12-Week Exercise Training of Knee Joint and Squat Movement Improves Gait Ability in Older Women
Abstract
1. Introduction
2. Materials and Methods
2.1. Study Design
2.2. Participants
2.3. Exercise Training Program
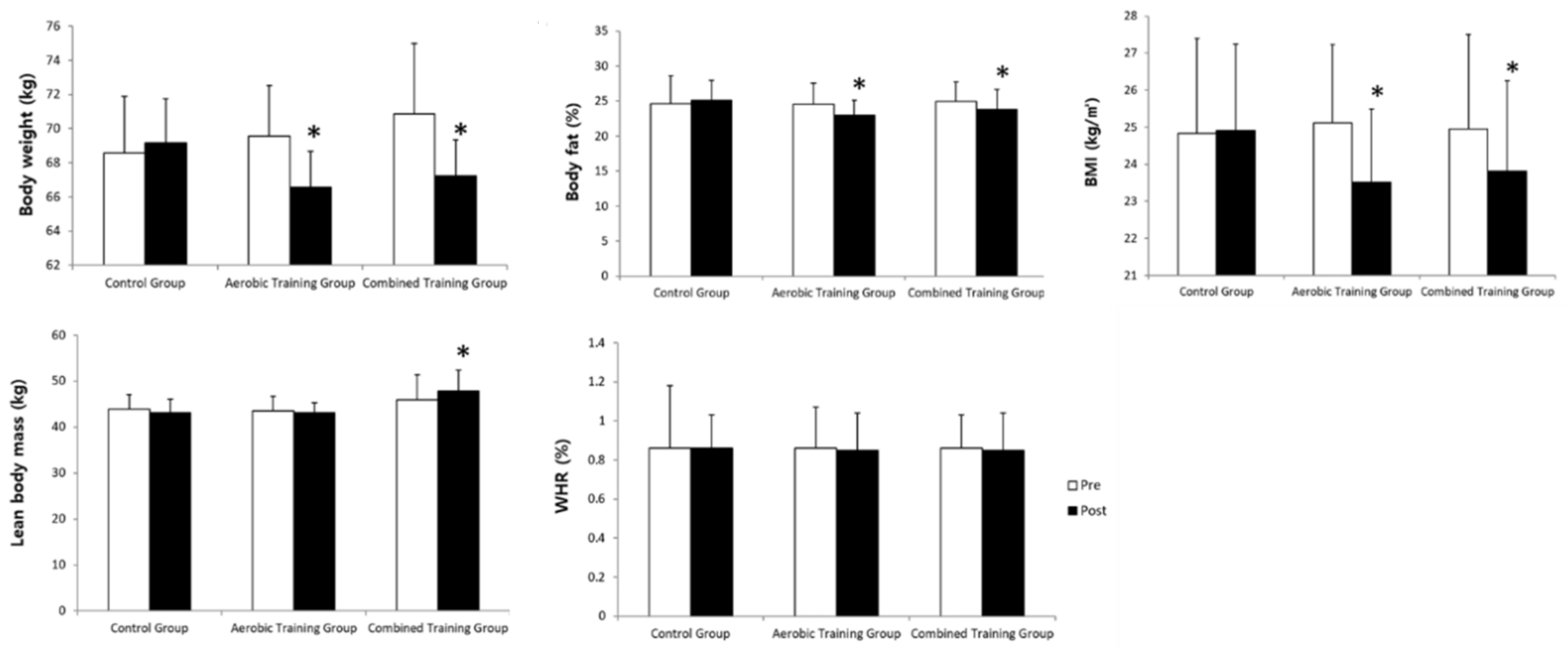
2.4. Body Composition
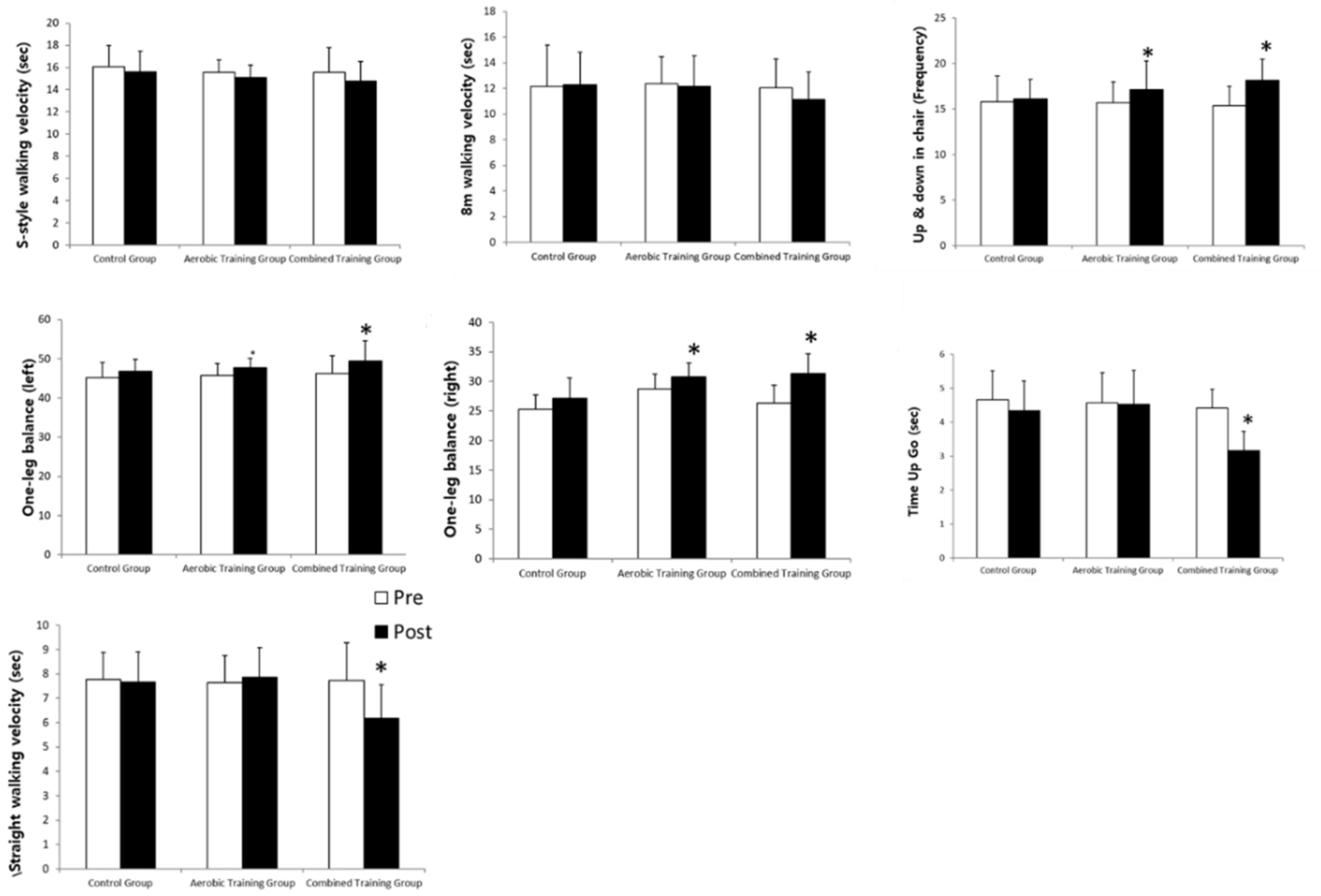
2.5. Health-Related and Gait Ability-Related Physical Fitness
2.6. Ambulatory Competence
2.7. Statistical Analysis
3. Results
4. Discussion
5. Conclusions
Author Contributions
Funding
Institutional Review Board Statement
Informed Consent Statement
Conflicts of Interest
References
- Nutt, J.G. Higher-level gait disorders: An open frontier. Mov. Disord. 2013, 28, 1560–1565. [Google Scholar] [CrossRef]
- Evans, W.J. What is sarcopenia? J. Gerontol. Ser. A 1995, 50A, 5–8. [Google Scholar] [CrossRef]
- Kearney, F.C.; Harwood, R.H.; Gladman, J.R.; Lincoln, N.; Masud, T. The relationship between executive function and falls and gait abnormalities in older adults: A systematic review. Dement. Geriatr. Cogn. Disord. 2013, 36, 20–35. [Google Scholar] [CrossRef]
- Park, J.; Ahn, N.; Kim, K. The relationship between changes of physical fitness and metabolic syndrome index after the exercise program in elderly women. J. Coach. Dev. 2017, 19, 67–74. [Google Scholar]
- Ahn, N.; Kim, K. Effects of elastic band resistance exercise on sexual hormone, dehydroepiandosterone-sulfate concentration and walking ability in elderly women. J. Coach. Dev. 2018, 20, 83–89. [Google Scholar] [CrossRef]
- Jerome, G.J.; Ko, S.U.; Kauffman, D.; Studenski, S.A.; Ferrucci, L.; Simonsick, E.M. Gait characteristics associated with walking speed decline in older adults: Results from the Baltimore Longitudinal Study of Aging. Arch. Gerontol. Geriatr. 2015, 60, 239–243. [Google Scholar] [CrossRef] [PubMed]
- Vieira, A.I.; Nogueira, D.; Reis, E.; Rosado, M.; Nunes, M.V.; Castro-Caldas, A. Hand tactile discrimination, social touch and frailty criteria in elderly people: A cross sectional observational study. Arch. Gerontol. Geriatr. 2016, 66, 73–81. [Google Scholar] [CrossRef]
- Wu, T.Y.; Chie, W.C.; Yang, R.S.; Kuo, K.L.; Wong, W.K.; Liaw, C.K. Risk factors for single and recurrent falls: A prospective study of falls in community dwelling seniors without cognitive impairment. Prev. Med. 2013, 57, 511–517. [Google Scholar] [CrossRef]
- Kopec, J.A.; Russell, L.; Sayre, E.C.; Rahman, M.M. Self-reported ability to walk, run, and lift objects among older Canadians rehabilitation research and practice. Arch. Phys. Med. Rehabil. 2017, 98, 1962–1968. [Google Scholar]
- Ramalho, F.; Santos-Rocha, R.; Branco, M.; Moniz-Pereira, V.; André, H.-I.; Veloso, A.P.; Carnide, F. Effect of 6-month community-based exercise interventions on gait and functional fitness of an older population: A quasi-experimental study. Clin. Interv. Aging 2018, 13, 595–606. [Google Scholar] [CrossRef] [PubMed]
- Ju, Y.; Lee, G.; Kim, S.; Choi, M.; Park, J.; Ahn, N.; Kim, K. Evidence for leg-link and squat exercise training equipment development for gait ability in elderly subjects. J. Coach. Dev. 2018, 22, 89–97. [Google Scholar] [CrossRef]
- American College of Sports Medicine. ACSM’s Guidelines for Exercise Testing and Exercise Prescription, 10th ed.; Wolters Kluwer/Lippincott, Williams and Wilkins: Philadelphia, PA, USA, 2017. [Google Scholar]
- Jackson, A.S.; Pollock, M.L.; Ward, A. Generalized equations for predicting body density of women. Med. Sci. Sports Exerc. 1980, 12, 175–181. [Google Scholar] [CrossRef] [PubMed]
- Siri, W.E. Body composition from Fluid spaces and Density: Analysis of Methods. In Techniques for Measuring Body Composition; Brozek, J., Henschel, A., Eds.; National Academy of Sciences National Research Council: Washington, DC, USA, 1961; pp. 223–244. [Google Scholar]
- WHO. The Asia-Pacific Perspective: Redefining Obesity and Its Treatment. International Diabetes Institute, Health Communicatins Australia Pty Limited 2000. Available online: www.obesityasiapacific.com (accessed on 15 August 2020).
- Moniz-Pereira, V.; Carnide, F.; Machado, M.; André, H.I.; Veloso, A.P. Falls in Portuguese older people: Procedures and preliminary results of the study biomechanics of locomotion in the elderly. Acta Reumatol. Port. 2012, 37, 324–332. [Google Scholar] [PubMed]
- Webster, K.E.; Witter, J.E.; Jeller, J.A. Validity of the GaitRite® walkway system for the measurement of averaged and individual step parameters of gait. Gait Posture 2005, 22, 317–321. [Google Scholar] [CrossRef]
- Menz, H.B. Biomechanics of the ageing foot and ankle: A mini-review. Gerontology 2015, 61, 381–388. [Google Scholar] [CrossRef]
- Rose, D.J. Fall Proof: A Comprehensive Balance and Mobility Program; Human Kinetic: Champaign, IL, USA, 2003. [Google Scholar]
- Lble, R.J.; Thomas, S.S.; Higgins, C.; Colliver, J. Stride-dependent changes in gait of older people. J. Neurol. 1991, 238, 1–5. [Google Scholar]
- Prince, F.; Corriveau, H.; Hebert, R.; Winter, D.A. Gait in the elderly. Gait Posture 1997, 5, 128–135. [Google Scholar] [CrossRef]
- Yeo, S.S. Changes of gait variability by the attention demanding task in elderly adults. J. Korean Phys. Therapy 2017, 29, 303–306. [Google Scholar] [CrossRef]
- Hausdorff, J.M.; Rios, D.A.; Edelberg, H.K. Gait variability and fall risk in community-living older adults: A 1-year prospective study. Arch. Phys. Med. Rehabil. 2001, 82, 1050–1056. [Google Scholar] [CrossRef]
- Toulotte, C.; Thevenon, A.; Fabre, C. Effects of training and detraining on the static and dynamic balance in elderly fallers and non-fallers: A pilot study. Disabil. Rehabil. 2006, 28, 125–133. [Google Scholar] [CrossRef]
- Singh, N.B.; Konig, N.; Arampatzis, A.; Heller, M.O.; Taylor, W.R. Extreme levels of noise constitute a key neuromuscular deficit in the elderly. PLoS ONE 2012, 7, e48449. [Google Scholar] [CrossRef]
- Elble, R.J.; Cousins, R.; Leffler, K.; Hughes, L. Gait initiation by patients with lower-half parkinsonism. Brain 1996, 119, 1705–1716. [Google Scholar] [CrossRef] [PubMed]
- Buckley, T.A.; Oldham, J.R.; Munkasy, B.A.; Evans, K.E. Decreased anticipatory postural adjustments during gait initiation acutely post-concussion. Arch. Phys. Med. Rehabil. 2017, 98, 1962–1968. [Google Scholar] [CrossRef] [PubMed]
- Hamacher, D.; Hamacher, D.; Müller, R.; Schega, L.; Zech, A. Exploring phase dependent functional gait variability. Hum. Mov. Sci. 2017, 52, 191–196. [Google Scholar] [CrossRef]
- Iwamoto, J.; Otaka, Y.; Kudo, K.; Takeda, T.; Uzawa, M.; Hirabayahi, K. Efficacy of training program for ambulatory competence in elderly women. Keio J. Med. 2004, 53, 85–89. [Google Scholar] [CrossRef] [PubMed][Green Version]
- Wang, R.Y.; Wang, Y.L.; Cheng, F.Y.; Chao, Y.H.; Chen, C.L.; Yang, Y.R. Effects of combined exercise on gait variability in community-dwelling older adults. Age 2015, 37, 9780. [Google Scholar] [CrossRef] [PubMed]
- Wonneberger, M.; Schmidt, S. Changes of gait parameters following long-term aerobic endurance exercise in mildly disabled MS patients: An exploratory study. Eur. J. Phys. Rehabil. Med. 2015, 51, 755–762. [Google Scholar]
- Burton, E.; Cavalheri, V.; Adams, R.; Browne, C.O.; Bovery-Spencer, P.; Fenton, A.M.; Campbell, B.W.; Hill, K.D. Effectiveness of exercise pro\-grams to reduce falls in older people with dementia living in the com\-munity: A systematic review and meta-analysis. Clin. Interv. Aging 2015, 10, 421–434. [Google Scholar] [CrossRef]
- Osoba, M.Y.; Rao, A.K.; Agrawal, S.K.; Lalwani, A.K. Balance and gait in the elderly: A contemporary review. Laryngosc. Investig. Otolaryngol. 2019, 4, 143–153. [Google Scholar] [CrossRef]
- Sherrington, C.; Fairhall, N.; Wallbank, G.; Tiedemann, A.; Michaleff, Z.; Howard, K.; Clemson, L.; Hopewell, S.; Lamb, S.E. Exercise for preventing falls in older people living in the community (Review). Cochr. Database Syst. Rev. 2019, 1, CD012424. [Google Scholar] [CrossRef]
- Reimann, H.; Ramadan, R.; Fettrow, T.; Hafer, J.F.; Geyer, H.; Jeka, J.J. Interactions between different age-related factors affecting balance control in walking. Front. Sport Act. Living 2020, 2, 94. [Google Scholar] [CrossRef] [PubMed]
- Ahn, N.; Park, J.; Choi, M.; Ju, Y.; Lee, G.; Kim, S.; Kim, K. Changes of body composition and gait ability-related physical fitness after exercise training of leg-link and squat movement in 70-aged women. J. Coach. Dev. 2018, 20, 80–87. [Google Scholar]





| Stage | Time (min) | Exercise Program | Set | Frequency | Intensity |
|---|---|---|---|---|---|
| Warming-up | 5 | Lower back Gluteus stretch (single leg) | |||
| Lower back Gluteus stretch (double leg) | |||||
| Piriformis Gluteus (Medius stretch) | |||||
| Hamstring stretch | |||||
| Quadratus femoris stretch | |||||
| Resistance exercise | 30 | Squat | 3 | 15 | 60~70%/1RM |
| Wide Squat | 3 | 15 | |||
| Tubing band Squat | 3 | 15 | |||
| Tubing band Wide Squat | 3 | 15 | |||
| Single Leg-link exercise | 3 | 15 | |||
| Double Leg-link exercise | 3 | 15 | |||
| Tubing band Leg-link exercise | 3 | 15 | |||
| Aerobic exercise | 20 | Walking & Jogging | 60~70%/HRmax | ||
| Cool-down | 5 | Lumbar rotation stretch | |||
| Lumbar extension Abdominals stretch | |||||
| Cat pose stretch(extension) | |||||
| Cat pose stretch(flexion) |
| Group | Age (year) | Height (cm) | Body Weight (kg) | Body Mass Index (kg/m2) | Body Fat (%) |
|---|---|---|---|---|---|
| Control | 73.45 2.17 | 169.03 4.24 | 68.57 3.33 | 24.84 2.71 | 24.65 3.97 |
| Aerobic Training | 73.11 2.11 | 168.94 1.99 | 69.55 2.96 | 25.12 2.11 | 24.55 2.99 |
| Combined Training | 73.19 2.17 | 168.95 3.95 | 70.87 4.11 | 25.11 3.65 | 23.93 2.81 |
| Item | Control | Aerobic Training | Combined Training | 2-Way Repeated ANOVA (F-Value) | |||||
|---|---|---|---|---|---|---|---|---|---|
| Pre | Post | Pre | Post | Pre | Post | Group | Time | G × T | |
| Step time (left) (s) | 0.54 0.01 | 0.53 0.01 | 0.52 0.01 | 0.52 0.02 | 0.55 0.01 | 0.51 * 0.01 | 2.911 | 3.561 | 5.761 (p < 0.05) |
| Step time (right) (s) | 0.54 0.01 | 0.53 0.01 | 0.56 0.02 | 0.54 0.02 | 0.55 0.01 | 0.51 * 0.01 | 2.897 | 3.119 | 6.717 (p < 0.05) |
| Gait cycle time (left) (s) | 1.15 0.05 | 1.14 0.03 | 1.44 0.03 | 1.43 0.04 | 1.09 0.03 | 1.02 * 0.03 | 2.861 | 4.512 | 5.019 (p < 0.05) |
| Gait cycle time (right) | 1.14 0.06 | 1.13 0.07 | 1.12 0.05 | 1.11 0.03 | 1.08 0.04 | 1.01 * 0.02 | 2.916 | 3.144 | 6.719 (p < 0.05) |
| Single support time (left) (%) | 34.55 1.36 | 34.68 1.56 | 33.44 2.35 | 33.11 2.11 | 35.04 1.15 | 38.17 * 1.21 | 2.865 | 3.412 | 5.910 (p < 0.05) |
| Single support time (right) (%) | 35.34 1.01 | 35.98 1.08 | 35.44 2.35 | 36.79 1.20 | 35.78 1.01 | 38.81 * 0.96 | 2.862 | 3.991 | 6.123 (p < 0.05) |
| Double support time (left) (%) | 28.78 0.95 | 28.61 1.01 | 28.76 1.34 | 27.56 1.23 | 27.45 0.95 | 24.54 * 0.01 | 2.597 | 3.412 | 6.002 (p < 0.05) |
| Double support itme (right) (%) | 27.99 0.87 | 28.75 1.01 | 27.65 1.23 | 28.75 1.29 | 27.89 1.17 | 23.98 * 1.65 | 2.515 | 3.412 | 5.791 (p < 0.05) |
| Ambulation time (s) | 3.21 0.33 | 3.18 0.45 | 3.11 0.56 | 3.00 0.23 | 3.01 0.23 | 2.54 * 0.37 | 2.990 | 3.445 | 6.100 (p < 0.05) |
| Mean Normalized time | 1.05 0.02 | 1.06 0.03 | 1.21 0.04 | 1.29 0.06 | 1.19 0.02 | 1.39 * 0.01 | 2.561 | 2.991 | 5.678 (p < 0.05) |
| Item | Control | Aerobic Training | Combined Training | 2-Way Repeated ANOVA (F-Value) | |||||
|---|---|---|---|---|---|---|---|---|---|
| Pre | Post | Pre | Post | Pre | Post | Group | Time | G × T | |
| Stride width (left) (cm) | 48.55 3.21 | 49.21 3.82 | 49.87 3.45 | 50.65 3.12 | 49.15 3.11 | 55.62 * 2.95 | 2.321 | 2.155 | 8.512 (p < 0.05) |
| Stride width (right) (cm) | 49.44 4.34 | 49.98 4.01 | 49.87 3.22 | 50.12 3.21 | 48.99 2.82 | 55.15 * 3.55 | 2.851 | 1.456 | 6.791 (p < 0.05) |
| Stride length (left) (cm) | 100.12 5.81 | 101.45 6.01 | 100.12 5.89 | 101.12 5.43 | 100.32 4.95 | 110.39 * 6.67 | 2.442 | 2.812 | 6.671 (p < 0.05) |
| Stride length (right) (cm) | 101.35 5.76 | 102.67 5.43 | 101.23 4.34 | 103.45 4.12 | 101.41 5.56 | 111.34 * 5.90 | 2.317 | 3.172 | 8.231 (p < 0.05) |
| Step/Extremity ratio (left) | 0.65 0.02 | 0.66 0.01 | 0.65 0.01 | 0.67 0.01 | 0.64 0.03 | 0.74 * 0.02 | 2.111 | 3.002 | 7.099 (p < 0.05) |
| Step/Extremity ratio (right) | 0.66 0.03 | 0.67 0.02 | 0.66 0.03 | 0.67 0.03 | 0.65 0.01 | 0.72 * 0.08 | 2.213 | 2.656 | 8.919 (p < 0.05) |
| H-H base of support (left) | 8.85 0.01 | 8.31 0.01 | 8.84 0.03 | 8.76 0.04 | 8.34 0.19 | 7.21 0.25 | 2.442 | 3.111 | 3.101 |
| H-H base of support (right) | 8.78 0.01 | 8.28 0.01 | 8.75 0.78 | 8.65 0.89 | 8.29 0.18 | 7.15 0.27 | 2.333 | 2.561 | 2.431 |
Publisher’s Note: MDPI stays neutral with regard to jurisdictional claims in published maps and institutional affiliations. |
© 2021 by the authors. Licensee MDPI, Basel, Switzerland. This article is an open access article distributed under the terms and conditions of the Creative Commons Attribution (CC BY) license (http://creativecommons.org/licenses/by/4.0/).
Share and Cite
Choi, M.; Ahn, N.; Park, J.; Kim, K. 12-Week Exercise Training of Knee Joint and Squat Movement Improves Gait Ability in Older Women. Int. J. Environ. Res. Public Health 2021, 18, 1515. https://doi.org/10.3390/ijerph18041515
Choi M, Ahn N, Park J, Kim K. 12-Week Exercise Training of Knee Joint and Squat Movement Improves Gait Ability in Older Women. International Journal of Environmental Research and Public Health. 2021; 18(4):1515. https://doi.org/10.3390/ijerph18041515
Chicago/Turabian StyleChoi, Myungsoo, Nayoung Ahn, Jusik Park, and Kijin Kim. 2021. "12-Week Exercise Training of Knee Joint and Squat Movement Improves Gait Ability in Older Women" International Journal of Environmental Research and Public Health 18, no. 4: 1515. https://doi.org/10.3390/ijerph18041515
APA StyleChoi, M., Ahn, N., Park, J., & Kim, K. (2021). 12-Week Exercise Training of Knee Joint and Squat Movement Improves Gait Ability in Older Women. International Journal of Environmental Research and Public Health, 18(4), 1515. https://doi.org/10.3390/ijerph18041515

