“Intervention Program Based on Self”: A Proposal for Improving the Addiction Prevention Program “Unplugged” through Self-Concept
Abstract
1. Introduction
2. Materials and Methods
2.1. Participants
2.2. Procedure
2.3. Materials
2.3.1. Self-Concept
2.3.2. The Prototype Willingness Model
2.3.3. Additional Questions
2.4. Statistical Analyses
3. Results
3.1. Self-Concept Clarity (SCC)
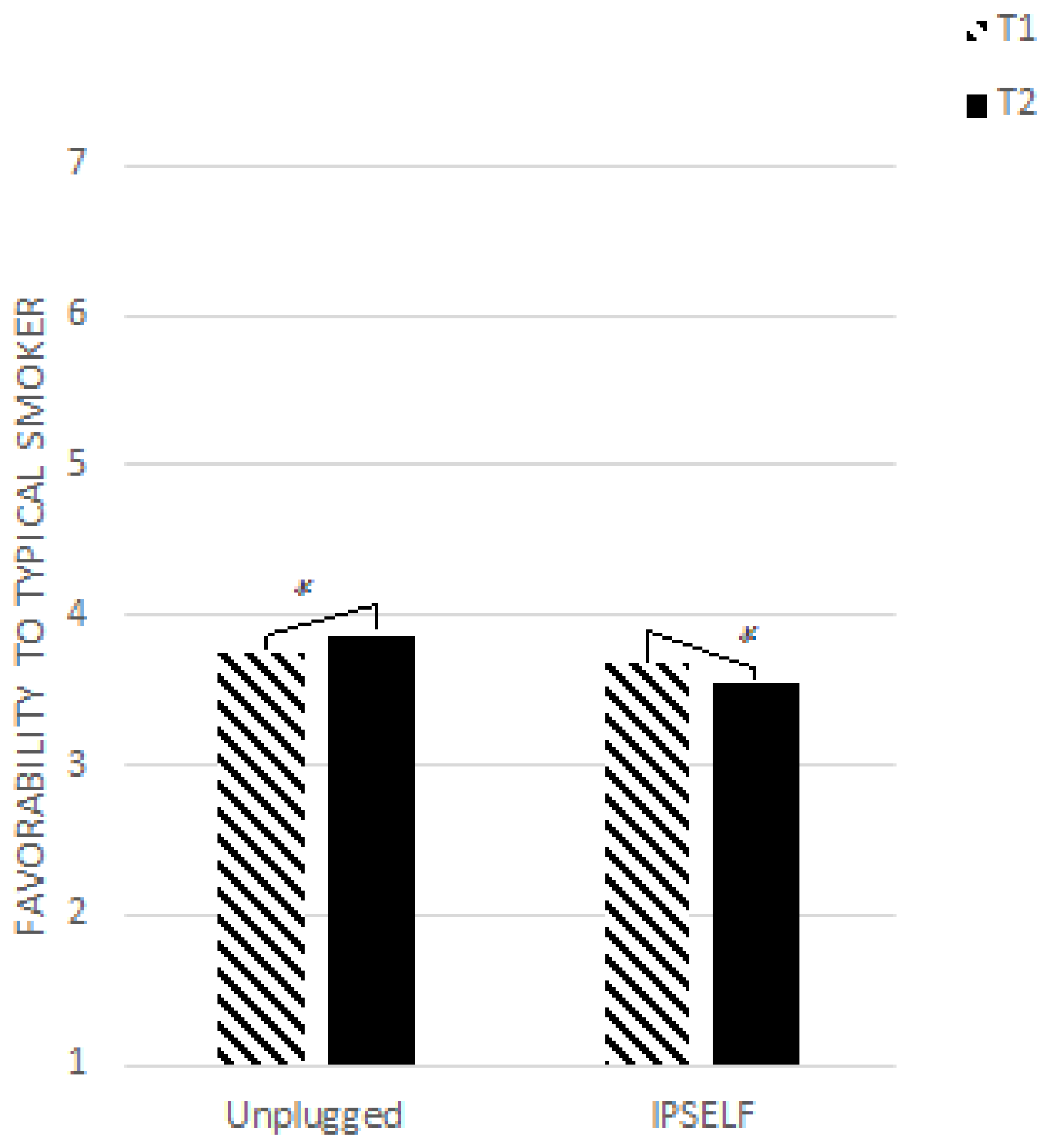
3.2. Prototypes Favorability
3.3. Prototype Direct Similarity
3.4. Prototypes Indirect Similarity
3.5. Willingness
3.6. Theory of Planned Behavior (TPB)
3.6.1. Attitude
3.6.2. Norm
3.6.3. Control
3.6.4. Intention
3.7. Substances Use
3.7.1. Experimenters
3.7.2. Annual Users
3.7.3. Recent Users
3.7.4. Drunkenness
3.8. Additional Questions
3.8.1. Self
3.8.2. Tobacco
3.8.3. Alcohol
3.8.4. Cannabis
3.8.5. Other Drugs
4. Discussion
5. Conclusions
Author Contributions
Funding
Institutional Review Board Statement
Informed Consent Statement
Data Availability Statement
Acknowledgments
Conflicts of Interest
References
- ESPAD. Results from the European School Survey Project on Alcohol and Other Drugs. 2019. Available online: https://www.emcdda.europa.eu/system/files/publications/13398/2020.3878_EN_04.pdf (accessed on 11 June 2022).
- Hall, W.D. Cannabis use and the Mental Health of Young People. Aust. N. Z. J. Psychiatry 2006, 40, 105–113. [Google Scholar] [CrossRef] [PubMed]
- Melendez-Torres, G.; Dickson, K.; Fletcher, A.; Thomas, J.; Hinds, K.; Campbell, R.; Murphy, S.; Bonell, C. Positive youth development programmes to reduce substance use in young people: Systematic review. Int. J. Drug Policy 2016, 36, 95–103. [Google Scholar] [CrossRef] [PubMed]
- Spilka, S.; Godeau, E.; Le Nézet, O.; Ehlinger, V.; Janssen, E.; Brissot, A.; Philippon, A.; Chyderiotis, S. Usages d’alcool, de tabac et de cannabis chez les adolescents du secondaire en 2018. Tendances 2019, 1–4. Available online: https://eduscol.education.fr/document/13012/download (accessed on 11 June 2022).
- Foxcroft, D.R.; Tsertsvadze, A. Universal school-based prevention programs for alcohol misuse in young people. Cochrane Database Syst. Rev. 2011, CD009113. [Google Scholar] [CrossRef]
- Eckert, T.L.; Miller, D.N.; Riley-Tillman, T.C.; DuPaul, G.J. Adolescent suicide prevention: Gender differences in students' perceptions of the acceptability and intrusiveness of school-based screening programs. J. Sch. Psychol. 2006, 44, 271–285. [Google Scholar] [CrossRef]
- Safran, E.R. Bullying Behavior, Bully Prevention Programs, and Gender. J. Emot. Abus. 2008, 7, 43–67. [Google Scholar] [CrossRef]
- Cuijpers, P. Effective ingredients of school-based drug prevention programs: A systematic review. Addict. Behav. 2002, 27, 1009–1023. [Google Scholar] [CrossRef]
- World Health Organization (WHO). Life Skills Education in Schools; World Health Organization: Geneva, Switzerland, 1997; 48p, Available online: https://apps.who.int/iris/handle/10665/63552 (accessed on 11 June 2022).
- Mangrulkar, L.; Whitman, C.V.; Posner, M. Life Skills Approach to Child and Adolescent Healthy Human Development; Pan American Health Organization: Washington, DC, USA, 2001; 61p. [Google Scholar]
- Sussman, S.; Earleywine, M.; Wills, T.; Cody, C.; Biglan, T.; Dent, C.W.; Newcomb, M.D. The Motivation, Skills, and Decision-Making Model of ?Drug Abuse?1 Prevention. Subst. Use Misuse 2004, 39, 1971–2016. [Google Scholar] [CrossRef]
- Vadrucci, S.; Vigna-Taglianti, F.D.; van der Kreeft, P.; Vassara, M.; Scatigna, M.; Faggiano, F.; Burkhart, G.; Zunino, B.; Salmaso, S.; Cuomo, G.L.; et al. The theoretical model of the school-based prevention programme. Unplugged. Glob. Heal. Promot. 2016, 23, 49–58. [Google Scholar] [CrossRef]
- Van Der Kreeft, P.; Wiborg, G.; Galanti, M.R.; Siliquini, R.; Bohrn, K.; Scatigna, M.; Lindahl, A.-M.; Melero, J.C.; Vassara, M.; Faggiano, F.; et al. ‘Unplugged’: A new European school programme against substance abuse. Drugs Educ. Prev. Policy 2009, 16, 167–181. [Google Scholar] [CrossRef]
- Vigna-Taglianti, F.D.; Galanti, M.R.; Burkhart, G.; Caria, M.P.; Vadrucci, S.; Faggiano, F. “Unplugged,” a European school-based program for substance use prevention among adolescents: Overview of results from the EU-Dap trial. New Dir. Youth Dev. 2014, 2014, 67–82. [Google Scholar] [CrossRef] [PubMed]
- Faggiano, F.; Galanti, M.R.; Bohrn, K.; Burkhart, G.; Vigna-Taglianti, F.; Cuomo, L.; Fabiani, L.; Panella, M.; Perez, T.; Siliquini, R.; et al. The effectiveness of a school-based substance abuse prevention program: EU-Dap cluster randomised controlled trial. Prev. Med. 2008, 47, 537–543. [Google Scholar] [CrossRef] [PubMed]
- Faggiano, F.; Vigna-Taglianti, F.; Burkhart, G.; Bohrn, K.; Cuomo, L.; Gregori, D.; Panella, M.; Scatigna, M.; Siliquini, R.; Varona, L.; et al. The effectiveness of a school-based substance abuse prevention program: 18-Month follow-up of the EU-Dap cluster randomized controlled trial. Drug Alcohol Depend. 2010, 108, 56–64. [Google Scholar] [CrossRef] [PubMed]
- Corte, C.; Zucker, R.A. Self-concept disturbances: Cognitive vulnerability for early drinking and early drunkenness in adolescents at high risk for alcohol problems. Addict. Behav. 2008, 33, 1282–1290. [Google Scholar] [CrossRef][Green Version]
- Ayduk, Ö.; Gyurak, A.; Luerssen, A. Rejection Sensitivity Moderates the Impact of Rejection on Self-Concept Clarity. Pers. Soc. Psychol. Bull. 2009, 35, 1467–1478. [Google Scholar] [CrossRef]
- Pintrich, P.R.; Schrauben, B. Students’ motivational beliefs and their cognitive engagement in classroom academic tasks. In Student Perception in the Classroom; Schunk, D.H., Et Meece, J.L., Eds.; Erlbaum: Hillsdale, NJ, USA, 1992; pp. 149–184. [Google Scholar]
- Calsyn, R.J.; Kenny, D.A. Self-concept of ability and perceived evaluation of others: Cause or effect of academic achievements? J. Educ. Psychol. 1977, 69, 136–145. [Google Scholar] [CrossRef]
- Dumas, T.M.; Ellis, W.E.; Wolfe, D.A. Identity development as a buffer of adolescent risk behaviors in the context of peer group pressure and control. J. Adolesc. 2012, 35, 917–927. [Google Scholar] [CrossRef]
- Dudovitz, R.N.; Li, N.; Chung, P.J. Behavioral Self-Concept as Predictor of Teen Drinking Behaviors. Acad. Pediatr. 2013, 13, 316–321. [Google Scholar] [CrossRef]
- Lindgren, K.P.; Neighbors, C.; Gasser, M.L.; Ramirez, J.J.; Cvencek, D. A review of implicit and explicit substance self-concept as a predictor of alcohol and tobacco use and misuse. Am. J. Drug Alcohol Abus. 2016, 43, 237–246. [Google Scholar] [CrossRef]
- Cooley, C. Human Nature and the Social Order; Routledge: New York, NY, USA, 1983. [Google Scholar] [CrossRef]
- Hayes, S.C.; Luoma, J.B.; Bond, F.W.; Masuda, A.; Lillis, J. Acceptance and Commitment Therapy: Model, processes and outcomes. Behav. Res. Ther. 2006, 44, 1–25. [Google Scholar] [CrossRef]
- Gerrard, M.; Gibbons, F.X.; Houlihan, A.E.; Stock, M.L.; Pomery, E.A. A dual-process approach to health risk decision making: The prototype willingness model. Dev. Rev. 2008, 28, 29–61. [Google Scholar] [CrossRef]
- Gibbons, F.X.; Gerrard, M. Predicting young adults' health risk behavior. J. Pers. Soc. Psychol. 1995, 69, 505–517. [Google Scholar] [CrossRef] [PubMed]
- Gibbons, F.X.; Gerrard, M.; Lane, D.J. A Social Reaction Model of Adolescent Health Risk; Suis, J.M., Wallston, K., Eds.; Blackwell: Oxford, UK, 2003. [Google Scholar]
- Fishbein, M.; Ajzen, I. Belief, Attitude, Intention, and Behavior: An Introduction to Theory and Research; Addison-Wesley: Reading, MA, USA, 1975. [Google Scholar]
- Ajzen, I.; Fishbein, M. Understanding Attitudes and Predicting Human Behavior; Prentice Hall: Englewood, NJ, USA, 1980. [Google Scholar]
- Marcoux, B.C.; Shope, J.T. Application of the Theory of Planned Behavior to adolescent use and misuse of alcohol. Health Educ. Res. 1997, 12, 323–331. [Google Scholar] [CrossRef]
- Zemore, S.E.; Ajzen, I. Predicting substance abuse treatment completion using a new scale based on the theory of planned behavior. J. Subst. Abus. Treat. 2013, 46, 174–182. [Google Scholar] [CrossRef]
- Bashirian, S.; Hidarnia, A.; Allahverdipour, H.; Hajizadeh, E. Application of the theory of planned behavior to predict drug abuse related behaviors among adolescents. J. Res. Health Sci. 2012, 12, 54–60. Available online: https://www.researchgate.net/profile/Hamid-Allahverdipour/publication/230664372_Application_of_the_theory_of_planned_behavior_to_predict_drug_abuse_related_behaviors_among_adolescents/links/561230bd08aec422d1173472/Application-of-the-theory-of-planned-beh (accessed on 11 June 2022).
- Andrews, J.A.; Hampson, S.E.; Barckley, M.; Gerrard, M.; Gibbons, F.X. The effect of early cognitions on cigarette and alcohol use during adolescence. Psychol. Addict. Behav. 2008, 22, 96–106. [Google Scholar] [CrossRef]
- Gerrard, M.; Gibbons, F.X.; Reis-Bergan, M.; Trudeau, L.; Lune, L.S.V.; Buunk, B. Inhibitory effects of drinker and nondrinker prototypes on adolescent alcohol consumption. Health Psychol. 2002, 21, 601–609. [Google Scholar] [CrossRef]
- Gerrard, M.; Gibbons, F.X.; Stock, M.L.; Lune, L.S.V.; Cleveland, M.J. Images of Smokers and Willingness to Smoke Among African American Pre-adolescents: An Application of the Prototype/Willingness Model of Adolescent Health Risk Behavior to Smoking Initiation. J. Pediatr. Psychol. 2005, 30, 305–318. [Google Scholar] [CrossRef]
- Pomery, E.A.; Gibbons, F.X.; Reis-Bergan, M.; Gerrard, M. From Willingness to Intention: Experience Moderates the Shift From Reactive to Reasoned Behavior. Pers. Soc. Psychol. Bull. 2009, 35, 894–908. [Google Scholar] [CrossRef]
- Rivis, A.; Sheeran, P.; Armitage, C. Augmenting the theory of planned behaviour with the prototype/willingness model: Predictive validity of actor versus abstainer prototypes for adolescents' health-protective and health-risk intentions. Br. J. Health Psychol. 2006, 11, 483–500. [Google Scholar] [CrossRef]
- Spijkerman, R.; Eijnden, R.J.V.D.; Vitale, S.; Engels, R.C. Explaining adolescents' smoking and drinking behavior: The concept of smoker and drinker prototypes in relation to variables of the theory of planned behavior. Addict. Behav. 2004, 29, 1615–1622. [Google Scholar] [CrossRef] [PubMed]
- Spijkerman, R.; van den Eijnden, R.J.; Engels, R.C. Self-comparison processes, prototypes, and smoking onset among early adolescents. Prev. Med. 2005, 40, 785–794. [Google Scholar] [CrossRef] [PubMed]
- Chassin, L.; Tetzloff, C.; Hershey, M. Self-image and social-image factors in adolescent alcohol use. J. Stud. Alcohol. 1985, 46, 39–47. [Google Scholar] [CrossRef]
- Chassin, L.; Presson, C.C.; Sherman, S.J.; Corty, E.; Olshavsky, R.W.; Snyder, M. Self-Images and Cigarette Smoking in Adolescence. Pers. Soc. Psychol. Bull. 1981, 7, 670–676. [Google Scholar] [CrossRef]
- Brunot, S.; Valéau, P.; Juhel, J. La clarté du concept de soi: Validation d’une échelle de mesure en langue française. Eur. Rev. Appl. Psychol. 2015, 65, 143–153. [Google Scholar] [CrossRef]
- Litt, D.M.; Stock, M.L.; Gibbons, F.X. Adolescent alcohol use: Social comparison orientation moderates the impact of friend and sibling behaviour. Br. J. Health Psychol. 2014, 20, 514–533. [Google Scholar] [CrossRef] [PubMed]
- Sebastian, C.; Burnett, S.; Blakemore, S.-J. Development of the self-concept during adolescence. Trends Cogn. Sci. 2008, 12, 441–446. [Google Scholar] [CrossRef]
- Savin-Williams, R.C.; Demo, D.H. Developmental change and stability in adolescent self-concept. Dev. Psychol. 1984, 20, 1100. [Google Scholar] [CrossRef]
- Pinquart, M.; Sörensen, S. Gender Differences in Self-Concept and Psychological Well-Being in Old Age: A Meta-Analysis. J. Gerontol. Ser. B Psychol. Sci. Soc. Sci. 2001, 56, P195–P213. [Google Scholar] [CrossRef]
- McGuinness, T.M.; Dyer, J.G.; Wade, E.H. Gender Differences in Adolescent Depression. J. Psychosoc. Nurs. Ment. Health Serv. 2012, 50, 17–20. [Google Scholar] [CrossRef]
- Bang, H.; Won, D.; Park, S. School engagement, self-esteem, and depression of adolescents: The role of sport participation and volunteering activity and gender differences. Child. Youth Serv. Rev. 2020, 113, 105012. [Google Scholar] [CrossRef]
- Zimmermann, F.; Sieverding, M. Young adults’ social drinking as explained by an augmented theory of planned behaviour: The roles of prototypes, willingness, and gender. Br. J. Health Psychol. 2010, 15, 561–581. [Google Scholar] [CrossRef] [PubMed]




| Time 1 | Time 2 | Time x Program | ||||||||||
|---|---|---|---|---|---|---|---|---|---|---|---|---|
| Total M(ET) | Program | Gender | Total M(ET) | Program | Gender | |||||||
| Unpl. M(ET) | IPSELF M(ET) | Girls M(ET) | Boys M(ET) | Unpl. M(ET) | IPSELF M(ET) | Girls M(ET) | Boys M(ET) | |||||
| SCC | 3.99(1.35) | 3.93(1.37) | 4.06(1.34 | 3.59(1.33) | 4.62(1.13) | 3.66(1.35) | 3.72(1.41) | 3.60(1.29) | 3.18(1.20) | 4.42(1.22) | p > 0.05 | |
| FAVORABILITY | Smoker | 3.72(0.75) | 3.75(0.75) | 3.68(0.76) | 3.69(0.79) | 3.75(0.70) | 3.72(0.79) | 3.86(0.71) | 3.55(0.85) | 3.62(0.67) | 3.87(0.93) | p < 0.05 * |
| Nonsmoker | 4.91(0.78) | 4.79(0.81) | 5.03(0.74) | 4.86(0.73) | 4.94(0.87) | 4.72(0.80) | 4.60(0.69) | 4.85(0.89) | 4.72(0.73) | 4.72(0.89) | p > 0.05 | |
| Drinker | 3.72(0.74) | 3.82(0.68) | 3.60(0.78) | 3.70(0.71) | 3.75(0.78) | 3.87(0.75) | 4.07(0.69) | 3.65(0.76) | 3.77(0.72) | 4.01(0.78) | p > 0.05 | |
| Nondrinker | 4.90(0.73) | 4.79(0.73) | 5.02(0.71) | 4.88(0.68) | 4.94(0.79) | 4.71(0.73) | 4.64(0.60) | 4.79(0.85) | 4.74(0.69) | 4.68(0.78) | p > 0.05 | |
| Cannabis S. | 3.29(0.81) | 3.35(0.76) | 3.23(0.87) | 3.29(0.77) | 3.29(0.88) | 3.41(0.83) | 3.42(0.85) | 3.39(0.82) | 3.34(0.81) | 3.51(0.87) | p > 0.05 | |
| Cannabis NS. | 4.91(0.75) | 4.82(0.78) | 5.01(0.70) | 4.90(0.72) | 4.92(0.79) | 4.69(0.76) | 4.55(0.64) | 4.84(0.85) | 4.70(0.74) | 4.67(0.78) | p > 0.05 | |
| SIMILARITY | Direct | |||||||||||
| Smoker | 1.43(1.15) | 1.51(1.20) | 1.33(1.08) | 1.39(1.16) | 1.48(1.13) | 1.77(1.43) | 1.90(1.46) | 1.62(1.37) | 1.72(1.37) | 1.84(1.53) | p > 0.05 | |
| Nonsmoker | 5.84(1.66) | 5.63(1.70) | 6.07(1.59) | 5.82(1.61) | 5.87(1.76) | 5.48(1.70) | 5.34(1.64) | 5.64(1.77) | 5.39(1.72) | 5.62(1.69) | p > 0.05 | |
| Drinker | 2.08(1.42) | 2.17(1.50) | 1.97(1.33) | 1.89(1.28) | 2.36(1.58) | 2.52(1.62) | 2.63(1.55) | 2.38(1.59) | 2.34(1.49) | 2.79(1.77) | p > 0.05 | |
| Nondrinker | 5.23(1.84) | 5.04(1.80) | 5.45(1.88) | 5.33(1.77) | 5.08(1.95) | 4.81(1.74) | 4.65(1.62) | 4.99(1.86) | 4.74(1.67) | 4.90(1.66) | p > 0.05 | |
| Cannabis S. | 1.28(0.92) | 1.28(0.89) | 1.29(0.96) | 1.31(1.03) | 1.25(0.75) | 1.45(1.21) | 1.50(1.23) | 1.40(1.19) | 1.26(0.83) | 1.75(1.59) | p > 0.05 | |
| Cannabis NS | 6.00(1.77) | 5.88(1.86) | 6.14(1.68) | 5.91(1.80) | 6.13(1.74) | 5.73(1.77) | 5.67(1.79) | 5.79(1.75) | 5.65(1.84) | 5.85(1.66) | p > 0.05 | |
| Indirect | ||||||||||||
| Smoker | 1.23(0.96) | 1.09(0.93) | 1.39(0.98) | 1.15(0.96) | 1.35(0.96) | 1.27(0.92) | 1.07(0.81) | 1.49(0.99) | 1.23(0.91) | 1.33(0.95) | p > 0.05 | |
| Nonsmoker | 0.55(0.59) | 0.56(0.64) | 0.54(0.54) | 0.50(0.50) | 0.62(0.71) | 0.67(0.72) | 0.60(0.73) | 0.74(0.71) | 0.56(0.48) | 0.83(0.97) | p > 0.05 | |
| Drinker | 1.21(1.00) | 0.98(0.96) | 1.45(0.99) | 1.14(0.95) | 1.30(1.07) | 1.12(0.86) | 0.85(0.73) | 1.41(0.90) | 1.09(0.91) | 1.15(0.78) | p > 0.05 | |
| Nondrinker | 0.54(0.55) | 0.51(0.46) | 0.56(0.63) | 0.49(0.47) | 0.61(0.65) | 0.69(0.65) | 0.60(0.53) | 0.79(0.74) | 0.57(0.51) | 0.88(0.77) | p > 0.05 | |
| Cannabis S. | 1.61(1.17) | 1.40(1.12) | 1.84(1.19) | 1.49(1.06) | 1.79(1.31) | 1.47(1.02) | 1.35(0.98) | 1.61(1.06) | 1.44(0.97) | 1.53(1.11) | p > 0.05 | |
| Cannabis NS | 0.58(0.52) | 0.59(0.48) | 0.57(0.56) | 0.52(0.50) | 0.67(0.56) | 0.71(0.67) | 0.63(0.67) | 0.80(0.67) | 0.63(0.59) | 0.82(0.77) | p > 0.05 | |
| WILLINGNESS | Tobacco | 2.39(1.75) | 2.60(1.81) | 2.17(1.66) | 2.30(1.69) | 2.54(1.83) | 2.79(1.96) | 2.96(1.97) | 2.59(1.95) | 2.79(2.07) | 2.78(1.81) | p > 0.05 |
| Alcohol | 3.48(1.91) | 3.49(1.89) | 3.46(1.93) | 3.23(1.79) | 3.84(2.02) | 4.19(1.99) | 4.37(1.92) | 3.99(2.06) | 4.10(2.01) | 4.33(1.96) | p > 0.05 | |
| Cannabis | 1.76(1.50) | 1.70(1.44) | 1.84(1.58) | 1.65(1.36) | 1.93(1.69) | 1.80(1.43) | 1.78(1.42) | 1.82(1.45) | 1.72(1.45) | 1.92(1.41) | p > 0.05 | |
| TPB | Tobacco | |||||||||||
| Attitude | 1.97(1.84) | 1.93(1.78) | 2.02(1.92) | 2.11(1.93) | 1.76(1.69) | 1.84(1.54) | 1.67(1.22) | 2.02(1.82) | 1.90(1.50) | 1.74(1.59) | p > 0.05 | |
| Norm | 1.36(0.88) | 1.35(0.77) | 1.37(0.97) | 1.31(0.79) | 1.44(1.00) | 1.76(1.46) | 1.84(1.52) | 1.66(1.40) | 1.68(1.36) | 1.90(1.61) | p > 0.05 | |
| Control | 2.15(1.53) | 2.30(1.56) | 1.99(1.49) | 1.92(1.47) | 2.41(1.59) | 2.57(1.70) | 2.61(1.70) | 2.52(1.68) | 2.64(1.81) | 2.46(1.49) | p > 0.05 | |
| Intention | 1.56(1.23) | 1.58(1.16) | 1.53(1.31) | 1.52(1.19) | 1.62(1.28) | 1.93(1.57) | 2.04(1.64) | 1.82(1.49) | 1.92(1.55) | 1.95(1.63) | p > 0.05 | |
| Alcohol | ||||||||||||
| Attitude | 1.76(1.16) | 1.76(1.06) | 1.96(1.46) | 1.82(1.28) | 1.64(0.96) | 2.40(1.62) | 2.22(1.37) | 2.60(1.85) | 2.32(1.52) | 2.51(1.77) | p > 0.05 | |
| Norm | 1.65(1.17) | 1.65(1.18) | 1.65(1.17) | 1.59(1.14) | 1.75(1.22) | 1.39(1.25) | 1.46(1.41) | 1.31(1.01) | 1.24(1.01) | 1.60(1.53) | p > 0.05 | |
| Control | 2.84(1.73) | 2.86(1.67) | 2.82(1.81) | 2.61(1.70) | 3.18(1.74) | 3.65(1.78) | 3.72(1.66) | 3.57(1.92) | 3.58(1.71) | 3.75(1.90) | p > 0.05 | |
| Intention | 2.35(1.72) | 2.36(1.76) | 2.34(1.69) | 2.16(1.59) | 2.63(1.87) | 3.44(2.11) | 3.45(2.04) | 3.43(2.21) | 3.23(2.07) | 3.75(2.15) | p > 0.05 | |
| Cannabis | ||||||||||||
| Attitude | 1.48(1.42) | 1.49(1.42) | 1.46(1.43) | 1.40(1.21) | 1.59(1.69) | 1.74(1.77) | 1.66(1.63) | 1.82(1.91) | 1.58(1.53) | 1.97(2.06) | p > 0.05 | |
| Norm | 1.10(0.54) | 1.04(0.33) | 1.19(0.70) | 1.04(0.33) | 1.21(0.74) | 1.39(1.25) | 1.46(1.42) | 1.32(1.04) | 1.24(1.01) | 1.60(1.53) | p > 0.05 | |
| Control | 1.87(1.34) | 2.05(1.41) | 1.66(1.23) | 1.82(1.31) | 1.94(1.40) | 2.13(1.50) | 2.11(1.63) | 2.16(1.34) | 2.09(1.58) | 2.20(1.38) | p > 0.05 | |
| Intention | 1.21(0.88) | 1.20(0.88) | 1.22(0.88) | 1.21(0.85) | 1.22(0.94) | 1.45(1.27) | 1.48(1.44) | 1.43(1.06) | 1.32(1.09) | 1.65(1.49) | p > 0.05 | |
| Time 1 | Time 2 | Time x Program x Gender | ||||||||
|---|---|---|---|---|---|---|---|---|---|---|
| Unplugged | IPSELF | Unplugged | IPSELF | |||||||
| Girls M(SD) | Boys M(SD) | Girls M(SD) | Boys M(SD) | Girls M(SD) | Boys M(SD) | Girls M(SD) | Boys M(SD) | |||
| SCC | 3.59(1.33) | 4.57(1.28) | 3.60(1.35) | 4.66(1.06) | 3.28(1.30) | 4.56(1.23) | 3.04(1.07) | 4.31(1.21) | p > 0.05 | |
| FAVORABILITY | Smoker | 3.78(0.73) | 3.69(0.79) | 3.57(0.86) | 3.80(0.60) | 3.78(0.45) | 4.01(1.00) | 3.40(0.83) | 3.74(0.86) | p > 0.05 |
| Nonsmoker | 4.81(0.72) | 4.76(0.97) | 4.99(0.74) | 5.09(0.74) | 4.53(0.46) | 4.74(0.97) | 4.97(0.93) | 4.70(0.83) | p > 0.05 | |
| Drinker | 3.80(0.62) | 3.87(0.79) | 3.57(0.80) | 3.64(0.77) | 3.98(0.56) | 4.24(0.87) | 3.51(0.82) | 3.82(0.64) | p > 0.05 | |
| Nondrinker | 4.76(0.68) | 4.84(0.83) | 5.02(0.66) | 5.03(0.76) | 4.59(0.54) | 4.73(0.71) | 4.92(0.83) | 4.63(0.85) | p > 0.05 | |
| Cannabis S. | 3.33(0.64) | 3.37(0.96) | 3.24(0.91) | 3.22(0.82) | 3.39(0.78) | 3.46(1.00) | 3.27(0.85) | 3.55(0.76) | p > 0.05 | |
| Cannabis NS. | 4.78(0.73) | 4.87(0.87) | 5.05(0.69) | 4.97(0.72) | 4.52(0.55) | 4.62(0.78) | 4.94(0.89) | 4.71(0.79) | p > 0.05 | |
| SIMILARITY | Direct | |||||||||
| Smoker | 1.51(1.23) | 1.52(1.15) | 1.24(1.04) | 1.44(1.13) | 2.02(1.62) | 1.69(1.17) | 1.34(0.83) | 1.97(1.81) | p > 0.05 | |
| Nonsmoker | 5.08(1.55) | 5.55(1.98) | 6.00(1.67) | 6.16(1.51) | 5.13(1.68) | 5.72(1.53) | 5.73(1.73) | 5.53(1.83) | p > 0.05 | |
| Drinker | 1.94(1.32) | 2.59(1.72) | 1.83(1.24) | 2.16(1.44) | 2.45(1.53) | 2.97(1.57) | 2.20(1.45) | 2.63(1.95) | p > 0.05 | |
| Nondrinker | 5.23(1.63) | 4.69(2.08) | 5.46(1.96) | 5.44(1.80) | 4.64(1.80) | 4.66(1.87) | 4.88(1.88) | 5.13(1.86) | p > 0.05 | |
| Cannabis S. | 1.28(0.95) | 1.28(0.80) | 1.34(1.13) | 1.22(0.71) | 1.42(1.06) | 1.66(1.50) | 1.05(0.22) | 1.84(1.69) | p > 0.05 | |
| Cannabis NS | 5.81(1.89) | 6.00(1.81) | 6.05(1.69) | 6.25(1.69) | 5.53(1.91) | 5.93(1.56) | 5.80(1.75) | 5.78(1.77) | p > 0.05 | |
| Indirect | ||||||||||
| Smoker | 0.93(0.82) | 1.38(1.05) | 1.43(1.07) | 1.33(0.88) | 0.92(0.64) | 1.33(1.02) | 1.62(1.06) | 1.34(0.89) | p > 0.05 | |
| Nonsmoker | 0.48(0.50) | 0.70(0.83) | 0.53(0.51) | 0.56(0.59) | 0.49(0.43) | 0.81(1.07) | 0.65(0.53) | 0.85(0.88) | p > 0.05 | |
| Drinker | 0.92(0.87) | 1.09(1.13) | 1.42(0.99) | 1.48(1.00) | 0.78(0.69) | 0.98(0.80) | 1.49(1.00) | 1.31(0.75) | p > 0.05 | |
| Nondrinker | 0.46(0.45) | 0.60(0.48) | 0.53(0.50) | 0.61(0.78) | 0.51(0.48) | 0.77(0.59) | 0.65(0.55) | 0.97(0.91) | p > 0.05 | |
| Cannabis S. | 1.27(1.00) | 1.64(1.30) | 1.77(1.09) | 1.92(1.33) | 1.25(0.80) | 1.53(1.23) | 1.68(1.11) | 1.53(1.01) | p > 0.05 | |
| Cannabis NS | 0.54(0.49) | 0.68(0.50) | 0.49(0.52) | 0.66(0.60) | 0.57(0.61) | 0.75(0.75) | 0.72(0.55) | 0.89(0.80) | p > 0.05 | |
| WILLINGNESS | Tobacco | 2.55(1.83) | 2.68(1.81) | 1.98(1.47) | 2.41(1.86) | 3.21(2.14) | 2.53(1.57) | 2.26(1.88) | 3.00(1.99) | p > 0.05 |
| Alcohol | 3.19(1.70) | 4.03(2.10) | 3.29(1.92) | 3.67(1.96) | 4.35(1.96) | 4.40(1.88) | 3.77(2.05) | 4.26(2.06) | p > 0.05 | |
| Cannabis | 1.68(1.46) | 1.73(1.42) | 1.62(1.23) | 2.11(1.91) | 1.81(1.57) | 1.73(1.15) | 1.60(1.29) | 2.09(1.61) | p > 0.05 | |
| TPB | Tobacco | |||||||||
| Attitude | 2.01(1.87) | 1.79(1.61) | 2.24(2.02) | 1.73(1.77) | 1.81(1.24) | 1.42(1.15) | 2.02(1.80) | 2.02(1.88) | p > 0.05 | |
| Norm | 1.43(0.90) | 1.20(0.45) | 1.13(0.60) | 1.67(1.26) | 1.75(1.41) | 1.98(1.71) | 1.57(1.29) | 1.82(1.54) | p > 0.05 | |
| Control | 2.05(1.50) | 2.73(1.59) | 1.89(1.44) | 2.12(1.56) | 2.84(1.90) | 2.22(1.23) | 2.39(1.69) | 2.68(1.69) | p < 0.05 * | |
| Intention | 1.64(1.32) | 1.48(0.81) | 1.37(1.00) | 1.74(1.60) | 2.19(1.68) | 1.77(1.58) | 1.57(1.30) | 2.12(1.67) | p > 0.05 | |
| Alcohol | ||||||||||
| Attitude | 1.73(1.13) | 1.80(0.96) | 1.96(1.46) | 1.50(0.95) | 2.25(1.40) | 2.17(1.34) | 2.42(1.67) | 2.82(2.06) | p > 0.05 | |
| Norm | 1.57(1.11) | 1.80(1.30) | 1.61(1.19) | 1.70(1.16) | 1.43(1.32) | 1.50(1.59) | 1.00(0.00) | 1.70(1.49) | p > 0.05 | |
| Control | 2.48(1.54) | 3.52(1.71) | 2.77(1.88) | 2.88(1.74) | 3.77(1.56) | 3.63(1.86) | 3.33(1.88) | 3.86(1.96) | p < 0.01 ** | |
| Intention | 2.10(1.51) | 2.82(2.07) | 2.23(1.70) | 2.47(1.68) | 3.31(1.97) | 3.70(2.17) | 3.13(2.22) | 3.79(2.17) | p > 0.05 | |
| Cannabis | ||||||||||
| Attitude | 1.45(1.31) | 1.57(1.63) | 1.34(1.07) | 1.62(1.78) | 1.71(1.68) | 1.57(1.58) | 1.41(1.31) | 2.32(2.39) | p > 0.05 | |
| Norm | 1.00(0.00) | 1.10(0.55) | 1.10(0.49) | 1.30(0.88) | 1.43(1.32) | 1.50(1.59) | 1.00(0.00) | 1.70(1.49) | p > 0.05 | |
| Control | 1.81(1.31) | 2.48(1.51) | 1.83(1.32) | 1.45(1.09) | 2.11(1.75) | 2.12(1.41) | 2.06(1.35) | 2.27(1.38) | p < 0.05 * | |
| Intention | 1.15(0.64) | 1.30(1.21) | 1.28(1.06) | 1.15(0.61) | 1.42(1.35) | 1.58(1.60) | 1.20(0.60) | 1.71(1.40° | p > 0.05 | |
| Time 1 | Time 2 | Time Effect | Time x Program | ||||||||||
|---|---|---|---|---|---|---|---|---|---|---|---|---|---|
| Total n(%) | Program | Gender | Total n(%) | Program | Gender | ||||||||
| Unpl. n(%) | IPSELF n(%) | Girls n(%) | Boys n(%) | Unpl. n(%) | IPSELF n(%) | Girls n(%) | Boys n(%) | ||||||
| TOBACCO | Experimenters | 18(11.46) | 12(66.67) | 6(33.33) | 11(61.11) | 7(38.89) | 43(27.39) | 26(60.47) | 17(39.53) | 22(51.16) | 21(48.84) | p < 0.05 * | p > 0.05 |
| Annual users | 12(7.64) | 7(58.33) | 5(41.67) | 7(58.33) | 5(41.67) | 30(19.11) | 17(56.67) | 13(43.33) | 15(50.00) | 15(50.00) | p = 0.01 ** | p > 0.05 | |
| Recent users | 4(2.55) | 3(75.00) | 1(25.00) | 3(75.00) | 1(25.00) | 19(12.10) | 12(63.16) | 7(36.84) | 12(63.16) | 7(36.84) | p < 0.05 * | p > 0.05 | |
| ALCOHOL | Experimenters | 92(58.60) | 57(61.96) | 35(38.04) | 52(56.52) | 40(43.48) | 122(77.07) | 74(60.66) | 48(39.34) | 72(59.02) | 50(40.98) | p < 0.01 * | p > 0.05 |
| Annual users | 61(38.85) | 36(59.02) | 25(40.98) | 33(54.10) | 28(45.90) | 95(60.51) | 57(60.00) | 38(40.00) | 55(57.89) | 40(42.11) | p < 0.001 *** | p > 0.05 | |
| Recent users | 13(8.28) | 6(46.15) | 7(53.85) | 5(38.46) | 8(34.54) | 23(14.65) | 16(69.57) | 7(30.43) | 11(47.83) | 12(52.17) | p < 0.01 ** | p > 0.05 | |
| Drunkenness | 5(3.18) | 4(80.00) | 1(20.00) | 1(20.00) | 4(80.00) | 32(20.38) | 16(50.00) | 16(50.00) | 12(37.50) | 20(62.50) | p < 0.01 ** | p > 0.05 | |
| CANNABIS | Experimenters | 2(1.27 | 1(50.00) | 1(50.00) | 2(100.00) | 0 | 5(3.18) | 2(40.00) | 3(60.00) | 3(60.00) | 2(40.00) | - | - |
| Annual users | 1(0.64) | 0 | 1(100.00) | 1(100.00) | 0 | 2(1.27) | 1(50.00) | 1(50.00) | 1(50.00) | 1(50.00) | - | - | |
| Recent users | 0 | 0 | 0 | 0 | 0 | 0 | 0 | 0 | 0 | 0 | - | - | |
Publisher’s Note: MDPI stays neutral with regard to jurisdictional claims in published maps and institutional affiliations. |
© 2022 by the authors. Licensee MDPI, Basel, Switzerland. This article is an open access article distributed under the terms and conditions of the Creative Commons Attribution (CC BY) license (https://creativecommons.org/licenses/by/4.0/).
Share and Cite
Bourduge, C.; Brousse, G.; Morel, F.; Pereira, B.; Lambert, C.; Izaute, M.; Teissedre, F. “Intervention Program Based on Self”: A Proposal for Improving the Addiction Prevention Program “Unplugged” through Self-Concept. Int. J. Environ. Res. Public Health 2022, 19, 8994. https://doi.org/10.3390/ijerph19158994
Bourduge C, Brousse G, Morel F, Pereira B, Lambert C, Izaute M, Teissedre F. “Intervention Program Based on Self”: A Proposal for Improving the Addiction Prevention Program “Unplugged” through Self-Concept. International Journal of Environmental Research and Public Health. 2022; 19(15):8994. https://doi.org/10.3390/ijerph19158994
Chicago/Turabian StyleBourduge, Cédrine, Georges Brousse, Florence Morel, Bruno Pereira, Céline Lambert, Marie Izaute, and Frédérique Teissedre. 2022. "“Intervention Program Based on Self”: A Proposal for Improving the Addiction Prevention Program “Unplugged” through Self-Concept" International Journal of Environmental Research and Public Health 19, no. 15: 8994. https://doi.org/10.3390/ijerph19158994
APA StyleBourduge, C., Brousse, G., Morel, F., Pereira, B., Lambert, C., Izaute, M., & Teissedre, F. (2022). “Intervention Program Based on Self”: A Proposal for Improving the Addiction Prevention Program “Unplugged” through Self-Concept. International Journal of Environmental Research and Public Health, 19(15), 8994. https://doi.org/10.3390/ijerph19158994

