The Impact of Rationalization and Upgrading of Industrial Structure on Carbon Emissions in the Beijing-Tianjin-Hebei Urban Agglomeration
Abstract
:1. Introduction
- (1)
- This study takes the Beijing-Tianjin-Hebei urban agglomeration as an overall region to explore the relationship between its industrial structure and carbon emissions, which positively deepens the joint industrial development and spatial layout in the Beijing-Tianjin-Hebei urban agglomeration.
- (2)
- This study subdivides the industrial structure variables into two independent variables—industrial structure rationalization and industrial structure upgrade—to better understand the impact of industrial structure optimization on carbon emissions. Other variables include population, per capita GDP and government expenditure on science and technology, and the variables are considered comprehensively. In addition, the robustness test of carbon emission intensity as a replacement variable of total carbon emissions confirms the credibility of the results. It expands the impact on carbon emission intensity.
- (3)
- This study aims to provide a reference for the formulation of carbon emission reduction policies from the rationalization of industrial structure and upgrading of industrial structure. It is of great significance for China to deepen the optimization of industrial structure in the Beijing-Tianjin-Hebei region and the top-level design of urban low-carbon sustainable development for local governments to grasp the correct policy direction and academic circles to keep up with the needs of regional industrial green development.
2. Literature Review
3. Model Construction and Calculation Method
3.1. Model Construction
3.2. Calculation Method
4. Overview of the Study Region and Data Sources
4.1. Study Region
4.2. Data Sources and Processing
5. Empirical Analysis
5.1. Unit Root Test
5.2. Co-Integration Test
5.3. Regression Results
5.4. Empirical Results Analysis
- (1)
- The regression results of Models (1), (2), (5) and (6) show that the rationalization of industrial structure of the Beijing-Tianjin-Hebei urban agglomeration is positively correlated with carbon emissions. According to the regression data, every 1% decrease in industrial structure rationalization index will decrease carbon emissions by 0.057% to 0.068%. It can be known from the previous analysis that the smaller the industrial structure rationalization index is, the more reasonable the industrial structure is. Therefore, the rationalization of industrial structure in Beijing-Tianjin-Hebei urban agglomeration significantly inhibits carbon emissions. The reason is that the unreasonable industrial structure creates the uneven distribution of resources, resulting in the waste of resources and an increase in energy consumption. Ultimately, carbon emissions increase.
- (2)
- The regression results of Models (3), (4), (5) and (6) show that the upgrading of industrial structure of Beijing-Tianjin-Hebei urban agglomeration is negatively correlated with carbon emissions. According to the regression data, every 1% increase in industrial structure upgrade index will decrease carbon emissions by 0.171% to 0.194% on average. The growth of the upgrading industrial index indicates that the proportion of the added value of the tertiary industry increases, and the carbon emission of the tertiary industry increases. However, at the same time, the proportion of the added value of the secondary industry decreases, and the carbon emission decreases. As the average carbon emission intensity of the secondary industry is higher than that of the tertiary industry, the total carbon emission falls. Therefore, improving the advanced level of industrial structure of Beijing-Tianjin-Hebei urban agglomeration can inhibit carbon emissions.
- (3)
- Two variables, the industrial structure rationalization index and the industrial structure upgrade index, are added to Models (5) and (6), then the regression results are still significant. It shows that the overall regression result is stable. There is only a tiny change in the industrial structure rationalization index when the control variable TE is added. The same is true in Models (1) and (2). In Model (4), the addition of TE reduces carbon emissions by 0.09% more than in Model (3) when the industrial structure upgrading index increases by 1%. Similarly, Model (6) reduces carbon emissions by 0.06% more than Model (5). It reflects that the government’s increased financial expenditure on science and technology will help promote the upgrading of industrial structure and reduce carbon emissions. To sum up, the upgrading of industrial structure and rationalization of industrial structure in the Beijing-Tianjin-Hebei urban agglomeration all help to reduce regional carbon emissions.
- (4)
- According to the model regression results, the per capita GDP of the Beijing-Tianjin-Hebei urban agglomeration has a significant positive effect on carbon emissions. The regression data shows that for every 1% increase in per capita GDP, the average carbon emissions increase by 0.420–0.471%. The regression results accord with the general economic law. However, the impact of population change on carbon emissions is not significant. It may be due to the slight change in the number of urban populations in Beijing, Tianjin, and Hebei and many employed people in the primary industry in Hebei Province.
- (5)
- From the overall regression results, the impact of every 1% change in industrial structure rationalization index on carbon emissions is 0.057% to 0.068%, and the impact of every 1% change in industrial structure upgrade index on carbon emissions is 0.171% to 0.194%. It shows that the effect of industrial structure upgrading on carbon emission reduction is better. Additionally, it proves that the removal of carbon emissions of Beijing-Tianjin-Hebei urban agglomeration depends more on upgrading industrial structure. In the future, the government should pay attention to regional industrial transformation and industrial upgrading, promote the development of producer services and strategic emerging industries, and improve the advanced level of industrial structure.
5.5. Reality Analysis
5.6. Robust Test
6. Conclusions
- (1)
- The rationalization of industrial structure in the Beijing-Tianjin-Hebei urban agglomeration significantly inhibits carbon emissions. Specifically, every 1% decrease in the industrial structure rationalization index will decrease carbon emissions by 0.057% to 0.068% on average.
- (2)
- Improving the advanced level of the industrial structure of the Beijing-Tianjin-Hebei urban agglomeration can inhibit carbon emissions. Specifically, every 1% increase in the industrial structure upgrading index will decrease car-bon emissions by 0.171% to 0.194% on average.
- (3)
- For the Beijing-Tianjin-Hebei urban agglomeration, government expenditure on science and technology can promote the development of industrial structure upgrade to a certain extent, thereby reducing carbon emissions. Specifically, after increasing financial expenditure on science and technology, every 1% increase in the industrial structure upgrading index will decrease carbon emissions by 0.06% to 0.09% on average.
- (4)
- Compared with the rationalization of the industrial structure, the upgrading of industrial structure in the Beijing-Tianjin-Hebei urban agglomeration has a better effect on carbon emission reduction.
- (5)
- Compared with Beijing and Tianjin, there are differences in the development level of industrial structure in Hebei Province. It is necessary to adjust the industrial structure and promote the development level of tertiary industry in the three places to maintain a relatively same level.
- (1)
- The rationalization of industrial structure can realize the rational allocation of production factors. It achieves the effect of reducing energy consumption and carbon emissions by reducing the waste of resources. Therefore, the government of Beijing, Tianjin and Hebei should promote the transformation and upgrading of enterprises by providing preferential policies and financial support. The government should guide enterprises to increase investment in research and development of environmental protection technologies and energy-saving industries, further optimize the allocation of internal resources in enterprises, realize the improvement of the level of rationalization within the industry, and promote carbon emission reduction from the source of production. In addition, cities should also pay attention to the complementary advantages and coordinated development of industries, improve the utilization rate of regional resources, and establish regional carbon emission reduction cooperation to reduce the overall carbon emissions in the region.
- (2)
- The upgrading of industrial structure aims to reduce carbon emissions by applying digital and low-carbon technologies in traditional industries and increasing the share of the tertiary industry. Hebei Province should use digital technology to drive the transformation and upgrading of traditional fields such as agriculture and manufacturing, guide and encourage enterprises to develop and utilize low-carbon technologies, further eliminate outdated production capacity, and guide the transfer of excess resources to the service industry, thereby reducing urban carbon emissions. For cities with a high share of the tertiary industry, such as Beijing and Tianjin, upgrading their advanced industrial level mainly relies on high-tech and service industries with high added value and low carbon emissions. Therefore, Beijing and Tianjin should focus on transforming traditional service industries, reducing carbon emissions such as transportation, and developing emerging service industries driven by technological innovation. At the same time, the Beijing-Tianjin-Hebei urban agglomeration should expand emerging industries, such as new energy, new materials, energy conservation and environmental protection, and steadily build an energy-saving and consumption-reducing industrial system to create natural conditions for reducing carbon emissions.
- (3)
- Government spending on science and technology can improve regional green innovation capabilities, promote regional industrial structure optimization, and achieve low-carbon industrial transformation and development. Therefore, the governments of Beijing, Tianjin and Hebei should increase their spending on science and technology, attract knowledge, talents, technology and other innovative elements to enterprises, promote the development of high-tech industries and emerging industries of energy conservation and emission reduction, and improve the advanced level of industrial structure. Enterprises should increase R&D efforts with the support of government spending on science and technology to provide a technical foundation for the development of producer services and consumer services. In addition, the government should set up special funds to introduce significant scientific and technological achievements that can promote the transformation and upgrading of traditional industries and the development of high-tech industries. By implementing the transformation of scientific and technological achievements, the government has consolidated the foundation for optimizing the industrial structure. Increasing government spending on science and technology affects carbon emission reduction by optimizing the industrial structure.
- (4)
- Hebei province should implement a differentiation policy when accepting industries transferred from Beijing and reject enterprises with high energy consumption and heavy pollution. High pollution taxes should be levied on enterprises with moderate energy consumption and pollution to encourage them to reduce pollution emissions. Tax incentives and financial subsidies should be given to enterprises with low energy consumption and low pollution to help them develop rapidly. At the same time, for existing industries, we should speed up the elimination of backward production facilities, reduce the use of fossil energy, and curb the blind development of projects with high energy consumption and high emissions.
Author Contributions
Funding
Data Availability Statement
Acknowledgments
Conflicts of Interest
References
- Gasparrini, A.; Guo, Y.; Sera, F.; Vicedo-Cabrera, A.M.; Huber, V.; Tong, S.; de Sousa Zanotti Stagliorio Coelho, M.; Nascimento Saldiva, P.H.; Lavigne, E.; Matus Correa, P.; et al. Projections of temperature-related excess mortality under climate change scenarios. Lancet Planet. Health 2017, 1, 360–367. [Google Scholar] [CrossRef]
- Yue, J.; Zhu, H.; Yao, F. Does Industrial Transfer Change the Spatial Structure of CO2 Emissions?—Evidence from Beijing-Tianjin-Hebei Region in China. Int. J. Environ. Res. Public Health 2022, 19, 322. [Google Scholar] [CrossRef] [PubMed]
- Chen, J.; Yuan, H.; Tian, X.; Zhang, Y.; Shi, F. What determines the diversity of CO2 emission patterns in the Beijing-Tianjin-Hebei region of China? An analysis focusing on industrial structure change. J. Clean. Prod. 2019, 228, 1088–1098. [Google Scholar] [CrossRef]
- Dong, B.; Xu, Y.; Fan, X. How to Achieve a Win-Win Situation between Economic Growth and Carbon Emission Reduction: Empirical Evidence from the Perspective of Industrial Structure Upgrading. Environ. Sci. Pollut. Res. 2020, 27, 43829–43844. [Google Scholar] [CrossRef]
- Siqin, Z.; Niu, D.; Li, M.; Zhen, H.; Yang, X. Carbon dioxide emissions, urbanization level, and industrial structure: Empirical evidence from North China. Environ. Sci. Pollut. Res. 2022, 29, 34528–34545. [Google Scholar] [CrossRef]
- Qu, G.; Zhang, Y.; Tan, K.; Han, J.; Qu, W. Exploring Knowledge Domain and Emerging Trends in Climate Change and Environmental Audit: A Scientometric Review. Int. J. Environ. Res. Public Health 2022, 19, 4142. [Google Scholar] [CrossRef]
- Miao, Y.; Hu, X.M.; Liu, S.; Qian, T.; Xue, M.; Zheng, Y.; Wang, S. Seasonal variation of local atmospheric circulations and boundary layer structure in the Beijing-Tianjin-Hebei region and implications for air quality. J. Adv. Model. Earth Syst. 2015, 7, 1602–1626. [Google Scholar] [CrossRef]
- Li, T.; Liu, Y.; Wang, C.; Olsson, G.; Wang, Z.; Wang, H. Decentralization of the non-capital functions of Beijing: Industrial relocation and its environmental effects. J. Clean. Prod. 2019, 224, 545–556. [Google Scholar] [CrossRef]
- Chen, S.; Liu, Y.; Li, S.; Shi, X.; Lv, H.; Wang, J. Beijing-Tianjin-Hebei urban PM2.5 the health risks of contamination and the economic loss research. J. Saf. Environ. 2020, 20, 1146–1153. [Google Scholar] [CrossRef]
- Bilsback, K.; Baumgartner, J.; Cheeseman, M.; Ford, B.; Kodros, J.K.; Li, X.; Ramnarine, E.; Tao, S.; Zhang, Y.; Carter, E.; et al. Estimated Aerosol Health and Radiative Effects of the Residential Coal Ban in the Beijing-Tianjin-Hebei Region of China. Aerosol Air Qual. Res. 2020, 20, 2332–2346. [Google Scholar] [CrossRef]
- Zhang, Q.; Tong, P.; Liu, M.; Lin, H.; Yun, X.; Zhang, H.; Tao, W.; Liu, J.; Wang, S.; Tao, S.; et al. A WRF-Chem model-based future vehicle emission control policy simulation and assessment for the Beijing-Tianjin-Hebei region, China. J. Environ. Manag. 2020, 253, 109751. [Google Scholar] [CrossRef]
- Xue, J.; Xie, W.; Li, C. Beijing-Tianjin-Hebei atmospheric pollution control provincial cooperation game model. Syst. Eng. Theor. Pract. 2014, 34, 810–816. [Google Scholar]
- Feng, D.; Li, J. The three urban agglomerations in our country the influence of the urbanization level of carbon emissions. Resour. Environ. Yangtze Basin 2018, 27, 2194–2200. [Google Scholar]
- Chen, M.; Wu, S.; Lei, Y.; Li, S. Study on embodied CO2 transfer between the Jing-Jin-Ji region and other regions in China: A quantification using an interregional input-output model. Environ. Sci. Pollut. Res. Int. 2018, 25, 14068–14082. [Google Scholar] [CrossRef]
- Chai, Y.; Lin, X.; Wang, D. Industrial Structure Transformation and Layout Optimization of Beijing-Tianjin-Hebei Region under Carbon Emission Constraints. Sustainability 2021, 13, 643. [Google Scholar] [CrossRef]
- Xue, L.; Zheng, Z.; Meng, S.; Li, M.; Li, H.; Chen, J. Carbon emission efficiency and spatio-temporal dynamic evolution of the cities in Beijing-Tianjin-Hebei Region, China. Environ. Dev. Sustain. 2022, 24, 7640–7664. [Google Scholar] [CrossRef]
- Zhao, L.; Li, J.; Shao, Q. Evaluation of urban comprehensive carrying capacity: Case study of the Beijing–Tianjin–Hebei urban agglomeration, China. Environ. Sci. Pollut. Res. 2020, 27, 19774–19782. [Google Scholar] [CrossRef]
- Bai, Y.; Zheng, H.; Shan, Y.; Meng, J.; Li, Y. The Consumption-Based Carbon Emissions in the Jing-Jin-Ji Urban Agglomeration Over China’s Economic Transition. Earths Future 2021, 9, e2021EF002132. [Google Scholar] [CrossRef]
- Wang, P.; Li, Y.; Huang, G.; Wang, S.; Suo, C.; Ma, Y. A multi-scenario factorial analysis and multi-regional input-output model for analyzing CO2 emission reduction path in Jing-Jin-Ji region. J. Clean. Prod. 2021, 300, 126782. [Google Scholar] [CrossRef]
- Busch, J.; Foxon, T.; Taylor, P. Designing industrial strategy for a low carbon transformation. Environ. Innov. Soc. Transit. 2018, 29, 114–125. [Google Scholar] [CrossRef]
- Mi, Z.; Pan, S.; Yu, H.; Wei, Y. Potential impacts of industrial structure on energy consumption and CO2 emission: A case study of Beijing. J. Clean. Prod. 2015, 103, 455–462. [Google Scholar] [CrossRef] [Green Version]
- Li, L.; Lei, Y.; Wu, S.; He, C.; Chen, J.; Yan, D. Impacts of City Size Change and Industrial Structure Change on CO2 Emissions in Chinese Cities. J. Clean. Prod. 2018, 195, 831–838. [Google Scholar] [CrossRef]
- Li, Y.; Li, H. China’s Inter-Regional Embodied Carbon Emissions: An Industrial Transfer Perspective. Environ. Sci. Pollut. Res. 2022, 29, 4062–4075. [Google Scholar] [CrossRef]
- Wu, Y.; Xiong, Y.; Tian, X.; Liu, Y.; Shi, F. Decoding the carbonization mode of the south coastal economic zone in China from the perspective of a dynamic industrial structure. J. Clean. Prod. 2018, 199, 518–528. [Google Scholar] [CrossRef]
- Zhu, B.; Shan, H. Impacts of industrial structures reconstructing on carbon emission and energy consumption: A case of Beijing. J. Clean. Prod. 2020, 245, 118916. [Google Scholar] [CrossRef]
- Holdren, J.; Ehrlich, P. Human Population and the Global Environment: Population Growth, Rising per Capita Material Consumption, and Disruptive Technologies Have Made Civilization a Global Ecological Force. Am. Sci. 1974, 62, 282–292. Available online: http://www.jstor.org/stable/27844882 (accessed on 18 March 2022).
- Dietz, T.; Rosa, E. Effects of population and affluence on CO2 emissions. Proc. Natl. Acad. Sci. USA 1997, 94, 175–179. [Google Scholar] [CrossRef] [Green Version]
- Ren, X.; Liu, Y.; Zhao, G. The impact and transmission mechanism of economic agglomeration on carbon intensity. Chin. J. Popul. Resour. Environ. 2020, 30, 95–106. [Google Scholar] [CrossRef]
- Liu, N.; Ma, Z.; Kang, J. Changes in carbon intensity in China’s industrial sector: Decomposition and attribution analysis. Energy Policy 2015, 87, 28–38. [Google Scholar] [CrossRef]
- Gan, C.; Zheng, R.; Yu, D. An empirical study on the effects of industrial structure on economic growth and fluctuations in China. Econ. Res. J. 2011, 5, 4–16+31. [Google Scholar]
- Zhang, L.; Cui, H. Impact of urban industrial structure optimization on carbon emissions of urban agglomeration in the middle reaches of the Yangtze River. Reform 2018, 11, 130–138. [Google Scholar]
- Tian, Y.; Jiang, G.; Zhou, D.; Ding, K.; Su, S.; Zhou, T.; Chen, D. Regional Industrial Transfer in the Jingjinji Urban Agglomeration, China: An Analysis Based on a New “Transferring Area-Undertaking Area-Dynamic Process” Model. J. Clean. Prod. 2019, 235, 751–766. [Google Scholar] [CrossRef]
- Wei, W.; Wang, X.; Zhu, H.; Li, J.; Zhou, S.; Zou, Z.; Li, J. Carbon emissions of urban power grid in Jing-Jin-Ji region: Characteristics and influential factors. J. Clean. Prod. 2017, 168, 428–440. [Google Scholar] [CrossRef]





| No. | Cluster Name | Clustering Subcluster (Part) | 
|---|---|---|
| 0 | Additional HONO source | Pollution; boundary layer; aerosol radiative effect; atmospheric NOx | 
| 1 | Urban form | Tianjin-Hebei region; regions; taking China; estimating interregional payments | 
| 2 | Tianjin-Hebei urban agglomeration | Eastern China Tianjin-Hebe region; CO2 emission; evaluating urban sustainability | 
| 3 | Health risk | Surface PM2.5; using aerosol; water-PM2.5; linkage analysis; fenwei pain | 
| 4 | Contrasting trend | Winter haze; summertime surface ozone; severe haze events; atmospheric circulations | 
| Variable | Meaning | Average Value | Standard Deviation | Maximum Value | Minimum Value | 
|---|---|---|---|---|---|
| C | Carbon dioxide emissions (106 t) | 63.46 | 31.92 | 154.00 | 13.35 | 
| POP | Total urban population (million) | 7.486 | 3.184 | 13.97 | 2.81 | 
| GDP | Per capita GDP (CNY/person) | 43,966 | 29,612 | 164,220 | 11,146 | 
| TE | Financial expenditure on science and technology (million) | 2644 | 7144 | 43,342 | 21.58 | 
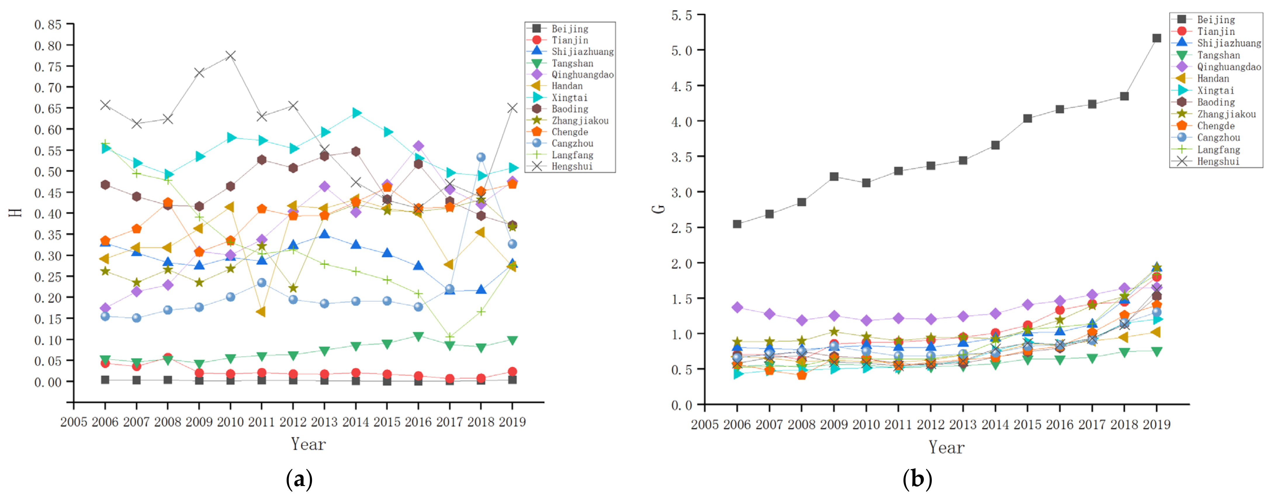
| H | Industrial structure rationalization index | 0.305 | 0.192 | 0.774459 | 0.000146 | 
| G | Industrial structure upgrade index | 1.090 | 0.812 | 5.169 | 0.413 | 
| Unit Root Test | Variable | LLC | IPS | Fisher-ADF | Fisher-PP | 
|---|---|---|---|---|---|
| Original | lnPOP | −3.0347 *** | −0.1277 | 36.0216 * | 39.4504 ** | 
| lnGDP | −5.3142 *** | −1.4475 * | 37.5218 * | 45.4989 ** | |
| lnC | −4.2074 *** | 0.1736 | 16.7423 | 37.2991 * | |
| lnH | −2.1145 ** | −0.2685 | 33.9075 | 18.2475 | |
| lnG | 0.2149 | 2.4602 | 24.3220 | 16.9871 | |
| lnTE | −5.9964 *** | −3.4877 *** | 80.0884 *** | 65.2765 *** | |
| First difference | lnPOP | −9.7035 *** | −7.0845 *** | 109.4168 *** | 128.0388 *** | 
| lnGDP | −11.0732 *** | −6.2828 *** | 53.3246 *** | 134.0895 *** | |
| lnC | −9.8797 *** | −5.8720 *** | 49.1081 *** | 108.1036 *** | |
| lnH | −9.2334 *** | −5.3773 *** | 63.4136 *** | 88.4551 *** | |
| lnG | −6.9195 *** | −4.0900 *** | 141.4963 *** | 67.8694 *** | |
| lnTE | −13.6008 *** | −7.4961 *** | 107.7971 *** | 198.2123 *** | 
| Statistics | p-Value | |
|---|---|---|
| Modified Dickey–Fuller t | −2.5868 | 0.0048 | 
| Dickey–Fuller t | −2.6560 | 0.0040 | 
| Augmented Dickey–Fuller t | −2.9696 | 0.0015 | 
| Unadjusted modified Dickey–Fuller t | −3.6494 | 0.0001 | 
| Unadjusted Dickey–Fuller t | −3.0925 | 0.0010 | 
| Variables | Model | |||||
|---|---|---|---|---|---|---|
| (1) | (2) | (3) | (4) | (5) | (6) | |
| lnH | 0.067 *** (3.38) | 0.068 *** (3.54) | 0.058 ** (2.43) | 0.057 ** (2.46) | ||
| lnG | −0.185 *** (−4.43) | −0.194 *** (−5.65) | −0.171 *** (−3.81) | −0.177 *** (−4.93) | ||
| lnPOP | −0.203 (−0.64) | −0.163 (−0.45) | 0.202 (0.38) | 0.175 (0.31) | 0.340 (0.81) | 0.320 (0.71) | 
| lnGDP | 0.420 *** (10.25) | 0.441 *** (−2.11) | 0.471 *** (8.18) | 0.441 *** (4.63) | 0.458 *** (8.65) | 0.438 *** (4.89) | 
| lnTE | −0.015 (−0.43) | 0.022 (0.71) | 0.014 (0.49) | |||
| Constant | 5.911 *** (9.48) | 5.994 *** (9.90) | 5.172 *** (5.01) | 4.989 *** (5.02) | 4.969 *** (6.15) | 4.854 *** (6.35) | 
| Observations | 182 | 182 | 182 | 182 | 182 | 182 | 
| R-squared | 0.699 | 0.699 | 0.713 | 0.715 | 0.732 | 0.732 | 
| R2-a | 0.693 | 0.692 | 0.709 | 0.708 | 0.726 | 0.725 | 
| F | 75.50 | 146.6 | 26.20 | 147.4 | 87.72 | 207.7 | 
| Variables | Model | |||||
|---|---|---|---|---|---|---|
| (1) | (2) | (3) | (4) | (5) | (6) | |
| lnH | 0.112 *** (5.60) | 0.114 *** (6.18) | 0.102 *** (4.19) | 0.103 *** (4.46) | ||
| lnG | −0.218 *** (−5.95) | −0.218 *** (−5.81) | −0.194 *** (−5.16) | −0.187 *** (−4.90) | ||
| lnPOP | −1.026 * (−1.89) | −0.901 (−1.59) | −0.652 (−0.83) | −0.650 (−0.81) | −0.411 (−0.67) | −0.389 (−0.62) | 
| lnGDP | −0.604 *** (−17.36) | −0.536 *** (−8.81) | −0.537 *** (−11.79) | −0.535 *** (−9.29) | −0.561 *** (−15.91) | −0.540 *** (−10.10) | 
| lnTE | −0.047 * (−1.92) | −0.002 (−0.09) | −0.016 (−0.71) | |||
| Constant | −8.269 *** (−7.67) | −8.004 *** (−7.92) | −8.983 *** (−5.83) | −8.967 *** (−6.04) | −9.338 *** (−7.78) | −9.211 *** (−8.15) | 
| Observations | 182 | 182 | 182 | 182 | 182 | 182 | 
| R-squared | 0.863 | 0.865 | 0.858 | 0.858 | 0.879 | 0.879 | 
| R2-a | 0.861 | 0.862 | 0.856 | 0.855 | 0.876 | 0.876 | 
| F | 130.2 | 151.8 | 89.65 | 82.94 | 111.9 | 111.5 | 
| Publisher’s Note: MDPI stays neutral with regard to jurisdictional claims in published maps and institutional affiliations. | 
© 2022 by the authors. Licensee MDPI, Basel, Switzerland. This article is an open access article distributed under the terms and conditions of the Creative Commons Attribution (CC BY) license (https://creativecommons.org/licenses/by/4.0/).
Share and Cite
Gu, R.; Li, C.; Li, D.; Yang, Y.; Gu, S. The Impact of Rationalization and Upgrading of Industrial Structure on Carbon Emissions in the Beijing-Tianjin-Hebei Urban Agglomeration. Int. J. Environ. Res. Public Health 2022, 19, 7997. https://doi.org/10.3390/ijerph19137997
Gu R, Li C, Li D, Yang Y, Gu S. The Impact of Rationalization and Upgrading of Industrial Structure on Carbon Emissions in the Beijing-Tianjin-Hebei Urban Agglomeration. International Journal of Environmental Research and Public Health. 2022; 19(13):7997. https://doi.org/10.3390/ijerph19137997
Chicago/Turabian StyleGu, Runde, Chunfa Li, Dongdong Li, Yangyang Yang, and Shan Gu. 2022. "The Impact of Rationalization and Upgrading of Industrial Structure on Carbon Emissions in the Beijing-Tianjin-Hebei Urban Agglomeration" International Journal of Environmental Research and Public Health 19, no. 13: 7997. https://doi.org/10.3390/ijerph19137997
APA StyleGu, R., Li, C., Li, D., Yang, Y., & Gu, S. (2022). The Impact of Rationalization and Upgrading of Industrial Structure on Carbon Emissions in the Beijing-Tianjin-Hebei Urban Agglomeration. International Journal of Environmental Research and Public Health, 19(13), 7997. https://doi.org/10.3390/ijerph19137997
 
         
                                                

 
       