Parenting Styles as a Moderator of the Association between Pubertal Timing and Chinese Adolescents’ Smoking Behavior
Abstract
:1. Introduction
2. Materials and Methods
2.1. Participants
2.2. Measures
2.2.1. Demographic Information
2.2.2. Pubertal Timing
2.2.3. Parenting Style
2.2.4. Smoking Behavior
2.3. Procedure
2.4. Data Analysis
3. Results
4. Discussion
5. Conclusions
Author Contributions
Funding
Institutional Review Board Statement
Informed Consent Statement
Data Availability Statement
Conflicts of Interest
References
- Thompson, S.M.; Hammen, C.; Brennan, P.A. The impact of asynchronous pubertal development on depressive symptoms in adolescence and emerging adulthood among females. J. Youth Adolesc. 2016, 45, 494–504. [Google Scholar] [CrossRef] [Green Version]
- Westling, E.P.D.; Andrews, J.A.P.D.; Hampson, S.E.P.D.; Peterson, M.M.A. Pubertal timing and substance use: The effects of gender, parental monitoring and deviant peers. J. Adolesc. Health 2008, 42, 555–563. [Google Scholar] [CrossRef] [Green Version]
- Weingarden, H.; Renshaw, K.D. Early and late perceived pubertal timing as risk factors for anxiety disorders in adult women. J. Psychiatr. Res. 2012, 46, 1524–1529. [Google Scholar] [CrossRef] [PubMed]
- Bridges, N.A.; Christopher, J.A.; Hindmarsh, P.C.; Brook, C.G. Sexual precocity: Sex incidence and aetiology. Arch. Dis. Child. 1994, 70, 116–118. [Google Scholar] [CrossRef] [PubMed] [Green Version]
- Cousminer, D.L.; Widén, E.; Palmert, M.R. The genetics of pubertal timing in the general population: Recent advances and evidence for sex-specificity. Curr. Opin. Endocrinol. Diabetes Obes. 2016, 23, 57–65. [Google Scholar] [CrossRef] [PubMed] [Green Version]
- Caspi, A.; Moffitt, T.E. Individual differences are accentuated during periods of social change: The sample case of girls at puberty. J. Personal. Soc. Psychol. 1991, 61, 157–168. [Google Scholar] [CrossRef]
- Pomerantz, H.; Parent, J.; Forehand, R.; Breslend, N.L.; Winer, J.P. Pubertal timing and youth internalizing psychopathology: The role of relational aggression. J. Child Fam. Stud. 2017, 26, 416–423. [Google Scholar] [CrossRef] [PubMed]
- Senia, J.M.; Donnellan, M.B.; Neppl, T.K. Early pubertal timing and adult adjustment outcomes: Persistence, attenuation, or accentuation? J. Adolesc. 2018, 65, 85–94. [Google Scholar] [CrossRef]
- van Jaarsveld, C.H.M.; Fidler, J.A.; Simon, A.E.; Wardle, J. Persistent impact of pubertal timing on trends in smoking, food choice, activity, and stress in adolescence. Psychosom. Med. 2007, 69, 798–806. [Google Scholar] [CrossRef]
- Marceau, K.; Jackson, K. Deviant Peers as a Mediator of Pubertal Timing-Substance Use Associations: The Moderating Role of Parental Knowledge. J. Adolesc. Health 2017, 61, 53–60. [Google Scholar] [CrossRef]
- Stattin, H.K.; Kerr, M.; Skoog, T.S. Early pubertal timing and girls’ problem behavior: Integrating two hypotheses. J. Youth Adolesc. 2011, 40, 1271–1287. [Google Scholar] [CrossRef]
- Ji, Y.Y.; Xu, H.Y.; Zhang, Y.; Liu, Q.L. Health risk behaviors among rural left-behind children in Sichuan province: A latent class analysis. Chin. J. Public Health 2017, 33, 1297–1301. [Google Scholar]
- Ge, X.; Brody, G.H.; Conger, R.D.; Simons, R.L.; Murry, M.B. Contextual amplification of pubertal transition effects on deviant peer affiliation and externalizing behavior among African American children. Dev. Psychol. 2002, 38, 42. [Google Scholar] [CrossRef]
- Chen, F.R.; Raine, A. Effects of harsh parenting and positive parenting practices on youth aggressive behavior: The moderating role of early pubertal timing. Aggress. Behav. 2018, 44, 18–28. [Google Scholar] [CrossRef]
- Turbin, M.S.; Jessor, R.; Costa, F.M. Adolescent cigarette smoking: Health-related behavior or normative transgression? Prev. Sci. 2000, 1, 115–124. [Google Scholar] [CrossRef]
- Jha, P.; Ramasundarahettige, C.; Landsman, V.; Rostron, B.; Thun, M.; Anderson, R.N.; McAfee, T.; Peto, R. 21st–Century hazards of smoking and benefits of cessation in the United States. Surv. Anesthesiol. 2013, 57, 197. [Google Scholar] [CrossRef]
- Byrne, K.K.O.; Haddock, C.K.; Poston, W.S.C. Parenting style and adolescent smoking. J. Adolesc. Health Off. Publ. Soc. Adolesc. Med. 2002, 30, 418–425. [Google Scholar]
- Cohen, D.A.; Rice, J. Parenting styles, adolescent substance use, and academic achievement. J. Drug Educ. 1997, 27, 199–211. [Google Scholar] [CrossRef] [PubMed]
- Calzada, E.J.; Fernandez, Y.; Cortes, D.E. Incorporating the cultural value of respeto into a framework of Latino parenting. Cult. Divers. Ethn. Minority Psychol. 2010, 16, 77–86. [Google Scholar] [CrossRef] [PubMed] [Green Version]
- Hill, N.E.; Bush, K.R.; Roosa, M.W. Parenting and family socialization strategies and children’s mental health: Low-Income Mexican-American and Euro-American mothers and children. Child Dev. 2003, 74, 89–204. [Google Scholar] [CrossRef] [PubMed]
- Oyserman, D.; Coon, H.M.; Kemmelmeier, M. Rethinking individualism and collectivism: Evaluation of theoretical assumptions and meta-analyses. Psychol. Bull. 2002, 128, 3–72. [Google Scholar] [CrossRef] [PubMed]
- Kaltiala-Heino, R.; Marttunen, M.; Rantanen, P.I.; Rimpel, M. Early puberty is associated with mental health problems in middle adolescence. Soc. Sci. Med. 2003, 57, 1055–1064. [Google Scholar] [CrossRef]
- Nottelmann, E.D.; Susman, E.J.; Inoffgermain, G.; Cutler, G.B.; Loriaux, D.L.; Chrousos, G.P. Developmental processes in early adolescence: Relationships between adolescent adjustment problems and chronologic age, pubertal stage, and puberty-related serum hormone levels. J. Pediatr. 1987, 110, 473–480. [Google Scholar] [CrossRef]
- Petersen, A.C.; Crockett, L.; Richards, M.; Boxer, A. A self-report measure of pubertal status: Reliability, validity, and initial norms. J. Youth Adolesc. 1988, 17, 117–133. [Google Scholar] [CrossRef] [PubMed]
- Chan, N.P.T.; Sung, R.Y.T.; Nelson, E.A.S.; So, H.K.; Tse, Y.K.; Kong, A.P.S. Measurement of pubertal status with a Chinese self-report Pubertal Development Scale. Matern. Child Health J. 2010, 14, 466–473. [Google Scholar] [CrossRef] [PubMed]
- Jiang, J. Revision of the short-form Egna Minnen av Barndoms Uppfostran for Chinese. Psychol. Dev. Educ. 2010, 26, 94–99. [Google Scholar]
- Ge, X.; Brody, G.H.; Conger, R.D.; Simons, R.L. Pubertal maturation and African American children’s internalizing and externalizing symptoms. J. Youth Adolesc. 2006, 35, 528–537. [Google Scholar] [CrossRef]
- Toothaker, L.E. Multiple regression: Testing and interpreting interactions. J. Oper. Res. Soc. 1994, 45, 119–120. [Google Scholar]
- Aulakh, P.S.; Gencturk, E.F. International principal-agent relationships: Control, governance and performance. Ind. Mark. Manag. 2000, 29, 521–538. [Google Scholar] [CrossRef]
- Brooks-Gunn, J.; Petersen, A.C. Girls at Puberty: Biological and Psychosocial Perspectives; Plenum: New York, NY, USA, 1983; pp. 201–228. ISBN 978-1-4899-0356-3. [Google Scholar]
- Aloise-Young, P.A.; Hennigan, K.M.; Graham, J.W. Role of the Self-Image and Smoker Stereotype in Smoking Onset During Early Adolescence: A Longitudinal Study. Health Psychol. 1996, 15, 494–497. [Google Scholar] [CrossRef]
- Bogaert, A.F. Age at puberty and father absence in a national probability sample. J. Adolesc. 2005, 28, 541–546. [Google Scholar] [CrossRef]
- Luo, J.; Wang, L.; Gao, W. The influence of the absence of fathers and the timing of separation on anxiety and self-esteem of adolescents: A cross-sectional survey. Child Care Health Dev. 2012, 38, 723–731. [Google Scholar] [CrossRef] [PubMed]
- Li, W.; Fu, J.Z. A summary of parenting style and children’s development in China. Adv. Psychol. Sci. 2005, 13, 298–304. [Google Scholar]
- Bussey, K.; Bandura, A. Social cognitive theory of gender development and differentiation. Psychol. Rev. 1999, 106, 676–713. [Google Scholar] [CrossRef] [PubMed]
- Parke, R.D.; Buriel, R. Socialization in the family: Ethnic and ecological perspectives. In Handbook of Child Psychology; Damon, W., Lerner, R.M., Eds.; John Wiley & Sons Inc.: Hoboken, NJ, USA, 1998; pp. 429–504. [Google Scholar]
- Li, Y.; Cui, N.; Kok, H.T.; Deatrick, J.; Liu, J. The relationship between parenting styles practiced by grandparents and children’s emotional and behavioral problems. J. Child Fam. Stud. 2019, 28, 1899–1913. [Google Scholar] [CrossRef]
- Bond, L.; Clements, J.; Bertalli, N.; Evans-Whipp, T.; McMorris, B.J.; Patton, G.C.; Toumbourou, J.W.; Catalano, R.F. A comparison of self-reported puberty using the pubertal development scale and the sexual maturation scale in a school-based epidemiologic survey. J. Adolesc. 2006, 29, 709–720. [Google Scholar] [CrossRef]
- Dorn, L.D.; Biro, F.M. Puberty and its measurement: A decade in review. J. Res. Adolesc. 2011, 21, 180–195. [Google Scholar] [CrossRef]
- Markus, H.R.; Kitayama, S. Culture and the self: Implications for cognition, emotion, and motivation. Psychol. Rev. 1991, 98, 224–253. [Google Scholar] [CrossRef]
- Wang, C.; Do, K.A.; Bao, L.; Xia, Y.R.; Wu, C.; Couch, L. Ecological influences on Chinese adolescents’ problem behaviors: A multilevel analysis. J. Fam. Issues 2018, 39, 2545–2571. [Google Scholar] [CrossRef]
- Liu, X. Parenting styles and health risk behavior of left-behind children: The mediating effect of cognitive emotion regulation. J. Child Fam. Stud. 2020, 29, 3. [Google Scholar] [CrossRef]




| Gender | Age | Early N (%) | Average N (%) | Late N (%) |
|---|---|---|---|---|
| Boys | 11 (n = 8) | 0 (0.0) | 6 (75.0) | 2 (25.0) |
| 12 (n = 134) | 24 (17.9) | 91 (67.9) | 19 (14.2) | |
| 13 (n = 180) | 27 (15.0) | 129 (71.7) | 24 (13.3) | |
| 14 (n = 166) | 38 (22.9) | 98 (59.0) | 30 (18.1) | |
| 15 (n = 217) | 44 (20.3) | 133 (61.8) | 40 (18.4) | |
| 16 (n = 38) | 3 (7.9) | 27 (71.1) | 8 (21.1) | |
| Girls | 11 (n = 16) | 4 (25.0) | 9 (56.3) | 3 (18.8) |
| 12 (n = 161) | 34 (21.1) | 101 (62.7) | 26 (16.1) | |
| 13 (n = 140) | 31 (22.1) | 92 (65.7) | 17 (12.1) | |
| 14 (n = 186) | 34 (18.3) | 134 (72.0) | 18 (9.7) | |
| 15 (n = 129) | 21 (16.3) | 84 (65.1) | 24 (18.6) | |
| 16 (n = 16) | 4 (25.0) | 9 (56.3) | 3 (18.8) |
| SR N (%) | NS N (%) | TS N (%) | CS N (%) | χ2 | p | ||
|---|---|---|---|---|---|---|---|
| Boys/Girls | Boys (n = 743) | 160 (21.53) | 583 (78.47) | 130 (17.50) | 30 (4.04) | 11.20 | 0.004 |
| Girls (n = 648) | 98 (15.12) | 550 (84.88) | 86 (13.27) | 12 (1.85) | |||
| Grade | Seven (n = 341) | 43 (12.61) | 298 (87.39) | 32 (9.38) | 11 (3.23) | 18.94 | 0.001 |
| Eight (n = 486) | 85 (17.49) | 401 (82.51) | 75 (15.43) | 10 (2.06) | |||
| Nine (n = 564) | 130 (23.05) | 434 (76.95) | 109 (19.33) | 21 (3.72) | |||
| Hometown | City (n = 500) | 73 (14.60) | 427 (85.40) | 62 (12.40) | 11 (2.20) | 8.15 | 0.017 |
| Rural (n = 891) | 185 (20.76) | 706 (79.24) | 154 (17.28) | 31 (3.48) | |||
| Boys | Early (n = 136) | 41 (30.15) | 95 (69.85) | 30 (22.06) | 11 (8.09) | 10.68 | 0.03 |
| Average (n = 484) | 97 (20.04) | 387 (79.96) | 82 (16.94) | 15 (3.10) | |||
| Late (n = 123) | 22 (17.89) | 101 (82.11) | 18 (14.63) | 4 (3.25) | |||
| Girls | Early (n = 128) | 29 (22.66) | 99 (77.34) | 25 (19.53) | 4 (3.13) | 8.78 | 0.067 |
| Average (n = 429) | 53 (12.35) | 376 (87.65) | 47 (10.96) | 6 (1.40) | |||
| Late (n = 91) | 16 (17.58) | 75 (82.42) | 14 (15.39) | 2 (2.20) |
| PDS | Smoking Behaviors | ||
|---|---|---|---|
| Boys | PDS | - | 0.17 *** |
| Father rejection | 0.04 | 0.23 *** | |
| Father emotional warmth | −0.01 | −0.14 *** | |
| Father over-protection | 0.01 | 0.10 * | |
| Mother rejection | 0.04 | 0.20 *** | |
| Mother emotional warmth | −0.02 | −0.06 * | |
| Mother over-protection | 0.02 | 0.10 ** | |
| Girls | PDS | - | 0.16 *** |
| Father rejection | 0.02 | 0.29 *** | |
| Father emotional warmth | −0.01 | −0.33 *** | |
| Father over-protection | 0.05 | 0.04 | |
| Mother rejection | 0.12 ** | 0.19 *** | |
| Mother emotional warmth | −0.03 | −0.32 *** | |
| Mother over-protection | 0.11 ** | 0.04 |
| Variable | β | R2 | R2 Change | F | ||
|---|---|---|---|---|---|---|
| Girls | Step 1 | PDS | 0.15 *** | 0.11 | 0.11 | 39.94 *** |
| FR | 0.27 *** | |||||
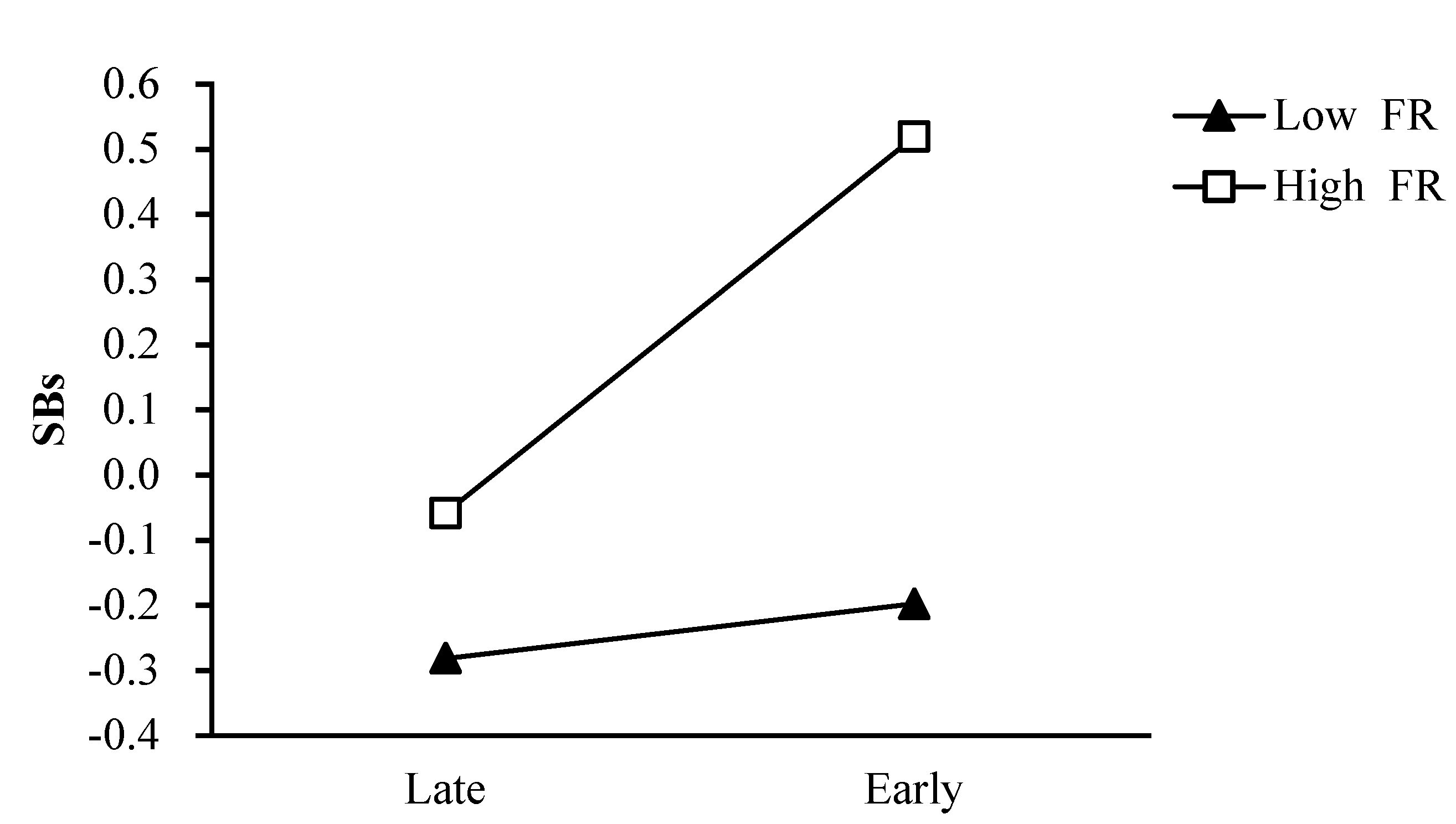
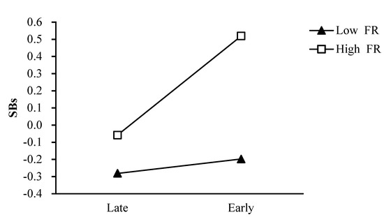
| Step 2 | PDS × FR | 0.10 ** | 0.12 | 0.12 | 7.55 ** | |
| Step 1 | PDS | 0.16 *** | 0.14 | 0.14 | 51.31 *** | |
| FEW | −0.33 *** | |||||
| Step 2 | PDS × FEW | −0.10 ** | 0.15 | 0.14 | 36.94 ** | |
| Step 1 | PDS | 0.16 *** | 0.13 | 0.13 | 47.36 *** | |
| MEW | −0.32 *** | |||||
| Step 2 | PDS × MEW | −0.08 * | 0.14 | 0.13 | 33.52 * | |
| Boys | Step 1 | PDS | 0.17 *** | 0.09 | 0.08 | 34.17 *** |
| FR | 0.24 *** | |||||
| Step 2 | PDS × FR | 0.12 *** | 0.10 | 0.10 | 27.13 *** |
Publisher’s Note: MDPI stays neutral with regard to jurisdictional claims in published maps and institutional affiliations. |
© 2021 by the authors. Licensee MDPI, Basel, Switzerland. This article is an open access article distributed under the terms and conditions of the Creative Commons Attribution (CC BY) license (https://creativecommons.org/licenses/by/4.0/).
Share and Cite
Ling, H.; Yan, Y.; Fu, E.; Zhu, A.; Zhang, J.; Yuan, S. Parenting Styles as a Moderator of the Association between Pubertal Timing and Chinese Adolescents’ Smoking Behavior. Int. J. Environ. Res. Public Health 2021, 18, 8903. https://doi.org/10.3390/ijerph18178903
Ling H, Yan Y, Fu E, Zhu A, Zhang J, Yuan S. Parenting Styles as a Moderator of the Association between Pubertal Timing and Chinese Adolescents’ Smoking Behavior. International Journal of Environmental Research and Public Health. 2021; 18(17):8903. https://doi.org/10.3390/ijerph18178903
Chicago/Turabian StyleLing, Hui, Yaqin Yan, En Fu, Amin Zhu, Jianren Zhang, and Siyang Yuan. 2021. "Parenting Styles as a Moderator of the Association between Pubertal Timing and Chinese Adolescents’ Smoking Behavior" International Journal of Environmental Research and Public Health 18, no. 17: 8903. https://doi.org/10.3390/ijerph18178903
APA StyleLing, H., Yan, Y., Fu, E., Zhu, A., Zhang, J., & Yuan, S. (2021). Parenting Styles as a Moderator of the Association between Pubertal Timing and Chinese Adolescents’ Smoking Behavior. International Journal of Environmental Research and Public Health, 18(17), 8903. https://doi.org/10.3390/ijerph18178903

