The Effects of Urban Natural Environments on Preference and Self-Reported Psychological Restoration of the Elderly
Abstract
1. Introduction
- Representation of the eight PSDs in different types of urban environment as perceived by the elderly.
- Differences in preference and psychological restoration of the elderly among the different types of urban environment.
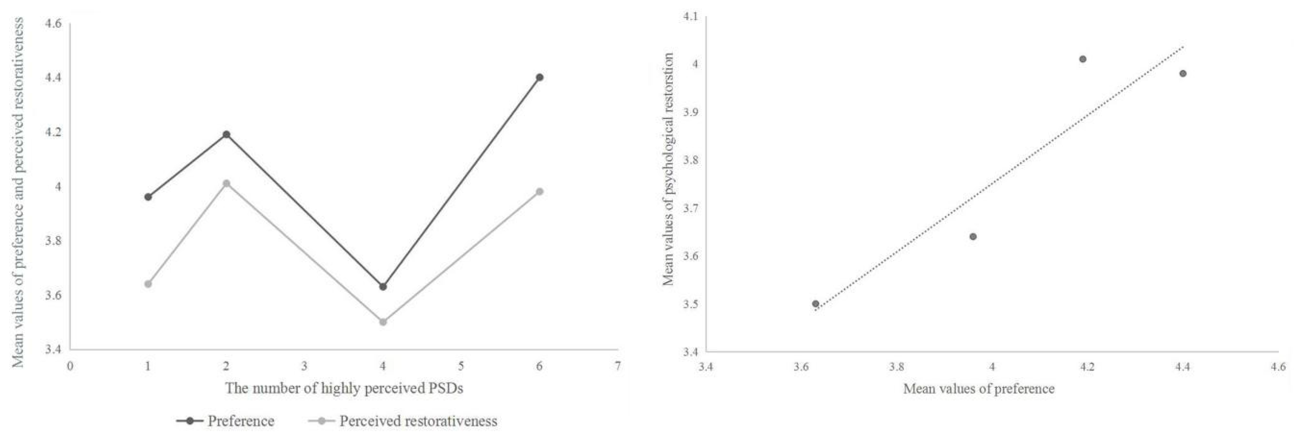
- Relationships between the number of highly perceived PSDs, preference and psychological restoration.
- Relationship between the eight PSDs and psychological restoration in the different types of urban environment.
2. Materials and Methods
2.1. Study Area
2.2. Participants
2.3. Data Collection
2.4. Data Analysis
3. Results
3.1. Demographic Characteristics of the Respondents
3.2. Representation of the Eight PSDs in the Selected Urban Environments
3.3. Differences in Preference and Psychological Restoration among Different Types of Urban Environment
3.3.1. Differences in Landscape Preference among Different Urban Environments
3.3.2. Differences in Perceived Restorativeness among Different Urban Environments
3.4. Relationship between the Number of Highly Perceived PSDs, Preference and Psychological Restoration
3.5. Relationship between the PSDs and Psychological Restoration in the Different Types of Urban Environments
4. Discussion
4.1. Urban Natural Environments that Were More Preferred and More Restorative for the Elderly
4.2. Relationship between the Number of Highly Perceived PSDs, Preference and Psychological Restoration
4.3. The PSDs That Were Associated with Psychological Restoration of the Elderly in Different Environments
4.4. Limitations and Future Research
5. Conclusions
Author Contributions
Funding
Institutional Review Board Statement
Informed Consent Statement
Data Availability Statement
Acknowledgments
Conflicts of Interest
References
- World Health Organization. Ageing and Health. 2018. Available online: http://www.who.int/news-room/fact-sheets/detail/ageing-and-health (accessed on 20 September 2019).
- Wen, C.; Albert, C.; Von Haaren, C. The elderly in green spaces: Exploring requirements and preferences concerning nature-based recreation. Sustain. Cities Soc. 2018, 38, 582–593. [Google Scholar] [CrossRef]
- Cooper, R.; Kuh, D.; Hardy, R.; Mortality Review Group. Objectively measured physical capability levels and mortality: Systematic review and meta-analysis. BMJ 2010, 341, c4467. [Google Scholar] [CrossRef] [PubMed]
- Rooth, V.; Sandra, H.; Oostrom, V.; Dorly, J.H.; Deeg, D.J.; Verschure, W.M.; Picavet, H.S.J. Common trajectories of physical functioning in the doetinchem cohort study. Age Ageing 2016, 45, 382–388. [Google Scholar] [CrossRef] [PubMed]
- Ulrich, R.S.; Simons, R.F.; Losito, B.D.; Fiorito, E.; Miles, M.A.; Zelson, M. Stress recovery during exposure to natural and urban environments. J. Environ. Psychol. 1991, 11, 201–230. [Google Scholar] [CrossRef]
- Kaplan, R.; Kaplan, S. The Experience of Nature; Cambridge University Press: Cambridge, UK, 1989. [Google Scholar]
- Hartig, T.; Korpela, K.; Evans, G.W.; Gärling, T. Validation of a measure of perceived environmental restorativeness. Goteborg. Psychol. Rep. 1996, 26, 1–64. [Google Scholar]
- Bodin, M.; Hartig, T. Does the outdoor environment matter for psychological restoration gained through running? Psychol. Sport Exerc. 2003, 4, 141–153. [Google Scholar] [CrossRef]
- Purcell, T.; Peron, E.; Berto, R. Why do preferences differ between scene types? Environ. Behav. 1998, 33, 93–106. [Google Scholar] [CrossRef]
- Berto, R. Exposure to restorative environments helps restore attentional capacity. J. Environ. Psychol. 2005, 25, 249–259. [Google Scholar] [CrossRef]
- Laumann, K.; Rling, T.G.; Stormark, K.M. Rating scale measures of restorative components of environments. J. Environ. Psychol. 2001, 21, 31–44. [Google Scholar] [CrossRef]
- Jarvis, I.; Koehoorn, M.; Gergel, S.E.; Bosch, M.V.D. Different types of urban natural environments influence various dimensions of self-reported health. Environ. Res. 2020, 186, 109614. [Google Scholar] [CrossRef]
- Dempsey, S.; Devine, M.T.; Gillespie, T.; Lyons, S.; Nolan, A. Coastal blue space and depression in older adults. Health Place 2018, 54, 110–117. [Google Scholar] [CrossRef] [PubMed]
- Keijzer, C.D.; Tonne, C.; Sabia, S.; Basagaa, X.; Valentín, A.; Singh-Manoux, A.; Antó, J.M.; Alonso, J.; Nieuwenhuijsen, M.J.; Sunyer, J.; et al. Green and blue spaces and physical functioning in older adults: Longitudinal analyses of the whitehall ii study. Environ. Int. 2019, 122, 346–356. [Google Scholar] [CrossRef] [PubMed]
- Finlay, J.; Franke, T.; Mckay, H.; Sims-Gould, J. Therapeutic landscapes and wellbeing in later life: Impacts of blue and green spaces for older adult. Health Place 2015, 34, 97–106. [Google Scholar] [CrossRef] [PubMed]
- Van den Berg, A.E.; Jorgensen, A.; Wilson, E.R. Evaluating restoration in urban green spaces: Does setting type make a difference? Landsc. Urban Plan. 2014, 127, 173–181. [Google Scholar] [CrossRef]
- Hoyle, H.; Hitchmough, J.; Jorgensen, A. All about the ‘wow factor’? The relationships between aesthetics, restorative effect and perceived biodiversity in designed urban planting. Landsc. Urban Plan. 2017, 164, 109–123. [Google Scholar] [CrossRef]
- Maikov, K.; Bell, S.; Sepp, K. An evaluation of the design of room characteristics of a sample of healing gardens. WIT Trans. Ecol. Environ. 2008, 138, 223–232. [Google Scholar]
- Van Herzele, A.; Wiedemann, T. A monitoring tool for the provision of accessible and attractive urban green spaces. Landsc. Urban Plan. 2003, 63, 109–126. [Google Scholar] [CrossRef]
- Grahn, P.; Stigsdotter, U.K. The relation between perceived sensory dimensions of urban green space and stress restoration. Landsc. Urban Plan. 2010, 94, 264–275. [Google Scholar] [CrossRef]
- Peschardt, K.K.; Stigsdotter, U.K. Associations between park characteristics and perceived restorativeness of small public urban green spaces. Landsc. Urban Plan. 2013, 112, 26–39. [Google Scholar] [CrossRef]
- Sevenant, M.; Antrop, M. Landscape representation validity: A comparison between on-site observations and photographs with different angles of view. Landsc. Res. 2011, 36, 363–385. [Google Scholar] [CrossRef]
- Palmer, J.F.; Hoffman, R.E. Rating reliability and representation validity in scenic landscape assessments. Landsc. Urban Plan. 2001, 54, 149–161. [Google Scholar] [CrossRef]
- Tosun, C. Host perceptions of impacts: A Comparative Tourism Study. Ann. Tour. Res. 2002, 29, 231–253. [Google Scholar] [CrossRef]
- Faggi, A.; Breuste, J.; Madanes, N.; Gropper, C.; Perelman, P. Water as an appreciated feature in the landscape: A comparison of residents’ and visitors’ preferences in buenos aires. J. Clean. Prod. 2013, 60, 182–187. [Google Scholar] [CrossRef]
- Mears, M.; Brindley, P.; Jorgensen, A.; Ersoy, E.; Maheswaran, R. Greenspace spatial characteristics and human health in an urban environment: An epidemiological study using landscape metrics in Sheffield, UK. Ecol. Indic. 2019, 106, 105464. [Google Scholar] [CrossRef]
- White, M.; Smith, A.; Humphryes, K.; Pahl, S.; Snelling, D.; Depledge, M. Blue space: The importance of water for preference, affect, and restorativeness ratings of natural and built scenes. J. Environ. Psychol. 2010, 30, 482–493. [Google Scholar] [CrossRef]
- White, M.P.; Pahl, S.; Ashbullby, K.; Herbert, S.; Depledge, M.H. Feelings of restoration from recent nature visits. J. Environ. Psychol. 2013, 35, 40–51. [Google Scholar] [CrossRef]
- Foley, R. Performing health in place: The holy well as a therapeutic assemblage. Health Place 2011, 17, 470–479. [Google Scholar] [CrossRef]
- Jiang, B.; Larsen, L.; Deal, B.; Sullivan, W.C. A dose–response curve describing the relationship between tree cover density and landscape preference—ScienceDirect. Landsc. Urban Plan. 2015, 139, 16–25. [Google Scholar] [CrossRef]
- Nordh, H.; Alalouch, C.; Hartig, T. Assessing restorative components of small urban parks using conjoint methodology. Urban For. Urban Green. 2011, 10, 95–103. [Google Scholar] [CrossRef]
- Wheeler, B.W.; Lovell, R.; Higgins, S.L.; White, M.P.; Depledge, M.H. Beyond greenspace: An ecological study of population general health and indicators of natural environment type and quality. Int. J. Health Geogr. 2015, 14, 17. [Google Scholar] [CrossRef]
- Parsons, R.; Daniel, T.C. Good looking: In defense of scenic landscape aesthetics. Landsc. Urban Plan. 2002, 60, 43–56. [Google Scholar] [CrossRef]
- Wang, R.; Zhao, J.; Meitner, M.J.; Hu, Y.; Xu, X. Characteristics of urban green spaces in relation to aesthetic preference and stress recovery. Urban For. Urban Green. 2019, 41, 6–13. [Google Scholar] [CrossRef]
- Kaplan, R. Employees’ reactions to nearby nature at their workplace: The wild and the tame. Landsc. Urban Plan. 2007, 82, 17–24. [Google Scholar] [CrossRef]
- Chiang, Y.-C.; Li, D.; Jane, H.-A. Wild or tended nature? The effects of landscape location and vegetation density on physiological and psychological responses. Landsc. Urban Plan. 2017, 167, 72–83. [Google Scholar] [CrossRef]
- Barnett, D.W.; Barnett, A.; Nathan, A.; Cauwenberg, J.V.; Cerin, E. Built environmental correlates of older adults’ total physical activity and walking: A systematic review and meta-analysis. Int. J. Behav. Nutr. Phys. 2017, 14, 103. [Google Scholar] [CrossRef]
- Yen, I.H.; Fandel Flood, J.; Thompson, H.; Anderson, L.A.; Wong, G. How design of places promotes or inhibits mobility of older adults realist synthesis of 20 years of research. J. Aging Health 2014, 26, 1340–1372. [Google Scholar] [CrossRef]
- Chow, H.W. Outdoor fitness equipment in parks: A qualitative study from older adults’ perceptions. BMC Public Health 2013, 13, 1216. [Google Scholar] [CrossRef]
- Stigsdotter, U.K.; Corazon, S.S.; Sidenius, U.; Refshauge, A.D.; Grahn, P. Forest design for mental health promotion—Using perceived sensory dimensions to elicit restorative responses. Landsc. Urban Plan. 2017, 160, 1–15. [Google Scholar] [CrossRef]
- Abkar, M.; Kamal, M.S.M.; Maulan, S.; Mariapan, M.; Davoodi, S.R. Relationship between the preference and perceived restorative potential of urban landscapes. HortTechnology 2011, 21, 514–519. [Google Scholar] [CrossRef]
- Gao, T.; Zhang, T.; Zhu, L.; Gao, Y.; Qiu, L. Exploring psychophysiological restoration and individual preference in the different environments based on virtual reality. Int. J. Environ. Res. Public Health 2019, 16, 3102. [Google Scholar] [CrossRef]
- Van den Berg, A.E.; Koole, S.L.; Van Der Wulp, N.Y. Environmental preference and restoration: (How) are they related? J. Environ. Psychol. 2003, 23, 135–146. [Google Scholar] [CrossRef]
- Wilkie, S.; Clements, H. Further exploration of environment preference and environment type congruence on restoration and perceived restoration potential. Landsc. Urban Plan. 2018, 170, 314–319. [Google Scholar] [CrossRef]
- Gao, T.; Zhu, L.; Zhang, T.; Song, R.; Zhang, Y.; Qiu, L. Is an environment with high biodiversity the most attractive for human recreation? A case study in Baoji, China. Sustainability 2019, 11, 4086. [Google Scholar] [CrossRef]
- Gao, T.; Song, R.; Zhu, L.; Qiu, L. What characteristics of urban green spaces and recreational activities do self-reported stressed individuals like? A case study of Baoji, China. Int. J. Environ. Res. Public Health 2019, 16, 1348. [Google Scholar] [CrossRef] [PubMed]
- Jensen, F.S. Friluftsliv i det Åbne Land 1994/95 (Outdoor Recreation in the Public Landscape 1994/95); Research Report 25. Forest & Landscape; The Royal Veterinary and Agricultural University: Hørsholm, Denmark, 1998; (In Danish English Summary). [Google Scholar]
- Beard, J.R.; Petitot, C. Ageing and urbanization: Can cities be designed to foster active ageing? Public Health Rev. 2010, 32, 427–450. [Google Scholar] [CrossRef]
- Appleton, J. The Experience of Landscape; John Wiley: London, UK, 1976. [Google Scholar]
- Huang, Q.; Yang, M.; Jane, H.A.; Li, S.; Bauer, N. Trees, grass, or concrete? The effects of different types of environments on stress reduction. Landsc. Urban Plan. 2020, 193, 103654. [Google Scholar] [CrossRef]
- Cornwell, E.Y.; Waite, L. Social disconnectedness, perceived isolation, and health among older adults. J. Health Soc. Behav. 2009, 50, 31–48. [Google Scholar] [CrossRef]
- Lee, H.J.; Lee, D.K. Do sociodemographic factors and urban green space affect mental health outcomes among the urban elderly population? Int. J. Environ. Res. Public Health 2019, 16, 789. [Google Scholar] [CrossRef]
- Thompson Coon, J.; Boddy, K.; Stein, K.; Whear, R.; Barton, J.; Depledge, M.H. Does participating in physical activity in outdoor natural environments have a greater effect on physical and mental wellbeing than physical activity indoors? A systematic review. Environ. Sci. Technol. 2011, 45, 1761–1772. [Google Scholar] [CrossRef]
- Gatersleben, B.; Andrews, M. When walking in nature is not restorative—The role of prospect and refuge. Health Place 2013, 20, 91–101. [Google Scholar] [CrossRef]
- Jiang, B.; Chang, C.Y.; Sullivan, W.C. A dose of nature: Tree cover, stress reduction, and gender differences. Landsc. Urban Plan. 2014, 132, 26–36. [Google Scholar] [CrossRef]
- Artmann, M.; Chen, X.; Iojă, C.; Hof, A.; Onose, D.; Ponizy, L.; Lamovšek, A.Z.; Breuste, J. The role of urban green spaces in care facilities for elderly people across european cities. Urban For. Urban Green. 2017, 27, 203–213. [Google Scholar] [CrossRef]
- Phillips, J.; Walford, N.; Hockey, A.; Foreman, N.; Lewis, M. Older people and outdoor environments: Pedestrian anxieties and barriers in the use of familiar and unfamiliar spaces. Geoforum 2013, 47, 113–124. [Google Scholar] [CrossRef]
- Arnberger, A.; Eder, R. The influence of age and recreational trail preferences of urban green space visitors: A discrete choice experiment with digitally calibrated images. J. Environ. Plan. Manag. 2011, 54, 891–908. [Google Scholar] [CrossRef]
- Lindholst, A.C.; Dempsey, N.; Burton, M. Introducing a method for mapping recreational experience. Proc. Inst. Civil Eng. Urban Des. Plan. 2013, 166, 296–308. [Google Scholar] [CrossRef]
- Carrus, G.; Scopelliti, M.; Lafortezza, R.; Colangelo, G.; Sanesi, G. Go greener, feel better? the positive effects of biodiversity on the well-being of individuals visiting urban and peri-urban green areas. Landsc. Urban Plan. 2015, 134, 221–228. [Google Scholar] [CrossRef]





| Number | Perceived Sensory Dimensions | Key Qualities and Features |
|---|---|---|
| 1 | Serene | The environment is silent and calm; No contact with many people; Not disturbed by traffic noise. |
| 2 | Nature | An environment with natural qualities; Wild and untouched; Free growing. |
| 3 | Rich in species | Various species of plants; Various species of animals, such as birds, insects, etc. |
| 4 | Space | A spacious and free environment; A lot of trees; Not crossed by too many roads and paths. |
| 5 | Prospect | An environment with open views; Vistas over the surroundings; Plane and well-cut grassy surfaces. |
| 6 | Refuge | An environment with many bushes; One can sit and watch other people being active. |
| 7 | Social | An abundance of people and movements in the environment; Possible to watch entertainment or exhibitions. |
| 8 | Culture | Many cultural features, such as fountains, statues, etc; Decorated with ornamental plants or flowers. |
| Level 1 | Level 2 | Characteristics of Each Environment |
|---|---|---|
| Green space (GS) | Open green space (OGS) | <30% canopy cover of trees/shrubs |
| Partly-closed green space (PCGS) | 30%–70% canopy cover of trees/shrubs | |
| Closed green space (CGS) | >70% canopy cover of trees/shrubs | |
| Blue space (BS) | - | Open lake (dominated by water with certain greenery) |
| PSDs | OGS | PCGS | CGS | BS | Total of Mean | Total of Rank | ||||
|---|---|---|---|---|---|---|---|---|---|---|
| Mean | MD | Mean | MD | Mean | MD | Mean | MD | |||
| Serene | 3.13 | 1.17 ** | 3.82 | Reference | 3.82 | 0.21 | 3.78 | Reference | 3.64 | 1 |
| Refuge | 1.75 | 2.57 ** | 3.54 | 0.28 | 3.71 | 0.32 * | 3.53 | 0.25 | 3.13 | 2 |
| Prospect | 4.31 | Reference | 2.73 | 1.09 ** | 1.74 | 2.28 ** | 3.52 | 0.26 | 3.06 | 3 |
| Rich in species | 2.04 | 2.27 ** | 2.85 | 0.97 ** | 3.37 | 0.65 ** | 3.77 | 0.01 | 3.01 | 4 |
| Culture | 2.15 | 2.16 ** | 2.55 | 1.27 ** | 3.53 | 0.50 ** | 3.75 | 0.03 | 2.99 | 5 |
| Nature | 1.64 | 2.76 ** | 2.55 | 1.57 ** | 4.03 | Reference | 3.56 | 0.22 | 2.88 | 6 |
| Space | 2.85 | 1.45 ** | 2.43 | 1.39 ** | 3.33 | 0.69 ** | 2.51 | 1.27 ** | 2.79 | 7 |
| Social | 3.09 | 1.21 ** | 2.19 | 1.64 ** | 2.23 | 1.79 ** | 2.96 | 0.82 ** | 2.61 | 8 |
| Landscape Type | Level of Perception of the Eight PSDs in the Four Urban Natural Environments | ||
|---|---|---|---|
| High | Medium | Low | |
| OGS | Prospect | Serene/Space/Social | Refuge/Rich in species/Culture/Nature |
| PCGS | Serene/Refuge | Prospect/Rich in species/Culture/Nature | Space/Social |
| CGS | Serene/Refuge/Culture/Nature | Rich in species/Space | Prospect/Social |
| BS | Serene/Refuge/Prospect/ Rich in species/Culture/Nature | Space/Social | None |
| Perceived Restorativeness | OGS | PCGS | CGS | BS |
|---|---|---|---|---|
| Being away | Serene/Prospect/Social | Serene | Space/Nature */Refuge | Serene/Refuge |
| (Adjusted R2 = 0.374) | (Adjusted R2 = 0.235) | (Adjusted R2 = 0.575) | (Adjusted R2 = 0.331) | |
| Fascination | Serene/Prospect | Serene/Refuge | Space/Nature */Refuge/Social | Serene/Prospect/Nature |
| (Adjusted R2 = 0.248) | (Adjusted R2 = 0.580) | (Adjusted R2 = 0.463) | (Adjusted R2 = 0.314) | |
| Coherence | Serene/Prospect/Social | Refuge/Nature * | Space/Nature * | Serene/Prospect |
| (Adjusted R2 = 0.323) | (Adjusted R2 = 0.403) | (Adjusted R2 = 0.331) | (Adjusted R2 = 0.390) | |
| Compatibility | Serene/Prospect/Culture | Serene/Refuge | Space/Nature */Refuge | Serene/Refuge/Prospect/Social |
| (Adjusted R2 = 0.419) | (Adjusted R2 = 0.634) | (Adjusted R2 = 0.596) | (Adjusted R2 = 0.534) | |
| Overall restoration | Serene/Prospect/Social | Serene/Refuge | Space/Nature */Refuge | Serene/Refuge/Prospect |
| (Adjusted R2 = 0.433) | (Adjusted R2 = 0.687) | (Adjusted R2 = 0.705) | (Adjusted R2 = 0.540) |
Publisher’s Note: MDPI stays neutral with regard to jurisdictional claims in published maps and institutional affiliations. |
© 2021 by the authors. Licensee MDPI, Basel, Switzerland. This article is an open access article distributed under the terms and conditions of the Creative Commons Attribution (CC BY) license (http://creativecommons.org/licenses/by/4.0/).
Share and Cite
Qiu, L.; Chen, Q.; Gao, T. The Effects of Urban Natural Environments on Preference and Self-Reported Psychological Restoration of the Elderly. Int. J. Environ. Res. Public Health 2021, 18, 509. https://doi.org/10.3390/ijerph18020509
Qiu L, Chen Q, Gao T. The Effects of Urban Natural Environments on Preference and Self-Reported Psychological Restoration of the Elderly. International Journal of Environmental Research and Public Health. 2021; 18(2):509. https://doi.org/10.3390/ijerph18020509
Chicago/Turabian StyleQiu, Ling, Qujing Chen, and Tian Gao. 2021. "The Effects of Urban Natural Environments on Preference and Self-Reported Psychological Restoration of the Elderly" International Journal of Environmental Research and Public Health 18, no. 2: 509. https://doi.org/10.3390/ijerph18020509
APA StyleQiu, L., Chen, Q., & Gao, T. (2021). The Effects of Urban Natural Environments on Preference and Self-Reported Psychological Restoration of the Elderly. International Journal of Environmental Research and Public Health, 18(2), 509. https://doi.org/10.3390/ijerph18020509

