Dynamic Variation of Ecosystem Services Value under Land Use/Cover Change in the Black Soil Region of Northeastern China
Abstract
:1. Introduction
2. Materials and Methods
2.1. Study Area
2.2. Data Sources
2.3. Methods
2.3.1. Quantitative Calculation of LUCC
2.3.2. Measurement of the ESV
2.3.3. Sensitivity Analysis
3. Results
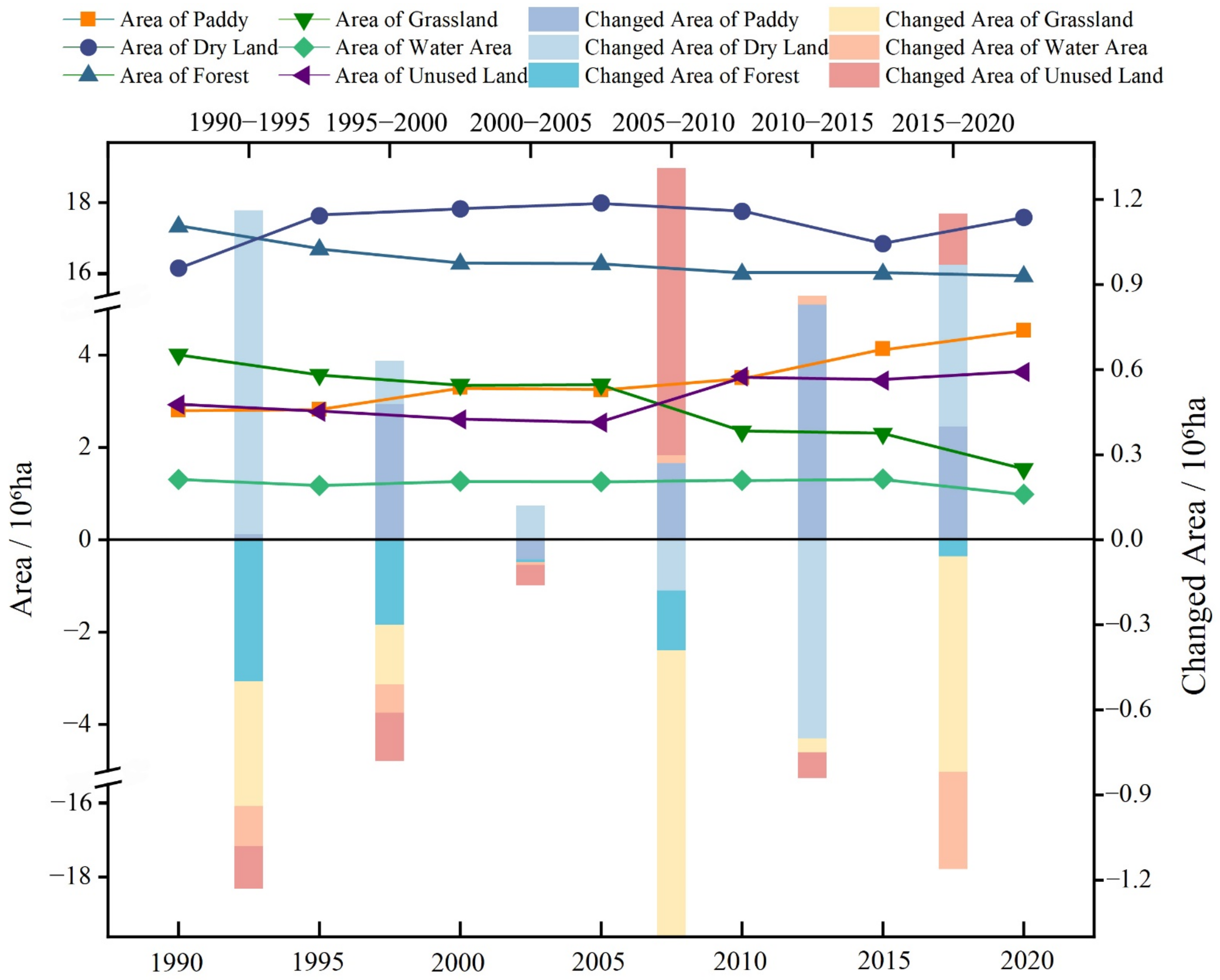
3.1. Land-Use Change and Dynamics
3.1.1. Temporal Land-Use Changes
3.1.2. Land-Use Spatial Change
3.1.3. Land-Use Dynamic Changes
3.2. Variations of ESV
3.2.1. Temporal Variation Analysis of ESV
3.2.2. ESV Spatial Variation Analysis
3.2.3. Value Analysis of Various Land Ecosystem Service Functions
3.3. Sensitivity Coefficient Analysis
4. Discussion
4.1. Interpretation of LUCC in the BSRNC
4.2. The Relationship between ESV and LUCC
4.3. Regional Land-Use Policy Implications for Ecological Protection
5. Conclusions
Author Contributions
Funding
Institutional Review Board Statement
Informed Consent Statement
Data Availability Statement
Acknowledgments
Conflicts of Interest
References
- Costanza, R.; de Groot, R.; Sutton, P.; van der Ploeg, S.; Anderson, S.J.; Kubiszewski, I.; Farber, S.; Turner, R.K. Changes in the global value of ecosystem services. Glob. Environ. Chang. 2014, 26, 152–158. [Google Scholar] [CrossRef]
- Schägner, J.P.; Maes, J.; Brander, L.M.; Hartje, V. Mapping Ecosystem Services’ Values: Current Practice and Future Prospects. SSRN J. 2013, 4, 33–46. [Google Scholar] [CrossRef] [Green Version]
- Whitmee, S.; Haines, A.; Beyrer, C.; Boltz, F.; Capon, A.G.; de Souza Dias, B.F.; Ezeh, A.; Frumkin, H.; Gong, P.; Head, P.; et al. Safeguarding human health in the Anthropocene epoch: Report of The Rockefeller Foundation–Lancet Commission on planetary health. Lancet 2015, 386, 1973–2028. [Google Scholar] [CrossRef]
- Cumming, G.S.; Buerkert, A.; Hoffmann, E.M.; Schlecht, E.; von Cramon-Taubadel, S.; Tscharntke, T. Implications of agricultural transitions and urbanization for ecosystem services. Nature 2014, 515, 50–57. [Google Scholar] [CrossRef] [PubMed]
- Shang, Y.; Wang, D.; Liu, S.; Li, H. Spatial-Temporal Variation and Mechanisms Causing Spatial Differentiation of Ecosystem Services in Ecologically Fragile Regions Based on Value Evaluation: A Case Study of Western Jilin, China. Land 2022, 11, 629. [Google Scholar] [CrossRef]
- Valle Junior, R.F.; Varandas, S.G.P.; Sanches Fernandes, L.F.; Pacheco, F.A.L. Environmental land use conflicts: A threat to soil conservation. Land Use Policy 2014, 41, 172–185. [Google Scholar] [CrossRef]
- Sandifer, P.A.; Sutton-Grier, A.E.; Ward, B.P. Exploring connections among nature, biodiversity, ecosystem services, and human health and well-being: Opportunities to enhance health and biodiversity conservation. Ecosyst. Serv. 2015, 12, 1–15. [Google Scholar] [CrossRef] [Green Version]
- Loomes, R.; O’Neill, K. Nature’s Services: Societal Dependence on Natural Ecosystems. Pac. Conserv. Biol. 2000, 6, 274. [Google Scholar] [CrossRef] [Green Version]
- Kreuter, U.P.; Harris, H.G.; Matlock, M.D.; Lacey, R.E. Change Ecosyst. Serv. Values San Antonio Area Texas. Ecol. Econ. 2001, 39, 333–346. [Google Scholar] [CrossRef]
- Morri, E.; Santolini, R. Ecosystem Services Valuation for the Sustainable Land Use Management by Nature-Based Solution (NbS) in the Common Agricultural Policy Actions: A Case Study on the Foglia River Basin (Marche Region, Italy). Land 2022, 11, 57. [Google Scholar] [CrossRef]
- Don, A.; Schumacher, J.; Freibauer, A. Impact of tropical land-use change on soil organic carbon stocks—A meta-analysis: Soil organic carbon and land-use change. Glob. Chang. Biol. 2011, 17, 1658–1670. [Google Scholar] [CrossRef] [Green Version]
- Lambin, E.F.; Geist, H. (Eds.) Land-Use and Land-Cover Change: Local Processes and Global Impacts; Global Change—The IGBP Series; Springer: Berlin/Heidelberg, Germany, 2006; ISBN 978-3-540-32201-6. [Google Scholar]
- Taylor, M.J.; Aguilar-Støen, M.; Castellanos, E.; Moran-Taylor, M.J.; Gerkin, K. International migration, land use change and the environment in Ixcán, Guatemala. Land Use Policy 2016, 54, 290–301. [Google Scholar] [CrossRef]
- Costanza, R.; d’Arge, R.; de Groot, R.; Farber, S.; Grasso, M.; Hannon, B.; Limburg, K.; Naeem, S.; O’Neill, R.V.; Paruelo, J.; et al. The value of the world’s ecosystem services and natural capital. Ecol. Econ. 1998, 25, 3–15. [Google Scholar] [CrossRef]
- Xie, G.; Zhen, L.; Lu, C.; Xiao, Y.; Chen, C. Expert knowledgy based valuation method of ecosystem services in China. Nat. Res. 2008, 23, 911–919. [Google Scholar]
- Xie, G.; Zhang, C.; Zhen, L.; Zhang, L. Dynamic changes in the value of China’s ecosystem services. Ecosyst. Serv. 2017, 26, 146–154. [Google Scholar] [CrossRef]
- Tong, X.; Brandt, M.; Yue, Y.; Horion, S.; Wang, K.; Keersmaecker, W.D.; Tian, F.; Schurgers, G.; Xiao, X.; Luo, Y.; et al. Increased vegetation growth and carbon stock in China karst via ecological engineering. Nat. Sustain. 2018, 1, 44–50. [Google Scholar] [CrossRef]
- Xing, L.; Xue, M.; Wang, X. Spatial correction of ecosystem service value and the evaluation of eco-efficiency: A case for China’s provincial level. Ecol. Indic. 2018, 95, 841–850. [Google Scholar] [CrossRef]
- Wang, H.; Zhou, S.; Li, X.; Liu, H.; Chi, D.; Xu, K. The influence of climate change and human activities on ecosystem service value. Ecol. Eng. 2016, 87, 224–239. [Google Scholar] [CrossRef]
- Fei, L.; Shuwen, Z.; Jiuchun, Y.; Liping, C.; Haijuan, Y.; Kun, B. Effects of land use change on ecosystem services value in West Jilin since the reform and opening of China. Ecosyst. Serv. 2018, 31, 12–20. [Google Scholar] [CrossRef]
- Hu, H.; Liu, W.; Cao, M. Impact of land use and land cover changes on ecosystem services in Menglun, Xishuangbanna, Southwest China. Environ. Monit. Assess. 2008, 146, 147–156. [Google Scholar] [CrossRef]
- Polasky, S.; Nelson, E.; Pennington, D.; Johnson, K.A. The Impact of Land-Use Change on Ecosystem Services, Biodiversity and Returns to Landowners: A Case Study in the State of Minnesota. Environ. Resour. Econ. 2011, 48, 219–242. [Google Scholar] [CrossRef]
- Mao, D.; He, X.; Wang, Z.; Tian, Y.; Xiang, H.; Yu, H.; Man, W.; Jia, M.; Ren, C.; Zheng, H. Diverse policies leading to contrasting impacts on land cover and ecosystem services in Northeast China. J. Clean. Prod. 2019, 240, 117961. [Google Scholar] [CrossRef]
- Song, F.; Su, F.; Zhu, D.; Li, L.; Li, H.; Sun, D. Evaluation and driving factors of sustainable development of the wetland ecosystem in Northeast China: An emergy approach. J. Clean. Prod. 2020, 248, 119236. [Google Scholar] [CrossRef]
- Su, K.; Wei, D.; Lin, W. Evaluation of ecosystem services value and its implications for policy making in China—A case study of Fujian province. Ecol. Indic. 2020, 108, 105752. [Google Scholar] [CrossRef]
- Sonter, L.J.; Johnson, J.A.; Nicholson, C.C.; Richardson, L.L.; Watson, K.B.; Ricketts, T.H. Multi-site interactions: Understanding the offsite impacts of land use change on the use and supply of ecosystem services. Ecosyst. Serv. 2017, 23, 158–164. [Google Scholar] [CrossRef] [Green Version]
- Benayas, J.M.R.; Newton, A.C.; Diaz, A.; Bullock, J.M. Enhancement of Biodiversity and Ecosystem Services by Ecological Restoration: A Meta-Analysis. Science 2009, 325, 1121–1124. [Google Scholar] [CrossRef]
- Ma, S.; Qiao, Y.-P.; Jiang, J.; Wang, L.-J.; Zhang, J.-C. Incorporating the implementation intensity of returning farmland to lakes into policymaking and ecosystem management: A case study of the Jianghuai Ecological Economic Zone, China. J. Clean. Prod. 2021, 306, 127284. [Google Scholar] [CrossRef]
- Barral, M.P.; Rey Benayas, J.M.; Meli, P.; Maceira, N.O. Quantifying the impacts of ecological restoration on biodiversity and ecosystem services in agroecosystems: A global meta-analysis. Agric. Ecosyst. Environ. 2015, 202, 223–231. [Google Scholar] [CrossRef] [Green Version]
- Ouyang, Z.; Zheng, H.; Xiao, Y.; Polasky, S.; Liu, J.; Xu, W.; Wang, Q.; Zhang, L.; Xiao, Y.; Rao, E.; et al. Improvements in ecosystem services from investments in natural capital. Science 2016, 352, 1455–1459. [Google Scholar] [CrossRef]
- Feng, Q.; Zhao, W.; Hu, X.; Liu, Y.; Daryanto, S.; Cherubini, F. Trading-off ecosystem services for better ecological restoration: A case study in the Loess Plateau of China. J. Clean. Prod. 2020, 257, 120469. [Google Scholar] [CrossRef]
- Wu, C.; Chen, B.; Huang, X.; Dennis Wei, Y.H. Effect of land-use change and optimization on the ecosystem service values of Jiangsu province, China. Ecol. Indic. 2020, 117, 106507. [Google Scholar] [CrossRef]
- Zhang, G.; Liu, J.; Zhang, Z. Analysis of Deforested-Land Reclamation during the Late 20th Century in China Based on Remote Sensing and GIS. Geogr. Res. 2003, 22, 221–228. [Google Scholar]
- Yin, D.; Li, X.; Li, G.; Zhang, J.; Yu, H. Spatio-Temporal Evolution of Land Use Transition and Its Eco-Environmental Effects: A Case Study of the Yellow River Basin, China. Land 2020, 9, 514. [Google Scholar] [CrossRef]
- Kc, A.; Wagle, N.; Acharya, T.D. Spatiotemporal Analysis of Land Cover and the Effects on Ecosystem Service Values in Rupandehi, Nepal from 2005 to 2020. ISPRS Int. J. Geo-Inf. 2021, 10, 635. [Google Scholar] [CrossRef]
- Pan, T.; Zhang, C.; Kuang, W.; De Maeyer, P.; Kurban, A.; Hamdi, R.; Du, G. Time Tracking of Different Cropping Patterns Using Landsat Images under Different Agricultural Systems during 1990–2050 in Cold China. Remote Sens. 2018, 10, 2011. [Google Scholar] [CrossRef] [Green Version]
- Wang, Z.; Song, K.; Ma, W.; Ren, C.; Zhang, B.; Liu, D.; Chen, J.M.; Song, C. Loss and Fragmentation of Marshes in the Sanjiang Plain, Northeast China, 1954–2005. Wetlands 2011, 31, 945–954. [Google Scholar] [CrossRef]
- Pan, T.; Zhang, C.; Kuang, W.; Luo, G.; Du, G.; Yin, Z. Large-scale rain-fed to paddy farmland conversion modified land-surface thermal properties in Cold China. Sci. Total Environ. 2020, 722, 137917. [Google Scholar] [CrossRef]
- Yan, H.; Liu, J.; Huang, H.Q.; Tao, B.; Cao, M. Assessing the consequence of land use change on agricultural productivity in China. Glob. Planet. Chang. 2009, 67, 13–19. [Google Scholar] [CrossRef]
- Mao, D.; Luo, L.; Wang, Z.; Wilson, M.C.; Zeng, Y.; Wu, B.; Wu, J. Conversions between natural wetlands and farmland in China: A multiscale geospatial analysis. Sci. Total Environ. 2018, 634, 550–560. [Google Scholar] [CrossRef]
- Mao, D.; Wang, Z.; Wu, C.; Song, K.; Ren, C. Examining forest net primary productivity dynamics and driving forces in northeastern China during 1982–2010. Chin. Geogr. Sci. 2014, 24, 631–646. [Google Scholar] [CrossRef] [Green Version]
- Liu, J.; Kuang, W.; Zhang, Z.; Xu, X.; Qin, Y.; Ning, J.; Zhou, W.; Zhang, S.; Li, R.; Yan, C.; et al. Spatiotemporal characteristics, patterns, and causes of land-use changes in China since the late 1980s. J. Geogr. Sci. 2014, 24, 195–210. [Google Scholar] [CrossRef]
- Ning, J.; Liu, J.; Kuang, W.; Xu, X.; Zhang, S.; Yan, C.; Li, R.; Wu, S.; Hu, Y.; Du, G.; et al. Spatiotemporal patterns and characteristics of land-use change in China during 2010–2015. J. Geogr. Sci. 2018, 28, 547–562. [Google Scholar] [CrossRef] [Green Version]
- Xie, G.; Zhang, C.; Zhang, L.; Chen, W.; Li, S. lmprovement of the Evaluation Method for Ecosystem Service Value Based on Per Unit Area. Nat. Res. 2015, 30, 1243–1254. [Google Scholar]
- China Yearbook of Agricultural Price Survey. Available online: https://navi.cnki.net/knavi/yearbooks/YBAXS/detail (accessed on 21 April 2022).
- Wang, W.; Guo, H.; Chuai, X.; Dai, C.; Lai, L.; Zhang, M. The impact of land use change on the temporospatial variations of ecosystems services value in China and an optimized land use solution. Environ. Sci. Policy 2014, 44, 62–72. [Google Scholar] [CrossRef]
- Tan, Z.; Guan, Q.; Lin, J.; Yang, L.; Luo, H.; Ma, Y.; Tian, J.; Wang, Q.; Wang, N. The response and simulation of ecosystem services value to land use/land cover in an oasis, Northwest China. Ecol. Indic. 2020, 118, 106711. [Google Scholar] [CrossRef]
- Wang, L.-J.; Ma, S.; Zhao, Y.-G.; Zhang, J.-C. Ecological restoration projects did not increase the value of all ecosystem services in Northeast China. For. Ecol. Manag. 2021, 495, 119340. [Google Scholar] [CrossRef]
- Qiu, L.; Pan, Y.; Zhu, J.; Amable, G.S.; Xu, B. Integrated analysis of urbanization-triggered land use change trajectory and implications for ecological land management: A case study in Fuyang, China. Sci. Total Environ. 2019, 660, 209–217. [Google Scholar] [CrossRef]
- Yang, Y.; Wang, K.; Liu, D.; Zhao, X.; Fan, J. Effects of land-use conversions on the ecosystem services in the agro-pastoral ecotone of northern China. J. Clean. Prod. 2020, 249, 119360. [Google Scholar] [CrossRef]
- Tianhong, L.; Wenkai, L.; Zhenghan, Q. Variations in ecosystem service value in response to land use changes in Shenzhen. Ecol. Econ. 2010, 69, 1427–1435. [Google Scholar] [CrossRef]
- Liu, Y.; Li, J.; Zhang, H. An ecosystem service valuation of land use change in Taiyuan City, China. Ecol. Model. 2012, 225, 127–132. [Google Scholar] [CrossRef]
- Wang, S.; Wu, B.; Yang, P. Assessing the changes in land use and ecosystem services in an oasis agricultural region of Yanqi Basin, Northwest China. Environ. Monit. Assess. 2014, 186, 8343–8357. [Google Scholar] [CrossRef] [PubMed]
- Chen, H.; Wang, G.; Lu, X.; Jiang, M.; Mendelssohn, I.A. Balancing the Needs of China’s Wetland Conservation and Rice Production. Environ. Sci. Technol. 2015, 49, 6385–6393. [Google Scholar] [CrossRef] [PubMed]
- Li, Z.; Liu, Z.; Anderson, W.; Yang, P.; Wu, W.; Tang, H.; You, L. Chinese Rice Production Area Adaptations to Climate Changes, 1949–2010. Environ. Sci. Technol. 2015, 49, 2032–2037. [Google Scholar] [CrossRef] [PubMed]
- Wen, X.; Théau, J. Spatiotemporal analysis of water-related ecosystem services under ecological restoration scenarios: A case study in northern Shaanxi, China. Sci. Total Environ. 2020, 720, 137477. [Google Scholar] [CrossRef]
- Chazdon, R.L. Beyond Deforestation: Restoring Forests and Ecosystem Services on Degraded Lands. Science 2008, 320, 1458–1460. [Google Scholar] [CrossRef] [Green Version]
- Liu, B.; Pan, L.; Qi, Y.; Guan, X.; Li, J. Land Use and Land Cover Change in the Yellow River Basin from 1980 to 2015 and Its Impact on the Ecosystem Services. Land 2021, 10, 1080. [Google Scholar] [CrossRef]
- Li, X.; Zhao, G.; Li, B. Analysis of Changing Situation of Land Resources in Northeast China. Res. Soil Water Conserv. 2010, 17, 68–74. [Google Scholar]
- Zhang, J.; Qu, M.; Wang, C.; Zhao, J.; Cao, Y. Quantifying landscape pattern and ecosystem service value changes: A case study at the county level in the Chinese Loess Plateau. Glob. Ecol. Conserv. 2020, 23, e01110. [Google Scholar] [CrossRef]
- Talukdar, S.; Pal, S. Modeling flood plain wetland transformation in consequences of flow alteration in Punarbhaba river in India and Bangladesh. J. Clean. Prod. 2020, 261, 120767. [Google Scholar] [CrossRef]
- Jin, G.; Chen, K.; Liao, T.; Zhang, L.; Najmuddin, O. Measuring ecosystem services based on government intentions for future land use in Hubei Province: Implications for sustainable landscape management. Landsc. Ecol. 2021, 36, 2025–2042. [Google Scholar] [CrossRef]
- Wang, Y.; Dai, E.; Yin, L.; Ma, L. Land use/land cover change and the effects on ecosystem services in the Hengduan Mountain region, China. Ecosyst. Serv. 2018, 34, 55–67. [Google Scholar] [CrossRef]
- Shi, G.; Ye, P.; Ding, L.; Quinones, A.; Li, Y.; Jiang, N. Spatio-Temporal Patterns of Land Use and Cover Change from 1990 to 2010: A Case Study of Jiangsu Province, China. Int. J. Environ. Res. Public Health 2019, 16, 907. [Google Scholar] [CrossRef] [PubMed] [Green Version]
- Prishchepov, A.V.; Müller, D.; Dubinin, M.; Baumann, M.; Radeloff, V.C. Determinants of agricultural land abandonment in post-Soviet European Russia. Land Use Policy 2013, 30, 873–884. [Google Scholar] [CrossRef] [Green Version]
- Qu, S.; Hu, S.; Li, W.; Wang, H.; Zhang, C.; Li, Q. Interaction between urban land expansion and land use policy: An analysis using the DPSIR framework. Land Use Policy 2020, 99, 104856. [Google Scholar] [CrossRef]
- Liu, X.; Zhao, C.; Song, W. Review of the evolution of cultivated land protection policies in the period following China’s reform and liberalization. Land Use Policy 2017, 67, 660–669. [Google Scholar] [CrossRef]




| Primary Types | Secondary Types | Paddy | Dry Land | Forest | Grassland | Water Area | Unused Land |
|---|---|---|---|---|---|---|---|
| Provision | Food production | 1.36 | 0.85 | 0.25 | 0.10 | 0.80 | 0.00 |
| Raw material production | 0.09 | 0.40 | 0.58 | 0.14 | 0.23 | 0.00 | |
| Water supply | −2.63 | 0.02 | 0.30 | 0.08 | 8.29 | 0.00 | |
| Regulation | Gas regulation | 1.11 | 0.67 | 1.91 | 0.51 | 0.77 | 0.02 |
| Climate regulation | 0.57 | 0.36 | 5.71 | 1.34 | 2.29 | 0.00 | |
| Environmental purification | 0.17 | 0.10 | 1.67 | 0.44 | 5.55 | 0.10 | |
| Hydrological regulation | 2.72 | 0.27 | 3.74 | 0.98 | 102.24 | 0.03 | |
| Support | Soil formation and retention | 0.01 | 1.03 | 2.32 | 0.62 | 0.93 | 0.02 |
| Nutrient cycling | 0.19 | 0.12 | 0.18 | 0.05 | 0.07 | 0.00 | |
| Biodiversity | 0.21 | 0.13 | 2.12 | 0.56 | 2.55 | 0.02 | |
| Culture | Aesthetic landscape | 0.09 | 0.06 | 0.98 | 0.25 | 1.89 | 0.01 |
| Total | 3.89 | 4.01 | 19.76 | 5.07 | 125.61 | 0.20 | |
| Periods | Land-Use Types | ||||||
|---|---|---|---|---|---|---|---|
| Paddy | Dry Land | Forest | Grassland | Water Area | Unused Land | ||
| 1990–1995 | Relative change | 0.71 | 6.85 | −2.85 | −10.91 | −10.18 | −5.28 |
| Dynamic degree | 0.14 | 1.37 | −0.57 | −2.18 | −2.04 | −1.06 | |
| 1995–2000 | Relative change | 16.92 | 0.84 | −1.81 | −6.00 | 7.99 | −6.04 |
| Dynamic degree | 3.38 | 0.17 | −0.36 | −1.20 | 1.60 | −1.21 | |
| 2000–2005 | Relative change | −1.99 | 0.72 | −0.06 | 0.21 | −0.77 | −2.59 |
| Dynamic degree | −0.40 | 0.14 | −0.01 | 0.04 | −0.15 | −0.52 | |
| 2005–2010 | Relative change | 8.16 | −1.01 | −1.25 | −30.27 | 2.38 | 39.49 |
| Dynamic degree | 1.63 | −0.20 | −0.25 | −6.05 | 0.48 | 7.90 | |
| 2010–2015 | Relative change | 18.03 | −3.92 | −0.01 | −2.13 | 2.30 | −2.53 |
| Dynamic degree | 3.61 | −0.79 | 0.00 | −0.43 | 0.46 | −0.51 | |
| 2015–2020 | Relative change | 9.66 | 3.33 | −0.34 | −33.12 | −25.25 | 5.28 |
| Dynamic degree | 1.93 | 0.67 | −0.07 | −6.62 | −5.05 | 1.06 | |
| 1990–2020 | Relative change | 60.90 | 6.64 | −6.18 | −60.60 | −24.65 | 24.08 |
| Dynamic degree | 2.03 | 0.22 | −0.20 | −2.02 | −0.81 | 0.79 | |
| Year Land-Use Types | Quantity | Paddy | Dry Land | Forest | Grassland | Water Area | Unused Land |
|---|---|---|---|---|---|---|---|
| 1990 | ESV | 265.38 | 1618.21 | 8407.49 | 494.61 | 3992.94 | 14.23 |
| 1995 | ESV | 267.26 | 1729.06 | 8167.85 | 440.65 | 3786.28 | 13.48 |
| 2000 | ESV | 312.47 | 1743.64 | 8020.02 | 414.21 | 3672.91 | 12.66 |
| 2005 | ESV | 306.24 | 1756.10 | 8015.32 | 415.06 | 3842.91 | 12.34 |
| 2010 | ESV | 331.22 | 1738.33 | 7915.14 | 289.41 | 3934.34 | 17.21 |
| 2015 | ESV | 390.94 | 1670.07 | 7914.26 | 283.25 | 4024.91 | 16.77 |
| 2020 | ESV | 428.73 | 1725.62 | 7887.65 | 189.45 | 3935.79 | 17.66 |
| 1990–1995 | Variation | 1.88 | 110.85 | −239.64 | −53.96 | −206.66 | −12.25 |
| 1995–2000 | Variation | 45.21 | 14.58 | −147.83 | −26.44 | −113.37 | −0.82 |
| 2000–2005 | Variation | −6.23 | 12.46 | −4.70 | 0.85 | 170 | −0.32 |
| 2005–2010 | Variation | 24.98 | −17.77 | −100.18 | −125.65 | 91.43 | 4.87 |
| 2010–2015 | Variation | 59.72 | −68.26 | −0.88 | −6.16 | 90.57 | −0.44 |
| 2015–2020 | Variation | 37.79 | 55.55 | −26.61 | −93.85 | −89.12 | 0.89 |
| 1990–2020 | Variation | 163.35 | 107.41 | −519.84 | −305.21 | −57.15 | 3.43 |
| Primary Types | Secondary Types | 1990 | 1995 | 2000 | 2005 | 2010 | 2015 | 2020 |
|---|---|---|---|---|---|---|---|---|
| Provision | Food production | 577.35 | 594.82 | 613.15 | 613.38 | 615.18 | 622.04 | 638.36 |
| Raw material production | 435.31 | 437.14 | 435.09 | 436.02 | 428.58 | 423.13 | 424.31 | |
| Water supply | 227.62 | 195.58 | 181.34 | 183.57 | 169.13 | 134.28 | 40.06 | |
| Regulation | Gas regulation | 1234.42 | 1222.32 | 1222.38 | 1222.10 | 1204.98 | 1210.43 | 1213.34 |
| Climate regulation | 2817.18 | 2736.48 | 2699.93 | 2698.46 | 2640.03 | 2642.42 | 2601.94 | |
| Environmental purification | 988.97 | 948.54 | 948.34 | 946.57 | 934.32 | 938.41 | 886.60 | |
| Hydrological regulation | 5233.60 | 4855.47 | 5088.16 | 5059.46 | 5107.62 | 5217.08 | 4397.14 | |
| Support | Soil formation and retention | 1494.92 | 1485.57 | 1470.89 | 1473.37 | 1442.90 | 1425.30 | 1417.63 |
| Nutrient cycling | 145.08 | 145.54 | 146.74 | 146.76 | 145.35 | 146.20 | 147.98 | |
| Biodiversity | 1105.92 | 1069.61 | 1059.48 | 1058.50 | 1036.99 | 1039.02 | 1009.11 | |
| Culture | Aesthetic landscape | 532.50 | 513.50 | 510.40 | 509.79 | 500.55 | 501.91 | 482.42 |
| Total | 14,792.87 | 14,204.57 | 14,375.90 | 14,347.98 | 14,225.63 | 14,300.22 | 13,258.89 | |
| Land-Use Types | 1990 | 1995 | 2000 | 2005 | 2010 | 2015 | 2020 |
|---|---|---|---|---|---|---|---|
| Paddy | 0.36 | 0.35 | 0.30 | 0.31 | 0.29 | 0.24 | 0.22 |
| Dry land | 0.06 | 0.06 | 0.06 | 0.06 | 0.06 | 0.06 | 0.06 |
| Forest | 0.06 | 0.06 | 0.06 | 0.06 | 0.06 | 0.06 | 0.06 |
| Grassland | 0.25 | 0.28 | 0.30 | 0.30 | 0.43 | 0.44 | 0.65 |
| Water area | 0.77 | 0.81 | 0.79 | 0.80 | 0.78 | 0.76 | 0.82 |
| Unused land | 0.01 | 0.01 | 0.01 | 0.01 | 0.01 | 0.01 | 0.01 |
Publisher’s Note: MDPI stays neutral with regard to jurisdictional claims in published maps and institutional affiliations. |
© 2022 by the authors. Licensee MDPI, Basel, Switzerland. This article is an open access article distributed under the terms and conditions of the Creative Commons Attribution (CC BY) license (https://creativecommons.org/licenses/by/4.0/).
Share and Cite
Li, Q.; Wang, L.; Du, G.; Faye, B.; Li, Y.; Li, J.; Liu, W.; Qu, S. Dynamic Variation of Ecosystem Services Value under Land Use/Cover Change in the Black Soil Region of Northeastern China. Int. J. Environ. Res. Public Health 2022, 19, 7533. https://doi.org/10.3390/ijerph19127533
Li Q, Wang L, Du G, Faye B, Li Y, Li J, Liu W, Qu S. Dynamic Variation of Ecosystem Services Value under Land Use/Cover Change in the Black Soil Region of Northeastern China. International Journal of Environmental Research and Public Health. 2022; 19(12):7533. https://doi.org/10.3390/ijerph19127533
Chicago/Turabian StyleLi, Quanfeng, Lu Wang, Guoming Du, Bonoua Faye, Yunkai Li, Jicheng Li, Wei Liu, and Shijin Qu. 2022. "Dynamic Variation of Ecosystem Services Value under Land Use/Cover Change in the Black Soil Region of Northeastern China" International Journal of Environmental Research and Public Health 19, no. 12: 7533. https://doi.org/10.3390/ijerph19127533
APA StyleLi, Q., Wang, L., Du, G., Faye, B., Li, Y., Li, J., Liu, W., & Qu, S. (2022). Dynamic Variation of Ecosystem Services Value under Land Use/Cover Change in the Black Soil Region of Northeastern China. International Journal of Environmental Research and Public Health, 19(12), 7533. https://doi.org/10.3390/ijerph19127533

