limnol. Oceanogr. 2006, 51, 671–680. [Google Scholar] [CrossRef] [Green Version]
- Dodds, W.K.; Smith, V.H. Nitrogen, phosphorus, and eutrophication in streams. Inl. Waters 2016, 6, 155–164. [Google Scholar] [CrossRef]
- Sobczak, W.V. Lindeman’s trophic—Dynamic aspect of ecology: “Will you still need me when I’m 64?”. Limnol. Oceanogr. Bull. 2005, 14, 53–57. [Google Scholar] [CrossRef]
- Tsiaras, K.P.; Petihakis, G.; Kourafalou, V.H.; Triantafyllou, G. Impact of the river nutrient load variability on the North Aegean ecosystem functioning over the last decades. J. Sea Res. 2014, 86, 97–109. [Google Scholar] [CrossRef]
- Tetreault, G.R.; Brown, C.J.M.; Bennett, C.J.; Oakes, K.D.; McMaster, M.E.; Servos, M.R. Fish community responses to multiple municipal wastewater inputs in a watershed. Integr. Environ. Assess. Manag. 2013, 9, 456–468. [Google Scholar] [CrossRef] [PubMed]
- Canion, A.; MacIntyre, H.L.; Phipps, S. Short-term to seasonal variability in factors driving primary productivity in a shallow estuary: Implications for modeling production. Estuar. Coast. Shelf Sci. 2013, 131, 224–234. [Google Scholar] [CrossRef]
- Filgueira, R.; Grant, J.; Stuart, R.; Brown, M.S. Ecosystem modelling for ecosystem-based management of bivalve aquaculture sites in data-poor environments. Aquac. Environ. Interact. 2013, 4, 117–133. [Google Scholar] [CrossRef]
- Mamun, M.; An, K.-G. Ecological health assessments of 72 streams and rivers in relation to water chemistry and land-use patterns in South Korea. Turkish J. Fish. Aquat. Sci. 2018, 18, 871–880. [Google Scholar] [CrossRef]
- Lah, T.J.; Park, Y.; Cho, Y.J. The Four major rivers restoration project of South Korea: An assessment of its process, program, and political dimensions. J. Environ. Dev. 2015, 24, 375–394. [Google Scholar] [CrossRef]
- Shim, M.J.; Yoon, S.C.; Yoon, Y.Y. The influence of dam construction on water quality in the lower Geum River, Korea. Environ. Qual. Manag. 2018, 28, 113–121. [Google Scholar] [CrossRef]
- Park, S.B. Algal blooms hit South Korean rivers. Nature 2012, 488, 427–438. [Google Scholar] [CrossRef]
- MOE. Standard Methods for the Examination of Water Quality Contamination, 7th ed.; Ministry of Environemnt (MOE): Gwacheon, Korea, 2000; p. 435. (In Korean)
- Karra, K.; Kontgis, C.; Statman-Weil, Z.; Mazzariello, J.; Mathis, M.; Brumby, S. Global land use/land cover with Sentinel-2 and deep learning. In Proceedings of the IGARSS 2021—2021 IEEE International Geoscience and Remote Sensing Symposium, Brussels, Belgium, 11–16 July 2021. [Google Scholar]
- Ohio, E. Biological Criteria for the Protection of Aquatic Life. Vol. III, Standardized Biological Field Assessment of Ohio Surface Waters; United States Enviromental Protection Agency (USEPA): Columbus, OH, USA, 1989. [Google Scholar]
- An, K.-G.; Jung, S.-H.; Choi, S.-S. An evaluation on health conditions of pyong-chang river using the index of biological integrity (ibi) and qualitative habitat evaluation index (qhei). Korean J. Limnol. 2001, 34, 153–165. [Google Scholar]
- Atique, U.; An, K.G. Stream health evaluation using a combined approach of multi-metric chemical pollution and biological integrity models. Water 2018, 10, 661. [Google Scholar] [CrossRef] [Green Version]
- An, K.; Lee, J.; Bae, D.; Ja-hyun, K.; Hwang, S.-J.; Won, D.-H.; Lee, J.-K.; Kim, C.-S. Ecological assessments of aquatic environment using multi-metric model in major nationwide stream watersheds. J. Korean Soc. Water Environ. 2006, 22, 796–804. [Google Scholar]
- Kwon, S.-C. The Estimation of Fish Tolerance Indicator Values (tivs) Using Chemical Parameters and the Their Relations to Fish Species Biotic Index; Chungnam National University: Daejeon, Korea, 2020. [Google Scholar]
- Singh, A.; Maichle, R. ProUCL V. 5.1. Statistical Software for Environmental Applications for Data Sets with and without Nondetect Observations; USEPA: Washington, DC, USA, 2016. [Google Scholar]
- Hammer, Ø.; Harper, D.; Ryan, P. PAST: Paleontological statistics software package for education and data analysis. Palaeontol. Electron. 2001, 4, 9. [Google Scholar]
- Dodds, W.K.; Jones, J.R.; Welch, E.B. Suggested classification of stream trophic state: Distributions of temperate stream types by chlorophyll, total nitrogen, and phosphorus. Water Res. 1998, 32, 1455–1462. [Google Scholar] [CrossRef]
- MOE. (ECOREA) Environmental Review 2015; MOE: Sejong City, Korea, 2015; Volume 1.
- Maavara, T.; Lauerwald, R.; Regnier, P.; Van Cappellen, P. Global perturbation of organic carbon cycling by river damming. Nat. Commun. 2017, 8, 15347. [Google Scholar] [CrossRef]
- Li, J.; Dong, S.; Liu, S.; Yang, Z.; Peng, M.; Zhao, C. Effects of cascading hydropower dams on the composition, biomass and biological integrity of phytoplankton assemblages in the middle Lancang-Mekong River. Ecol. Eng. 2013, 60, 316–324. [Google Scholar] [CrossRef]
- Kwak, S.D.; Choi, J.W.; An, K.G. Chemical water quality and fish component analyses in the periods of before- and after-the weir constructions in Yeongsan River. J. Ecol. Environ. 2016, 39, 99–110. [Google Scholar] [CrossRef] [Green Version]
- Hamid, A.; Bhat, S.U.; Jehangir, A. Local determinants influencing stream water quality. Appl. Water Sci. 2020, 10, 24. [Google Scholar] [CrossRef] [Green Version]
- Allan, J.D. Landscapes and riverscapes: The influence of land use on stream ecosystems. Annu. Rev. Ecol. Evol. Syst. 2004, 35, 257–284. [Google Scholar] [CrossRef] [Green Version]
- Allan, J.D.; Erickson, D.L.; Fay, J. The influence of catchment land use on stream integrity across multiple spatial scales. Freshw. Biol. 1997, 37, 149–161. [Google Scholar] [CrossRef] [Green Version]
- Brogna, D.; Dufrêne, M.; Michez, A.; Latli, A.; Jacobs, S.; Vincke, C.; Dendoncker, N. Forest cover correlates with good biological water quality. Insights from a regional study (Wallonia, Belgium). J. Environ. Manag. 2018, 211, 9–21. [Google Scholar] [CrossRef] [Green Version]
- Vannote, R.L.; Minshall, G.W.; Cummins, K.W.; Sedell, J.R.; Cushing, C.E. The River Continuum Concept. Can. J. Fish. Aquat. Sci. 1980, 37, 130–137. [Google Scholar] [CrossRef]
- Sawyer, J.A.; Stewart, P.M.; Mullen, M.M.; Simon, T.P.; Bennett, H.H. Influence of habitat, water quality, and land use on macro-invertebrate and fish assemblages of a southeastern coastal plain watershed, USA. Aquat. Ecosyst. Health Manag. 2004, 7, 85–99. [Google Scholar] [CrossRef]
- Wang, L.; Lyons, J. Fish and benthic macroinvertebrate assemblages as indicators of stream degradation in urbanizing watersheds. In Biological Response Signatures: Indicator Patterns Using Aquatic Communities; Simon, T.P., Ed.; CRC Press: Boca Raton, FL, USA; London, UK; New York, NY, USA; Washington, DC, USA, 2003; pp. 227–250. ISBN 0-8493-0905-0. [Google Scholar]
- Langhammer, J.; Hartvich, F.; Mattas, D.; Rödlová, S.; Zbořil, A. The variability of surface water quality indicators in relation to watercourse typology, Czech Republic. Environ. Monit. Assess. 2012, 184, 3983–3999. [Google Scholar] [CrossRef]
- Ye, L.; Cai, Q.H.; Liu, R.Q.; Cao, M. The influence of topography and land use on water quality of Xiangxi River in three Gorges Reservoir region. Environ. Geol. 2009, 58, 937–942. [Google Scholar] [CrossRef]
- Mallin, M.A.; Cahoon, L.B. The Hidden Impacts of Phosphorus Pollution to Streams and Rivers. Bioscience 2020, 70, 315–329. [Google Scholar] [CrossRef]
- Sharpley, A.; Daniel, T.; Edwards, D. Phosphorus movement in the landscape. J. Prod. Agric. 1993, 6, 492–500. [Google Scholar] [CrossRef]
- Hutchinson, G.E. A Treatise on Limnology. Geography, Physics and Chemistry; Wiley: New York, NY, USA, 1957; Volume 4. [Google Scholar]
- Dillon, P.J.; Rigler, F.H. The phosphorus-chlorophyll in lakes. Limnol. Oceanogr. 1974, 19, 767–773. [Google Scholar] [CrossRef]
- Pringle, C. Effects of water and substratum nutrient supplies on lotic periphyton growth—An integrated bioassay. Can. J. Fish. Aquat. Sci. 1987, 44, 619–629. [Google Scholar] [CrossRef]
- Munn, M.; Frey, J.; Tesoriero, A. The influence of nutrients and physical habitat in regulating algal biomass in agricultural streams. Environ. Manag. 2010, 45, 603–615. [Google Scholar] [CrossRef] [Green Version]
- Corkum, L. Responses of chlorophyll-a, organic matter, and macroinvertebrates to nutrient additions in rivers flowing through agricultural and forested land. Arch. Hydrobiol. 1996, 136, 391–411. [Google Scholar] [CrossRef]
- Yan, Z.; Han, W.; Peñuelas, J.; Sardans, J.; Elser, J.J.; Du, E.; Reich, P.B.; Fang, J. Phosphorus accumulates faster than nitrogen globally in freshwater ecosystems under anthropogenic impacts. Ecol. Lett. 2016, 19, 1237–1246. [Google Scholar] [CrossRef] [PubMed]
- Roth, N.E.; Allan, J.D.; Erickson, D.L. Landscape influences on stream biotic integrity assessed at multiple spatial scales. Landsc. Ecol. 1996, 11, 141–156. [Google Scholar] [CrossRef]
- Wang, L.; Lyons, J.; Kanehl, P.; Gatti, R. Influences of Watershed Land Use on Habitat Quality and Biotic Integrity in Wisconsin Streams. Fisheries 1997, 22, 6–12. [Google Scholar] [CrossRef]
- Wang, L.; Lyons, J.; Kanehi, P.; Bannerman, R.; Emmons, E. Watershed urbanization and changes in fish communities in southeastern Wisconsin streams. J. Am. Water Resour. Assoc. 2000, 36, 1173–1189. [Google Scholar] [CrossRef]
- Lee, S.; Kim, J.; Choi, B.; Kim, G.; Lee, J. Harmful algal blooms and liver diseases: Focusing on the areas near the four major rivers in South Korea. J. Environ. Sci. Health Part C Environ. Carcinog. Ecotoxicol. Rev. 2019, 37, 356–370. [Google Scholar] [CrossRef]
- Hur, M.; Lee, I.; Tak, B.M.; Lee, H.J.; Yu, J.J.; Cheon, S.U.; Kim, B.S. Temporal shifts in cyanobacterial communities at different sites on the Nakdong River in Korea. Water Res. 2013, 47, 6973–6982. [Google Scholar] [CrossRef]
- Sin, Y.; Lee, H. Changes in hydrology, water quality, and algal blooms in a freshwater system impounded with engineered structures in a temperate monsoon river estuary. J. Hydrol. Reg. Stud. 2020, 32, 100744. [Google Scholar] [CrossRef]
- Zhang, F.; Lee, J.; Liang, S.; Shum, C. Cyanobacteria blooms and non-alcoholic liver disease: Evidence from a county level ecological study in the United States. Environ. Health A Glob. Access Sci. Source 2015, 14, 41. [Google Scholar] [CrossRef] [Green Version]
- Svirčev, Z.; Krstić, S.; Miladinov-Mikov, M.; Baltić, V.; Vidović, M. Freshwater cyanobacterial blooms and primary liver cancer epidemiological studies in Serbia. J. Environ. Sci. Health Part C Environ. Carcinog. Ecotoxicol. Rev. 2009, 27, 36–55. [Google Scholar] [CrossRef]
- Ueno, Y.; Nagata, S.; Tsutsumi, T.; Hasegawa, A.; Watanabe, M.F.; Park, H.D.; Chen, G.C.; Chen, G.; Yu, S.Z. Detection of microcystins, a blue-green algal hepatotoxin, in drinking water sampled in Haimen and Fusui, endemic areas of primary liver cancer in China, by highly sensitive immunoassay. Carcinogenesis 1996, 17, 1317–1321. [Google Scholar] [CrossRef]
- Haseena, M.; Muhammad, M.F.; Javed, A.; Arshad, S.; Asif, N.; Zulfiqar, S.; Hanif, J. Water pollution and human health. Environ. Risk Assess Remediat. 2017, 1, 16–19. [Google Scholar] [CrossRef]
- Mamun, M.; Kim, J.Y.; Kim, J.E.; An, K.-G. Longitudinal chemical gradients and the functional responses of nutrients, organic matter, and other parameters to the land use pattern and monsoon intensity. Water 2021, 14, 237. [Google Scholar] [CrossRef]
- Wen, T.; Sheng, S.; Xu, C.; Xu, D.; Wan, Y.; An, S. Longitudinal changes in water quality to landscape gradients along Sha River Basin. Clean Soil Air Water 2015, 43, 1609–1615. [Google Scholar] [CrossRef]
- Alford, J.B.; Debbage, K.G.; Mallin, M.A.; Liu, Z.J. Surface water quality and landscape gradients in the north carolina cape fear river basin: The key role of fecal coliform. Southeast. Geogr. 2016, 56, 428–453. [Google Scholar] [CrossRef]







| Environmental Variables | Trophic Guilds | Tolerance Guilds | Model IBI Value | Model QFCI Value | |||||
|---|---|---|---|---|---|---|---|---|---|
| % Omnivores | % Insectivores | % Carnivores | % Sensitive species | % Intermediate Species | % Tolerant Species | ||||
| Nutrients | TN | 0.04 (−) | 0.02 (−) | 0.38 * (+) | 0.42 * (−) | 0.10 (−) | 0.57 * (+) | 0.50 * (−) | 0.47 * (+) |
| TP | 0.10 (−) | 0.02 (−) | 0.57 * (+) | 0.62 * (−) | 0.03 (−) | 0.55 * (+) | 0.66 * (−) | 0.63 * (+) | |
| Organic matters | BOD | 0.17 (−) | 0.01 (−) | 0.64 * (+) | 0.66 * (−) | 0.01 (−) | 0.41 * (+) | 0.65 * (−) | 0.63 * (+) |
| COD | 0.12 (−) | 0.02 (−) | 0.65 * (+) | 0.74 * (−) | 0.007 (−) | 0.49 * (+) | 0.73 * (−) | 0.73 * (+) | |
| Primary productivity | CHL-a | 0.15 (−) | 0.01 (−) | 0.65 * (+) | 0.74 * (−) | 0.007 (−) | 0.47 * (+) | 0.71 * (−) | 0.73 * (+) |
| LULC | % AG | 0.03 (−) | 0.001 (+) | 0.06 (+) | 0.05 (+) | 0.03 (−) | 0.007 (−) | 0.002 (−) | 0.006 (−) |
| % BUA | 0.10 (−) | 0.007 (+) | 0.29 * (+) | 0.55 * (−) | 0.02 (−) | 0.30 * (+) | 0.42 * (−) | 0.37 * (+) | |
| % FOR | 0.006 (+) | 0.17 (+) | 0.53 * (−) | 0.59 * (+) | 0.07 (+) | 0.29 * (−) | 0.49 * (+) | 0.33 * (−) | |
Publisher’s Note: MDPI stays neutral with regard to jurisdictional claims in published maps and institutional affiliations. |
© 2022 by the authors. Licensee MDPI, Basel, Switzerland. This article is an open access article distributed under the terms and conditions of the Creative Commons Attribution (CC BY) license (https://creativecommons.org/licenses/by/4.0/).
Share and Cite
Mamun, M.; Jargal, N.; Atique, U.; An, K.-G. Ecological River Health Assessment Using Multi-Metric Models in an Asian Temperate Region with Land Use/Land Cover as the Primary Factor Regulating Nutrients, Organic Matter, and Fish Composition. Int. J. Environ. Res. Public Health 2022, 19, 9305. https://doi.org/10.3390/ijerph19159305
Mamun M, Jargal N, Atique U, An K-G. Ecological River Health Assessment Using Multi-Metric Models in an Asian Temperate Region with Land Use/Land Cover as the Primary Factor Regulating Nutrients, Organic Matter, and Fish Composition. International Journal of Environmental Research and Public Health. 2022; 19(15):9305. https://doi.org/10.3390/ijerph19159305
Chicago/Turabian StyleMamun, Md, Namsrai Jargal, Usman Atique, and Kwang-Guk An. 2022. "Ecological River Health Assessment Using Multi-Metric Models in an Asian Temperate Region with Land Use/Land Cover as the Primary Factor Regulating Nutrients, Organic Matter, and Fish Composition" International Journal of Environmental Research and Public Health 19, no. 15: 9305. https://doi.org/10.3390/ijerph19159305
APA StyleMamun, M., Jargal, N., Atique, U., & An, K.-G. (2022). Ecological River Health Assessment Using Multi-Metric Models in an Asian Temperate Region with Land Use/Land Cover as the Primary Factor Regulating Nutrients, Organic Matter, and Fish Composition. International Journal of Environmental Research and Public Health, 19(15), 9305. https://doi.org/10.3390/ijerph19159305

