Evolutionary Games of Low-Carbon Behaviors of Construction Stakeholders under Carbon Taxes
Abstract
1. Introduction
2. Literature Review
2.1. Low Carbon Behaviors in the Construction Industry
2.2. The Effects of Carbon Tax Policy
2.3. The Application of the Evolutionary Game
3. The Evolutionary Game Model
3.1. Model Assumptions
3.1.1. Players and Strategies
3.1.2. Payoffs
3.2. Static Model Description and Analysis
3.2.1. Basic Model
3.2.2. Model Analysis
3.3. Dynamic Model Description and Analysis
4. Numerical Simulation Analysis
4.1. Parameter Values
4.2. Simulation Results
4.2.1. The Strategies of Players under Static Carbon Tax
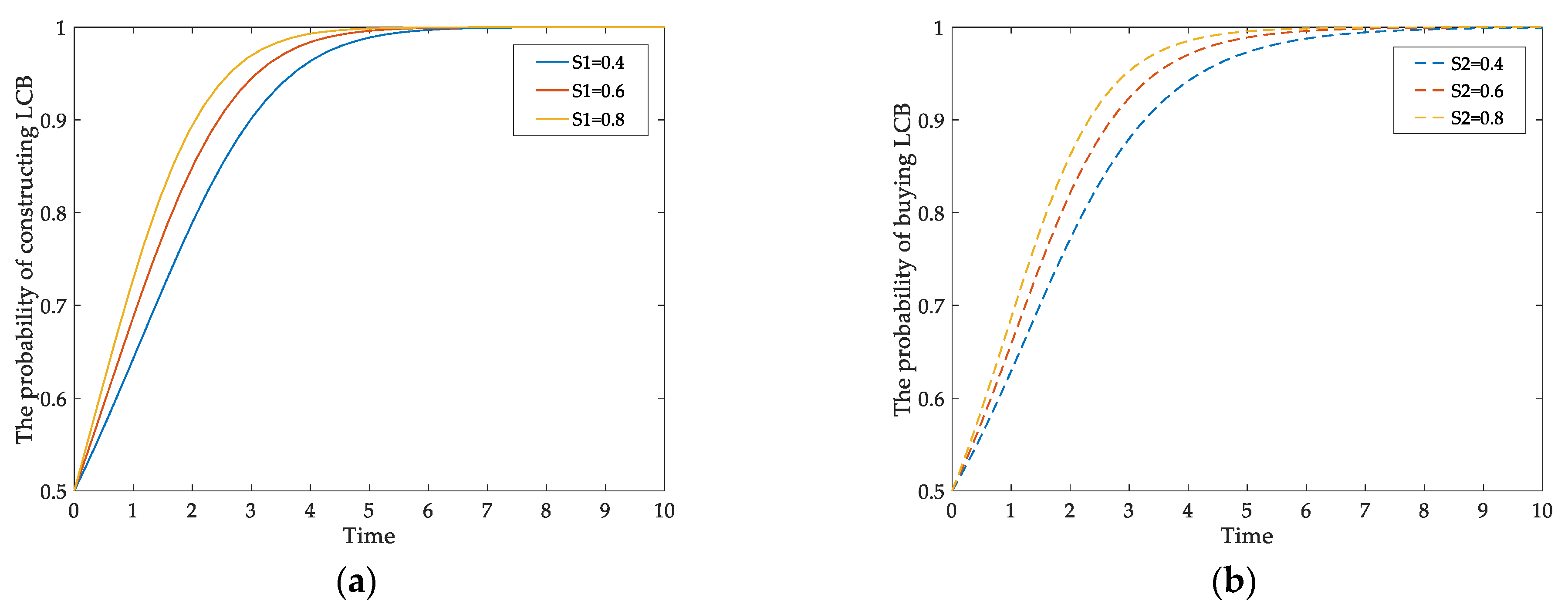
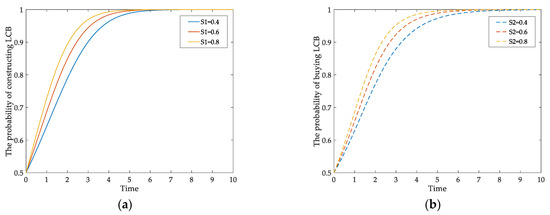
4.2.2. The Mixed Strategies of Players under Different Scenarios
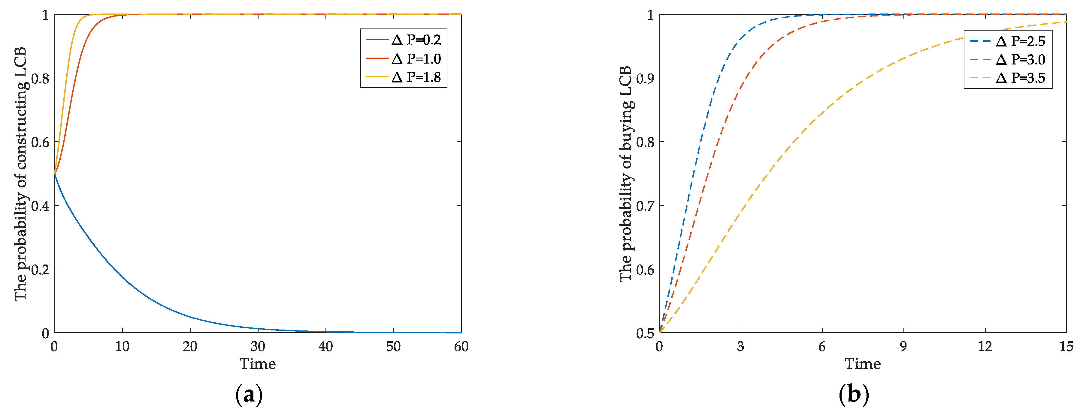
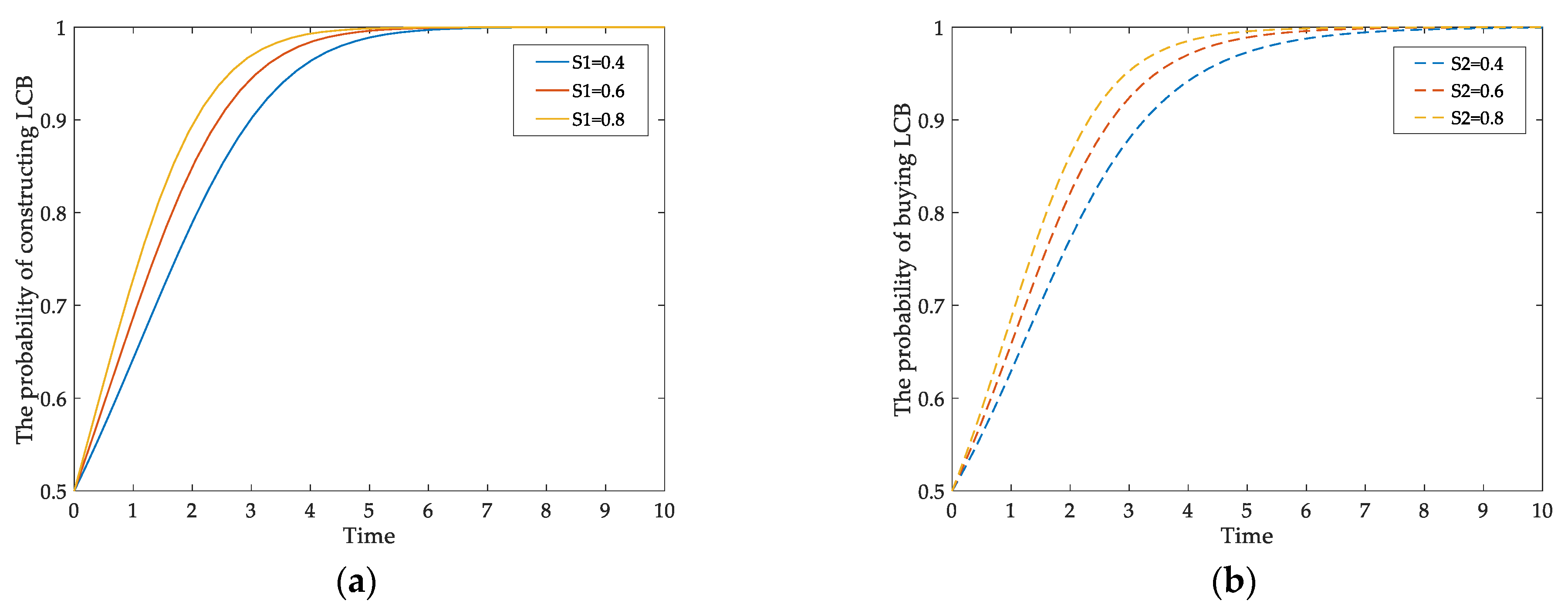
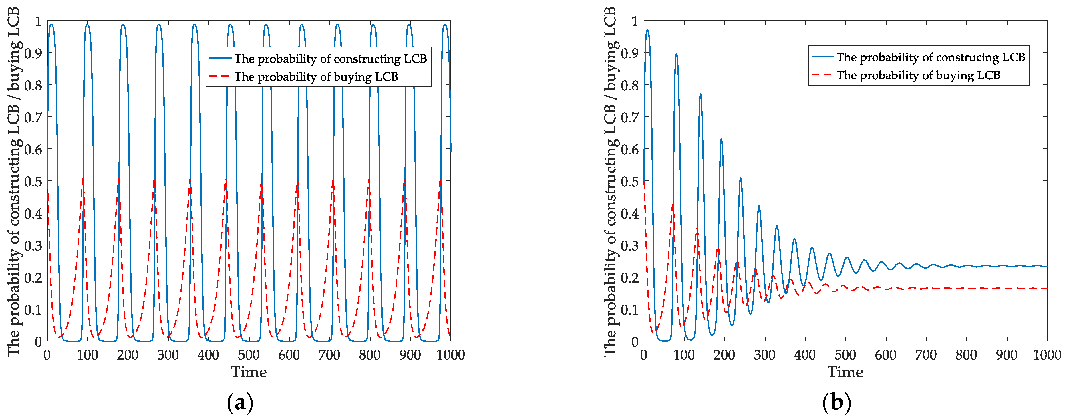
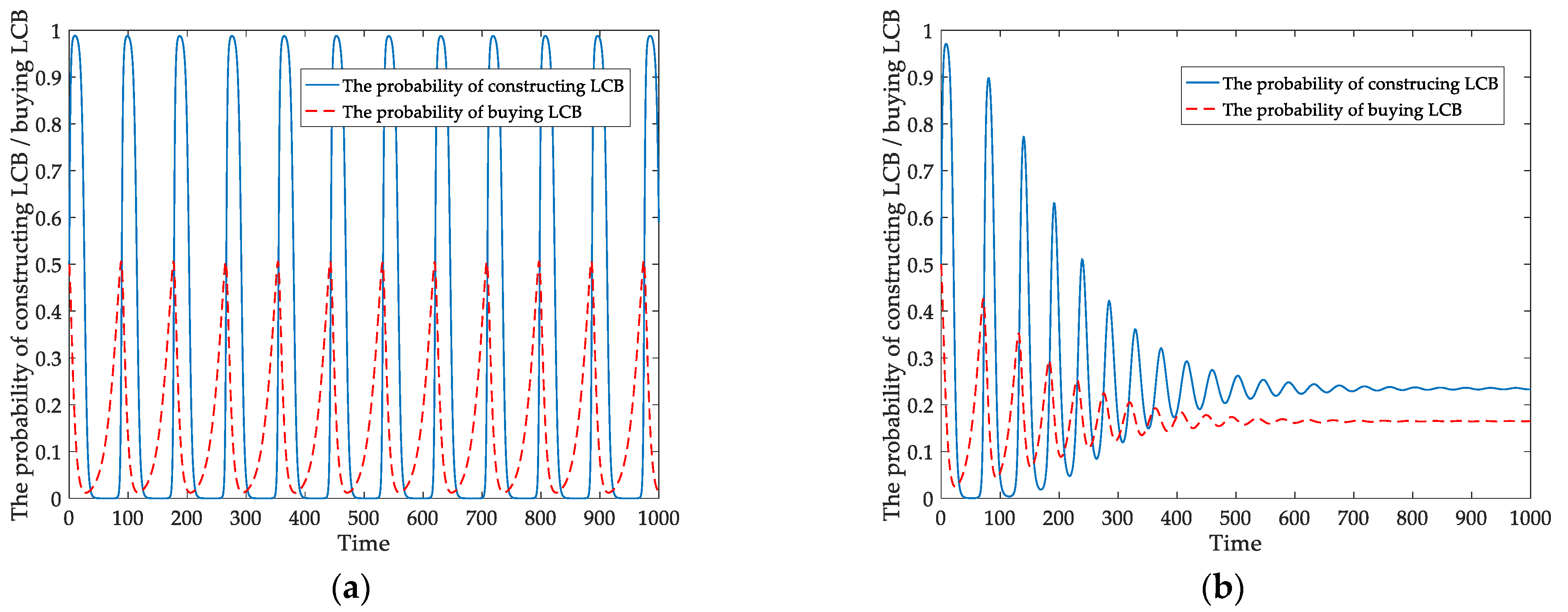
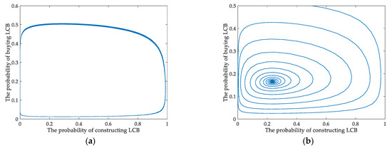
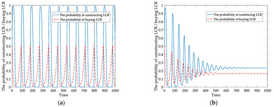
4.2.3. The Behaviors of Players under Different Scenarios
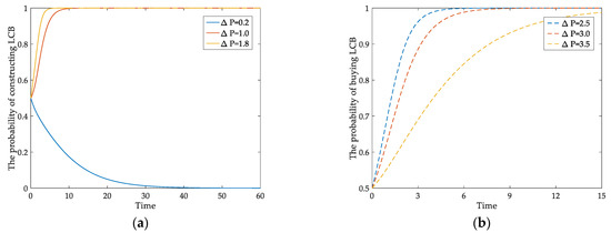
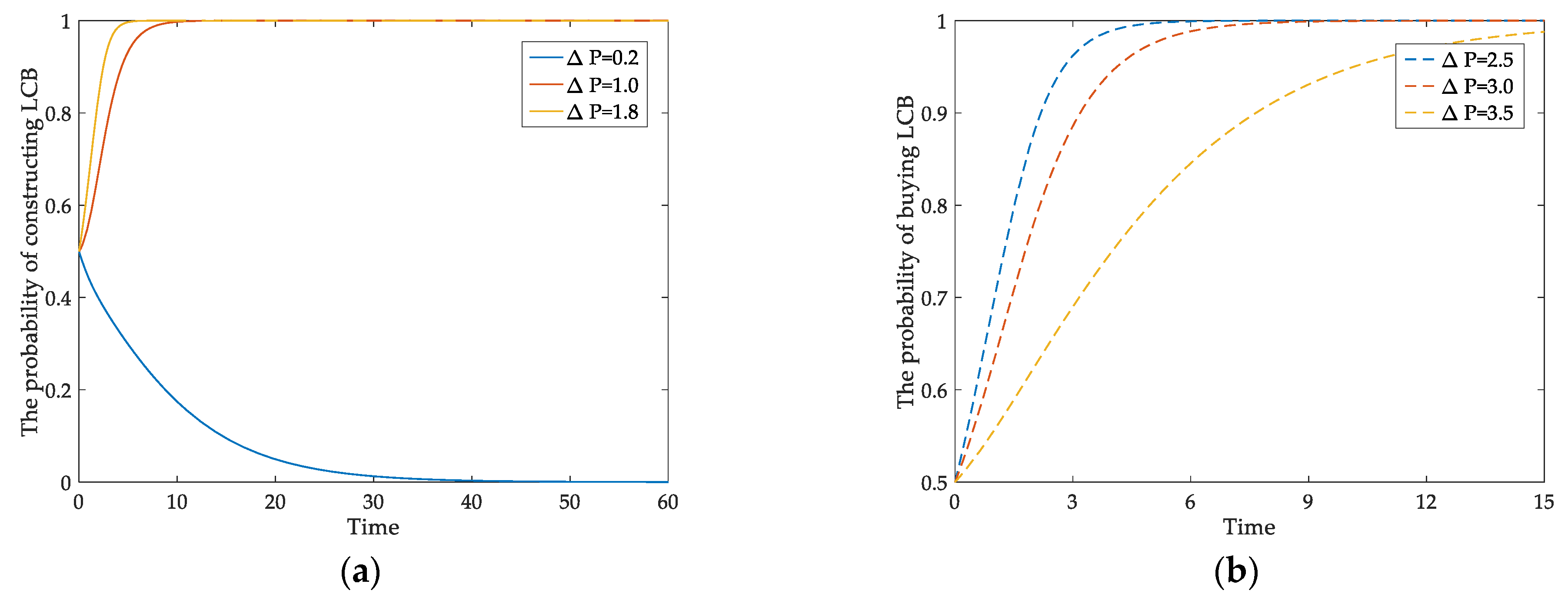
4.2.4. The Evolutionary Path of the Behavior of Developers under Different Carbon Tax Rates (Ct)
5. Discussion
6. Conclusions
Policy Implications
Author Contributions
Funding
Institutional Review Board Statement
Informed Consent Statement
Data Availability Statement
Acknowledgments
Conflicts of Interest
References
- Shi, Q.; Chen, J.; Shen, L. Driving factors of the changes in the carbon emissions in the Chinese construction industry. J. Clean. Prod. 2017, 166, 615–627. [Google Scholar] [CrossRef]
- Zhang, L.; Li, Q.; Zhou, J. Critical factors of low-carbon building development in China’s urban area. J. Clean. Prod. 2017, 142, 3075–3082. [Google Scholar] [CrossRef]
- Zuo, J.; Read, B.; Pullen, S.; Shi, Q. Achieving carbon neutrality in commercial building developments—Perceptions of the construction industry. Habitat Int. 2012, 36, 278–286. [Google Scholar] [CrossRef]
- Qian, Q.K.; Chan, E.H.W.; Choy, L.H.T. How transaction costs affect real estate developers entering into the; building energy efficiency (BEE) market? Habitat Int. 2013, 37, 138–147. [Google Scholar] [CrossRef]
- Zhang, X. Green real estate development in China: State of art and prospect agenda—A review. Renew. Sustain. Energy Rev. 2015, 47, 1–13. [Google Scholar] [CrossRef]
- Lu, J.; Ouyang, H.; Han, L. Evolutionary mechanism of promoting low-carbon transformation of construction enterprises under multi-agent Interaction Games. J. Beijing Inst. Technol. 2019, 21, 23–32. [Google Scholar]
- Huang, N.; Bai, L.; Wang, H.; Du, Q.; Shao, L.; Li, J. Social network analysis of factors influencing green building development in China. Int. J. Environ. Res. Public Health 2018, 15, 2684. [Google Scholar] [CrossRef]
- Chen, W.; Hu, Z.H. Using evolutionary game theory to study governments and manufacturers’ behavioral strategies under various carbon taxes and subsidies. J. Clean. Prod. 2018, 201, 123–141. [Google Scholar] [CrossRef]
- Wang, Q.; Kong, L.; Li, J.; Li, B.; Wang, F. Behavioral evolutionary analysis between the government and uncertified recycler in China’s E-waste recycling management. Int. J. Environ. Res. Public Health 2020, 17, 7221. [Google Scholar] [CrossRef]
- Fan, K.; Hui, E.C.M. Evolutionary game theory analysis for understanding the decision-making mechanisms of governments and developers on green building incentives. Build. Environ. 2020, 179, 106972. [Google Scholar] [CrossRef]
- Yang, X.; Zhang, J.; Shen, G.Q.; Yan, Y. Incentives for green retrofits: An evolutionary game analysis on Public-Private-Partnership reconstruction of buildings. J. Clean. Prod. 2019, 232, 1076–1092. [Google Scholar] [CrossRef]
- Osmani, M.; O’Reilly, A. Feasibility of zero carbon homes in England by 2016: A house builder’s perspective. Build. Environ. 2009, 44, 1917–1924. [Google Scholar] [CrossRef]
- Shen, L.; Zhang, Z.; Zhang, X. Key factors affecting green procurement in real estate development: A China study. J. Clean. Prod. 2017, 153, 372–383. [Google Scholar] [CrossRef]
- Onuoha, I.J.; Aliagha, G.U.; Rahman, M.S.A. Modelling the effects of green building incentives and green building skills on supply factors affecting green commercial property investment. Renew. Sustain. Energy Rev. 2018, 90, 814–823. [Google Scholar] [CrossRef]
- Zalejska-Jonsson, A. Stated WTP and rational WTP: Willingness to pay for green apartments in Sweden. Sustain. Cities Soc. 2014, 13, 46–56. [Google Scholar] [CrossRef]
- Portnov, B.A.; Trop, T.; Svechkina, A.; Ofek, S.; Akron, S.; Ghermandi, A. Factors affecting homebuyers’ willingness to pay green building price premium: Evidence from a nationwide survey in Israel. Build. Environ. 2018, 137, 280–291. [Google Scholar] [CrossRef]
- Zhang, L.; Sun, C.; Liu, H.; Zheng, S. The role of public information in increasing homebuyers’ willingness-to-pay for green housing: Evidence from Beijing. Ecol. Econ. 2016, 129, 40–49. [Google Scholar] [CrossRef]
- Martek, I.; Hosseini, M.R.; Shrestha, A.; Edwards, D.J.; Seaton, S.; Costin, G. End-user engagement: The missing link of sustainability transition for Australian residential buildings. J. Clean. Prod. 2019, 224, 697–708. [Google Scholar] [CrossRef]
- Li, N.; Ma, D.; Chen, W. Quantifying the impacts of decarbonisation in China’s cement sector: A perspective from an integrated assessment approach. Appl. Energy 2017, 185, 1840–1848. [Google Scholar] [CrossRef]
- Cadavid-Giraldo, N.; Velez-Gallego, M.C.; Restrepo-Boland, A. Carbon emissions reduction and financial effects of a cap and tax system on an operating supply chain in the cement sector. J. Clean. Prod. 2020, 275, 122583. [Google Scholar] [CrossRef]
- Shi, Q.; Ren, H.; Cai, W.; Gao, J. How to set the proper level of carbon tax in the context of Chinese construction sector? A CGE analysis. J. Clean. Prod. 2019, 240, 117955. [Google Scholar] [CrossRef]
- Lin, B.; Jia, Z. The energy, environmental and economic impacts of carbon tax rate and taxation industry: A CGE based study in China. Energy 2018, 159, 558–568. [Google Scholar] [CrossRef]
- Khastar, M.; Aslani, A.; Nejati, M.; Bekhrad, K.; Naaranoja, M. Evaluation of the carbon tax effects on the structure of Finnish industries: A computable general equilibrium analysis. Sustain. Energy Technol. Assess. 2020, 37, 100611. [Google Scholar] [CrossRef]
- Zhou, Y.; Fang, W.; Li, M.; Liu, W. Exploring the impacts of a low-carbon policy instrument: A case of carbon tax on transportation in China. Resour. Conserv. Recycl. 2018, 139, 307–314. [Google Scholar] [CrossRef]
- Yenipazarli, A. Managing new and remanufactured products to mitigate environmental damage under emissions regulation. Eur. J. Oper. Res. 2016, 249, 117–130. [Google Scholar] [CrossRef]
- Kuo, T.C.; Hong, I.H.; Lin, S.C. Do carbon taxes work? Analysis of government policies and enterprise strategies in equilibrium. J. Clean. Prod. 2016, 139, 337–346. [Google Scholar] [CrossRef]
- Wang, M.; Li, Y.; Li, M.; Shi, W.; Quan, S. Will carbon tax affect the strategy and performance of low-carbon technology sharing between enterprises? J. Clean. Prod. 2019, 210, 724–737. [Google Scholar] [CrossRef]
- Wang, C.; Wang, W.; Huang, R. Supply chain enterprise operations and government carbon tax decisions considering carbon emissions. J. Clean. Prod. 2017, 152, 271–280. [Google Scholar] [CrossRef]
- Lim, J.S.; Kim, Y.G. Combining carbon tax and R&D subsidy for climate change mitigation. Energy Econ. 2012, 34, S496–S502. [Google Scholar]
- Fan, R.; Dong, L.; Yang, W.; Sun, J. Study on the optimal supervision strategy of government low-carbon subsidy and the corresponding efficiency and stability in the small-world network context. J. Clean. Prod. 2017, 168, 536–550. [Google Scholar] [CrossRef]
- Mahmoudi, R.; Rasti-Barzoki, M. Sustainable supply chains under government intervention with a real-world case study: An evolutionary game theoretic approach. Comput. Ind. Eng. 2018, 116, 130–143. [Google Scholar] [CrossRef]
- Cohen, C.; Pearlmutter, D.; Schwartz, M. A game theory-based assessment of the implementation of green building in Israel. Build. Environ. 2017, 125, 122–128. [Google Scholar] [CrossRef]
- Liu, C.; Huang, W.; Yang, C. The evolutionary dynamics of China’s electric vehicle industry—Taxes vs. subsidies. Comput. Ind. Eng. 2017, 113, 103–122. [Google Scholar] [CrossRef]
- Zhou, X.; Zhao, R.; Cheng, L.; Min, X. Impact of policy incentives on electric vehicles development: A system dynamics-based evolutionary game theoretical analysis. Clean Technol. Environ. Policy 2019, 21, 1039–1053. [Google Scholar] [CrossRef]
- CAFS research group; Selecting appropriate opportunities to levy carbon tax while actively promoting carbon emissions trading. Financ. Res. 2018, 2018, 2–19. [CrossRef]
- Friedman, D.; Econometrica, S.; May, N. Evolutionary Games in Economics Published by: The Econometric Society. Econometrica 1991, 59, 637–666. [Google Scholar] [CrossRef]
- Xiao, T.; Gang, Y.U. Supply chain disruption management and evolutionarily stable strategies of retailers in the quantity-setting duopoly situation with homogeneous goods. Eur. J. Oper. Res. 2006, 173, 648–668. [Google Scholar] [CrossRef]
- Deng, Y.; Jing, W. Economic returns to residential green building investment: The developers’ perspective. Reg. Sci. Urban Econ. 2014, 47, 35–44. [Google Scholar] [CrossRef]
- Zhang, L.; Wu, J.; Liu, H. Turning green into gold: A review on the economics of green buildings. J. Clean. Prod. 2018, 172, 2234–2245. [Google Scholar] [CrossRef]
- Qian, Q.K.; Ke, F.; Chan, E.H.W. Regulatory incentives for green buildings: Gross floor area concessions. Build. Res. Inf. 2016, 44, 675–693. [Google Scholar] [CrossRef]
- Peng, C. Calculation of a building’s life cycle carbon emissions based on Ecotect and building information modeling. J. Clean. Prod. 2016, 112, 453–465. [Google Scholar] [CrossRef]









| Parameters | Descriptions |
|---|---|
| C1 | The cost of developers constructing LCB |
| C0 | The cost of developers constructing CB |
| ∆C | Incremental cost (); The cost of implementing the low-carbon technologies |
| P1 | The price of LCB |
| P0 | The price of CB (without regard to a carbon tax) |
| ∆P | Incremental price () |
| β | Consumers’ environmental awareness |
| E | Friendly environmental and ecological value |
| B | Developers’ pollution compensation for homebuyers |
| S1 | Subsidy for developers who construct LCB |
| S2 | Subsidy for homebuyers who buy LCB |
| e0 | Carbon emissions at the acceptable level |
| eLCB | Carbon emissions produced by building LCB |
| eCB | Carbon emissions produced by building CB |
| Ct | Carbon tax; the price of carbon emission per ton |
| T | Carbon tax on developers who construct CB |
| α | The proportion of the carbon tax taken by homebuyers |
| Developers | Homebuyers | |
|---|---|---|
| Buy LCB (y) | Buy CB (1−y) | |
| Construct LCB (x) | , | , |
| Construct CB (1−x) | , | , |
| Equilibrium Point | det(J) | tr(J) |
|---|---|---|
| (0, 0) | ||
| (0, 1) | ||
| (1, 0) | ||
| (1, 1) | ||
| (x0, y0) | 0 |
| Equilibrium Point | Situation 1 | Situation 2 | Situation 3 | ||||||
| det | tr | State | det | tr | State | det | tr | State | |
| (0, 0) | − | N | Saddle point | + | + | Unstable point | − | N | Saddle point |
| (0, 1) | − | N | Saddle point | − | N | Saddle point | + | − | ESS |
| (1, 0) | + | + | Unstable point | − | N | Saddle point | + | + | Unstable point |
| (1, 1) | + | − | ESS | + | − | ESS | − | N | Saddle point |
| (x0, y0) | meaningless | ||||||||
| Equilibrium Point | Situation 4 | Situation 5 | Situation 6 | ||||||
| det | tr | State | det | tr | State | det | tr | State | |
| (0, 0) | − | N | Saddle point | + | + | Unstable point | − | N | Saddle point |
| (0, 1) | + | − | ESS | − | N | Saddle point | − | N | Saddle point |
| (1, 0) | − | N | Saddle point | + | − | ESS | − | N | Saddle point |
| (1, 1) | + | + | Unstable point | − | N | Saddle point | − | N | Saddle point |
| (x0, y0) | meaningless | + | 0 | central point | |||||
| Equilibrium Point | Symbol of det(J) | Symbol of tr(J) | Results |
|---|---|---|---|
| (0, 0) | - | N | Saddle point |
| (0, 1) | - | N | Saddle point |
| (1, 0) | N | N | Uncertain point |
| (1, 1) | N | N | Uncertain point |
| (x1, y1) | N | - | Asymptotic stable point |
| Parameter | Description |
|---|---|
| ∆C = 1.3 × 102 CNY/m2 | According to the data in the 2015 National Green Building Evaluation Mark Statistical Report, the incremental cost of three-star green buildings averages 135.92 CNY/m2. |
| S1 = 0.8 × 102 CNY/m2 | In 2012, the central government introduced an incentive scheme for the Chinese Green Building Label, which stipulated that the government would give a subsidy of 80 CNY /m2 to developers constructing three-star green buildings. |
| eCB = 0.5 ton | An ordinary building releases approximately 0.5 ton CO2e/m2 throughout its life cycle [41]. |
| e0 = 0.1 ton | Based on the Stern Review of Climate Change Economics, to avoid exceeding the natural ability of the Earth to remove greenhouse gas, emissions must be reduced by 80% from the current level. Hence, LCBs should reduce emissions by at least 80% compared to CBs. Therefore, acceptable carbon emissions are . |
| Ct = 0.4 × 102 CNY/ton | According to the Framework Design of China’s Carbon Taxation, the carbon tax would be imposed starting in 2012, and the carbon tax rate may reach 40 CNY/ton in 2020. |
| β = 1 | From the initial assumption and parameter setting, it can be observed that homebuyers’ environmental awareness β appears in the strategy of (Construct LCB, Buy LCB). The low-carbon behaviors of consumers are closely related to their low-carbon awareness, so the value of β is set to 1 when homebuyers buy LCBs. |
Publisher’s Note: MDPI stays neutral with regard to jurisdictional claims in published maps and institutional affiliations. |
© 2021 by the authors. Licensee MDPI, Basel, Switzerland. This article is an open access article distributed under the terms and conditions of the Creative Commons Attribution (CC BY) license (http://creativecommons.org/licenses/by/4.0/).
Share and Cite
Du, Q.; Yan, Y.; Huang, Y.; Hao, C.; Wu, J. Evolutionary Games of Low-Carbon Behaviors of Construction Stakeholders under Carbon Taxes. Int. J. Environ. Res. Public Health 2021, 18, 508. https://doi.org/10.3390/ijerph18020508
Du Q, Yan Y, Huang Y, Hao C, Wu J. Evolutionary Games of Low-Carbon Behaviors of Construction Stakeholders under Carbon Taxes. International Journal of Environmental Research and Public Health. 2021; 18(2):508. https://doi.org/10.3390/ijerph18020508
Chicago/Turabian StyleDu, Qiang, Yunqing Yan, Youdan Huang, Chanchan Hao, and Jiao Wu. 2021. "Evolutionary Games of Low-Carbon Behaviors of Construction Stakeholders under Carbon Taxes" International Journal of Environmental Research and Public Health 18, no. 2: 508. https://doi.org/10.3390/ijerph18020508
APA StyleDu, Q., Yan, Y., Huang, Y., Hao, C., & Wu, J. (2021). Evolutionary Games of Low-Carbon Behaviors of Construction Stakeholders under Carbon Taxes. International Journal of Environmental Research and Public Health, 18(2), 508. https://doi.org/10.3390/ijerph18020508
