Eco-Friendly Coagulant versus Industrially Used Coagulants: Identification of Their Coagulation Performance, Mechanism and Optimization in Water Treatment Process
Abstract
:1. Introduction
2. Methodology
2.1. Samples of Raw Water
2.2. Coagulant Materials and Preparation Method
Coagulants and Preparations
2.3. Jar Test
2.4. Analysis
2.4.1. Turbidity
2.4.2. Aluminum, Manganese, and Iron(III)
2.4.3. Response Surface Methodology (RSM)
3. Results and Discussion
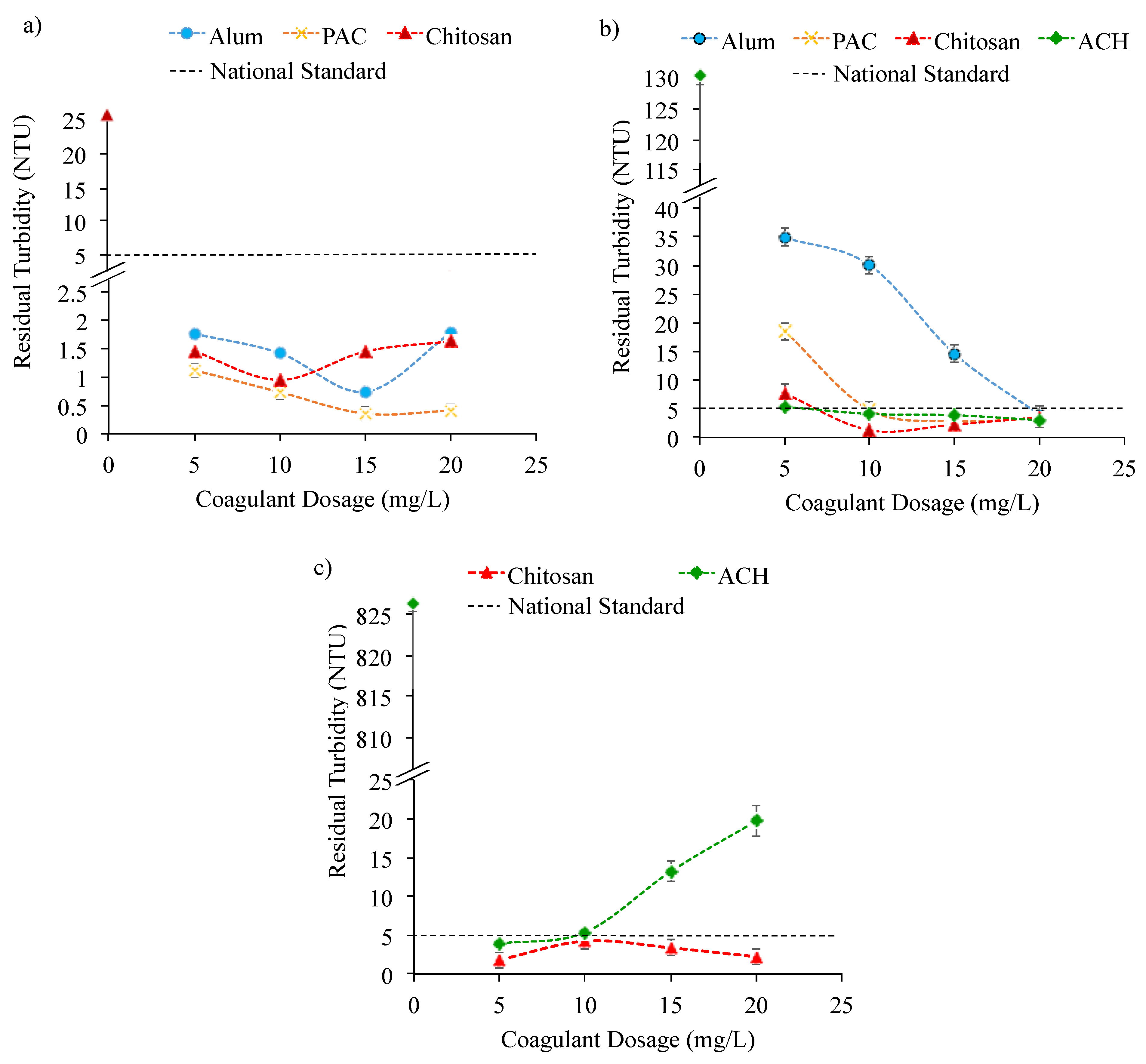
3.1. Effect of Different Turbidity Values
Coagulation–Flocculation Mechanism of Chitosan and Al-Based Coagulant
3.2. Effect of Metals Removal in Treated Water
3.2.1. Raw Water Turbidity of 25.6 NTU
3.2.2. Raw Water Turbidity of 130.30 NTU
3.2.3. Raw Water Turbidity of 826.3 NTU
3.3. Jar Test Optimisation
3.3.1. ANOVA for Response Parameter
3.3.2. Effects of Interaction Factors on the Responses
3.3.3. Model Validation and Comparison with the OFAT Method
4. Conclusions
Supplementary Materials
Author Contributions
Funding
Institutional Review Board Statement
Informed Consent Statement
Data Availability Statement
Conflicts of Interest
References
- Hameeteman, E. Future Water (in) Security: Facts, Figures, and Predictions; Water Congress: Bursa, Turkey, 2013. [Google Scholar]
- Haan, T.Y.; Fen, C.S.; Radzi, M.F.; Ganasen, U. Comparative study for lake water remediation: Chemical coagulation and electrocoagulation. J. Kejuruter. SI 2018, 1, 81–87. [Google Scholar]
- Hasan, H.A.; Muhammad, M.H.; Ismail, N.I. A review of biological drinking water treatment technologies for contaminants removal from polluted water resources. J. Water Process. Eng. 2020, 33, 101035. [Google Scholar] [CrossRef]
- Ang, W.L.; Mohammad, A.W. State of the art and sustainability of natural coagulants in water and wastewater treatment. J. Clean. Prod. 2020, 262, 121267. [Google Scholar] [CrossRef]
- Manda, I.K.M.; Chidya, R.C.G.; Saka, J.D.K.; Biswick, T.T. Comparative assessment of water treatment using polymeric and inorganic coagulants. Phys. Chem. Earth 2016, 93, 119–129. [Google Scholar] [CrossRef]
- Temitope, A.A.; Samuel, L.N.; Abosede, O.O.; Toheeb, I.O.; Temitayo, O.O. Comparative Study on the Use of Moringa Oleifera as Natural Coagulant and Aluminium Sulphate in Restaurant Wastewater Treatment. J. Kejuruter. 2020, 32, 693–698. [Google Scholar]
- Gebbie, P. An Operator’s Guide to Water Treatment Coagulants. In Proceedings of the 64th Annual Water Industry Engineers and Operators’ Conference, Bendigo, Australia, 5–7 September 2006. [Google Scholar]
- Brandt, M.J.; Johnson, K.M.; Elphiston, A.J.; Ratnayaka, D.D. Twort’s Water Supply; Elsevier Ltd.: Amsterdam, The Netherlands, 2017; Chapter 12, pp. 513–552. [Google Scholar]
- Bratby, J. Coagulation and Flocculation in Water and Wastewater Treatment; Water Intelligence Online: London, UK, 2006. [Google Scholar]
- Prakash, N.B.; Sockan, V.; Jayakaran, P. Waste Water Treatment by Coagulation and Flocculation. Certif. Int. J. Eng. Sci. Innov. Technol. 2008, 9001, 2319–5967. [Google Scholar]
- Kurniawan, S.B.; Abdullah, S.R.S.; Imron, M.F.; Said, N.S.M.; Ismail, N.I.; Hasan, H.A.; Othman, A.R.; Purwati, I.F. Challenges and Opportunities of Biocoagulant/Bioflocculant Application for Drinking Water and Wastewater Treatment and Its Potential for Sludge Recovery. Int. J. Environ. Res. Public Health 2020, 17, 9312. [Google Scholar] [CrossRef] [PubMed]
- Lichtfouse, E.; Morin-Crini, N.; Fourmentin, M.; Zemmouri, H.; Nascimento, I.O.D.C. Chitosan for direct bioflocculation of wastewater. Env. Chem. Lett. 2019, 17, 1603–1621. [Google Scholar] [CrossRef]
- Berube, D.; Dorea, C.C. Optimizing Alum Coagulation for Turbidity, Organics and Residual Al Reductions. Water Sci. Technol. Water Supply 2008, 8, 505–511. [Google Scholar] [CrossRef]
- Salleh, S.N.A.M.; Zin, N.S.M.; Othman, N. A review of wastewater treatment using natural material and its potential as aid and composite coagulant. Sains Malays. 2019, 48, 155–164. [Google Scholar] [CrossRef]
- Zouboulis, A.; Traskas, G.; Samaras, P. Comparison of Efficiency between Poly-aluminium Chloride and Aluminium Sulphate Coagulants during Full-scale Experiments in a Drinking Water Treatment Plant. Sep. Sci. Technol. 2007, 43, 1507–1519. [Google Scholar] [CrossRef]
- Tran, N.V.N.; Yu, Q.J.; Nguyen, T.P.; Wang, S.-L. Coagulation of Chitin Production Wastewater from Shrimp Scraps with By-Product Chitosan and Chemical Coagulants. Polymers 2020, 12, 607. [Google Scholar] [CrossRef]
- Bolto, B.; Gregory, J. Organic Polyelectrolytes in Water Treatment. Water Res. 2007, 41, 2301–2342. [Google Scholar] [CrossRef]
- Sun, Y.; Ren, M.; Zhu, C.; Xu, Y.; Zheng, H.; Xiao, X.; Wu, H.; Xia, T.; You, Z. UV-Initiated Graft Copolymerization of Cationic Chitosan-Based Flocculants for Treatment of Zinc Phosphate-Contaminated Wastewater. Ind. Eng. Chem. Res. 2016, 55, 10025–10035. [Google Scholar] [CrossRef]
- Vigneshwaran, S.; Karthikeyan, P.; Sirajudheen, P.; Meenakshi, S. Optimization of sustainable chitosan/Moringa. oleifera as coagulant aid for the treatment of synthetic turbid water—A systemic study. Environ. Chem. Ecotoxicol. 2020, 2, 132–140. [Google Scholar] [CrossRef]
- Yang, Z.L.; Gao, B.Y.; Yue, Q.Y.; Wang, Y. Effect of pH on the coagulation performance of Al-based coagulants and residual aluminum speciation during the treatment of humic acid–kaolin synthetic water. J. Hazard. Mater. 2010, 178, 596–603. [Google Scholar] [CrossRef] [PubMed]
- Sun, Y.; Zhou, S.; Chiang, P.-C.; Shah, K.J. Evaluation and optimization of enhanced coagulation process: Water and energy nexus. Water-Energy Nexus 2019, 2, 25–36. [Google Scholar] [CrossRef]
- Chen, F.; Liu, W.; Pan, Z.; Wang, Y.; Guo, X.; Sun, S.; Jia, R. Characteristics and mechanism of chitosan in flocculation for water coagulation in the Yellow River diversion reservoir. J. Water Process Eng. 2020, 34, 101191. [Google Scholar] [CrossRef]
- Liu, Z.; Wei, H.; Li, A.; Yang, H. Enhanced coagulation of low-turbidity micro-polluted surface water: Properties and optimization. J. Environ. Manag. 2019, 233, 739–747. [Google Scholar] [CrossRef]
- WHO. Drinking Water; World Health Organization: Geneva, Switzerland, 2019. [Google Scholar]
- Whitehead, P.G.; Wilby, R.L.; Battarbee, R.W.; Kernan, M.; Wade, A.J. A review of the potential impacts of climate change on surface water quality. Hydrol. Sci. J. 2009, 54, 101–123. [Google Scholar] [CrossRef]
- Lane, S.N.; Reid, S.C.; Tayefi, V.; Yu, D.; Hardy, R.J. Interactions between sediment delivery, channel change, climate change and flood risk in a temperate upland environment. Earth Surf. Process. Landf. 2007, 32, 429–446. [Google Scholar] [CrossRef]
- Wilby, R.L.; Dalgleish, H.Y.; Foster, I.D.L. The impact of weather patterns on contemporary and historic catchment sediment yields. Earth Surf. Process. Landf. 1997, 22, 353–363. [Google Scholar] [CrossRef]
- Longfield, S.A.; Macklin, M.G. The influence of recent environmental change on flooding and sediment fluxes in the Yorkshire Ouse basin. Hydrol. Process. 1999, 13, 1051–1066. [Google Scholar] [CrossRef]
- Ministry of Health Malaysia. National Standard for Drinking Water Quality; Ministry of Health Malaysia: Kuala Lumpur, Malaysia, 2004.
- Hasan, H.A.; Abdullah, S.R.S.; Kamarudin, S.K.; Kofli, N.T. Problems of ammonia and manganese in malaysian drinking water treatments. World Appl. Sci. J. 2011, 12, 1890–1896. [Google Scholar]
- Yan, M.; Wang, D.; Ni, J.; Qu, J.; Chow, C.W.K.; Liu, H. Mechanism of natural organic matter removal by polyaluminum chloride: Effect of coagulant particle size and hydrolysis kinetics. Water Res. 2008, 42, 3361–3370. [Google Scholar] [CrossRef] [PubMed]
- Malik, Q.H. Performance of alum and assorted coagulants in turbidity removal of muddy water. Appl. Water Sci. 2018, 8, 40. [Google Scholar] [CrossRef]
- Krupinska, I. Aluminium drinking water treatment residuals and their toxic impact on human health. Molecules 2020, 25, 641. [Google Scholar] [CrossRef]
- Maria, A.; Mayasari, E.; Irawati, U. Comparing the effectiveness of chitosan and conventional coagulants for coal wastewater treatment. IOP Conf. Ser. Mater. Sci. Eng. 2020, 980, 12077. [Google Scholar] [CrossRef]
- Renault, F.; Sancey, B.; Badot, P.M.; Crini, G. Chitosan for coagulation/flocculation processes–an eco-friendly approach. Eur. Polym. J. 2009, 45, 48–1337. [Google Scholar] [CrossRef]
- Bhalkaran, S.; Wilson, L.D. Investigation of Self-Assembly Processes for Chitosan-Based Coagulant-Flocculant Systems: A Mini-Review. Int. J. Mol. Sci. 2016, 17, 1662. [Google Scholar] [CrossRef]
- Hesami, F.; Bina, B.; Ebrahimi, A. The effectiveness of chitosan as coagulant aid in turbidity removal from water. Int. J. Environ. Health Eng. 2014, 3, 8. [Google Scholar]
- Ahmad, A.L.; Sumathi, S.; Hameed, B.H. Coagulation of residue oil and suspended solid in palm oil mill effluent by chitosan, alum and PAC. Chem. Eng. J. 2006, 118, 99–105. [Google Scholar] [CrossRef]
- Blockx, J.; Verfaillie, A.; Thielemans, W.; Muylaert, K. Unravelling the Mechanism of Chitosan-Driven Flocculation of Microalgae in Seawater as a Function of Ph. ACS Sustain. Chem. Eng. 2018, 6, 11273–11279. [Google Scholar] [CrossRef]
- Li, Q.; Kegley, L. Assessing the Effectiveness and Environmental Impacts of Using Natural Flocculants to Manage Turbidity; Oregon Department of Transportation Research Unit: Salem, MA, USA, 2005.
- Saritha, V.; Srinivas, N.; Vuppala, N.V.S. Analysis and optimization of coagulation and flocculation process. Appl. Water Sci. 2017, 7, 451–460. [Google Scholar] [CrossRef]
- Yukselen, M.A.; Gregory, J. The effect of rapid mixing on the break-up and re-formation of flocs. J. Chem. Technol. Biot. 2004, 79, 782–788. [Google Scholar] [CrossRef]
- Cheng, W.P.; Chi, F.H.; Yu, R.F.; Lee, Y.C. Using Chitosan as a Coagulant in Recovery of Organic Matters from the Mash and Lauter Wastewater of Brewery. J. Polym. Environ. 2005, 13, 383–388. [Google Scholar] [CrossRef]
- Domard, A.; Rinaudo, M.; Terrassin, C. Adsorption of chitosan and a quaternized derivative on kaolin. Appl. Polym. Sci. 1989, 38, 1799–1806. [Google Scholar] [CrossRef]
- Meraz, K.A.S.; Vargas, S.M.P.; Maldonado, J.T.L.; Bravo, J.M.C.; Guzman, M.T.O.; Maldonado, E.A.L. Eco-friendly innovation for nejayote coagulation-flocculation process using chitosan: Evaluation through Zeta (ζ) potential measurements. Chem. Eng. J. 2016, 284, 536–542. [Google Scholar] [CrossRef]
- Demir, I.; Blockx, J.; Dague, E.; Guiraud, P.; Thielemans, W.; Muylaert, K.; Formosa-Dague, C. Nanoscale Evidence Unravels Microalgae Flocculation Mechanism Induced by Chitosan. ACS Appl. Bio Mater. 2020, 3, 8446–8459. [Google Scholar] [CrossRef]
- Hu, C.Y.; Lo, S.L.; Hang, C.L.C.; Chen, F.L.; Wu, Y.D.; Ma, J.L. Treatment of highly turbid water using chitosan and aluminum salts. Sep. Pur. Technol. 2013, 104, 26–322. [Google Scholar] [CrossRef]
- Chao, H.J.; Zhang, X.; Wang, W.; Li, D.; Ren, Y.; Kang, J.S.; Liu, D. Evaluation of carboxymethylpullulan-AlCl3 as a coagulant for water treatment: A case study with kaolin. Water Environ. Res. 2019, 1, 302–309. [Google Scholar]
- Yang, Z.; Gao, B.; Cao, B.; Xu, W.; Yue, Q. Effect of OH/Al3þ ratio on the coagulation behavior and residual aluminum speciation of polyaluminum chloride (PAC) in surface water treatment. Sep. Pur. Technol. 2011, 80, 59–66. [Google Scholar] [CrossRef]
- Kimura, M.; Matsui, Y.; Kondo, K.; Ishikawa, T.B.; Matsushita, T.; Shirasaki, N. Minimizing residual aluminum concentration in treated water by tailoring properties of polyaluminum coagulants. Water Res. 2013, 47, 2075–2084. [Google Scholar] [CrossRef] [PubMed]
- Nechita, P. Biological Activities and Application of Marine Polysaccharides; Shalaby, E., Ed.; IntechOpen: Cairo, Egypt, 2017. Available online: https://www.intechopen.com/books/5412 (accessed on 23 August 2021).
- Gebbie, P. Using Polyaluminium Coagulants In Water Treatment. In Proceedings of the 64th Annual Water Industry Engineers and Operators’ Conference, All Seasons International Hotel, Bendigo, Australia, 5–6 September 2001. [Google Scholar]
- Naceradska, J.; Pivokonska, L.; Pivokonsky, M. On the Importance of pH value in Coagulation. J. Water Supply Res. Technol.-Aqua 2019, 68, 222–230. [Google Scholar] [CrossRef]
- Ali, M.E.A.; Aboelfadl, M.M.S.; Selim, A.M.; Khalil, H.F.; Elkady, G.M. Chitosan nanoparticles extracted from shrimp shells, application for removal of Fe(II) and Mn(II) from aqueous phases. Sep. Sci. Technol. 2018, 53, 2870–2881. [Google Scholar] [CrossRef]
- Babel, S.; Kurniawan, T.A. Low-cost adsorbents for heavy metals uptake from contaminated water: A review. J. Hazard. Mater. B 2003, 97, 219–243. [Google Scholar] [CrossRef]
- Guibal, E. Interactions of Metal Ions with Chitosan-Based Sorbents: A Review. Sep. Purif. Technol. 2004, 38, 43–74. [Google Scholar] [CrossRef]
- Ghafiri, S.; Aziz, H.A.; Isa, M.H.; Zinatizadeh, A. Application of response surface methodology (RSM) tooptimize coagulation–flocculation treatment of leachateusing poly-aluminum chloride (PAC) and alum. J. Hazard. Mater. 2009, 163, 650–656. [Google Scholar] [CrossRef]
- Tang, X.; Zheng, H.; Teng, H.; Sun, Y.; Guo, J.; Xie, W.; Yang, Q.; Chen, W. Chemical coagulation process for the removal of heavy metals from water: A review. Desalination Water Treat. 2014, 57, 1733–1748. [Google Scholar] [CrossRef]
- Basken, M.B.; Pala, A. Determination of arsenic removal efficiency by ferric ions using response surface methodology. J. Hazard. Mater. 2009, 166, 796–801. [Google Scholar] [CrossRef]
- Yan, M.; Wang, D.; Yu, J.; Ni, J.; Edwards, M.; Qu, J. Enhanced coagulation with polyaluminium chlorides: Role of pH/Alkalinity and speciation. Chemosphere 2008, 71, 1665–1673. [Google Scholar] [CrossRef] [PubMed]






| Water Sample | pH | Turbidity (NTU) | Aluminum (mg/L) | Iron (mg/L) | Manganese (mg/L) |
|---|---|---|---|---|---|
| Gadek II WTP | 6.63 | 25.6 | 0.11 | 0.14 | 0.06 |
| Kesang River | 6.80 | 130.3 | 8.28 | 2.83 | 0.09 |
| Gadek I WTP | 5.21 | 826.3 | 75.10 | 7.70 | 0.10 |
| Gangsa River | 6.68 | 225.0 | 13.70 | 3.32 | 0.096 |
| National standard of drinking water quality [29] | 6.5–9.00 | 5.0 | 0.20 | 0.30 | 0.10 |
| Coagulant | Specific Gravity | Purity (%) | Strength (%) | Chloride (%) | Grade | Cost (Ringgit Malaysia/Metric Ton) | ||
|---|---|---|---|---|---|---|---|---|
| Al2O3 | Al | Basicity | ||||||
| Aluminum sulfate (alum) | 1.31 | 26–28 | 8 | 4 | 0 | - | Industry | 330 1900 * |
| Polyaluminum chloride (PAC) | 1.22 | 22 | 10 | 5.6 | 50 | 10–10.5 * | Industry | 740 10,590 * |
| Aluminum chlorohydrate (ACH) | 1.35 | 30–60 | 23–24 | 12 | 82 | 7.9–8.4 | Industry | 2350 11,860 * |
Chitosan![]() | - | 100 | - | - | - | - | Laboratory, 85% DD, 900 kDa | 5630 |
| Categorial Factor | Numerical Variable | Range and Level | ||
|---|---|---|---|---|
| −1 | 0 | 1 | ||
| C, Coagulant | A, dosage (mg/L) | 5.00 | 17.50 | 30.00 |
| B, initial pH | 6.39 | 7.39 | 8.39 | |
| Response | Source | a DF | b SS | c MS | F-Value | Prob > F |
|---|---|---|---|---|---|---|
| Turbidity (NTU) | Regression | 14 | 5420.79 | 387.2 | 739.70 | <0.0001 |
| Residual | 33 | 17.27 | 0.52 | |||
| Lack-of-fit | 21 | 3.45 | 0.64 | 2.01 | 0.11 | |
| Pure error | 12 | 3.82 | 0.32 | |||
| Mn (g/L) | Regression | 14 | 0.01 | 9.39 × 10−4 | 1.18 | 0.33 |
| Residual | 33 | 0.03 | 7.95 × 10−4 | |||
| Lack-of-fit | 21 | 6.73 × 10−3 | 3.20 × 10−4 | 0.2 | 0.99 | |
| Pure error | 12 | 0.02 | 1.63 × 10−3 | |||
| Fe (g/L) | Regression | 14 | 4.74 | 0.34 | 14.12 | <0.0001 |
| Residual | 33 | 0.79 | 0.02 | |||
| Lack-of-fit | 21 | 0.62 | 0.03 | 2.06 | 0.10 | |
| Pure error | 12 | 0.17 | 0.01 | |||
| Al (g/L) | Regression | 14 | 108.92 | 7.78 | 63.34 | <0.0001 |
| Residual | 33 | 4.05 | 0.12 | |||
| Lack-of-fit | 21 | 2.51 | 0.12 | 0.93 | 0.58 | |
| Pure error | 12 | 1.55 | 0.13 |
| Response | R2 | Adjusted R2adj | Predicted R2 | Adequate Precision |
|---|---|---|---|---|
| Turbidity | 0.99 | 0.99 | 0.99 | 142.43 |
| Mn | 0.33 | 0.05 | −0.01 | 3.53 |
| Fe | 0.86 | 0.80 | 0.68 | 16.92 |
| Al | 0.96 | 0.95 | 0.93 | 41.25 |
Publisher’s Note: MDPI stays neutral with regard to jurisdictional claims in published maps and institutional affiliations. |
© 2021 by the authors. Licensee MDPI, Basel, Switzerland. This article is an open access article distributed under the terms and conditions of the Creative Commons Attribution (CC BY) license (https://creativecommons.org/licenses/by/4.0/).
Share and Cite
Khairul Zaman, N.; Rohani, R.; Izni Yusoff, I.; Kamsol, M.A.; Basiron, S.A.; Abd. Rashid, A.I. Eco-Friendly Coagulant versus Industrially Used Coagulants: Identification of Their Coagulation Performance, Mechanism and Optimization in Water Treatment Process. Int. J. Environ. Res. Public Health 2021, 18, 9164. https://doi.org/10.3390/ijerph18179164
Khairul Zaman N, Rohani R, Izni Yusoff I, Kamsol MA, Basiron SA, Abd. Rashid AI. Eco-Friendly Coagulant versus Industrially Used Coagulants: Identification of Their Coagulation Performance, Mechanism and Optimization in Water Treatment Process. International Journal of Environmental Research and Public Health. 2021; 18(17):9164. https://doi.org/10.3390/ijerph18179164
Chicago/Turabian StyleKhairul Zaman, Nadiah, Rosiah Rohani, Izzati Izni Yusoff, Muhammad Azraei Kamsol, Siti Aishah Basiron, and Aina Izzati Abd. Rashid. 2021. "Eco-Friendly Coagulant versus Industrially Used Coagulants: Identification of Their Coagulation Performance, Mechanism and Optimization in Water Treatment Process" International Journal of Environmental Research and Public Health 18, no. 17: 9164. https://doi.org/10.3390/ijerph18179164
APA StyleKhairul Zaman, N., Rohani, R., Izni Yusoff, I., Kamsol, M. A., Basiron, S. A., & Abd. Rashid, A. I. (2021). Eco-Friendly Coagulant versus Industrially Used Coagulants: Identification of Their Coagulation Performance, Mechanism and Optimization in Water Treatment Process. International Journal of Environmental Research and Public Health, 18(17), 9164. https://doi.org/10.3390/ijerph18179164


