A Ridesharing Choice Behavioral Equilibrium Model with Users of Heterogeneous Values of Time
Abstract
1. Introduction
2. Literature Review
3. Model Formulation
3.1. Assumptions
- Travelers/users are heterogeneous in terms of their VOTs and can be categorized into finite number of classes according to their VOTs.
- Each traveler owns a vehicle, and they each choose one of the three travel modes to complete his/her trips, i.e., solo driver(s) (SDs), ridesharing driver(s) (RDs), and ridesharing passenger(s) (RPs).
- Each RP takes a ride from only one RD, however each RD may pick up more than one RPs from the same OD pair. The RP’s OD pair may be different from the matched RD’s OD pair.
- The vehicles are uniform, and the vehicle capacity is limited and predetermined.
3.2. Model Description
3.3. Cost Functions
3.3.1. Congestion Cost (Travel Time)
3.3.2. Driving Cost
3.3.3. Inconvenience Cost
3.3.4. Compensations of RDs and Ridesharing Fees of RPs
3.3.5. Path Cost Function
3.4. Nonlinear Complementarity Formulation
4. The Equivalent Variational Inequality Formulation and Existence of the Model Solution
5. Numerical Experiments
5.1. Computational Result
5.2. Sensitivity Analysis
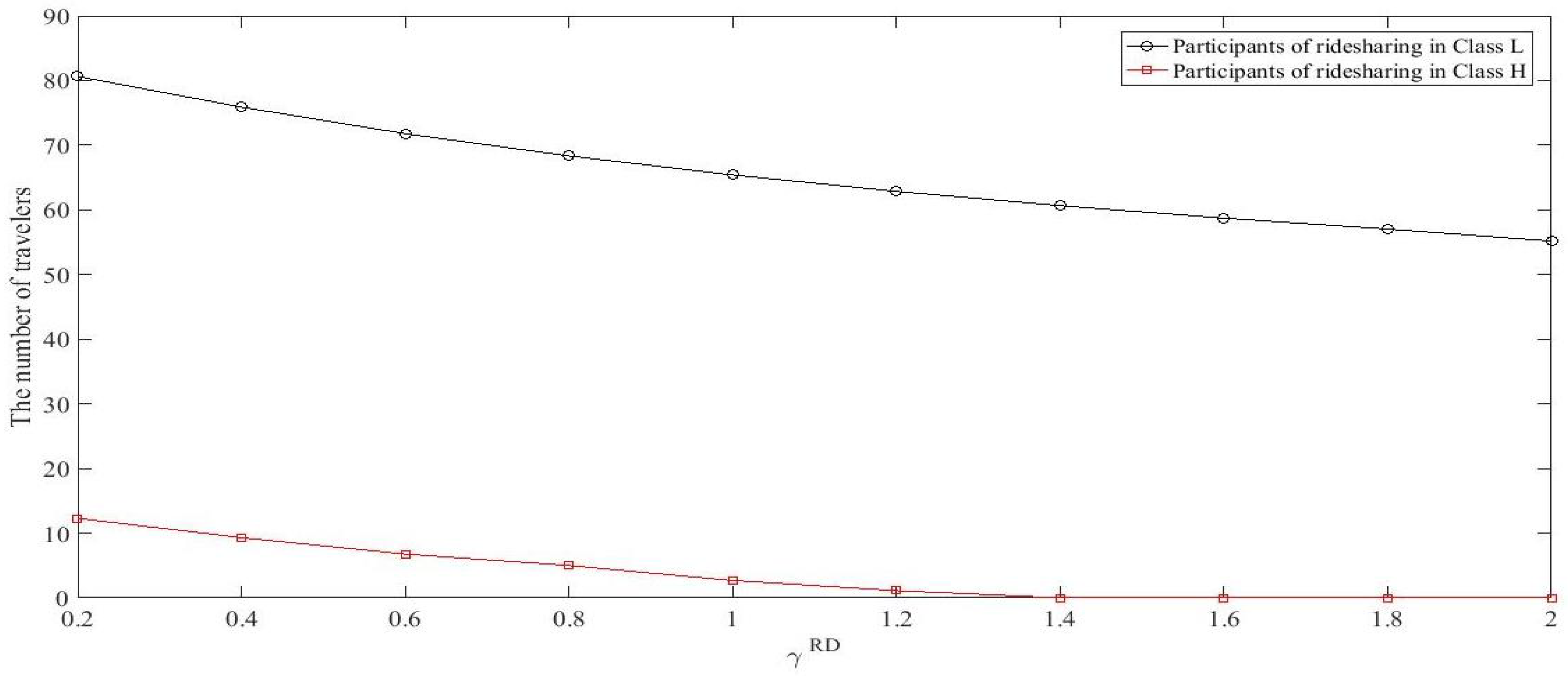
5.3. The Impact of VOTs on Ridesharing
5.4. The Impact of HOT Lane on Ridesharing
6. Conclusions
Author Contributions
Funding
Institutional Review Board Statement
Informed Consent Statement
Acknowledgments
Conflicts of Interest
Abbreviations
| N | the set of nodes |
| A | the set of links, whose index is |
| W | the set of OD pairs, whose index is |
| the set of routs of OD pair | |
| R | the set of routs of all OD pairs |
| number of travelers choosing mode i in class m on link a where | |
| m | a typical user class,,M denotes the number of such traveler classes |
| 1, if link on path and 0, otherwise | |
| vehicle capacity | |
| travel time on link | |
| , | multipliers for ride-matching constraints |
| a parameter for ridesharing passenger in class m to reflect the intolerance to congestion time | |
| , | parameters of inconvenience cost for ridesharing driver and ridesharing passenger, respectively |
| , | parameters of compensation and payment for ridesharing driver and ridesharing passenger, respectively |
| number of links where RDs travel with RPs | |
| guiding price for taking rides or for charging compensation | |
| , | A simplified representation of the inconvenience cost functionsfor ridesharing driver and ridesharing passenger, respectively |
| , | A simplified representation of the compensation function and the payment function for RD and RP, respectively |
| , | the normal travel cost function and the generalized cost function for solo driver in class m on path r |
| , | the normal travel cost function and the generalized cost function for ridesharing driver in class m on path r who travels with ridesharing passenger on path s |
| , | the normal travel cost function and the generalized cost function for ridesharing passenger in class m on path r who shares ride with ridesharing driver on path p |
| travel demand of class m between OD pair w | |
| the minimum generalized path cost for traveler in class m between OD pair w | |
| the average VOT for travelers of class m | |
| n | parameters related to driving cost |
| price of fuel per unit |
References
- Schrank, D.; Eisele, B.; Lomax, T. 2014 Urban Mobility Report: Powered by Inrix Traffic Data; Technical Report; Texas A&M University: Colloege Station, TX, USA, 2015. [Google Scholar]
- Environmental Protection Agency. US transportation sector greenhouse gas emissions: 1990–2011. In Office of Transportation and Air Quality EPA-420-F-13-033a; Environmental Protection Agency: Washington, DC, USA, 2013. [Google Scholar]
- Luo, X.; Dong, L.; Dou, Y.; Li, Y.; Liu, K.; Ren, J.; Liang, H.; Mai, X. Factor decomposition analysis and causal mechanism investigation on urban transport CO2 emissions: Comparative study on Shanghai and Tokyo. Energy Policy 2017, 107, 658–668. [Google Scholar] [CrossRef]
- Tafreshian, A.; Masoud, N.; Yin, Y. Frontiers in Service Science: Ride Matching for Peer-to-Peer Ride Sharing: A Review and Future Directions. Serv. Sci. 2020, 12, 44–60. [Google Scholar] [CrossRef]
- Erdoğan, S.; Cirillo, C.; Tremblay, J.M. Ridesharing as a green commute alternative: A campus case study. Int. J. Sustain. Transp. 2015, 9, 377–388. [Google Scholar] [CrossRef]
- Morency, C. The ambivalence of ridesharing. Transportation 2007, 34, 239–253. [Google Scholar] [CrossRef]
- Stiglic, M.; Agatz, N.; Savelsbergh, M.; Gradisar, M. Making dynamic ride-sharing work: The impact of driver and rider flexibility. Transp. Res. Part E Logist. Transp. Rev. 2016, 91, 190–207. [Google Scholar] [CrossRef]
- Chan, N.D.; Shaheen, S.A. Ridesharing in North America: Past, present, and future. Transp. Rev. 2012, 32, 93–112. [Google Scholar] [CrossRef]
- Furuhata, M.; Dessouky, M.; Ordó nez, F.; Brunet, M.E.; Wang, X.; Koenig, S. Ridesharing: The state-of-the-art and future directions. Transp. Res. Part B Methodol. 2013, 57, 28–46. [Google Scholar] [CrossRef]
- Bimpikis, K.; Candogan, O.; Saban, D. Spatial pricing in ride-sharing networks. Oper. Res. 2019, 67, 744–769. [Google Scholar] [CrossRef]
- Ma, J.; Xu, M.; Meng, Q.; Cheng, L. Ridesharing user equilibrium problem under OD-based surge pricing strategy. Transp. Res. Part B Methodol. 2020, 134, 1–24. [Google Scholar] [CrossRef]
- Li, Y.; Liu, Y.; Xie, J. A path-based equilibrium model for ridesharing matching. Transp. Res. Part B Methodol. 2020, 138, 373–405. [Google Scholar] [CrossRef]
- Fosgerau, M. Investigating the distribution of the value of travel time savings. Transp. Res. Part B Methodol. 2006, 40, 688–707. [Google Scholar] [CrossRef]
- Li, Z.; Hensher, D.A. Estimating values of travel time savings for toll roads: Avoiding a common error. Transp. Policy 2012, 24, 60–66. [Google Scholar] [CrossRef]
- Small, K.A. Valuation of travel time. Econ. Transp. 2012, 1, 2–14. [Google Scholar] [CrossRef]
- Rich, J.; Vandet, C.A. Is the value of travel time savings increasing? Analysis throughout a financial crisis. Transp. Res. Part A Policy Pract. 2019, 124, 145–168. [Google Scholar] [CrossRef]
- Xu, H.; Pang, J.S.; Ordó nez, F.; Dessouky, M. Complementarity models for traffic equilibrium with ridesharing. Transp. Res. Part B Methodol. 2015, 81, 161–182. [Google Scholar] [CrossRef]
- Di, X.; Liu, H.X.; Ban, X.; Yang, H. Ridesharing user equilibrium and its implications for high-occupancy toll lane pricing. Transp. Res. Rec. 2017, 2667, 39–50. [Google Scholar] [CrossRef]
- Di, X.; Ma, R.; Liu, H.X.; Ban, X.J. A link-node reformulation of ridesharing user equilibrium with network design. Transp. Res. Part B Methodol. 2018, 112, 230–255. [Google Scholar] [CrossRef]
- Li, M.; Di, X.; Liu, H.X.; Huang, H.J. A restricted path-based ridesharing user equilibrium. J. Intell. Transp. Syst. 2019, 24, 383–403. [Google Scholar] [CrossRef]
- Long, J.; Tan, W.; Szeto, W.; Li, Y. Ride-sharing with travel time uncertainty. Transp. Res. Part B Methodol. 2018, 118, 143–171. [Google Scholar] [CrossRef]
- Gambella, C.; Monteil, J.; Dekusar, A.; Cabrero Barros, S.; Simonetto, A.; Lassoued, Y. A city-scale IoT-enabled ridesharing platform. Transp. Lett. 2020, 12, 706–712. [Google Scholar] [CrossRef]
- Agatz, N.; Erera, A.L.; Savelsbergh, M.W.; Wang, X. Dynamic ride-sharing: A simulation study in metro Atlanta. Procedia-Soc. Behav. Sci. 2011, 17, 532–550. [Google Scholar] [CrossRef]
- Masoud, N.; Jayakrishnan, R. A real-time algorithm to solve the peer-to-peer ride-matching problem in a flexible ridesharing system. Transp. Res. Part B Methodol. 2017, 106, 218–236. [Google Scholar] [CrossRef]
- Peng, Z.; Shan, W.; Jia, P.; Yu, B.; Jiang, Y.; Yao, B. Stable ride-sharing matching for the commuters with payment design. Transportation 2020, 47, 1–21. [Google Scholar] [CrossRef]
- Benjaafar, S.; Kong, G.; Li, X.; Courcoubetis, C. Peer-to-peer product sharing: Implications for ownership, usage, and social welfare in the sharing economy. Manag. Sci. 2019, 65, 477–493. [Google Scholar] [CrossRef]
- Castillo, J.C.; Knoepfle, D.; Weyl, G. Surge pricing solves the wild goose chase. In Proceedings of the 2017 ACM Conference on Economics and Computation, Cambridge, MA, USA, 26–30 June 2017; pp. 241–242. [Google Scholar]
- Taylor, T.A. On-demand service platforms. Manuf. Serv. Oper. Manag. 2018, 20, 704–720. [Google Scholar]
- Wardrop, J.G. Road paper. some theoretical aspects of road traffic research. Proc. Inst. Civ. Eng. 1952, 1, 325–362. [Google Scholar] [CrossRef]
- Beckmann, M.J.; McGuire, C.B.; Winsten, C.B. Studies in the Economics of Transportation; Yale University Press: London, UK, 1956. [Google Scholar]
- Yang, H.; Huang, H.J. Mathematical and Economic Theory of Road Pricing; Elsevier: Amsterdam, The Netherlands, 2005. [Google Scholar]
- Batista, S.; Leclercq, L. The reference point in dynamic Prospect-based User Equilibrium: A simulation study. Transp. Lett. 2020, 12, 513–527. [Google Scholar] [CrossRef]
- Daganzo, C.F. Equilibrium model for carpools on an urban network. Transp. Res. Rec. 1981, 835, 74–79. [Google Scholar]
- Yang, H.; Huang, H.J. Carpooling and congestion pricing in a multilane highway with high-occupancy-vehicle lanes. Transp. Res. Part A Policy Pract. 1999, 33, 139–155. [Google Scholar] [CrossRef]
- Xu, H.; Ordó nez, F.; Dessouky, M. A traffic assignment model for a ridesharing transportation market. J. Adv. Transp. 2015, 49, 793–816. [Google Scholar] [CrossRef]
- Bahat, O.; Bekhor, S. Incorporating ridesharing in the static traffic assignment model. Netw. Spat. Econ. 2016, 16, 1125–1149. [Google Scholar] [CrossRef]
- Wang, X.; Dessouky, M.; Ordonez, F. A pickup and delivery problem for ridesharing considering congestion. Transp. Lett. 2016, 8, 259–269. [Google Scholar] [CrossRef]
- Arnott, R.; Kraus, M. When are anonymous congestion charges consistent with marginal cost pricing? J. Public Econ. 1998, 67, 45–64. [Google Scholar] [CrossRef]
- Verhoef, E.T.; Small, K.A. Product differentiation on roads. J. Transp. Econ. Policy 2004, 38, 127–156. [Google Scholar]
- Van den Berg, V.; Verhoef, E.T. Congestion tolling in the bottleneck model with heterogeneous values of time. Transp. Res. Part B Methodol. 2011, 45, 60–78. [Google Scholar] [CrossRef]
- Di, X.; Ban, X.J. A unified equilibrium framework of new shared mobility systems. Transp. Res. Part B Methodol. 2019, 129, 50–78. [Google Scholar] [CrossRef]
- Dafermos, S.C.; Sparrow, F.T. The traffic assignment problem for a general network. J. Res. Natl. Bur. Stand. B 1969, 73, 91–118. [Google Scholar] [CrossRef]
- Zhu, S.; Ma, J.; Tang, T.; Shi, Q. A Combined Modal and Route Choice Behavioral Complementarity Equilibrium Model with Users of Vehicles and Electric Bicycles. Int. J. Environ. Res. Public Health 2020, 17, 3704. [Google Scholar] [CrossRef]
- Yang, H.; Huang, H.J. The multi-class, multi-criteria traffic network equilibrium and systems optimum problem. Transp. Res. Part B Methodol. 2004, 38, 1–15. [Google Scholar] [CrossRef]
- Huang, H.J.; Li, Z.C. A multiclass, multicriteria logit-based traffic equilibrium assignment model under ATIS. Eur. J. Oper. Res. 2007, 176, 1464–1477. [Google Scholar] [CrossRef]
- Carrion, C.; Levinson, D. Value of travel time reliability: A review of current evidence. Transp. Res. Part A Policy Pract. 2012, 46, 720–741. [Google Scholar] [CrossRef]
- Larsson, T.; Patriksson, M. Side constrained traffic equilibrium models—Analysis, computation and applications. Transp. Res. Part B Methodol. 1999, 33, 233–264. [Google Scholar] [CrossRef]
- Facchinei, F.; Pang, J.S. Finite-Dimensional Variational Inequalities and Complementarity Problems; Springer Science & Business Media: Berlin/Heidelberg, Germany, 2007. [Google Scholar]
- Yang, H.; Meng, Q. Modeling user adoption of advanced traveler information systems: Dynamic evolution and stationary equilibrium. Transp. Res. Part A Policy Pract. 2001, 35, 895–912. [Google Scholar] [CrossRef]










| OD Pair | OD Pair | |||||
|---|---|---|---|---|---|---|
| Path 1-3-2 | Path 1-4-2 | Path 3-2 | ||||
| R1 | (1-3,3-2) | R7 | (1-4,4-2) | R13 | (3-2) | |
| R2 | (1-3,3-2) | R8 | (1-4,4-2) | R14 | (3-2) | |
| R3 | (1-3,3-2) | R9 | (1-4,4-2) | R15 | (3-2) | |
| R4 | (1-3,3-2) | R10 | (1-4,4-2) | R16 | (3-2) | |
| R5 | (1-3,3-2) | R11 | (1-4,4-2) | R17 | (3-2) | |
| R6 | (1-3,3-2) | R12 | (1-4,4-2) | R18 | (3-2) | |
| R19 | (1-3, 3-2) | R21 | (3-2) | |||
| R20 | (1-3, 3-2) | R22 | (3-2) | |||
| OD Pair 1 | OD Pair 2 | |||||||
|---|---|---|---|---|---|---|---|---|
| Path 1-3-2 | Path 1-4-2 | Path 3-2 | ||||||
| Extended Route | Route Flow | Generalized Cost | Extended Route | Route Flow | Generalized Cost | Extended Route | Route Flow | Generalized Cost |
| R1 | 0.00 | 89.9127 | R7 | 0.00 | 89.9402 | R13 | 0.00 | 56.7126 |
| R2 | 14.01 | 88.6829 | R8 | 31.56 | 88.6829 | R14 | 8.66 | 55.9623 |
| R3 | 7.67 | 88.6248 | R9 | 7.71 | 88.6248 | R15 | 0.00 | 55.4247 |
| R4 | 0.00 | 89.6232 | R10 | 0.00 | 89.6099 | R16 | 8.27 | 55.9623 |
| R5 | 15.35 | 88.6248 | R11 | 15.43 | 88.6248 | R17 | 14.64 | 54.1837 |
| R6 | 0.00 | 91.2948 | R12 | 0.00 | 91.2782 | R18 | 1.90 | 55.9623 |
| R19 | 7.60 | 88.6247 | R21 | 12.24 | 54.1837 | |||
| R20 | 0.67 | 88.6829 | R22 | 4.29 | 55.9623 | |||
| 1.00 | 1.05 | 1.10 | 1.15 | 1.20 | 1.25 | 1.30 | 1.35 | 1.40 | 1.45 | 1.50 | |
| 2.73 | 2.87 | 3.02 | 3.17 | 3.34 | 3.51 | 3.69 | 3.87 | 4.06 | 4.23 | 4.38 | |
| - | - | - | - | - | - | - | 5.16 | 5.19 | 5.22 | 5.27 | |
| 1.55 | 1.60 | 1.65 | 1.70 | 1.75 | 1.80 | 1.85 | 1.90 | 1.95 | 2.00 | ||
| 4.51 | 4.61 | 4.68 | 4.74 | 4.78 | 4.81 | 4.84 | - | - | - | ||
| 5.32 | 5.40 | 5.52 | 5.67 | 5.87 | 6.12 | 6.40 | 6.72 | 7.06 | 7.43 | ||
| OD Pair 1 | OD Pair 2 | ||||
|---|---|---|---|---|---|
| Path 1-3-2 | Path 1-4-2 | Path 3-2 | |||
| R1 | (1-3,3-2) | R7 | (1-4,4-2) | R13 | (3-2) |
| R2 | (1-3,3-2) | R8 | (1-4,4-2) | R14 | (3-2) |
| R3 | (1-3,3-2) | R9 | (1-4,4-2) | R15 | (3-2) |
| R4 | (1-3,3-2) | R10 | (1-4,4-2) | R16 | (3-2) |
| R5 | (1-3,3-2) | R11 | (1-4,4-2) | R17 | (3-2) |
| R6 | (1-3,3-2) | R12 | (1-4,4-2) | R18 | (3-2) |
| R19 | (1-3,3-2) | R21 | (3-2) | ||
| R20 | (1-3,3-2) | R22 | (3-2) | ||
| R23 | (1-3,3-2) | R29 | (3-2) | ||
| R24 | (1-3,3-2) | R30 | (3-2) | ||
| R25 | (1-3,3-2) | R31 | (3-2) | ||
| R26 | (1-3,3-2) | R32 | (3-2) | ||
| R27 | (1-3,3-2) | R33 | (3-2) | ||
| R28 | (1-3,3-2) | R34 | (3-2) | ||
| R35 | (1-3,3-2) | R37 | (3-2) | ||
| R36 | (1-3,3-2) | R38 | (3-2) | ||
Publisher’s Note: MDPI stays neutral with regard to jurisdictional claims in published maps and institutional affiliations. |
© 2021 by the authors. Licensee MDPI, Basel, Switzerland. This article is an open access article distributed under the terms and conditions of the Creative Commons Attribution (CC BY) license (http://creativecommons.org/licenses/by/4.0/).
Share and Cite
Li, X.; Bai, J. A Ridesharing Choice Behavioral Equilibrium Model with Users of Heterogeneous Values of Time. Int. J. Environ. Res. Public Health 2021, 18, 1197. https://doi.org/10.3390/ijerph18031197
Li X, Bai J. A Ridesharing Choice Behavioral Equilibrium Model with Users of Heterogeneous Values of Time. International Journal of Environmental Research and Public Health. 2021; 18(3):1197. https://doi.org/10.3390/ijerph18031197
Chicago/Turabian StyleLi, Xingyuan, and Jing Bai. 2021. "A Ridesharing Choice Behavioral Equilibrium Model with Users of Heterogeneous Values of Time" International Journal of Environmental Research and Public Health 18, no. 3: 1197. https://doi.org/10.3390/ijerph18031197
APA StyleLi, X., & Bai, J. (2021). A Ridesharing Choice Behavioral Equilibrium Model with Users of Heterogeneous Values of Time. International Journal of Environmental Research and Public Health, 18(3), 1197. https://doi.org/10.3390/ijerph18031197
