Patterns of Active Commuting to School in Spanish Preschool Children and Its Associations with Socio-Economic Factors: The PREFIT Project
Abstract
:1. Introduction
2. Materials and Methods
2.1. Study Design and Participants
2.2. Measurements
2.2.1. Commuting to School
2.2.2. Family Socio-Economic Factors
2.3. Statistical Analyses
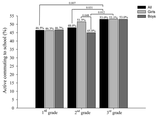
3. Results
4. Discussion
5. Conclusions
Author Contributions
Funding
Institutional Review Board Statement
Informed Consent Statement
Acknowledgments
Conflicts of Interest
References
- Carson, V.; Lee, E.Y.; Hewitt, L.; Jennings, C.; Hunter, S.; Kuzik, N.; Stearns, J.A.; Unrau, S.P.; Poitras, V.J.; Gray, C.; et al. Systematic review of the relationships between physical activity and health indicators in the early years (0–4 years). BMC Public Health 2017, 17, 33–63. [Google Scholar]
- Kuzik, N.; Poitras, V.J.; Tremblay, M.S.; Lee, E.Y.; Hunter, S.; Carson, V. Systematic review of the relationships between combinations of movement behaviours and health indicators in the early years (0–4 years). BMC Public Health 2017, 17, 109–122. [Google Scholar] [CrossRef] [PubMed] [Green Version]
- Tinner, L.; Kipping, R.; White, J.; Jago, R.; Metcalfe, C.; Hollingworth, W. Cross-sectional analysis of physical activity in 2–4-year-olds in England with paediatric quality of life and family expenditure on physical activity. BMC Public Health 2019, 19, 846. [Google Scholar] [CrossRef] [PubMed]
- Sigmundová, D.; Sigmund, E.; Badura, P.; Vokáčová, J.; Trhlíková, L.; Bucksch, J. Weekday-weekend patterns of physical activity and screen time in parents and their pre-schoolers. BMC Public Health 2016, 16, 898. [Google Scholar] [CrossRef] [PubMed] [Green Version]
- Gutierrez-Hervas, A.; Cortés-Castell, E.; Juste-Ruíz, M.; Rizo-Baeza, M. ¿Qué variables influyen en el cumplimiento de las recomendaciones de actividad física en preescolares? An. Pediatría 2020, 92, 156–164. [Google Scholar] [CrossRef] [PubMed]
- Chaput, J.P.; Carson, V.; Gray, C.E.; Tremblay, M.S. Importance of all movement behaviors in a 24 h period for overall health. Int. J. Environ. Res. Public Health 2014, 11, 12575–12581. [Google Scholar] [CrossRef] [PubMed]
- Chillón, P.; Herrador-Colmenero, M.; Migueles, J.H.; Cabanas-Sánchez, V.; Fernández-Santos, J.R.; Veiga, Ó.L.; Castro-Piñero, J.; Marcos, A.; Bandrés, F.; Martínez-Gómez, D.; et al. Convergent validation of a questionnaire to assess the mode and frequency of commuting to and from school. Scand. J. Public Health 2017, 45, 612–620. [Google Scholar] [CrossRef] [PubMed]
- Chillón, P.; Ortega, F.B.; Ruiz, J.R.; Evenson, K.R.; Labayen, I.; Martínez-Vizcaino, V.; Hurtig-Wennlöf, A.; Veidebaum, T.; Sjöström, M. Bicycling to school is associated with improvements in physical fitness over a 6-year follow-up period in Swedish children. Prev. Med. 2012, 55, 108–112. [Google Scholar] [CrossRef] [PubMed]
- Ostergaard, L.; Kolle, E.; Steene-Johannessen, J.; Anderssen, S.A.; Andersen, L.B. Cross sectional analysis of the association between mode of school transportation and physical fitness in children and adolescents. Int. J. Behav. Nutr. Phys. Act. 2013, 10, 91. [Google Scholar] [CrossRef] [PubMed] [Green Version]
- Haapala, E.A.; Poikkeus, A.-M.; Kukkonen-Harjula, K.; Tompuri, T.; Lintu, N.; Väistö, J.; Leppänen, P.H.T.; Laaksonen, D.E.; Lindi, V.; Lakka, T. Associations of Physical Activity and Sedentary Behavior with Academic Skills—A Follow-up Study among Primary School Children. PLoS ONE 2014, 9, e107031. [Google Scholar] [CrossRef] [PubMed]
- Herrador-Colmenero, M.; Villa-González, E.; Chillón, P. Children who commute to school unaccompanied have greater autonomy and perceptions of safety. Acta Paediatr. Int. J. Paediatr. 2017, 106, 2042–2047. [Google Scholar] [CrossRef] [PubMed]
- Huertas-Delgado, F.J.; Herrador-Colmenero, M.; Villa-González, E.; Aranda-Balboa, M.J.; Cáceres, M.V.; Mandic, S.; Chillón, P. Parental perceptions of barriers to active commuting to school in Spanish children and adolescents. Eur. J. Public Health 2017, 27, 416–421. [Google Scholar]
- Mora-Gonzalez, J.; Rodríguez-López, C.; Cadenas-Sanchez, C.; Herrador-Colmenero, M.; Esteban-Cornejo, I.; Huertas-Delgado, F.J.; Ardoy, D.N.; Ortega, F.B.; Chillón, P. Active commuting to school was inversely associated with academic achievement in primary but not secondary school students. Acta Paediatr. 2017, 106, 334–340. [Google Scholar] [PubMed]
- Rothman, L.; Macpherson, A.K.; Howard, A.; Parkin, P.C.; Richmond, S.A.; Birken, C.S. Direct observations of active school transportation and stroller use in kindergarten children. Prev. Med. Rep. 2016, 4, 558–562. [Google Scholar] [PubMed] [Green Version]
- Santaliestra-Pasías, A.M.; Mouratidou, T.; Verbestel, V.; Bammann, K.; Molnar, D.; Sieri, S.; Siani, A.; Veidebaum, T.; Mårild, S.; Lissner, L.; et al. Physical activity and sedentary behaviour in European children: The IDEFICS study. Public Health Nutr. 2014, 17, 2295–2306. [Google Scholar] [PubMed]
- Ruiz-Hermosa, A.; Martínez-Vizcaíno, V.; Solera-Martínez, M.; Andrés, M.M.; García-Prieto, J.C.; Sánchez-López, M. Individual and social factors associated with active commuting to school in 4–6 years old Spanish children. Int. J. Environ. Health Res. 2019, 7, 1–11. [Google Scholar]
- Ruiz-Hermosa, A.; Martínez-Vizcaíno, V.; Alvarez-Bueno, C.; García-Prieto, J.; Pardo-Guijarro, M.; Sánchez-López, M. No Association between Active Commuting to School, Adiposity, Fitness, and Cognition in Spanish Children: The MOVI-KIDS Study. J. Sch. Health 2018, 88, 839–846. [Google Scholar]
- Chillón, P.; Panter, J.R.; Corder, K.; Jones, A.P.; van Sluijs, E.M.F. A longitudinal study of the distance that young people walk to school. Health Place 2015, 31, 133–137. [Google Scholar] [PubMed]
- Rodríguez-López, C.; Salas-Fariña, Z.M.; Villa-González, E.; Borges-Cosic, M.; Herrador-Colmenero, M.; Medina-Casaubón, J.; Ortega, F.B.; Chillón, P. The Threshold Distance Associated with Walking from Home to School. Health Educ. Behav. 2017, 44, 857–866. [Google Scholar]
- Molina-García, J.; García-Massó, X.; Estevan, I.; Queralt, A. Built Environment, Psychosocial Factors and Active Commuting to School in Adolescents: Clustering a Self-Organizing Map Analysis. Int. J. Environ. Res. Public Health 2018, 16, 83. [Google Scholar] [CrossRef] [Green Version]
- Molina-García, J.; Queralt, A. Neighborhood Built Environment and Socioeconomic Status in Relation to Active Commuting to School in Children. J. Phys. Act. Health 2017, 14, 761–765. [Google Scholar] [CrossRef] [PubMed]
- Huertas-Delgado, F.J.; Chillón, P.; Barranco-Ruiz, Y.; Herrador-Colmenero, M.; Rodríguez-Rodríguez, F.; Villa-González, E. Parental perceived barriers to active commuting to school in Ecuadorian youth. J. Transp. Health 2018, 10, 290–296. [Google Scholar] [CrossRef]
- Rodríguez-López, C.; Villa-González, E.; Pérez-López, I.J.; Delgado-Fernández, M.; Ruiz, J.R.; Chillón, P. Family factors influence active commuting to school in Spanish children. Nutr. Hosp. 2013, 28, 756–763. [Google Scholar]
- Corazza, M.V.; D’Alessandro, D.; Di Mascio, P.; Moretti, L. Methodology and evidence from a case study in Rome to increase pedestrian safety along home-to-school routes. J. Traffic Transp. Eng. (Engl. Ed.) 2020, 7, 715–727. [Google Scholar] [CrossRef]
- Huertas-Delgado, F.J.; Molina-García, J.; Van Dyck, D.; Chillon, P. A questionnaire to assess parental perception of barriers towards active commuting to school (PABACS): Reliability and validity. J. Transp. Health. 2019, 12, 97–104. [Google Scholar]
- Oluyomi, A.O.; Lee, C.; Nehme, E.; Dowdy, D.; Ory, M.G.; Hoelscher, D.M. Parental safety concerns and active school commute: Correlates across multiple domains in the home-to-school journey. Int. J. Behav. Nutr. Phys. Act. 2014, 11, 32. [Google Scholar] [CrossRef] [Green Version]
- Henne, H.M.; Tandon, P.S.; Frank, L.D.; Saelens, B.E. Parental factors in children’s active transport to school. Public Health 2014, 128, 643–646. [Google Scholar] [CrossRef] [Green Version]
- Rothman, L.; Macpherson, A.K.; Ross, T.; Buliung, R.N. The decline in active school transportation (AST): A systematic review of the factors related to AST and changes in school transport over time in North America. Prev. Med. 2018, 111, 314–322. [Google Scholar] [PubMed]
- Cadenas-Sanchez, C.; Intemann, T.; Labayen, I.; Peinado, A.B.; Vidal-Conti, J.; Sanchis-Moysi, J.; Moliner-Urdiales, D.; Rodriguez Perez, M.A.; Cañete Garcia-Prieto, J.; Fernández-Santos, J.D.R.; et al. Physical fitness reference standards for preschool children: The PREFIT project. J. Sci. Med. Sport 2019, 22, 430–437. [Google Scholar] [PubMed] [Green Version]
- Cadenas-Sanchez, C.; Martinez-Tellez, B.; Sanchez-Delgado, G.; Mora-Gonzalez, J.; Castro-Piñero, J.; Löf, M.; Ruiz, J.R.; Ortega, F.B. Assessing physical fitness in preschool children: Feasibility, reliability and practical recommendations for the PREFIT battery. J. Sci. Med. Sport 2016, 19, 910–915. [Google Scholar] [CrossRef]
- Ortega, F.B.; Cadenas-Sánchez, C.; Sánchez-Delgado, G.; Mora-González, J.; Martínez-Téllez, B.; Artero, E.G.; Castro-Piñero, J.; Labayen, I.; Chillón, P.; Löf, M.; et al. Systematic Review and Proposal of a Field-Based Physical Fitness-Test Battery in Preschool Children: The PREFIT Battery. Sport. Med. 2015, 45, 533–555. [Google Scholar]
- Ministerio de Sanidad Política Social e Igualdad Encuesta Nacional de Salud 2006. Cuestionario de Adultos. Available online: https://www.mscbs.gob.es/estadEstudios/estadisticas/encuestaNacional/encuestaNac2006/ENS_06_Adultos_definitivo.pdf (accessed on 20 October 2021).
- Lu, C.; Shen, T.; Huang, G.; Corpeleijn, E. Environmental correlates of sedentary behaviors and physical activity in Chinese preschool children: A cross-sectional study. J. Sport Health Sci. 2020, in press. [Google Scholar] [CrossRef] [PubMed]
- Nunes Melo, E.; Barros, M.; Siqueira Reis, R.; Ferreira Hino, A.A.; Meneses Santos, C.; Farias Junior, J.C. Is the environment near school associated with active commuting to school among preschoolers? Rev. Bras. Cineantropometria Desempenho Hum. 2013, 15, 393–404. [Google Scholar]
- Terrón-Pérez, M.; Molina-García, J.; Martínez-Bello, V.E.; Queralt, A. Active commuting to school among preschool-aged children and its barriers: An exploratory study in collaboration with parents. J. Transp. Health 2018, 8, 244–250. [Google Scholar]
- Jauregui, A.; Soltero, E.; Santos-Luna, R.; Hernández-Barrera, L.; Barquera, S.; Jáuregui, E.; Lévesque, L.; López-Taylor, J.; Ortiz-Hernández, L.; Lee, R. A multisite study of environmental correlates of active commuting to school in Mexican children. J. Phys. Act. Health 2016, 13, 325–332. [Google Scholar] [PubMed]
- Brophy, S.; Cooksey, R.; Lyons, R.A.; Thomas, N.E.; Rodgers, S.E.; Gravenor, M.B. Parental factors associated with walking to school and participation in organised activities at age 5: Analysis of the Millennium Cohort Study. BMC Public Health 2011, 11, 14. [Google Scholar] [CrossRef] [Green Version]
- McMillan, T.; Day, K.; Boarnet, M.; Alfonzo, M.; Anderson, C. Johnny Walks to School—Does Jane? Sex Differences in Children’s Active Travel to School. Child. Youth Environ. 2006, 16, 75–89. [Google Scholar]
- Chalabaeva, A.; Sarrazinb, P.; Fontaynea, P.; Boichéc, J.; Clément-Guillotin, C. The influence of sex stereotypes and gender roles on participation andperformance in sport and exercise: Review and future directions. Psychol. Sport Exerc. 2013, 14, 136–144. [Google Scholar] [CrossRef] [Green Version]
- Sallis, J.F.; Owen, N.; Fisher, E.B. Ecological models of health behavior. In Health Behavior and Health Education: Theory, Research, and Practice; Glanz, K., Rimer, B.K., Viswanath, K., Eds.; Jossey-Bass: San Francisco, CA, USA, 2008; pp. 465–485. [Google Scholar]
- Sallis, J.F. Needs and Challenges Related to Multilevel Interventions: Physical Activity Examples. Health Educ. Behav. 2018, 45, 661–667. [Google Scholar]
- Mendoza, J.A.; Liu, Y. Active Commuting to Elementary School and Adiposity: An Observational Study. Child. Obes. 2014, 10, 34–41. [Google Scholar] [CrossRef] [PubMed] [Green Version]
- Fang, C.; Zhang, J.; Zhou, T.; Li, L.; Lu, Y.; Gao, Z.; Quan, M. Associations between Daily Step Counts and Physical Fitness in Preschool Children. J. Clin. Med. 2020, 9, 163. [Google Scholar] [CrossRef] [PubMed] [Green Version]
- Yang, X.; Telama, R.; Hirvensalo, M.; Tammelin, T.; Viikari, J.S.; Raitakari, O.T. Active commuting from youth to adulthood and as a predictor of physical activity in early midlife: The young Finns study. Prev. Med. 2014, 59, 5–11. [Google Scholar]



| All n = 2636 | ACS n = 1301 | No-ACS n = 1335 | p-Value | |
|---|---|---|---|---|
| Age, mean (SD) | 4.57 (0.87) | 4.64 (0.86) | 4.50 (0.87) | <0.001 |
| Gender, % (n) | 0.274 | |||
| Female | 47.2 (1244) | 48.3 (628) | 46.1 (616) | |
| Male | 52.8 (1392) | 51.7 (673) | 53.9 (719) | |
| Commuting time, % (n) | <0.001 | |||
| ≤15 min | 82.7 (2179) | 90.5 (1177) | 75.1 (1002) | |
| >15 min | 17.3 (457) | 9.5 (124) | 24.9 (333) | |
| Grade, % (n) | 0.016 | |||
| 1st grade | 29.7 (783) | 28.0 (364) | 31.4 (419) | |
| 2nd grade | 34.8 (918) | 33.9 (441) | 35.7 (477) | |
| 3rd grade | 35.5 (935) | 38.1 (496) | 32.9 (439) | |
| Marital Status, % (n) | 0.737 | |||
| Single | 20.4 (538) | 20.7 (269) | 20.1 (269) | |
| Married | 79.6 (2098) | 79.3 (1032) | 79.9 (1066) | |
| Father educational level, % (n) | <0.001 | |||
| No studies | 0.1 (3) | 0.2 (3) | 0.0 (0) | |
| Primary | 9.6 (252) | 11.6 (151) | 7.6 (101) | |
| Secondary/Bachelor/Professional training | 28.1 (740) | 30.5 (397) | 25.7 (343) | |
| University | 62.2 (1641) | 57.6 (750) | 66.7 (891) | |
| Mother educational level, % (n) | <0.001 | |||
| No studies | 0.0 (0) | 0.0 (0) | 0.0 (0) | |
| Primary | 6.0 (158) | 8.2 (107) | 3.8 (51) | |
| Secondary/Bachelor/Professional training | 22.4 (591) | 26.4 (343) | 18.6 (248) | |
| University | 71.6 (1887) | 65.4 (851) | 77.6 (1036) | |
| Father profession, % (n) | <0.001 | |||
| Managerial | 11.6 (307) | 9.1 (118) | 14.2 (189) | |
| Skilled worker | 69.2 (1824) | 67.4 (877) | 70.9 (947) | |
| Unskilled worker/Unemployed | 19.2 (505) | 23.5 (306) | 14.9 (199) | |
| Mother profession, % (n) | <0.001 | |||
| Managerial | 7.9 (209) | 7.0 (91) | 8.8 (118) | |
| Skilled worker | 60.3 (1589) | 53.7 (698) | 66.8 (891) | |
| Unskilled worker/Unemployed | 31.8 (838) | 39.4 (512) | 24.4 (326) |
| n | Active Commuting to School | |||
|---|---|---|---|---|
| OR | 95% CI | p-Value | ||
| Age a | 2636 | 1.213 | 1.109–1.328 | <0.001 |
| Gender b | ||||
| Male | 1392 | 1 | Reference | |
| Female | 1244 | 1.094 | 0.935–1.280 | 0.262 |
| Commuting time c | ||||
| >15 min | 457 | 1 | Reference | |
| ≤15 min | 2179 | 3.156 | 2.524–3.947 | <0.001 |
| Grade a | ||||
| 1st grade | 783 | 1 | Reference | |
| 2nd grade | 918 | 1.070 | 0.880–1.300 | 0.498 |
| 3rd grade | 935 | 1.313 | 1.081–1.595 | 0.006 |
| Marital Status | ||||
| Single | 538 | 1 | Reference | |
| Married | 2098 | 0.925 | 0.761–1.124 | 0.430 |
| Father educational level | ||||
| University | 1641 | 1 | Reference | |
| Primary | 252 | 1.764 | 1.336–2.328 | <0.001 |
| Secondary/Bachelor/Professional training | 740 | 1.345 | 1.125–1.608 | 0.001 |
| Mother educational level | ||||
| University | 1887 | 1 | Reference | |
| Primary | 158 | 2.487 | 1.744–3.547 | <0.001 |
| Secondary/Bachelor/Professional training | 591 | 1.628 | 1.345–1.972 | <0.001 |
| Father profession | ||||
| Managerial | 307 | 1 | Reference | |
| Skilled worker | 1824 | 1.472 | 1.143–1.896 | 0.003 |
| Unskilled worker/Unemployed | 505 | 2.389 | 1.773–3.220 | <0.001 |
| Mother profession | ||||
| Managerial | 209 | 1 | Reference | |
| Skilled worker | 1589 | 1.077 | 0.801–1.449 | 0.624 |
| Unskilled worker/Unemployed | 838 | 2.192 | 1.601–3.000 | <0.001 |
Publisher’s Note: MDPI stays neutral with regard to jurisdictional claims in published maps and institutional affiliations. |
© 2021 by the authors. Licensee MDPI, Basel, Switzerland. This article is an open access article distributed under the terms and conditions of the Creative Commons Attribution (CC BY) license (https://creativecommons.org/licenses/by/4.0/).
Share and Cite
Herrador-Colmenero, M.; Cadenas-Sanchez, C.; Labayen, I.; Muntaner-Mas, A.; Moliner-Urdiales, D.; Lozano-Berges, G.; Benito, P.J.; Rodríguez-Pérez, M.A.; Delgado-Alfonso, Á.; Sanchís-Moysi, J.; et al. Patterns of Active Commuting to School in Spanish Preschool Children and Its Associations with Socio-Economic Factors: The PREFIT Project. Int. J. Environ. Res. Public Health 2021, 18, 11180. https://doi.org/10.3390/ijerph182111180
Herrador-Colmenero M, Cadenas-Sanchez C, Labayen I, Muntaner-Mas A, Moliner-Urdiales D, Lozano-Berges G, Benito PJ, Rodríguez-Pérez MA, Delgado-Alfonso Á, Sanchís-Moysi J, et al. Patterns of Active Commuting to School in Spanish Preschool Children and Its Associations with Socio-Economic Factors: The PREFIT Project. International Journal of Environmental Research and Public Health. 2021; 18(21):11180. https://doi.org/10.3390/ijerph182111180
Chicago/Turabian StyleHerrador-Colmenero, Manuel, Cristina Cadenas-Sanchez, Idoia Labayen, Adrià Muntaner-Mas, Diego Moliner-Urdiales, Gabriel Lozano-Berges, Pedro J. Benito, Manuel A. Rodríguez-Pérez, Álvaro Delgado-Alfonso, Joaquín Sanchís-Moysi, and et al. 2021. "Patterns of Active Commuting to School in Spanish Preschool Children and Its Associations with Socio-Economic Factors: The PREFIT Project" International Journal of Environmental Research and Public Health 18, no. 21: 11180. https://doi.org/10.3390/ijerph182111180
APA StyleHerrador-Colmenero, M., Cadenas-Sanchez, C., Labayen, I., Muntaner-Mas, A., Moliner-Urdiales, D., Lozano-Berges, G., Benito, P. J., Rodríguez-Pérez, M. A., Delgado-Alfonso, Á., Sanchís-Moysi, J., Martínez-Vizcaíno, V., & Chillón, P., on behalf of the PREFIT Project Group. (2021). Patterns of Active Commuting to School in Spanish Preschool Children and Its Associations with Socio-Economic Factors: The PREFIT Project. International Journal of Environmental Research and Public Health, 18(21), 11180. https://doi.org/10.3390/ijerph182111180

