Next Article in Journal
Valorization of Livestock Keratin Waste: Application in Agricultural Fields
Previous Article in Journal
Prompts for the Future to Live Healthier: A Study of Cognition and Motivation for Healthy Behaviors
 
 
Font Type:
Arial Georgia Verdana
Font Size:
Aa Aa Aa
Line Spacing:
Column Width:
Background:
Article

Short-Term Effects of Low-Level Ambient Air NO2 on the Risk of Incident Stroke in Enshi City, China

1
School of Public Health, Wuhan University, 115 Donghu Road, Wuhan 430071, China
2
Hubei Provincial Key Laboratory for Applied Toxicology, Hubei Provincial Center for Disease Control and Prevention, 35 Zhuodaoquan North Road, Wuhan 430079, China
3
Enshi Center for Disease Control and Prevention, 5 Hongqi Avenue, Daqiao Road, Enshi 445000, China
4
Hubei Province Key Laboratory of Occupational Hazard Identification and Control, Medical College, Wuhan University of Science and Technology, Wuhan 430065, China
*
Authors to whom correspondence should be addressed.
These authors contributed equally to this work.
Int. J. Environ. Res. Public Health 2022, 19(11), 6683; https://doi.org/10.3390/ijerph19116683
Submission received: 12 April 2022 / Revised: 19 May 2022 / Accepted: 26 May 2022 / Published: 30 May 2022

Abstract

:
Previous studies found that exposure to ambient nitrogen dioxide (NO2) was associated with an increased risk of incident stroke, but few studies have been conducted for relatively low NO2 pollution areas. In this study, the short-term effects of NO2 on the risk of incident stroke in a relatively low-pollution area, Enshi city of Hubei Province, China, were investigated through time-series analysis. Daily air-pollution data, meteorological data, and stroke incidence data of residents in Enshi city from 1 January 2015 to 31 December 2018 were collected. A time-series analysis using a generalised additive model (GAM) based on Poisson distribution was applied to explore the short-term effects of low-level NO2 exposure on the risk of incident stroke and stroke subtypes, as well as possible age, sex, and seasonal differences behind the effects. In the GAM model, potential confounding factors, such as public holidays, day of the week, long-term trends, and meteorological factors (temperature and relative humidity), were controlled. A total of 9122 stroke incident cases were included during the study period. We found that NO2 had statistically significant effects on the incidence of stroke and ischemic stroke, estimated by excess risk (ER) of 0.37% (95% CI: 0.04–0.70%) and 0.58% (95% CI: 0.18–0.98%), respectively. For the cumulative lag effects, the NO2 still had a statistically significant effect on incident ischemic stroke, estimated by ER of 0.61% (95% CI: 0.01–1.21%). The two-pollutant model showed that the effects of NO2 on incident total stroke were still statistically significant after adjusting for other air pollutants (PM2.5, PM10, SO2, CO, and O3). In addition, the effects of NO2 exposure on incident stroke were statistically significant in elderly (ER = 0.75%; 95% CI: 0.11–1.40%), males (ER = 0.47%; 95% CI: 0.05–0.89%) and cold season (ER = 0.83%; 95% CI: 0.15–1.51%) subgroups. Our study showed that, as commonly observed in high-pollution areas, short-term exposure to low-level NO2 was associated with an increased risk of incident stroke, including ischemic stroke. Males and elderly people were more vulnerable to the effects of NO2, and the adverse effects might be promoted in the cold season.

1. Introduction

Stroke, also known as a cerebrovascular accident, is a severe threat to human health. The latest study of the Global Burden of Cardiovascular Disease, published in 2020, showed that stroke was the second-leading cause of death, and the stroke burden in terms of DALYs keepped increasing [1]. During the COVID-19 pandemic, stroke has remained one of the important causes of poor health worldwide [2]. According to the Chinese disease burden study in 2013, the top three death causes were stroke, ischemic heart disease, and chronic obstructive pulmonary disease, and there were approximately 1.1 million deaths from stroke in China in 2013 [3]. Stroke can be categorised into two major clinical types, ischemic and haemorrhagic stroke, which account for 85% and 15% of the cases, respectively. Stroke is a complex multifactorial disease affected by multiple factors. According to previous studies, various factors including air pollution, transportation noise, smoking, substance abuse, and physical inactivity might be contributing factors to stroke [4,5]. In recent decades, emerging studies demonstrated the important role of air pollutants on stroke morbidity and mortality [6,7,8]. Shin et al. found the associations between air pollution, including PM2.5, NO2, O3, and incidence of stroke even at relatively low concentrations [8]; a multicity study about acute effects of air pollutants on stroke mortality showed that exposure to NO2 and SO2 were positively associated with daily stroke mortality in eight Chinese cities [9]. A cohort study in Japan found that long-term exposure to air pollutant NO2 significantly increased the risk of stroke mortality [10]. However, limited studies have been performed to investigate the effects of NO2 on the risk of incident stroke [11,12,13].
NO2 is a typical gaseous ambient air pollutant from motor vehicles, fossil fuel plants, indoor gas stoves, and tobacco smoking [14,15]. A meta-analysis combining different countries and including more than 23 million participants confirmed that NO2 exposure could increase both the incidence and mortality risk of stroke [7]. This meta-analysis provided comprehensive evidence for the relationship between NO2 exposure and stroke, but its focus was mainly on areas with serious atmospheric pollution. The effects of NO2 on stroke risk in low-pollution areas, especially on the incidence of stroke, have not been well-studied. Considering the non-negligible population exposed to relatively lower atmosphere pollution worldwide, studying the effects of low-level NO2 on the risk of incident stroke is necessary.
In this study, we chose Enshi city, a city located in western Hubei Province, China, as the research area to explore the short-time effects of low-level NO2 on the risk of incident stroke. Compared with other cities in China, the ambient air NO2 concentrations in Enshi city were at relatively lower levels [16]. Subgroup analysis was conducted according to sex, age, and season to demonstrate susceptibility in different subgroups and seasons.

2. Materials and Methods

2.1. Data Sources

All the incident stroke data were derived from the China Disease Prevention and Control Information System [17]. The stroke incidence cases were clinically diagnosed by the local sentinel hospitals and were simultaneously reported to the China Disease Prevention and Control Information System through case report cards. Through the system, we downloaded the data of all reported incident stroke cases, including the ID number, sex, age, date of birth, onset data of stroke, type of stroke diagnosis, ICD-10 encoding, and current address for each case. According to the International Classification of Diseases version 10 (ICD-10) (World Health Organization, Geneva, Switzerland), stroke was divided into different subtypes (haemorrhagic stroke code: I60–I62; ischemic stroke code: I63; other types of stroke codes: I64). Subgroup analysis was based on sex, age, and season. According to World Health Organisation (WHO) standards, the elderly group was defined as age ≥ 65 years, and the non-elderly group was defined as age < 65 years [18]. Seasons were divided into the cold season (October, November, January, December, January, February, and March) and the warm season (April, May, June, July, August, and September) according to local climatic characteristics [19].
The daily air pollutant data including PM2.5, PM10, SO2, NO2, CO, and O3 were collected from two national air quality control automatic monitoring stations (Figure 1), the Enshi Electric Power Corporation monitoring station and Hubei University for Nationalities monitoring station, from 1 January 2015 to 31 December 2018 [20]. According to the WHO’s Air Quality Guidelines, we used the daily maximum of 8 h means for ozone and daily means for the other pollutants. Missing values in air-pollution data were imputed using the multiple-interpolation method [21]. The meteorological data, including daily average temperature (temp) and relative humidity (rhum) of the same period, were collected from Enshi Meteorological Bureau.

2.2. Statistical Analysis

The descriptive statistics including mean (Mean ± SD), minimum (Min), maximum (Max), and quartile (P25, Median, P75) were used to describe the data on incident stroke cases, air pollutants, and meteorological factors. Spearman rank correlation analysis was used to analyse the correlation between air pollutants and meteorological factors. In a time-series study, the generalised additive model (GAM) analysis is usually used to evaluate the risk of short-term air pollutant exposure, including pollutants with relatively low concentrations [11,19,22]. A GAM is the classical addendum of general linear models, which provides a structure for generalising a general linear model by allowing additivity of non-linear functions of the variables [23]. In this study, the daily incidence of stroke in Enshi residents was a somewhat rare event, and the correlation between explanatory variables and the number of stroke incidences per day were mainly non-linear. Therefore, the GAM based on Poisson distribution was used to explore the effects of NO2 on the risk of incident stroke, in which potential confounding factors, including public holidays (Holiday), day of the week (DOW), long-term trends (Time) and meteorological factors (temp and rhum), were controlled [24,25,26]. In the GAM model, we adjusted for the effects of long-term trends and meteorological factors on stroke by natural cubic spline function (ns). DOW and Holiday were dummy variables that reflect week and holiday effects. To verify the independent effects of NO2 on stroke, we established two-pollutant models, in which the interference effects of PM2.5, PM10, SO2, CO, and O3 were adjusted, respectively.
The equation for single-pollutant model was as follows:
Log [E (Yt)] = α + β Xt + ns (Time, df = 7/per year) + ns (temp, 𝑑𝑓 = 3) + ns (rhum, 𝑑𝑓 = 3) + DOW + Holiday
The equation for two-pollutant model is as follows:
Log [E (Yt)] = α + β Xt + β X1t + ns (Time, df = 7/per year) + 𝑛s (temp, 𝑑𝑓 = 3) + ns (rhum, 𝑑𝑓 = 3) + DOW + Holiday
In the above equations, E (Yt) is the expected number of daily incident strokes on “t” day. Yt is the actual number of daily incident strokes on “t” day. The Greek letter α is the intercept of the equation. The Greek letter β stands for the regression coefficient that indicates the relative risk of stroke associated with one-unit increase in NO2 concentration. Xt represents NO2 concentration on “t” day. X1t represents other air pollutants (PM2.5, PM10, SO2, CO, or O3) concentration on “t” day; df is the degree of freedom of each parameter. Based on the experience of previous large-scale studies [24,25,26] and the minimum principle of the Akaike Information Criterion (AIC), the df of temp, rhum and time are 3, 3, and 7, respectively [27].
We also estimated the lag effects of low-level NO2 on the risk of incident stroke, including single-day lag effects (lag0, lag1, lag2, lag3, lag4, lag5, lag6, and lag7) and cumulative lag effects (lag01, lag02, lag03, lag04, lag05, lag06, and lag07). The lag effects referred to the effect of the air-pollution concentration on the previous day on a health outcome on the day. In single-day exposure models, the lag0 corresponded to the current-day air-pollutant concentration, and lag1 referred to the average concentration of air pollutants on the day before stroke incidence, etc. In cumulative exposure models, the lag01 corresponded to the 2-day moving average concentration of air pollutants on the present day and previous day, etc. We used excess risk (ER) to represent the percentage increase in the daily incidence of stroke associated with one unit (1 μg/m3) increase in NO2, and the formula was ER = [exp(β) − 1] × 100%.
Sensitivity analysis was conducted to check the stability of the results including (1) using different df values for long-term trends (7–9) and meteorological factors (3–6) in the GAM model and (2) adding other air pollutants (PM2.5, PM10, SO2, CO, and O3) to the single-pollutant model to create two-pollutant models. If similar results were observed in the sensitivity analyses, the results were stable.
The main analytical tool used in this study was the mgcv software package in R software (version 3.5.2) (R development Core Team, Vienna, Austria).

3. Results

3.1. Descriptive Analysis and Correlation Analysis

Table 1 presents the results of descriptive statistics for daily incident stroke cases, air-pollutant concentrations, and meteorological factors in Enshi city, 2015–2018. During 1 January 2015 and 31 December 2018, there were a total of 9122 incident stroke cases in Enshi city, and the annual size of the incident stroke cases ranged from 1448 to 2683 (Table S4). Of the 9122 cases, the cases attributed to ischemic stroke, haemorrhagic stroke, and other types of stroke accounted for 68.81%, 26.69%, and 4.50%, respectively. Among total stroke cases, 59.47% were males and 40.53% were females; 66.99% were elderly and 33.01% were non-elderly; 48.59% occurred in the warm season, and 51.41% occurred in the cold season (Table S3). The annual average levels of ambient NO2 during 2015–2018 were 18.96 μg/m3, 19.63 μg/m3, 23.41 μg/m3, and 23.61 μg/m3, respectively (Table S4). Compared with most regions worldwide, the levels of NO2 in the air were relatively low in Enshi city (Table S1). The average daily temperature was 13.9 °C and ranged from −4.02 °C to 27.40 °C. The average daily temperature of the cold season was 7.65 °C and ranged from −4.02 °C to 21.19 °C, and the average daily temperature of the warm season was 20.10 °C and ranged from 5.69 °C to 27.40 °C (Table S2). The average daily relative humidity was 78.62% and ranged from 3.44% to 97.40%.
Table 2 shows the Spearman correlation analysis results between air pollutants and meteorological factors in Enshi city. The results showed that the concentration of NO2 was significantly and positively correlated with PM2.5, PM10, SO2, and CO (p < 0.01) but significantly and negatively correlated with O3 (8 h) (p < 0.01). The daily average temperature and relative humidity were also negatively correlated with NO2 (p < 0.01).

3.2. Exposure-Effect Analysis

Figure 2 describes the effects of NO2 exposure on the daily incidence of stroke and its subtypes in Enshi from 1 January 2015 to 31 December 2018. The single-day lag model results showed that NO2 exposure was associated with increased risk of incident total stroke with ER of 0.34% (95% CI: 0.002–0.67% for lag3) and 0.37% (95% CI: 0.04–0.70% for lag4), including the incident ischemic stroke (ER = 0.41%, 95% CI: 0.004–0.81% for lag3; ER = 0.58%, 95% CI: 0.18–0.98% for lag4). The cumulative lag model results showed that NO2 exposure was associated with increased risk of incident ischemic stroke with ER of 0.59% (95% CI: 0.01–1.17% for lag04) and 0.61% (95% CI: 0.01–1.21% for lag05). However, there were no statistically significant positive association between increased risk of incident haemorrhagic stroke or other types of stroke and ambient air NO2 levels.

3.3. Subgroup Analysis

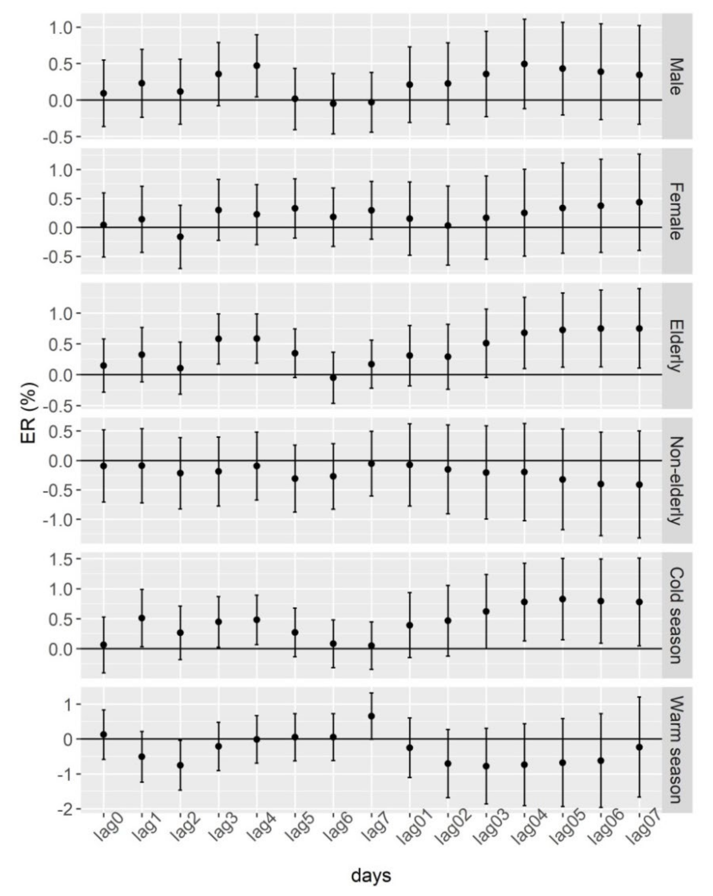
Figure 3 summarises the results of the subgroup analysis. Changes in NO2 concentration were associated with the risk of incident stroke in males and elderly cases. The single-day lag effects of NO2 exposure on incident stroke in males (ER = 0.47%; 95% CI: 0.05–0.89% for lag4) and elderly (ER = 0.58%; 95% CI: 0.17–0.99% for lag3; ER = 0.59%; 95% CI: 0.19–0.99% for lag4) were statistically significant. The maximum cumulative lag effect of NO2 exposure on incident stroke in the elderly with ER of 0.75% (95% CI: 0.11–1.40% for lag07). No statistically significant association were observed in the subgroups of females and non-elderly cases. Another interesting finding was that a statistically significant positive association between incident stroke and NO2 was observed in the cold season, while a statistically significant negative association between incident stroke and NO2 was found in the warm season. In the cold season, the maximum single-day lag effect was 0.51% (95% CI: 0.03–0.99%) at lag1, and the maximum cumulative lag effect was 0.83% (95% CI: 0.15–1.51%) at lag05. In the warm season, the statistically significant negative association between incident stroke and NO2 was −0.75% (95% CI: −1.46–0.04%) at lag2.

3.4. Two-Pollution Model

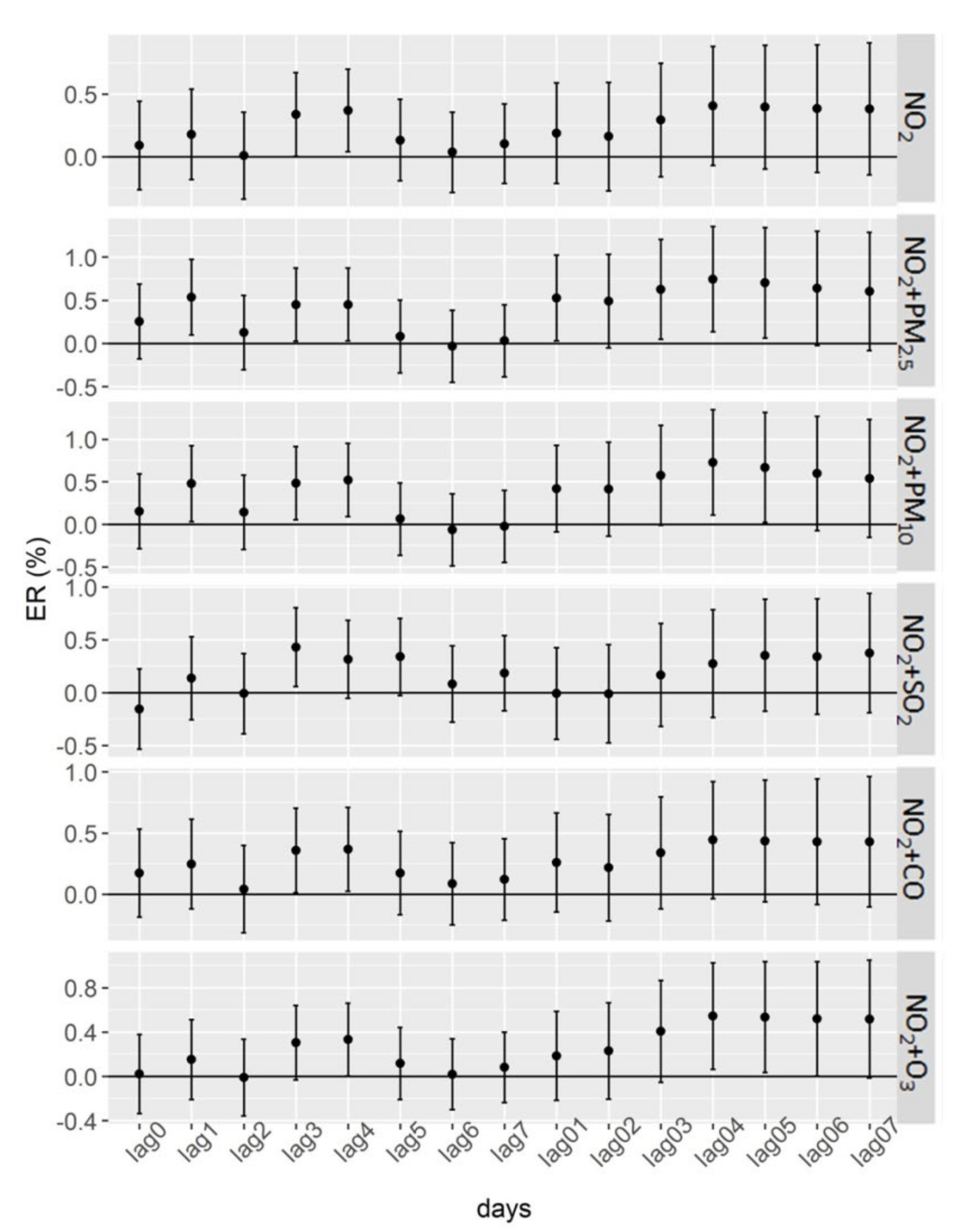
Figure 4 presents the results of the two-pollution model. The associations between NO2 and incident stroke were statistically significant at some lags in two-pollution models. Furthermore, the cumulative lag effects were statistically significant on some lag days, including lag04 and lag05, after adjusting for PM2.5, PM10, and O3. The single-day lag effects of NO2 were stronger after adjusting for other pollutants (PM2.5, PM10, and SO2). For example, the percentage increase in the daily incidence of stroke was 0.43% (95% CI: 0.06–0.80%) for one unit (1 μg/m3) increase in NO2 after adjusting for SO2.

4. Discussion

NO2 is one of the main ambient air pollutants. Exposure to NO2 can lead to oxidative stress, vascular injury, blood viscosity, and other hazards, which may promote stroke development [28,29]. Previous studies proved that environmental NO2 exposure was associated with an increased risk of stroke in areas with severe air pollution [30,31,32]. Consistent with the abovementioned findings, our study aimed at the low air-pollution area and found that low-level ambient air NO2 exposure had short-term effects on the incident stroke. There was an association between short-term NO2 exposure and incident stroke in males and the elderly. Additionally, we observed statistically significant effects in the cold season. The results of our study provided evidence that short-time ambient air NO2 exposure can adversely influence the incident stroke, even at low pollution levels.
In the present study, we confirmed that the low-level NO2 exposure had short-term effects on the incident stroke, which was in line with previous studies. A pooled analysis of six European cohorts found long-term air-pollution exposure were associated with the incidence of stroke and coronary heart disease, even at pollutant concentrations lower than current limit values [22]. Another retrospective cross-sectional study in Tehran, where the pollution concentration was much higher than in Enshi city (the average annual level of NO2 was 59.0 ± 11.2 µg/m3), found that the level of air pollutants directly correlated with the number of stroke admissions to the emergency department [33]. However, inconsistent results have also been found in previous studies. A national cohort study in England found no statistically significant associations between the relatively low NO2 pollution levels and stroke, in which the annual average concentration of ambient air NO2 was 22.50 µg/m3 [34]. With regard to the reasons for these contradictions, the different compositions of the studied population and different geographical, racial, or ethnic factors in disparate regions might account for them [35,36]. After adjusting for another pollutant, the effects of NO2 remained significantly associated with incident stroke, confirming the independent effects of NO2 on the risk of incident stroke at low pollution levels. Previous studies found similar results, in which the effects of NO2 on stroke still existed after adjusting for another pollutant [37,38]. We also noted that, when adjusting for O3 in the two-pollutant model, the cumulative lag effects of NO2 on total stroke became enhanced and even statistically significant. This enhanced cumulative effect might be caused by the strong oxidability of O3, which could oxidise nitrogen oxide to create NO2 [39].
We noted that, in Enshi city, the low-level NO2 exposure had statistically significant effects on incident ischemic stroke but not haemorrhagic stroke. The heterogeneity might be explained by the underlying mechanisms of cardiovascular changes in relation to air pollution [37]. In vitro studies found that air-pollution exposure promoted vascular inflammation and lipid accumulation in foam cells, and accelerated the progression of atherosclerosis, all of which were typical prepathological changes in ischemic stroke [40,41]. These results were consistent with a 7 year time-series analysis in Korea, in which the investigators found a significant association between NO2 levels and the ischemic stroke mortality but not haemorrhagic stroke mortality [42]. However, several studies found statistically significant associations between NO2 and haemorrhagic stroke in areas with relatively higher air-pollution levels [37,43]. The different NO2 exposure levels in different studies might partly explain the difference. Air pollutants usually had a log-linear relationship with cardiovascular and cerebrovascular diseases, with a robust effect at low doses typically and a flattening of the dose-response at the highest exposure levels [44,45].
In this study, the subgroup analysis of age and sex revealed that males and the elderly were more susceptible to stroke when exposed to low-level ambient NO2 in the air. Similarly, a study about hospital admissions in China found that the elderly were more susceptible to stroke than the non-elderly [46]; another study found that male stroke patients were more susceptible to changes in NO2 concentrations than female patients [47]. However, some previous studies found different results regarding the susceptibility of age to stroke. A case-crossover study conducted in seven cities in Australia and New Zealand showed that elderly people were not susceptible to stroke [48]. The different susceptibility of people of different sexes and ages might be related to their physiological characteristics and lifestyle. Elder individuals with weak immune systems and chronic underlying diseases might be more sensitive to air-pollution exposure [49,50].
In Enshi city, the association between NO2 exposure and incidence of total stroke was found significantly positive in the cold season but was not positive in the warm season. These results were consistent with those obtained by a study conducted in Wuhan, another city in Hubei, China, which found that NO2 exposure in the cold season was significantly associated with stroke hospitalisation [51]. The positive associations might be explained by the special biologically plausible evidence in the cold season. Previous studies reported that low temperature was related to an increase in inflammatory response level, the oxidative stress level in brain tissue, blood pressure, and autonomic nervous system changes [52,53]. All of these changes were related to the occurrence and development of stroke. The different susceptibility to stroke between cold and warm seasons might be explained by the different human activity patterns in different seasons. For example, the use of air conditioning and coal combustion was more frequent in the cold season but not in the warm season.
This study also had some limitations. Firstly, this study might underestimate the effects of NO2 on incident stroke, because the data of ambient air pollutants and meteorological factors (obtained from fixed monitoring stations) could not represent total exposure to the population. Secondly, the meteorological factors, such as atmospheric pressure and wind speed, were not included in our GAM models, because no evidence had been found to support their direct connections. In addition, we failed to obtain case data, including individual air-pollution data, exercise, diet, smoking, and other information. We would carry out further relevant research and improve the conclusion.

5. Conclusions

Through this time-series analysis, we found that short-term exposure to low-level NO2 increased the risk of incident stroke, including ischemic stroke, in Enshi city. Furthermore, males and the elderly might be susceptible to stroke when exposed to low-level NO2, and the adverse effects in the cold season were more remarkable. These results provided evidence to inform policymaking aimed at protecting public health from air pollution, especially in regions with low-level air pollution.

Supplementary Materials

The following supporting information can be downloaded at: https://www.mdpi.com/article/10.3390/ijerph19116683/s1, Table S1: Comparison of ambient NO2 concentrations in different research areas, Table S2: Descriptive statistics for daily meteorological factors of cold and warm seasons in Enshi city, 2015–2018, Table S3: The demographic information for incidence of stroke in Enshi city, 2015–2018, Table S4: The annual average levels of ambient NO2 and incident stroke cases in Enshi city during 2015–2018. References [10,12,31,32,33,34,42,46,51,54,55,56,57,58,59,60,61,62,63,64,65,66,67,68,69] are cited in the Supplementary Materials.

Author Contributions

Conceptualisation, T.S., X.C. (Xiuqing Cui) and B.W.; methodology, T.S.; software, Z.C. and X.C. (Xueqin Cao); validation, Y.L. and J.W.; formal analysis, Z.C. and B.W.; investigation, Y.H. and L.D.; resources, L.D. and Y.W.; data curation, X.C. (Xiuqing Cui); writing—original draft preparation, Z.C. and B.W.; writing—review and editing, Z.C. and X.C. (Xiuqing Cui); visualisation, Z.C.; supervision, T.Z. and Y.H.; project administration, T.S. and B.W.; funding acquisition, X.C. (Xiuqing Cui) and T.S. All authors have read and agreed to the published version of the manuscript.

Funding

This research was funded by the National Key R&D Program (Grant Number: 2016YFC0206500-10), the National Natural Science Foundation of China (Grant Number: 81903292), and the Hubei Province Key Laboratory of Occupational Hazard Identification and Control, Wuhan University of Science and Technology (Grant Number: OHIC2021G07).

Institutional Review Board Statement

Not applicable.

Informed Consent Statement

Not applicable.

Data Availability Statement

Restrictions apply to the availability of these data. Data were obtained from the China Disease Prevention and Control Information System.

Acknowledgments

We would like to thank the funding sources for the necessary financial support and the co-authors for their contributions.

Conflicts of Interest

The authors declare no conflict of interest.

References

  1. Roth, G.A.; Mensah, G.A.; Johnson, C.O.; Addolorato, G.; Ammirati, E.; Baddour, L.M.; Barengo, N.C.; Beaton, A.Z.; Benjamin, E.J.; Benziger, C.P.; et al. Global Burden of Cardiovascular Diseases and Risk Factors, 1990–2019: Update from the GBD 2019 Study. J. Am. Coll. Cardiol. 2020, 76, 2982–3021, Erratum in J. Am. Coll. Cardiol. 2021, 77, 1958–1959. [Google Scholar] [CrossRef] [PubMed]
  2. Douiri, A.; Muruet, W.; Bhalla, A.; James, M.; Paley, L.; Stanley, K.; Rudd, A.G.; Wolfe, C.D.; Bray, B.D.; and on behalf of the SSNAP Collaboration. Stroke Care in the United Kingdom During the COVID-19 Pandemic. Stroke 2021, 52, 2125–2133. [Google Scholar] [CrossRef] [PubMed]
  3. Dong, W.; Pan, X.-F.; Yu, C.; Lv, J.; Guo, Y.; Bian, Z.; Yang, L.; Chen, Y.; Wu, T.; Chen, Z.; et al. Self-Rated Health Status and Risk of Incident Stroke in 0.5 Million Chinese Adults: The China Kadoorie Biobank Study. J. Stroke 2018, 20, 247–257. [Google Scholar] [CrossRef] [PubMed]
  4. Meschia, J.F.; Bushnell, C.; Boden-Albala, B.; Braun, L.T.; Bravata, D.M.; Chaturvedi, S.; Creager, M.A.; Eckel, R.H.; Elkind, M.S.V.; Fornage, M.; et al. Guidelines for the Primary Prevention of Stroke: A statement for healthcare professionals from the American Heart Association/American Stroke Association. Stroke 2014, 45, 3754–3832. [Google Scholar] [CrossRef] [Green Version]
  5. Roswall, N.; Pyko, A.; Ögren, M.; Oudin, A.; Rosengren, A.; Lager, A.; Poulsen, A.H.; Eriksson, C.; Segersson, D.; Rizzuto, D.; et al. Long-Term Exposure to Transportation Noise and Risk of Incident Stroke: A Pooled Study of Nine Scandinavian Cohorts. Environ. Health Perspect. 2021, 129, 107002. [Google Scholar] [CrossRef]
  6. Estol, C.J. Is breathing our polluted air a risk factor for stroke? Int. J. Stroke 2019, 14, 340–350. [Google Scholar] [CrossRef]
  7. Niu, Z.; Liu, F.; Yu, H.; Wu, S.; Xiang, H. Association between exposure to ambient air pollution and hospital admission, incidence, and mortality of stroke: An updated systematic review and meta-analysis of more than 23 million participants. Environ. Health Prev. Med. 2021, 26, 14. [Google Scholar] [CrossRef]
  8. Shin, S.; Burnett, R.T.; Kwong, J.C.; Hystad, P.; Van Donkelaar, A.; Brook, J.R.; Goldberg, M.S.; Tu, K.; Copes, R.; Martin, R.V.; et al. Ambient Air Pollution and the Risk of Atrial Fibrillation and Stroke: A Population-Based Cohort Study. Environ. Health Perspect. 2019, 127, 087009. [Google Scholar] [CrossRef]
  9. Chen, R.; Zhang, Y.; Yang, C.; Zhao, Z.; Xu, X.; Kan, H. Acute Effect of Ambient Air Pollution on Stroke Mortality in the China Air Pollution and Health Effects Study. Stroke 2013, 44, 954–960. [Google Scholar] [CrossRef] [Green Version]
  10. Yorifuji, T.; Kashima, S.; Tsuda, T.; Ishikawa-Takata, K.; Ohta, T.; Tsuruta, K.-I.; Doi, H. Long-term exposure to traffic-related air pollution and the risk of death from hemorrhagic stroke and lung cancer in Shizuoka, Japan. Sci. Total Environ. 2012, 443, 397–402. [Google Scholar] [CrossRef]
  11. Li, J.; Huang, J.; Wang, Y.; Yin, P.; Wang, L.; Liu, Y.; Pan, X.; Zhou, M.; Li, G. Years of life lost from ischaemic and haemorrhagic stroke related to ambient nitrogen dioxide exposure: A multicity study in China. Ecotoxicol. Environ. Saf. 2020, 203, 111018. [Google Scholar] [CrossRef]
  12. Huang, F.; Luo, Y.; Tan, P.; Xu, Q.; Tao, L.; Guo, J.; Zhang, F.; Xie, X.; Guo, X. Gaseous Air Pollution and the Risk for Stroke Admissions: A Case-Crossover Study in Beijing, China. Int. J. Environ. Res. Public Health 2017, 14, 189. [Google Scholar] [CrossRef] [Green Version]
  13. Zhu, N.; Li, H.; Han, M.; Guo, L.; Chen, L.; Yun, Y.; Guo, Z.; Li, G.; Sang, N. Environmental nitrogen dioxide (NO2) exposure influences development and progression of ischemic stroke. Toxicol. Lett. 2012, 214, 120–130. [Google Scholar] [CrossRef]
  14. Cobbold, A.T.; Crane, M.A.; Knibbs, L.D.; Hanigan, I.C.; Greaves, S.P.; Rissel, C.E. Perceptions of air quality and concern for health in relation to long-term air pollution exposure, bushfires, and COVID-19 lockdown: A before-and-after study. J. Clim. Chang. Health 2022, in press. [Google Scholar] [CrossRef]
  15. Dennekamp, M.; Howarth, S.; Dick, C.A.J.; Cherrie, J.W.; Donaldson, K.; Seaton, A. Ultrafine particles and nitrogen oxides generated by gas and electric cooking. Occup. Environ. Med. 2001, 58, 511–516. [Google Scholar] [CrossRef] [Green Version]
  16. China. Bulletin on ecological and Environmental Conditions of China. Available online: http://www.mee.gov.cn/hjzl/sthjzk/zghjzkgb/ (accessed on 1 May 2021).
  17. Zha, W.-T.; Li, W.-T.; Zhou, N.; Zhu, J.-J.; Feng, R.; Li, T.; Du, Y.-B.; Liu, Y.; Hong, X.-Q.; Lv, Y. Effects of meteorological factors on the incidence of mumps and models for prediction, China. BMC Infect. Dis. 2020, 20, 468. [Google Scholar] [CrossRef]
  18. WHO. Definition of an Older or Elderly Person. 2013. Available online: https://www.who.int/healthinfo/survey/ageingdefnolder/en/ (accessed on 12 March 2022).
  19. Liu, C.; Liu, Y.; Zhou, Y.; Feng, A.; Wang, C.; Shi, T. Short-term effect of relatively low level air pollution on outpatient visit in Shennongjia, China. Environ. Pollut. 2018, 245, 419–426. [Google Scholar] [CrossRef]
  20. Luong, L.M.T.; Phung, D.; Dang, T.N.; Sly, P.D.; Morawska, L.; Thai, P.K. Seasonal association between ambient ozone and hospital admission for respiratory diseases in Hanoi, Vietnam. PLoS ONE 2018, 13, e0203751. [Google Scholar] [CrossRef]
  21. Rubin, D.B. Multiple Imputation for Nonresponse in Surveys; John Wiley & Sons: Hoboken, NJ, USA, 2009; p. 180. [Google Scholar]
  22. Wolf, K.; Hoffmann, B.; Andersen, Z.J.; Atkinson, R.W.; Bauwelinck, M.; Bellander, T.; Brandt, J.; Brunekreef, B.; Cesaroni, G.; Chen, J.; et al. Long-term exposure to low-level ambient air pollution and incidence of stroke and coronary heart disease: A pooled analysis of six European cohorts within the ELAPSE project. Lancet Planet. Health 2021, 5, e620–e632. [Google Scholar] [CrossRef]
  23. Ravindra, K.; Rattan, P.; Mor, S.; Aggarwal, A.N. Generalized additive models: Building evidence of air pollution, climate change and human health. Environ. Int. 2019, 132, 104987. [Google Scholar] [CrossRef]
  24. Wang, F.; Liu, H.; Liu, J.; Guo, X.; Yuan, J.; Hu, Y.; Wang, J.; Lu, L. Ambient concentrations of particulate matter and hospitalization for depression in 26 Chinese cities: A case-crossover study. Environ. Int. 2018, 114, 115–122. [Google Scholar] [CrossRef]
  25. Wang, L.; Liu, C.; Meng, X.; Niu, Y.; Lin, Z.; Liu, Y.; Liu, J.; Qi, J.; You, J.; Tse, L.A.; et al. Associations between short-term exposure to ambient sulfur dioxide and increased cause-specific mortality in 272 Chinese cities. Environ. Int. 2018, 117, 33–39. [Google Scholar] [CrossRef]
  26. Yin, P.; Chen, R.; Wang, L.; Meng, X.; Liu, C.; Niu, Y.; Lin, Z.; Liu, Y.; Liu, J.; Qi, J.; et al. Ambient Ozone Pollution and Daily Mortality: A Nationwide Study in 272 Chinese Cities. Environ. Health Perspect. 2017, 125, 117006. [Google Scholar] [CrossRef] [Green Version]
  27. Song, G.; Zhu, L.; Gao, A.; Kong, L. Blockwise AICc and its consistency properties in model selection. Commun. Stat. Theory Methods 2019, 50, 3198–3213. [Google Scholar] [CrossRef]
  28. Lee, H.; Myung, W.; Jeong, B.-H.; Choi, H.; Jhun, B.W.; Kim, H. Short- and long-term exposure to ambient air pollution and circulating biomarkers of inflammation in non-smokers: A hospital-based cohort study in South Korea. Environ. Int. 2018, 119, 264–273. [Google Scholar] [CrossRef]
  29. Li, H.; Xin, X. Nitrogen dioxide (NO2) pollution as a potential risk factor for developing vascular dementia and its synaptic mechanisms. Chemosphere 2013, 92, 52–58. [Google Scholar] [CrossRef]
  30. Andersen, Z.J.; Kristiansen, L.C.; Andersen, K.K.; Olsen, T.S.; Hvidberg, M.; Jensen, S.S.; Ketzel, M.; Loft, S.; Sørensen, M.; Tjonneland, A.; et al. Stroke and Long-Term Exposure to Outdoor Air Pollution from Nitrogen Dioxide. Stroke 2012, 43, 320–325. [Google Scholar] [CrossRef] [Green Version]
  31. Dong, H.; Yu, Y.; Yao, S.; Lu, Y.; Chen, Z.; Li, G.; Yao, Y.; Yao, X.; Wang, S.-L.; Zhang, Z. Acute effects of air pollution on ischaemic stroke onset and deaths: A time-series study in Changzhou, China. BMJ Open 2018, 8, e020425. [Google Scholar] [CrossRef]
  32. Guo, P.; Wang, Y.; Feng, W.; Wu, J.; Fu, C.; Deng, H.; Huang, J.; Wang, L.; Zheng, M.; Liu, H. Ambient Air Pollution and Risk for Ischemic Stroke: A Short-Term Exposure Assessment in South China. Int. J. Environ. Res. Public Health 2017, 14, 1091. [Google Scholar] [CrossRef] [Green Version]
  33. Alimohammadi, H.; Fakhri, S.; Derakhshanfar, H.; Hosseini-Zijoud, S.-M.; Safari, S.; Hatamabadi, H.R. The Effects of Air Pollution on Ischemic Stroke Admission Rate. Chonnam. Med. J. 2016, 52, 53–58. [Google Scholar] [CrossRef] [Green Version]
  34. Atkinson, R.W.; Carey, I.M.; Kent, A.J.; van Staa, T.P.; Anderson, H.R.; Cook, D.G. Long-Term Exposure to Outdoor Air Pollution and Incidence of Cardiovascular Diseases. Epidemiology 2013, 24, 44–53. [Google Scholar] [CrossRef] [PubMed] [Green Version]
  35. Chen, J.-C. Geographic Determinants of Stroke Mortality: Role of ambient air pollution. Stroke 2010, 41, 839–841. [Google Scholar] [CrossRef] [PubMed] [Green Version]
  36. Wing, J.J.; Adar, S.D.; Sánchez, B.N.; Morgenstern, L.B.; Smith, M.A.; Lisabeth, L.D. Ethnic differences in ambient air pollution and risk of acute ischemic stroke. Environ. Res. 2015, 143, 62–67. [Google Scholar] [CrossRef] [PubMed] [Green Version]
  37. Liu, H.; Tian, Y.; Xu, Y.; Huang, Z.; Huang, C.; Hu, Y.; Zhang, J. Association between ambient air pollution and hospitalization for ischemic and hemorrhagic stroke in China: A multicity case-crossover study. Environ. Pollut. 2017, 230, 234–241. [Google Scholar] [CrossRef]
  38. Tian, Y.; Liu, H.; Zhao, Z.; Xiang, X.; Li, M.; Juan, J.; Song, J.; Cao, Y.; Wang, X.; Chen, L.; et al. Association between ambient air pollution and daily hospital admissions for ischemic stroke: A nationwide time-series analysis. PLoS Med. 2018, 15, e1002668. [Google Scholar] [CrossRef] [Green Version]
  39. Stolarski, R.S.; Douglass, A.R.; Oman, L.; Waugh, D. Impact of future nitrous oxide and carbon dioxide emissions on the stratospheric ozone layer. Environ. Res. Lett. 2015, 10, 6. [Google Scholar] [CrossRef]
  40. Sun, Q.; Wang, A.; Jin, X.; Natanzon, A.; Duquaine, D.; Brook, R.D.; Aguinaldo, J.G.; Fayad, Z.A.; Fuster, V.; Lippmann, M.; et al. Long-term Air Pollution Exposure and Acceleration of Atherosclerosis and Vascular Inflammation in an Animal Model. JAMA 2005, 294, 3003–3010. [Google Scholar] [CrossRef] [Green Version]
  41. Weldy, C.S.; Liu, Y.; Chang, Y.-C.; Medvedev, I.O.; Fox, J.R.; Larson, T.V.; Chien, W.-M.; Chin, M.T. In utero and early life exposure to diesel exhaust air pollution increases adult susceptibility to heart failure in mice. Part. Fibre Toxicol. 2013, 10, 59. [Google Scholar] [CrossRef] [Green Version]
  42. Hong, Y.-C.; Lee, J.-T.; Kim, H.; Kwon, H.-J. Air Pollution: A new risk factor in ischemic stroke mortality. Stroke 2002, 33, 2165–2169. [Google Scholar] [CrossRef] [Green Version]
  43. Collart, P.; Dubourg, D.; Levêque, A.; Sierra, N.B.; Coppieters, Y. Data on short-term effect of nitrogen dioxide on cardiovascular health in Wallonia, Belgium. Data Brief 2018, 17, 172–179. [Google Scholar] [CrossRef]
  44. Brook, R.D.; Rajagopalan, S.; Pope, C.A., 3rd.; Brook, J.R.; Bhatnagar, A.; Diez-Roux, A.V.; Holguin, F.; Hong, Y.; Luepker, R.V.; Mittleman, M.A.; et al. Particulate Matter Air Pollution and Cardiovascular Disease: An update to the scientific statement from the american heart association. Circulation 2010, 121, 2331–2378. [Google Scholar] [CrossRef] [Green Version]
  45. Pope, C.A., 3rd.; Burnett, R.T.; Krewski, D.; Jerrett, M.; Shi, Y.; Calle, E.E.; Thun, M.J. Cardiovascular mortality and exposure to airborne fine particulate matter and cigarette smoke: Shape of the exposure-response relationship. Circulation 2009, 120, 941–948. [Google Scholar] [CrossRef]
  46. Chen, C.; Wang, X.; Lv, C.; Li, W.; Ma, D.; Zhang, Q.; Dong, L. The effect of air pollution on hospitalization of individuals with respiratory and cardiovascular diseases in Jinan, China. Medicine 2019, 98, e15634. [Google Scholar] [CrossRef]
  47. Chien, T.-Y.; Lee, M.-L.; Wu, W.-L.; Ting, H.-W. Exploration of Medical Trajectories of Stroke Patients Based on Group-Based Trajectory Modeling. Int. J. Environ. Res. Public Health 2019, 16, 3472. [Google Scholar] [CrossRef] [Green Version]
  48. Barnett, A.; Williams, G.; Schwartz, J.; Best, T.L.; Neller, A.H.; Petroeschevsky, A.L.; Simpson, R.W. The Effects of Air Pollution on Hospitalizations for Cardiovascular Diseasein Elderly People in Australian and New Zealand Cities. Environ. Health Perspect. 2006, 114, 1018–1023. [Google Scholar] [CrossRef] [Green Version]
  49. Domingo, J.L.; Rovira, J. Effects of air pollutants on the transmission and severity of respiratory viral infections. Environ. Res. 2020, 187, 109650. [Google Scholar] [CrossRef]
  50. Conticini, E.; Frediani, B.; Caro, D. Can atmospheric pollution be considered a co-factor in extremely high level of SARS-CoV-2 lethality in Northern Italy? Environ. Pollut. 2020, 261, 114465. [Google Scholar] [CrossRef]
  51. Xiang, H.; Mertz, K.J.; Arena, V.C.; Brink, L.L.; Xu, X.; Bi, Y.; Talbott, E.O. Estimation of Short-Term Effects of Air Pollution on Stroke Hospital Admissions in Wuhan, China. PLoS ONE 2013, 8, e61168. [Google Scholar] [CrossRef] [Green Version]
  52. Cai, J.; Meng, X.; Wang, C.; Chen, R.; Zhou, J.; Xu, X.; Ha, S.; Zhao, Z.; Kan, H. The cold effects on circulatory inflammation, thrombosis and vasoconstriction in type 2 diabetic patients. Sci. Total Environ. 2016, 568, 271–277. [Google Scholar] [CrossRef]
  53. Croughwell, N.; Smith, L.R.; Quill, T.; Newman, M.; Greeley, W.; Kern, F.; Lu, J.; Reves, J.G. The effect of temperature on cerebral metabolism and blood flow in adults during cardiopulmonary bypass. J. Thorac. Cardiovasc. Surg. 1992, 103, 549–554. [Google Scholar] [CrossRef]
  54. Amini, H.; Dehlendorff, C.; Lim, Y.H.; Mehta, A.; Jørgensen, J.T.; Mortensen, L.H.; Westendorp, R.; Hoffmann, B.; Loft, S.; Cole-Hunter, T.; et al. Long-term exposure to air pollution and stroke incidence: A Danish Nurse cohort study. Environ. Int. 2020, 142, 105891. [Google Scholar] [CrossRef]
  55. Byrne, C.P.; Bennett, K.E.; Hickey, A.; Kavanagh, P.; Broderick, B.; O’Mahony, M.; Williams, D.J. Short-Term Air Pollution as a Risk for Stroke Admission: A Time-Series Analysis. Cerebrovasc. Dis. 2020, 49, 404–411. [Google Scholar] [CrossRef]
  56. Carlsen, H.K.; Forsberg, B.; Meister, K.; Gíslason, T.; Oudin, A. Ozone is associated with cardiopulmonary and stroke emergency hospital visits in Reykjavík, Iceland 2003–2009. Environ. Health Glob. Access Sci. Source 2013, 12, 28. [Google Scholar] [CrossRef] [Green Version]
  57. Yu, Y.; Dong, H.; Yao, S.; Ji, M.; Yao, X.; Zhang, Z. Protective Effects of Ambient Ozone on Incidence and Outcomes of Ischemic Stroke in Changzhou, China: A Time-Series Study. Int. J. Environ. Res. Public Health 2017, 14, 1610. [Google Scholar] [CrossRef] [Green Version]
  58. Ho, A.F.W.; Lim, M.J.R.; Zheng, H.; Leow, A.S.; Tan, B.Y.; Pek, P.P.; Raju, Y.; Seow, W.J.; Yeo, T.T.; Sharma, V.K.; et al. Association of ambient air pollution with risk of hemorrhagic stroke: A time-stratified case crossover analysis of the Singapore stroke registry. Int. J. Hyg. Environ. Health 2022, 240, 113908. [Google Scholar] [CrossRef]
  59. Kettunen, J.; Lanki, T.; Tiittanen, P.; Aalto, P.P.; Koskentalo, T.; Kulmala, M.; Salomaa, V.; Pekkanen, J. Associations of fine and ultrafine particulate air pollution with stroke mortality in an area of low air pollution levels. Stroke 2007, 38, 918–922. [Google Scholar] [CrossRef] [Green Version]
  60. Johnson, J.Y.; Rowe, B.H.; Allen, R.W.; Peters, P.A.; Villeneuve, P.J. A case-control study of medium-term exposure to ambient nitrogen dioxide pollution and hospitalization for stroke. BMC Public Health 2013, 13, 368. [Google Scholar] [CrossRef] [Green Version]
  61. Song, J.; Lim, Y.; Ko, I.; Kim, J.Y.; Kim, D.K. Association between Air Pollutants and Initial Hospital Admission for Ischemic Stroke in Korea from 2002 to 2013. J. Stroke Cerebrovasc. Dis. Off. J. Natl. Stroke Assoc. 2021, 30, 106080. [Google Scholar] [CrossRef]
  62. Qi, X.; Wang, Z.; Guo, X.; Xia, X.; Xue, J.; Jiang, G.; Gu, Y.; Han, S.; Yao, Q.; Cai, Z.; et al. Short-term effects of outdoor air pollution on acute ischaemic stroke occurrence: A case-crossover study in Tianjin, China. Occup. Environ. Med. 2020, 77, 862–867. [Google Scholar] [CrossRef]
  63. Villeneuve, P.J.; Chen, L.; Stieb, D.; Rowe, B.H. Associations between outdoor air pollution and emergency department visits for stroke in Edmonton, Canada. Eur. J. Epidemiol. 2006, 21, 689–700. [Google Scholar] [CrossRef]
  64. Crichton, S.; Barratt, B.; Spiridou, A.; Hoang, U.; Liang, S.F.; Kovalchuk, Y.; Beevers, S.D.; Kelly, F.J.; Delaney, B.; Wolfe, C.D. Associations between exhaust and non-exhaust particulate matter and stroke incidence by stroke subtype in South London. Sci. Total Environ. 2016, 568, 278–284. [Google Scholar] [CrossRef] [PubMed] [Green Version]
  65. Wang, Z.; Peng, J.; Liu, P.; Duan, Y.; Huang, S.; Wen, Y.; Liao, Y.; Li, H.; Yan, S.; Cheng, J.; et al. Association between short-term exposure to air pollution and ischemic stroke onset: A time-stratified case-crossover analysis using a distributed lag nonlinear model in Shenzhen, China. Environ. Health: A Glob. Access Sci. Source 2020, 19, 1. [Google Scholar] [CrossRef] [PubMed] [Green Version]
  66. Luo, L.; Dai, Y.; Zhang, F.; Chen, M.; Chen, F.; Qing, F. Time series analysis of ambient air pollution effects on dynamic stroke mortality. Int. J. Health Plan. Manag. 2020, 35, 79–103. [Google Scholar] [CrossRef] [PubMed] [Green Version]
  67. Tsai, S.S.; Goggins, W.B.; Chiu, H.F.; Yang, C.Y. Evidence for an association between air pollution and daily stroke admissions in Kaohsiung, Taiwan. Stroke 2003, 34, 2612–2616. [Google Scholar] [CrossRef] [PubMed] [Green Version]
  68. Lipsett, M.J.; Ostro, B.D.; Reynolds, P.; Goldberg, D.; Hertz, A.; Jerrett, M.; Smith, D.F.; Garcia, C.; Chang, E.T.; Bernstein, L. Long-term exposure to air pollution and cardiorespiratory disease in the California teachers study cohort. Am. J. Respir. Crit Care Med. 2011, 184, 828–835. [Google Scholar] [CrossRef]
  69. Yorifuji, T.; Kawachi, I.; Sakamoto, T.; Doi, H. Associations of outdoor air pollution with hemorrhagic stroke mortality. J. Occup. Environ. Med. 2011, 53, 124–126. [Google Scholar] [CrossRef]
Figure 1. Map of Enshi and the location of national air quality monitoring stations.
Figure 1. Map of Enshi and the location of national air quality monitoring stations.
Ijerph 19 06683 g001
Figure 2. ER and 95% CI of daily incidence of different subtypes of stroke associated with one-unit (1 μg/m3) increase in NO2. Single-day lag effects: lag0, lag1, lag2, lag3, lag4, lag5, lag6, and lag7 (lag0 corresponds to the current-day air-pollutant concentration, and lag1 refers to the average concentration of air pollutants on the day before stroke incidence, etc.). Cumulative lag effects: lag01, lag02, lag03, lag04, lag05, lag06, and lag07 (the lag01 corresponds to the 2-day moving average concentration of air pollutants concentrations on the present day and previous day, etc.).
Figure 2. ER and 95% CI of daily incidence of different subtypes of stroke associated with one-unit (1 μg/m3) increase in NO2. Single-day lag effects: lag0, lag1, lag2, lag3, lag4, lag5, lag6, and lag7 (lag0 corresponds to the current-day air-pollutant concentration, and lag1 refers to the average concentration of air pollutants on the day before stroke incidence, etc.). Cumulative lag effects: lag01, lag02, lag03, lag04, lag05, lag06, and lag07 (the lag01 corresponds to the 2-day moving average concentration of air pollutants concentrations on the present day and previous day, etc.).
Ijerph 19 06683 g002
Figure 3. Associations of air NO2 with daily incident stroke in different subgroups. ER: the percentage of increase in the daily incidence of stroke associated with one-unit (1 μg/m3) increase in NO2. Single-day lag effects: lag0, lag1, lag2, lag3, lag4, lag5, lag6, and lag7 (lag0 corresponds to the current-day air-pollutant concentration, and lag1 refers to the average concentration of air pollutants on the day before stroke incidence, etc.). Cumulative lag effects: lag01, lag02, lag03, lag04, lag05, lag06, and lag07 (the lag01 corresponds to the 2-day moving average concentration of air-pollutant concentrations on the present day and previous day, etc.).
Figure 3. Associations of air NO2 with daily incident stroke in different subgroups. ER: the percentage of increase in the daily incidence of stroke associated with one-unit (1 μg/m3) increase in NO2. Single-day lag effects: lag0, lag1, lag2, lag3, lag4, lag5, lag6, and lag7 (lag0 corresponds to the current-day air-pollutant concentration, and lag1 refers to the average concentration of air pollutants on the day before stroke incidence, etc.). Cumulative lag effects: lag01, lag02, lag03, lag04, lag05, lag06, and lag07 (the lag01 corresponds to the 2-day moving average concentration of air-pollutant concentrations on the present day and previous day, etc.).
Ijerph 19 06683 g003
Figure 4. Associations of NO2 with the daily incidence of stroke after adjusting for the interference effects of other air pollution. ER: the percentage increase in the daily incidence of stroke associated with one-unit (1 μg/m3) increase in NO2. Single-day lag effects: lag0, lag1, lag2, lag3, lag4, lag5, lag6, and lag7 (lag0 corresponds to the current-day air-pollutant concentration, and lag1 refers to the average concentration of air pollutants on the day before stroke incidence, etc.). Cumulative lag effects: lag01, lag02, lag03, lag04, lag05, lag06, and lag07 (lag01 corresponded to the 2-day moving average concentration of air pollutants concentrations on the present day and previous day, etc.).
Figure 4. Associations of NO2 with the daily incidence of stroke after adjusting for the interference effects of other air pollution. ER: the percentage increase in the daily incidence of stroke associated with one-unit (1 μg/m3) increase in NO2. Single-day lag effects: lag0, lag1, lag2, lag3, lag4, lag5, lag6, and lag7 (lag0 corresponds to the current-day air-pollutant concentration, and lag1 refers to the average concentration of air pollutants on the day before stroke incidence, etc.). Cumulative lag effects: lag01, lag02, lag03, lag04, lag05, lag06, and lag07 (lag01 corresponded to the 2-day moving average concentration of air pollutants concentrations on the present day and previous day, etc.).
Ijerph 19 06683 g004
Table 1. Descriptive statistics for daily incidence of stroke, air pollutant concentrations, and meteorological factors in Enshi city, 2015–2018.
Table 1. Descriptive statistics for daily incidence of stroke, air pollutant concentrations, and meteorological factors in Enshi city, 2015–2018.
VariablesMean ± SDMinP25MedianP75Max
Daily incidence of stroke
 Total6.25 ± 3.32046819
 Ischemic4.30 ± 2.71024615
 Haemorrhagic1.67 ± 1.4301427
 Other types 10.28 ± 0.5600004
 Elderly 2 4.18 ± 2.53024615
 Non-elderly 3 2.06 ± 1.64012313
 Male3.71 ± 2.30023513
 Female2.53 ± 1.88012410
 Warm season 46.06 ± 3.10046819
 Cold season 56.44 ± 3.53046819
Air pollutants
 PM2.5 (µg/m3)45.98 ± 30.129.1625.0836.9656.08248.96
 PM10 (µg/m3)67.94 ± 38.1416.6041.6957.2982.86292.79
 SO2 (µg/m3)9.68 ± 7.751.585.837.7511.5261.68
 NO2 (µg/m3)21.40 ± 10.213.4414.3419.7327.3172.94
 CO (mg/m3)0.88 ± 0.340.200.640.851.032.53
 O3 (µg/m3)61.21 ± 31.512.6338.6258.9481.83184.31
Meteorological factors
 Temperature (°C)13.89 ± 7.64−4.026.9814.5720.6227.40
 Humidity (%)78.62 ± 9.4842.7171.8079.6486.7494.40
1 Other types are strokes that do not specifically refer to hemorrhage or ischemia. 2 The age ≥ 65 years were defined as elderly group. 3 The age < 65 years were defined as non-elderly. 4 Warm season: April, May, June, July, August, and September. 5 Cold season: October, November, January, December, January, February, and March.
Table 2. Spearman correlation coefficients between daily air-pollutant concentrations and meteorological factors in Enshi city, 2015–2018.
Table 2. Spearman correlation coefficients between daily air-pollutant concentrations and meteorological factors in Enshi city, 2015–2018.
VariablesPM2.5PM10SO2NO2COO3TemperatureHumidity
PM2.51.000
PM100.943 **1.000
SO20.527 **0.474 **1.000
NO20.556 **0.599 **0.351 **1.000
CO0.255 **0.199 **0.095 **0.372 **1.000
O3−0.296 **−0.223 **−0.141 **−0.398 **−0.264 **1.000
Temperature−0.491 **−0.429 **−0.161 **−0.516 **−0.188 **0.615 **1.000
Humidity−0.258 **0.361 **−0.198 **−0.073 **0.208 **−0.436 **−0.056 *1.000
* p < 0.05; ** p < 0.01.
Publisher’s Note: MDPI stays neutral with regard to jurisdictional claims in published maps and institutional affiliations.

Share and Cite

MDPI and ACS Style

Chen, Z.; Wang, B.; Hu, Y.; Dai, L.; Liu, Y.; Wang, J.; Cao, X.; Wu, Y.; Zhou, T.; Cui, X.; et al. Short-Term Effects of Low-Level Ambient Air NO2 on the Risk of Incident Stroke in Enshi City, China. Int. J. Environ. Res. Public Health 2022, 19, 6683. https://doi.org/10.3390/ijerph19116683

AMA Style

Chen Z, Wang B, Hu Y, Dai L, Liu Y, Wang J, Cao X, Wu Y, Zhou T, Cui X, et al. Short-Term Effects of Low-Level Ambient Air NO2 on the Risk of Incident Stroke in Enshi City, China. International Journal of Environmental Research and Public Health. 2022; 19(11):6683. https://doi.org/10.3390/ijerph19116683

Chicago/Turabian Style

Chen, Zesheng, Bin Wang, Yanlin Hu, Lan Dai, Yangming Liu, Jing Wang, Xueqin Cao, Yiming Wu, Ting Zhou, Xiuqing Cui, and et al. 2022. "Short-Term Effects of Low-Level Ambient Air NO2 on the Risk of Incident Stroke in Enshi City, China" International Journal of Environmental Research and Public Health 19, no. 11: 6683. https://doi.org/10.3390/ijerph19116683

APA Style

Chen, Z., Wang, B., Hu, Y., Dai, L., Liu, Y., Wang, J., Cao, X., Wu, Y., Zhou, T., Cui, X., & Shi, T. (2022). Short-Term Effects of Low-Level Ambient Air NO2 on the Risk of Incident Stroke in Enshi City, China. International Journal of Environmental Research and Public Health, 19(11), 6683. https://doi.org/10.3390/ijerph19116683

Note that from the first issue of 2016, this journal uses article numbers instead of page numbers. See further details here.

Article Metrics

Back to TopTop