Binge Drinking and Obesity-Related Eating: The Moderating Roles of the Eating Broadcast Viewing Experience among Korean Adults
Abstract
1. Introduction
2. Materials and Methods
2.1. Participants and Procedures
2.2. Measures
2.2.1. Demographic Statistics
2.2.2. Eating Broadcast Viewing Experience
2.2.3. Binge Drinking Frequency
2.2.4. Obesity-Related Eating Behaviors
2.3. Statistical Analysis
3. Results
3.1. Demographics
3.2. Associations between Binge Drinking Frequency, Obesity-Related Eating Behaviors, and Eating Broadcast Viewing Experience
3.3. Moderation Effects of Eating Broadcast Viewing Experience on the Relationship between Binge Drinking Frequency and Obesity-Related Eating Behaviors
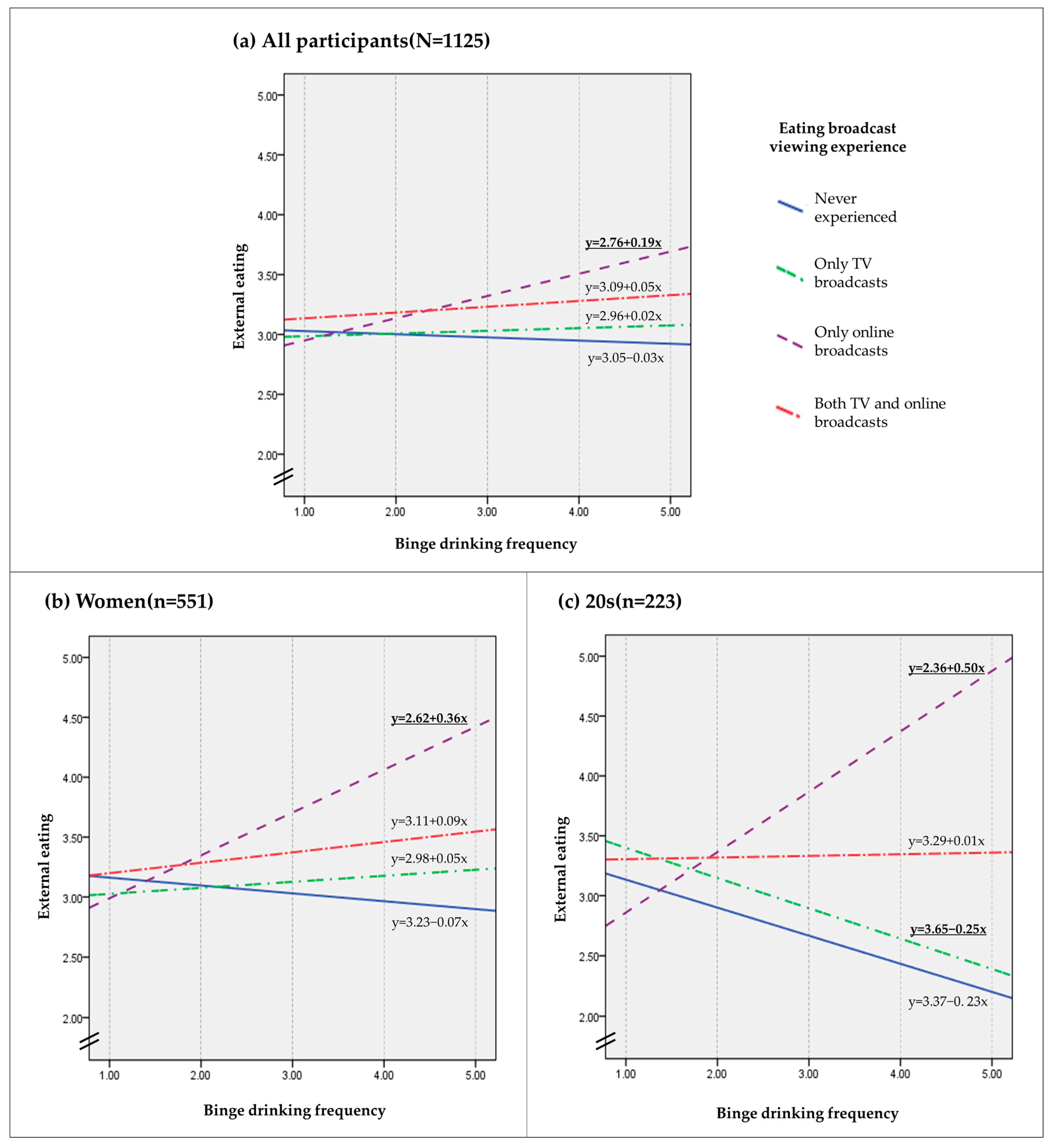
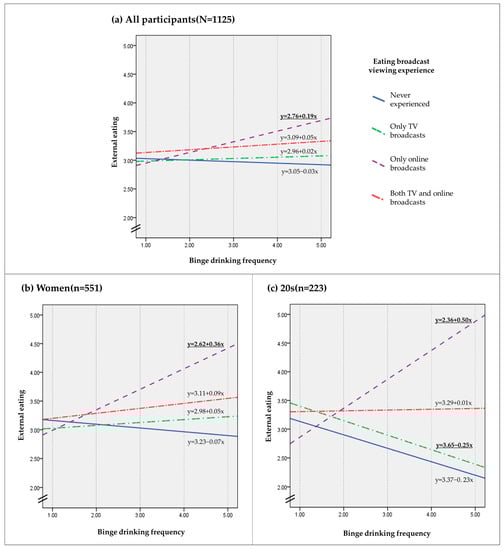
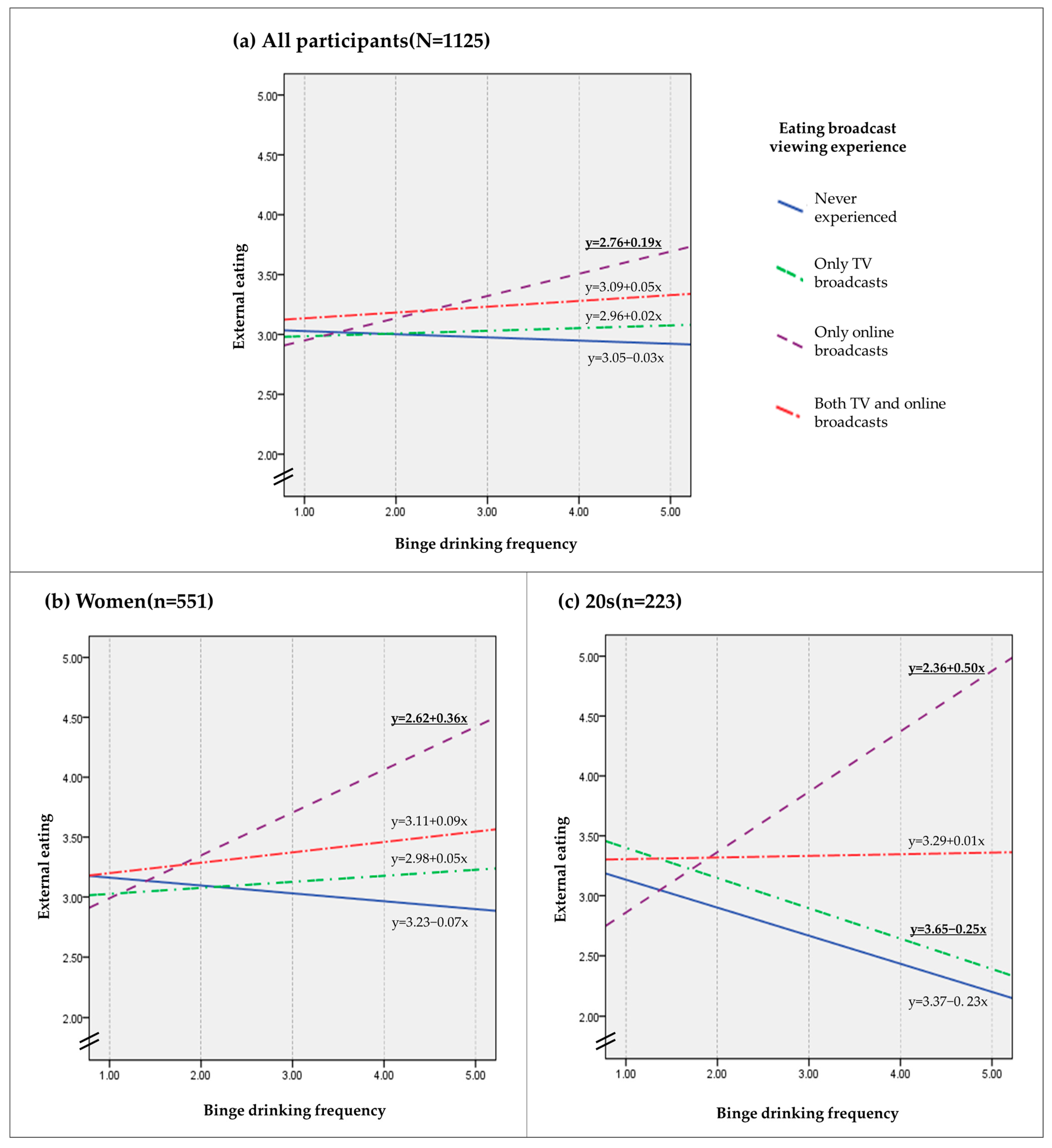
- Model 1 (Figure 2a): The full regression model accounted for 14.62% of the variance in external eating (F = 11.859, p < 0.001, R2 = 0.1462), with the inclusion of the interaction between X and W accounting for approximately 0.62% of the explained variance (R2 change = 0.0062). According to the conditional effects, there was no association between binge drinking frequency and external eating among people who never watched eating broadcasts (B = −0.029, SE = 0.042, t = −0.688, p = 0.491, 95% LLCI = −0.112, 95% ULCI = 0.054), only watched eating broadcasts on TV (B = 0.024, SE = 0.029, t = 0.811, p = 0.417, 95% LLCI = −0.033, 95% ULCI = 0.080), or watched both TV and online eating broadcasts (B = 0.031, SE = 0.017, t = 1.877, p = 0.061, 95% LLCI = −0.001, 95% ULCI = 0.064). However, among participants who only viewed online eating broadcasts, an increase in binge drinking frequency was associated with an increase in external eating behaviors (B = 0.204, SE = 0.071, t = 2.875, p = 0.004, 95% LLCI = 0.065, 95% ULCI = 0.344).
- Model 2 (Figure 2b): The model was significant and accounted for 16.67% of the variance in external eating among women (F = 7.133, p < 0.001, R2 = 0.1667). Including the interaction between X and W improved the model fit (R2 change = 0.0153). Separate simple slope analyses showed similar associations with Model 1. There was no association between binge drinking frequency and external eating among people who never experienced eating broadcasts (B = −0.121, SE = 0.083, t = −1.464, p = 0.144, 95% LLCI = −0.284, 95% ULCI = 0.041), who only watched eating broadcasts on TV (B = 0.048, SE = 0.054, t = 0.888, p = 0.375, 95% LLCI = −0.058, 95% ULCI = 0.153), or who watched such broadcasts on TV and online (B = 0.045, SE = 0.025, t = 1.805, p = 0.072, 95% LLCI = −0.004, 95% ULCI = 0.095). However, an increase in binge drinking frequency was associated with an increase in external eating behavior by women who only watched eating broadcasts online (B = 0.316, SE = 0.113, t = 2.809, p = 0.005, 95% LLCI = 0.095, 95% ULCI = 0.538).
- Model 3 (Figure 2c): The model was significant and accounted for 22.08% of the variance in external eating among those in their 20s (F = 3.911, p < 0.001, R2 = 0.2208). The model fit improved when the interaction between X and W was included (R2 change = 0.041). Separate simple slope analyses indicated that, among those in their 20s who only viewed eating broadcasts online, an increase in binge drinking frequency was associated with an increase in external eating behaviors (B = 0.411, SE = 0.178, t = 2.314, p = 0.022, 95% LLCI = 0.061, 95% ULCI = 0.762). In contrast, among those in their 20s who only viewed eating broadcasts on TV, an increase in binge drinking frequency was associated with a decrease in external eating behaviors (B = −0.234, SE = 0.119, t = −1.975, p = 0.0496, 95% LLCI = −0.468, 95% ULCI = −0.0004). This association was not significant among people who never experienced eating broadcasts (B = −0.266, SE = 0.198, t = −1.341, p = 0.182, 95% LLCI = −0.656, 95% ULCI = 0.125) or who watched such broadcasts on the TV and online (B = 0.002, SE = 0.038, t = 0.043, p = 0.966, 95% LLCI = −0.073, 95% ULCI = 0.076).
4. Discussion
5. Conclusions
Author Contributions
Funding
Institutional Review Board Statement
Informed Consent Statement
Data Availability Statement
Conflicts of Interest
References
- Organization for Economic Cooperation and Development Statistics. Available online: https://stats.oecd.org/ (accessed on 15 June 2021).
- Korea Disease Control and Prevention Agency. Korea Health Statistics 2019: Korea National Health and Nutrition Examination Survey (KNHANES VIII-1); Korea Disease Control and Prevention Agency: Cheongju, Korea, 2020; p. 68. [Google Scholar]
- Kubacki, K.; Siemieniako, D.; Rundle-Thiele, S. College binge drinking: A new approach. J. Consum. Mark. 2011. [Google Scholar] [CrossRef]
- Puddey, I.B.; Rakic, V.; Dimmitt, S.; Beilin, L. Influence of pattern of drinking on cardiovascular disease and cardiovascular risk factors-a review. Addiction 1999, 94, 649–663. [Google Scholar] [CrossRef] [PubMed]
- Åberg, F.; Helenius-Hietala, J.; Puukka, P.; Jula, A. Binge drinking and the risk of liver events: A population-based cohort study. Liver Int. 2017, 37, 1373–1381. [Google Scholar] [CrossRef]
- Sayon-Orea, C.; Martinez-Gonzalez, M.A.; Bes-Rastrollo, M. Alcohol consumption and body weight: A systematic review. Nutr. Rev. 2011, 69, 419–431. [Google Scholar] [CrossRef] [PubMed]
- Ha-Na, K.; Sang-Wook, S. Relationships of both heavy and binge alcohol drinking with unhealthy habits in Korean adults based on the KNHANES IV data. Iran. J. Public Health 2014, 43, 579. [Google Scholar]
- Oh, J.E. Relationship between heavy drinking, binge drinking, and metabolic syndrome in obese and non-obese Korean male adults. Nutr. Res. Pract. 2018, 12, 166. [Google Scholar] [CrossRef] [PubMed]
- Traversy, G.; Chaput, J. Alcohol consumption and obesity: An update. Curr. Obes. Rep. 2015, 4, 122–130. [Google Scholar] [CrossRef] [PubMed]
- Krahn, D.D.; Kurth, C.L.; Gomberg, E.; Drewnowski, A. Pathological dieting and alcohol use in college women—A continuum of behaviors. Eat. Behav. 2005, 6, 43–52. [Google Scholar] [CrossRef]
- Ferriter, C.; Ray, L.A. Binge eating and binge drinking: An integrative review. Eat. Behav. 2011, 12, 99–107. [Google Scholar] [CrossRef] [PubMed]
- Kuntsche, E.; Kuntsche, S.; Thrul, J.; Gmel, G. Binge drinking: Health impact, prevalence, correlates and interventions. Psychol. Health 2017, 32, 976–1017. [Google Scholar] [CrossRef]
- Pereira, B.; Sung, B.; Lee, S. I like watching other people eat: A cross-cultural analysis of the antecedents of attitudes towards Mukbang. Australas. Mark. J. 2019, 27, 78–90. [Google Scholar] [CrossRef]
- Kang, E.; Lee, J.; Kim, K.H.; Yun, Y.H. The popularity of eating broadcast: Content analysis of “mukbang” YouTube videos, media coverage, and the health impact of “mukbang” on public. Health Inform. J. 2020, 26, 2237–2248. [Google Scholar] [CrossRef]
- An, S.; Lim, Y.; Lee, H. A content analysis of eating show (Mukbang) programs on television and online program content in South Korea. Korean J. Broadcast. Telecommun. Stud. 2020, 34, 39–79. [Google Scholar]
- Choe, H. Eating together multimodally: Collaborative eating in mukbang, a Korean livestream of eating. Lang. Soc. 2019, 48, 171–208. [Google Scholar] [CrossRef]
- Kircaburun, K.; Harris, A.; Calado, F.; Griffiths, M.D. The psychology of mukbang watching: A scoping review of the academic and non-academic literature. Int. J. Ment. Health Addict. 2020, 1–24. [Google Scholar] [CrossRef]
- Hong, S.-K.; Park, S. Emergence of internet Mukbang (Foodcasting) and its hegemonic process in media culture. Media Soc. 2016, 24, 105–150. [Google Scholar]
- Powell, L.M.; Harris, J.L.; Fox, T. Food marketing expenditures aimed at youth: Putting the numbers in context. Am. J. Prev. Med. 2013, 45, 453–461. [Google Scholar] [CrossRef]
- Cho, E.-H. A Study on the trend and the cultural phenomenon of Mukbang. J. Korea Contents Assoc. 2020, 20, 68–85. [Google Scholar]
- Kwon, H. A Study on the effect of view motives on the view satisfaction and behavior intentions of oneperson media food contents: Focused on ‘Mokbang’and ‘Cookbang’. Culin. Sci. Hosp. Res. 2019, 25, 102–112. [Google Scholar]
- Gore, S.A.; Foster, J.A.; DiLillo, V.G.; Kirk, K.; West, D.S. Television viewing and snacking. Eat. Behav. 2003, 4, 399–405. [Google Scholar] [CrossRef]
- Grabe, S.; Ward, L.M.; Hyde, J.S. The role of the media in body image concerns among women: A meta-analysis of experimental and correlational studies. Psychol. Bull. 2008, 134, 460. [Google Scholar] [CrossRef]
- Groesz, L.M.; Levine, M.P.; Murnen, S.K. The effect of experimental presentation of thin media images on body satisfaction: A meta-analytic review. Int. J. Eat. Disord. 2002, 31, 1–16. [Google Scholar] [CrossRef]
- Levine, M.P.; Murnen, S.K. “Everybody knows that mass media are/are not [pick one] a cause of eating disorders”: A critical review of evidence for a causal link between media, negative body image, and disordered eating in females. J. Soc. Clin. Psychol. 2009, 28, 9–42. [Google Scholar] [CrossRef]
- Ferguson, C.J.; Muñoz, M.E.; Garza, A.; Galindo, M. Concurrent and prospective analyses of peer, television and social media influences on body dissatisfaction, eating disorder symptoms and life satisfaction in adolescent girls. J. Youth Adolesc. 2014, 43, 1–14. [Google Scholar] [CrossRef]
- Pope, L.; Latimer, L.; Wansink, B. Viewers vs. Doers. The relationship between watching food television and BMI. Appetite 2015, 90, 131–135. [Google Scholar] [CrossRef]
- Holland, G.; Tiggemann, M. A systematic review of the impact of the use of social networking sites on body image and disordered eating outcomes. Body Image 2016, 17, 100–110. [Google Scholar] [CrossRef] [PubMed]
- Hummel, A.C.; Smith, A.R. Ask and you shall receive: Desire and receipt of feedback via Facebook predicts disordered eating concerns. Int. J. Eat. Disord. 2015, 48, 436–442. [Google Scholar] [CrossRef]
- Mabe, A.G.; Forney, K.J.; Keel, P.K. Do you “like” my photo? Facebook use maintains eating disorder risk. Int. J. Eat. Disord. 2014, 47, 516–523. [Google Scholar] [CrossRef] [PubMed]
- Perloff, R.M. Social media effects on young women’s body image concerns: Theoretical perspectives and an agenda for research. Sex Roles 2014, 71, 363–377. [Google Scholar] [CrossRef]
- Kircaburun, K.; Yurdagül, C.; Kuss, D.; Emirtekin, E.; Griffiths, M.D. Problematic mukbang watching and its relationship to disordered eating and internet addiction: A pilot study among emerging adult mukbang watchers. Int. J. Ment. Health Addict. 2020, 1–10. [Google Scholar] [CrossRef]
- Korean Statistical Information Service. Available online: https://kosis.kr/statisticsList/statisticsListIndex.do?menuId=M_01_01&vwcd=MT_ZTITLE&parmTabId=M_01_01&outLink=Y&entrType=#content-group (accessed on 10 October 2019).
- Pan, W.-H.; Yeh, W.-T. How to define obesity? Evidence-based multiple action points for public awareness, screening, and treatment: An extension of Asian-Pacific recommendations. Asia Pac. J. Clin. Nutr. 2008, 17, 370. [Google Scholar]
- An, J.; Seo, E.; Lim, K.; Shin, J.; Kim, J. Standardization of the Korean version of screening tool for depression (Patient Health Questionnaire-9, PHQ-9). J. Korean Soc. Biol. Ther. Psychiatry 2013, 19, 47–56. [Google Scholar]
- Kroenke, K.; Spitzer, R.L.; Williams, J.B. The PHQ-9: Validity of a brief depression severity measure. J. Gen. Intern. Med. 2001, 16, 606–613. [Google Scholar] [CrossRef]
- Andreassen, C.S.; Torsheim, T.; Brunborg, G.S.; Pallesen, S. Development of a Facebook addiction scale. Psychol. Rep. 2012, 110, 501–517. [Google Scholar] [CrossRef] [PubMed]
- Andreassen, C.S.; Billieux, J.; Griffiths, M.D.; Kuss, D.J.; Demetrovics, Z.; Mazzoni, E.; Pallesen, S. The relationship between addictive use of social media and video games and symptoms of psychiatric disorders: A large-scale cross-sectional study. Psychol. Addict. Behav. 2016, 30, 252–262. [Google Scholar] [CrossRef]
- Kircaburun, K.; Stavropoulos, V.; Harris, A.; Calado, F.; Emirtekin, E.; Griffiths, M.D. Development and validation of the Mukbang addiction scale. Int. J. Ment. Health Addict. 2020, 1–14. [Google Scholar] [CrossRef]
- Bang, H.-A.; Kwon, Y.-H.; Lee, M.-J.; Lee, W.-C. Trends in the epidemiological aspects and mortality of alcoholic liver disease in Korea in the decade between 2000 and 2009. J. Clin. Med. Res. 2015, 7, 91. [Google Scholar] [CrossRef] [PubMed][Green Version]
- Van Strien, T.; Frijters, J.E.; Bergers, G.P.; Defares, P.B. The Dutch Eating Behavior Questionnaire (DEBQ) for assessment of restrained, emotional, and external eating behavior. Int. J. Eat. Disord. 1986, 5, 295–315. [Google Scholar] [CrossRef]
- Van Strien, T. Dutch Eating Behaviour Questionnaire: Manual; Boom Test Publishers: Amsterdam, The Netherlands, 2002. [Google Scholar]
- Kim, H.J.; Lee, I.S.; Kim, J.H. A study of the reliability and validity of the Korean version of the Eating Behavior Questionnaire. Korean J. Clin. Psychol. 1996, 15, 141–150. [Google Scholar]
- Moder, K. Alternatives to F-test in one way ANOVA in case of heterogeneity of variances (a simulation study). Psychol. Test Assess. Model. 2010, 52, 343–353. [Google Scholar]
- Hayes, A.F. Introduction to Mediation, Moderation, and Conditional Process Analysis: A Regression-Based Approach; Guilford Publications: New York, NY, USA, 2017. [Google Scholar]
- Hoffman, E.W.; Pinkleton, B.E.; Weintraub Austin, E.; Reyes-Velázquez, W. Exploring college students’ use of general and alcohol-related social media and their associations with alcohol-related behaviors. J. Am. Coll. Health 2014, 62, 328–335. [Google Scholar] [CrossRef]
- Huang, G.C.; Unger, J.B.; Soto, D.; Fujimoto, K.; Pentz, M.A.; Jordan-Marsh, M.; Valente, T.W. Peer influences: The impact of online and offline friendship networks on adolescent smoking and alcohol use. J. Adolesc. Health 2014, 54, 508–514. [Google Scholar] [CrossRef]
- Ryu, H.-S.; Baek, M.-J. Factors influencing the drinking behavior in female university students. J. Korean Acad. Community Health Nurs. 2012, 23, 307–315. [Google Scholar] [CrossRef][Green Version]
- Yun, H. Convergence analysis on the effects of smoking and drinking on quality of life in Adults. J. Korea Converg. Soc. 2021, 12, 361–368. [Google Scholar]
- Moon, J.; Sohn, A.; Yoo, J. Drinking behaviors of Korean women in five occupational groups: Professionals versus other groups. Korean Soc. Alcohol Sci. Health Behav. 2019, 20, 41–52. [Google Scholar] [CrossRef]
- Escrivá-Martínez, T.; Galiana, L.; Herrero, R.; Rodríguez-Arias, M.; Baños, R.M. Understanding the influence of eating patterns on binge drinking: A mediation model. Int. J. Environ. Res. Public Health 2020, 17, 9451. [Google Scholar] [CrossRef] [PubMed]
- Chao, A.M.; Loughead, J.; Bakizada, Z.M.; Hopkins, C.M.; Geliebter, A.; Gur, R.C.; Wadden, T.A. Sex/gender differences in neural correlates of food stimuli: A systematic review of functional neuroimaging studies. Obes. Rev. 2017, 18, 687–699. [Google Scholar] [CrossRef]
- Yeung, A. Sex differences in brain responses to food stimuli: A meta-analysis on neuroimaging studies. Obes. Rev. 2018, 19, 1110–1115. [Google Scholar] [CrossRef] [PubMed]
- Jones, S.A.; Lueras, J.M.; Nagel, B.J. Effects of binge drinking on the developing brain: Studies in humans. Alcohol Res. Curr. Rev. 2018, 39, 87. [Google Scholar]
- De Brún, A.; McCarthy, M.; McKenzie, K.; McGloin, A. Weight stigma and narrative resistance evident in online discussions of obesity. Appetite 2014, 72, 73–81. [Google Scholar] [CrossRef] [PubMed]
- Thorson, E.; Hawthorne, J.; Swasy, A.; McKinney, M.S. Co-viewing, tweeting, and Facebooking the 2012 presidential debates. Electron. News 2015, 9, 195–214. [Google Scholar] [CrossRef]
- Noble, N.; Paul, C.; Turon, H.; Oldmeadow, C. Which modifiable health risk behaviours are related? A systematic review of the clustering of Smoking, Nutrition, Alcohol and Physical activity (‘SNAP’) health risk factors. Prev. Med. 2015, 81, 16–41. [Google Scholar] [CrossRef] [PubMed]
- Lee, Y.; Kang, J.; Kim, J.; Nah, E.; Kim, Y.; Ko, K.; Lee, M.; Kim, H. Clustering of health risk behaviors for chronic diseases in Korean adults. Korean Soc. Health Educ. Promot. 2017, 34, 21–31. [Google Scholar] [CrossRef]
- Westgate, E.C.; Neighbors, C.; Heppner, H.; Jahn, S.; Lindgren, K.P. “I will take a shot for every ‘like’I get on this status”: Posting alcohol-related Facebook content is linked to drinking outcomes. J. Stud. Alcohol Drugs 2014, 75, 390–398. [Google Scholar] [CrossRef] [PubMed]
- Ridout, B.; Campbell, A.; Ellis, L. ‘Off your Face (book)’: Alcohol in online social identity construction and its relation to problem drinking in university students. Drug Alcohol Rev. 2012, 31, 20–26. [Google Scholar] [CrossRef]
- Ministry of Health and Welfare. Available online: http://www.mohw.go.kr/react/al/sal0301vw.jsp?PAR_MENU_ID=04&MENU_ID=0403&page=1&CONT_SEQ=363629 (accessed on 30 April 2021).


| Variables | Mean (±SD) or n (%) | F or χ2 | Post-Hoc Analysis | ||||
|---|---|---|---|---|---|---|---|
| Total (n = 1125) | 1 | 2 | 3 | 4 | |||
| Never Experienced (n = 96) | Only TV Broadcasts (n = 220) | Only Online Broadcasts (n = 39) | Both TV and Online Broadcasts (n = 770) | ||||
| Sex | |||||||
| Men | 574 (51.02%) | 59 (61.46%) | 116 (52.73%) | 20 (51.28%) | 379 (49.22%) | 5.441 | |
| Women | 551 (48.98%) | 37 (38.54%) | 104 (47.27%) | 19 (48.72%) | 391 (50.78%) | ||
| Age (years) | 42.46 (±13.52) | 45.72 (±14.34) | 46.31 (±12.43) | 42.36 (±15.12) | 40.95 (±13.36) | 11.845 ***2 | 1 > 4, 2 > 4 3 |
| 20s | 223 (19.82%) | 13 (13.54%) | 19 (8.64%) | 7 (17.95%) | 184 (23.90%) | 58.839 *** | |
| 30s | 336 (29.86%) | 29 (30.21%) | 58 (26.36%) | 15 (38.46%) | 234 (30.39%) | ||
| 40s | 229 (20.36%) | 17 (17.71%) | 52 (23.64%) | 4 (10.26%) | 156 (20.26%) | ||
| 50s | 109 (9.69%) | 7 (7.29%) | 39 (17.73%) | 2 (5.13%) | 61 (7.92%) | ||
| 60s | 226 (20.09%) | 30 (31.25%) | 52 (23.64%) | 11 (28.21%) | 133 (17.27%) | ||
| 70s | 2 (0.18%) | 0 (0.00%) | 0 (0.00%) | 0 (0.00%) | 2 (0.26%) | ||
| Marriage | |||||||
| Single | 495 (44.00%) | 37 (38.54%) | 89 (40.45%) | 20 (51.28%) | 349 (45.32%) | 3.671 | |
| Married | 630 (56.00%) | 59 (61.46%) | 131 (59.55%) | 19 (48.72%) | 421 (54.68%) | ||
| Annual household income [per 10.000 won] | 5468.04 (±3912.20) | 4956.77 (±3584.62) | 5042.94 (±2783.91) | 6849.23 (±9101.36) | 5583.29 (±3780.04) | 2.572 2 | |
| Residence | |||||||
| Urban areas | 1020 (90.67%) | 86 (89.58%) | 190 (86.36%) | 35 (89.74%) | 709 (92.08%) | 6.798 | |
| Rural areas | 105 (9.33%) | 10 (10.42%) | 30 (13.64%) | 4 (10.26%) | 61 (7.92%) | ||
| BMI (kg/m2) | 23.29 (±3.59) | 23.62 (±3.71) | 23.47 (±3.54) | 24.18 (±3.39) | 23.15 (±3.60) | 1.623 | |
| Underweight | 70 (6.22%) | 7 (7.29%) | 13 (5.91%) | 2 (5.13%) | 48 (6.23%) | ||
| Normal weight | 495 (44.00%) | 34 (35.42%) | 88 (40.00%) | 14 (35.90%) | 359 (46.62%) | ||
| Overweight | 240 (21.33%) | 26 (27.08%) | 56 (25.45%) | 7 (17.95%) | 151 (19.61%) | ||
| Obesity | 320 (28.44%) | 29 (30.21%) | 63 (28.64%) | 16 (41.03%) | 212 (27.53%) | ||
| Stress level 1 | 3.25 (±0.73) | 3.14 (±0.83) | 3.12 (±0.75) | 3.23 (±0.78) | 3.30 (±0.71) | 4.121 ** | 2 < 4 4 |
| Depression level 1 | 1.77 (±0.94) | 1.91 (±1.15) | 1.66 (±0.92) | 1.87 (±1.08) | 1.78 (±0.91) | ||
| Disease history | |||||||
| None | 683 (60.71%) | 56 (58.33%) | 130 (59.09%) | 20 (51.28%) | 477 (61.95%) | 2.417 | |
| Diagnosed | 442 (39.29%) | 40 (41.67%) | 90 (40.91%) | 19 (48.72%) | 293 (38.05%) | ||
| Variables | Pearson Correlation Coefficients | ||||
|---|---|---|---|---|---|
| 1 | 2 | 3 | 4 | ||
| 1 | Binge drinking frequency | 1 | |||
| 2 | Restrained eating behavior (average score) | −0.086 ** | 1 | ||
| 3 | Emotional eating behavior (average score) | 0.061 * | 0.165 ** | 1 | |
| 4 | External eating behavior (average score) | 0.091 ** | −0.041 | 0.462 ** | 1 |
| Variables | Mean (±SD) or n (%) | F | Post-Hoc Analysis | ||||
|---|---|---|---|---|---|---|---|
| Total (n = 1125) | 1 | 2 | 3 | 4 | |||
| Never Experienced (n = 96) | Only TV Broadcasts (n = 220) | Only Online Broadcasts (n = 39) | Both TV and Online Broadcasts (n = 770) | ||||
| Binge drinking frequency | 2.15 (1.24) | 2.02 (1.31) | 2.12 (1.29) | 2.21 (1.24) | 2.18 (1.22) | 0.515 | |
| Restrained eating behavior (average score) | 3.04 (0.71) | 2.90 (0.75) | 2.96 (0.67) | 3.00 (0.77) | 3.09 (0.71) | 3.373 * | 1 < 4 1 |
| Emotional eating behavior (average score) | 2.40 (0.85) | 2.21 (0.78) | 2.25 (0.84) | 2.38 (0.91) | 2.46 (0.84) | 5.411 ** | 1 < 4, 2 < 4 1 |
| External eating behavior (average score) | 3.14 (0.58) | 3.00 (0.54) | 3.01 (0.55) | 3.17 (0.67) | 3.19 (0.58) | 7.769 *** | 1,2 < 4 1 |
Publisher’s Note: MDPI stays neutral with regard to jurisdictional claims in published maps and institutional affiliations. |
© 2021 by the authors. Licensee MDPI, Basel, Switzerland. This article is an open access article distributed under the terms and conditions of the Creative Commons Attribution (CC BY) license (https://creativecommons.org/licenses/by/4.0/).
Share and Cite
Kim, J.; Choi, S.; Kim, H.; An, S. Binge Drinking and Obesity-Related Eating: The Moderating Roles of the Eating Broadcast Viewing Experience among Korean Adults. Int. J. Environ. Res. Public Health 2021, 18, 8066. https://doi.org/10.3390/ijerph18158066
Kim J, Choi S, Kim H, An S. Binge Drinking and Obesity-Related Eating: The Moderating Roles of the Eating Broadcast Viewing Experience among Korean Adults. International Journal of Environmental Research and Public Health. 2021; 18(15):8066. https://doi.org/10.3390/ijerph18158066
Chicago/Turabian StyleKim, Jiye, Saegyeol Choi, Hyekyeong Kim, and Soontae An. 2021. "Binge Drinking and Obesity-Related Eating: The Moderating Roles of the Eating Broadcast Viewing Experience among Korean Adults" International Journal of Environmental Research and Public Health 18, no. 15: 8066. https://doi.org/10.3390/ijerph18158066
APA StyleKim, J., Choi, S., Kim, H., & An, S. (2021). Binge Drinking and Obesity-Related Eating: The Moderating Roles of the Eating Broadcast Viewing Experience among Korean Adults. International Journal of Environmental Research and Public Health, 18(15), 8066. https://doi.org/10.3390/ijerph18158066

