Application of a High-Precision Aeolian Sand Collector in Field Wind and Sand Surveys
Abstract
:1. Introduction
2. Materials and Methods
2.1. Study Area
2.2. Construction of the Sand Collector
2.3. Data Collection and Processing
3. Results and Analysis
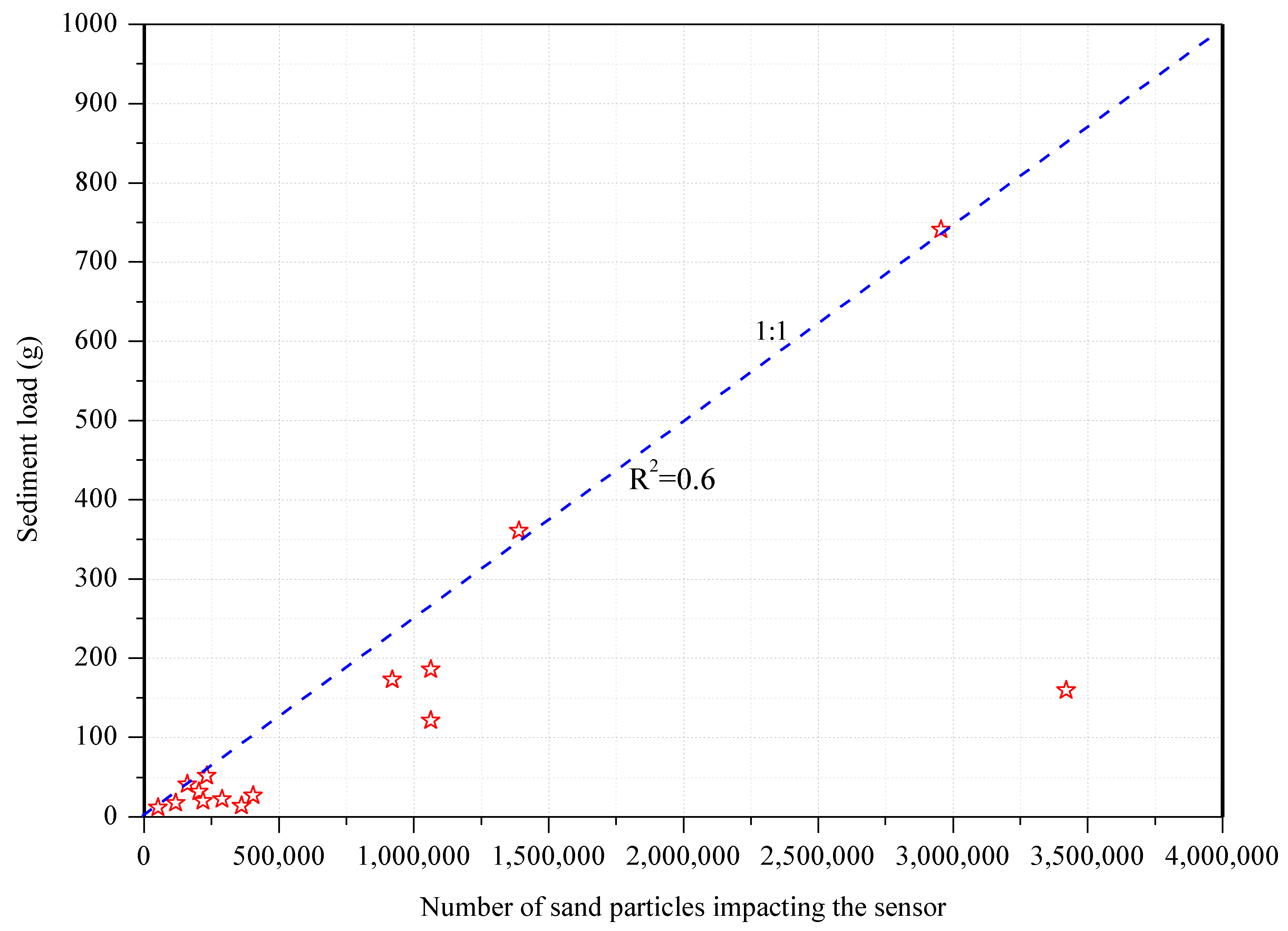
3.1. Analysis of the Correlation between the Number of Impacted Particles and the Amount of Sediment Collected
3.2. Sand Collection and Sand Collection Efficiency
3.3. Sand Dust Horizontal Flux Calculation
3.4. Sand Transportation Rate and Wind Speed
4. Discussion
5. Conclusions
Author Contributions
Funding
Institutional Review Board Statement
Informed Consent Statement
Data Availability Statement
Conflicts of Interest
References
- Anderson, R.S.; Haff, P.K. Simulation of eolian saltation. Science 1988, 241, 820–824. [Google Scholar] [CrossRef]
- Kok, J.F.; Parteli, E.J.; Michaels, T.I.; Karam, D.B. The physics of wind-blown sand and dust. Rep. Prog. Phys. Physical Soc. 2012, 75, 106901. [Google Scholar] [CrossRef] [Green Version]
- Shao, Y.P. Physics and Modelling of Wind Erosion; Kluwer Academic Publishers: Dordrecht, The Netherlands, 2008. [Google Scholar]
- Ravi, S.; D’Odorico, P.; Breshears, D.D.; Field, J.P.; Goudie, A.; Huxman, T.E.; Li, J.; Okin, G.; Swap, R.; Thomas, A.; et al. Aeolian process and the biosphere. Rev. Geophys. 2011, 49, 45. [Google Scholar] [CrossRef] [Green Version]
- Bullard, J.E.; Baddock, M.; Bradwell, T.; Crusius, J.; Darlington, E.; Gaiero, D.M.; Gassó, S.; Gisladottir, G.; Hodgkins, R.; McCulloch, R.; et al. High-latitude dust in the Earth system. Rev. Geophys. 2016, 54, 447–485. [Google Scholar] [CrossRef] [Green Version]
- Jiang, F.; Ren, B.; Hursthouse, A.S.; Zhou, Y. Trace Metal Pollution in Topsoil Surrounding the Xiangtan Manganese Mine Area (South-Central China): Source Identification, Spatial Distribution and Assessment of Potential Ecological Risks. Int. J. Environ. Res. Public Health 2018, 15, 2412. [Google Scholar] [CrossRef] [Green Version]
- Shao, Y.; Wyrwoll, K.H.; Chappell, A.; Huang, J. Dust cycle: An emerging core theme in earth system science. Aeolian Res. 2011, 2, 181–204. [Google Scholar] [CrossRef]
- Zou, X.; Zhang, C.; Cheng, H.; Kang, L.; Wu, Y. Cogitation on developing a dynamic model of soil wind erosion. Sci. China Earth Sci. 2015, 58, 462–473. [Google Scholar] [CrossRef]
- Sharratt, B.S.; Mcguire, A.; Horneck, D. Early-season wind erosion influenced by soil-incorporated green manure in the Pacific Northwest. Soil Sci. Soc. Am. J. 2018, 82, 678–684. [Google Scholar] [CrossRef]
- WHO. Air Quality Guidelines: Global Update 2005: Particulate Matter, Ozone, Nitrogen Dioxide, and Sulfur Dioxide; WHO: Geneva, Switzerland, 2006. [Google Scholar]
- Li, J.; Shang, J.; Huang, D.; Tang, S.; Zhao, T.; Yang, X.; Zhang, Q.; Liu, K.; Shao, X. Grazing and Cultivated Grasslands Cause Different Spatial Redistributions of Soil Particles. Int. J. Environ. Res. Public Health 2019, 16, 2639. [Google Scholar] [CrossRef] [Green Version]
- Zhang, S.; Ding, G.-D.; Yu, M.-H.; Gao, G.-L.; Zhao, Y.-Y.; Wu, G.-H.; Wang, L. Effect of Straw Checkerboards on Wind Proofing, Sand Fixation, and Ecological Restoration in Shifting Sandy Land. Int. J. Environ. Res. Public Health 2018, 15, 2184. [Google Scholar] [CrossRef] [Green Version]
- Peri, P.L.; Bloomberg, M. Wind breaks in southern Patagonia, Argentina: A review of research on growth models, windspeed reduction, and effects oncrops. Agrofor. Syst. 2002, 56, 129–144. [Google Scholar] [CrossRef]
- Wang, L.-Y.; Xiao, Y.; Rao, E.-M.; Jiang, L.; Xiao, Y.; Ouyang, Z.-Y. An Assessment of the Impact of Urbanization on Soil Erosion in Inner Mongolia. Int. J. Environ. Res. Public Health 2018, 15, 550. [Google Scholar] [CrossRef] [Green Version]
- Alemu, M.M. Ecological benefits of trees as wind breaks and shelter belts. Phys. Geogr. 2016, 6, 10–13. [Google Scholar]
- Tshehla, C.E.; Wright, C.Y. Spatial and Temporal Variation of PM10 from Industrial Point Sources in a Rural Area in Limpopo, South Africa. Int. J. Environ. Res. Public Health 2019, 16, 3455. [Google Scholar] [CrossRef] [PubMed] [Green Version]
- Nickling, W.G.; McKenna Neuman, C. Wind tunnel evaluation of a wedgeshaped aeolian sediment trap. Geomorphology 1997, 18, 333–345. [Google Scholar] [CrossRef]
- Ono, D.; Weaver, S.; Richmond, K. Quantifying Particulate Matter Emissions from Wind Blown Dust using Real-Time Sand Flux Measurements; Owens Emissions Papers, Paper-C; EPA: Washington, DC, USA, 2003.
- Zobeck, T.M.; Sterk, G.; Funk, R.; Rajot, J.L.; Stout, J.E.; Van Pelt, R.S. Measurement and data analysis methods for field-scale wind erosion studies and model validation. Earth Surf. Proc. Land. 2003, 28, 1163–1188. [Google Scholar] [CrossRef]
- Van Pelt, R.S.; Peters, P.; Visser, S. Laboratory wind tunnel testing of three com-monly used saltation impact sensors. Aeolian Res. 2009, 1, 55–62. [Google Scholar] [CrossRef]
- Webb, N.P.; Herrick, J.E.; Van Zee, J.W. The national wind erosion research network: Building astandardized long-term data resource for aeolian research, modeling and land man-agement. Aeolian Res. 2016, 22, 23–36. [Google Scholar] [CrossRef] [Green Version]
- Goossens, D.; Nolet, C.; Etyemezian, V. Field testing, comparison, and discussion of five aeolian sand transport measuring devices operating on different measuring principles. Aeolian Res. 2018, 32, 1–13. [Google Scholar] [CrossRef]
- Leatherman, S.P. Short communication: A new aeolian sand trap design. Sedimentology 1978, 25, 303–306. [Google Scholar] [CrossRef]
- Fryberger, S.G.; Al-Sari, A.M.; Clisham, T.J. Wind sedimentation in the Jafurah sand sea, Saudi Arabia. Sedimentology 1984, 31, 413–431. [Google Scholar] [CrossRef]
- Zhong, H.Y.; Lin, C.; Sun, Y.; Kikumoto, H.; Ooka, R.; Zhang, H.L.; Hu, H.; Zhao, F.Y.; Jimenez-Bescos, C. Boundary layer wind tunnel modeling experiments on pumping ventilation through a three-story reduce-scaled building with two openings. Build. Environ. 2021, 202, 108043. [Google Scholar] [CrossRef]
- Wang, R.D.; Li, Q.; Chang, C.P.; Guo, Z.L. Sampling efficiency of a new flat opening collector for particles with various sizes. J. Des. Res. 2018, 38, 734. [Google Scholar]
- Wilson, S.J.; Cooke, R.U. Wind erosion. In Soil Erosion; Kirkby, M.J., Morgan, R.P.C., Eds.; Wiley: Chichester, UK, 1980; pp. 217–252. [Google Scholar]
- Fryrear, D.W. A field dust sampler. J. Soil Water Conserv. 1986, 41, 117–120. [Google Scholar]
- Dong, Z.; Sun, H.; Zhao, A. WITSEG sampler: A segmented sand sampler for wind tunnel test. Geomorphology 2004, 59, 119–129. [Google Scholar] [CrossRef]
- Zhao, Y.L.; Ma, S.S.; Chen, Z.; Sun, Y.C. The calibration of the whirl type separation sand sampler. J. Agr. Mech. Res. 2007, 4, 95–98. [Google Scholar]
- Gu, Z.; Guo, L. Experimental investigation on trap stagnant effect and sand flux in aeolian sand transport. Phys. Lett. A 2007, 368, 435–441. [Google Scholar] [CrossRef]
- Basaran, M.; Erpul, G.; Uzun, O.; Gabriels, D. Comparative efficiency testing for a newly designed cyclone type sediment trap for wind erosion measurements. Geomorphol. 2011, 130, 343–351. [Google Scholar] [CrossRef]
- Rotnicka, J. Aeolian vertical mass flux profiles above dry and moist sandy beach surfaces. Geomorphol. 2013, 187, 27–37. [Google Scholar] [CrossRef]
- Sherman, D.; Swann, C.; Barron, J. A high-efficiency, low-cost aeolian sand trap. Aeolian Res. 2014, 13, 31–34. [Google Scholar] [CrossRef]
- Hilton, M.; Nickling, B.; Wakes, S.; Sherman, D.; Konlechner, T.; Jermy, M.; Geoghegan, P. An efficient, self-orienting, vertical-array, sand trap. Aeolian Res. 2017, 25, 11–21. [Google Scholar] [CrossRef]
- Goossens, D.; Offer, Z.; London, G. Wind tunnel and field calibration of five aeolian sand traps. Geomorphology 2000, 35, 233–252. [Google Scholar] [CrossRef]
- Kang, Y.; He, Q.; Yang, X. Based on the earth’s surface layer dust flux field observation and study on collection efficiency. Am. J. Med. Sci. Med. 2017, 5. [Google Scholar] [CrossRef]
- An, M.; Li, S.; Liu, Z.; Yan, B.; Li, L.; Chen, Z. Galloping vibration of stay cable installed with a rectangular lamp: Field observations and wind tunnel tests. J. Wind. Eng. Ind. Aerodyn. 2021, 215, 104685. [Google Scholar]
- Shannak, B.; Corsmeier, U.; Kottmeier, C.; Al-Azab, T. Wind tunnel study of twelve dust samples by large particle size. Atmos. Environ. 2014, 98, 442–453. [Google Scholar] [CrossRef]
- Martin, R.L.; Kok, J.F. Size-independent susceptibility to transport in aeolian saltation. J. Geophys. Res. Earth Surf. 2019, 124, 1658–1674. [Google Scholar] [CrossRef] [Green Version]
- Namikas, S.L. Field evaluation of two traps for high-resolution aeolian transport measurements. J. Coast. Res. 2002, 18, 136–148. [Google Scholar]
- Haustein, K.; Washington, R.; King, J. Testing the performance of state-of-the-art dust emission schemes using DO4Models field data. Geosci. Model Dev. 2015, 8, 341–362. [Google Scholar] [CrossRef] [Green Version]
- Li, Z.S.; Ni, J.R. Sampling efficiency of vertical array aeolian sand traps. Geomorphology 2003, 52, 243–252. [Google Scholar] [CrossRef]
- Lin, Y.; Hang, J.; Yang, H.; Chen, L.; Chen, G.; Ling, H.; Sandberg, M.; Claesson, L.; Lam, C.K.C. Investigation of the Reynolds number independence of cavity flow in 2D street canyons by wind tunnel experiments and numerical simulations. Build. Environ. 2021, 201, 107965. [Google Scholar] [CrossRef]
- Zhao, C.M. Analysis of Sand Grain Morphology in Taklimakan Desert; Xinjiang Normal University: Urumqi, China, 2012; (In Chinese with English Abstract). [Google Scholar]
- He, Q.; Yang, X.H. Study on wind-induced sand observations in Taklimakan Desert—Preliminary study of test and observation results. J. China Desert 2011, 31, 56–61, (In Chinese with English Abstract). [Google Scholar]
- Yang, X.H.; He, Q. A field experiment on dust emission by wind erosion in the Taklimakan desert. Acta Meteor, Sinica 2012, 26, 241–249. [Google Scholar] [CrossRef]
- Kang, Y.; He, Q. Urumqi. J. Arid Land Resour. Environ. 2017, 31, 119–125, (In Chinese with English Abstract). [Google Scholar]
- Xu, J.; Xiao, Y.; Xie, G.; Zhen, L.; Wang, Y.; Jiang, Y. The spatio-temporal disparities of areas benefitting from the wind erosion prevention service. Int. J. Environ. Res. Public Health 2018, 15, 1510. [Google Scholar] [CrossRef] [Green Version]
- Anderson, R.S.; Haff, P.K. Wind modification and bed response during saltation of sand in air. Acta Mech. Suppl. 1991, 1, 21–51. [Google Scholar]
- McEwan, I.K.; Willetts, B.B. Adaptation of the near-surface wind to the development of sand transport. J. Fluid Mech. 1993, 252, 99–115. [Google Scholar] [CrossRef]
- Ungar, J.E.; Haff, P.K. Steady-state saltation in air. Sedimentology 1987, 34, 289–299. [Google Scholar] [CrossRef]
- Ma, G.; Wang, Y.; Zheng, J. Numerical analysis of the influence of the near ground turbulence on the wind-sand flow under the natural wind. Granular Matter 2021, 23, 40. [Google Scholar] [CrossRef]
- Huang, N.; He, P.; Zhang, J. Large-eddy simulation of sand transport under unsteady wind. Geomorphol. 2020, 358, 107105. [Google Scholar] [CrossRef]
- Shao, Y.; Raupach, M.R. The overshoot and equilibration of saltation. J. Geophys. Res. 1992, 97, 20559–20564. [Google Scholar] [CrossRef]
- Rice, M.A.; Willetts, B.B.; McEwan, I.K. An experimental study of multiple grain-size ejecta produced by collisions of saltating grains with a flat bed. Sedimentology 1995, 42, 695–706. [Google Scholar] [CrossRef]
- Kok, J.F.; Renno, N.O. A comprehensive numerical model of steady state saltation (COMSALT). J. Geophys. Res. 2009, 114, D17204. [Google Scholar] [CrossRef] [Green Version]
- Gillette, D.A. On the production of soil wind erosion having the potential for long range transport. J. Rech. Atmos. 1974, 8, 734–744. [Google Scholar]
- Shao, Y.; Raupach, M.R.; Findlater, P.A. Effect of saltation bombardment on the entrainment of dust by wind. J. Geophys. Res. 1993, 98, 12719–12726. [Google Scholar] [CrossRef] [Green Version]
- Dur’an, O.; Claudin, P.; Andreotti, B. On aeolian transport: Grain-scale interactions, dynamical mechanisms and scaling laws. Aeolian Res. 2011, 3, 243–270. [Google Scholar] [CrossRef]
- Bagnold, R.A. The movement of desert sand Proc. R. Soc. Lond. A 157 0594–620 Owen P R 1964 Saltation of uniform grains in air. J. Fluid Mech. 1936, 20, 225–242. [Google Scholar]
- Owen, P.R. Saltation of uniform grains in air. J. Fluid Mech. 1964, 20, 225–242. [Google Scholar] [CrossRef]
- Sorensen, M.; McEwan, I. On the effect of mid-air collisions on aeolian saltation. Sedimentology 1996, 43, 65–76. [Google Scholar] [CrossRef]
- Dong, Z.; Liu, X.; Li, F.; Wang, H.; Zhao, A. Impact-entrainment relationship in a saltating cloud. Earth Surf. Process. Landf. 2002, 27, 641–658. [Google Scholar] [CrossRef]
- Dong, Z.B.; Huang, N.; Liu, X.P. Simul of the probability of midair interparticle collisions in an aeolian saltating cloud. J. Geophys. Res. 2005, 110, D24113. [Google Scholar] [CrossRef] [Green Version]
- Huang, N.; Zhang, Y.L.; D’Adamo, R. A model of the trajectories and midair collision probabilities of sand particles in a steady state saltation cloud. J. Geophys. Res. 2007, 112, D08206. [Google Scholar] [CrossRef]
- Rice, M.A.; Willetts, B.B.; McEwan, I.K. Observations of collisions of saltating grains with a granular bed from high-speed cine-film. Sedimentology 1996, 43, 21–31. [Google Scholar] [CrossRef]
- Gordon, M.; Neuman, C.M. A comparison of collisions of saltating grains with loose and consolidated silt surfaces. J. Geophys. Res. 2009, 114, F04015. [Google Scholar] [CrossRef]
- Oger, L.; Ammi, M.; Valance, A. Discrete Element Method studies of the collision of one rapid sphere on 2D and 3D packings. Eur. Phys. J. E 2005, 17, 467–476. [Google Scholar] [CrossRef]
- Oger, L.; Ammi, M.; Valance, A. Study of the collision of one rapid sphere on 3D packings: Experimental and numerical results. Comput. Math. Appl. 2008, 55, 132–148. [Google Scholar] [CrossRef]
- Werner. B.T. A steady-state model of wind-blown sand transport. J. Geol. 1990, 98, 1–17.
- Mitha, S.; Tran, M.Q.; Werner, B.T. The grain-bed impact process in aeolian saltation. Acta Mech. 1986, 63, 267–278. [Google Scholar] [CrossRef]
- Ho, T.D.; Dupont, P.; El Moctar, A.O.; Valance, A. 2012 Particle velocity distribution in saltation transport. Phys. Rev. E 2012, 85, 052301. [Google Scholar] [CrossRef] [PubMed]
- Fu, G.; Xu, X.; Qiu, X.; Xu, G.; Shang, W.; Yang, X.; Zhao, P.; Chai, C.; Hu, X.; Zhang, Y.; et al. Wind tunnel study of the effect of planting Haloxylon ammodendron on aeolian sediment transport. Biosyst. Eng. 2021, 208, 234–245. [Google Scholar] [CrossRef]
- Baas, A.C.W. Evaluation of saltation flux impact responders (Safires) for measuring instantaneous aeolian sand transport intensity. Geomorphology 2004, 59, 99–118. [Google Scholar] [CrossRef]
- McKee, E.D. A Study of Global Sand Seas; US Government Printing Office: Washington, DC, USA, 1979.
- Dong, Z.B.; Man, D.Q.; Luo, W.Y. Horizontal aeolian sediment flux in the Minqin area, a major source of Chinese dust storms. Geomorphology 2010, 116, 58–66. [Google Scholar] [CrossRef]
- Sharratt, B. Size distribution of windblown sediment emitted from agricultural fields in the Columbia Plateau. Soil Sci. Soc. Am. J. 2011, 75, 1054–1060. [Google Scholar] [CrossRef]
- Farrell, E.J.; Sherman, D.J. Vertical distribution of grain size for wind blown sand. Aeolian Res. 2012, 7, 51–61. [Google Scholar] [CrossRef]
- Zhang, Z.C.; Dong, Z.B.; Zhao, A.G. The characteristics of aeolian sediment flux profiles in the south-eastern Tengger Desert. Sedimentology 2011, 58, 1884–1894. [Google Scholar] [CrossRef]
- Pierre, C.; Bergametti, G.; Marticorena, B. Modeling wind erosion flux and its seasonality from a cultivated sahelian surface: A case study in Niger. Catena 2014, 122, 61–71. [Google Scholar] [CrossRef]
- Zhang, Z.C.; Dong, Z.B.; Qian, G.Q. An investigation into the pro-cesses and quantity of dust emissions over gravel and sand deserts in north-western China. Bound. Layer Meteorol. 2017, 163, 523–535. [Google Scholar] [CrossRef]
- EParteli, J.R.; Herrmann, H.J. A simple model for a transverse dune field. Physica A 2003, 327, 554–562. [Google Scholar] [CrossRef] [Green Version]
- Hersen, P.; Andersen, K.H.; Elbelrhiti, H.; Andreotti, B.; Claudin, P.; Douady, S. Corridors of barchan dunes: Stability and size selection. Phys. Rev. E 2004, 69, 011304. [Google Scholar] [CrossRef] [PubMed] [Green Version]
- Elbelrhiti, H.; Claudin, P.; Andreotti, B. Field evidence for surface-wave-induced instability of sand dunes. Nature 2005, 437, 720–723. [Google Scholar] [CrossRef]
- Hersen, P.; Douady, S. Collision of barchan dunes as a mechanism of size regulation. Geophys. Res. Lett. 2005, 32, 21403. [Google Scholar] [CrossRef]
- Diniega, S.; Glasner, K.; Byrne, S. Long-time evolution of models of aeolian sand dune fields: Influence of dune formation and collision. Geomorphol. 2010, 121, 55–68. [Google Scholar] [CrossRef]
- Herrmann, H.J.; Durán, O.; Parteli, E.J.R.; Schatz, V. Vegetation and Induration as Sand Dunes Stabilizators. J. Coast. Res. 2008, 246, 1357–1368. [Google Scholar] [CrossRef] [Green Version]
- Parteli, E.J.R.; Durán, O.; Herrmann, H.J. The shape of the barchan dunes in the Arkhangelsky Crater on Mars. In Proceedings of the 37th Annual Lunar and Planetary Science Conference, League City, TX, USA, 13–17 March 2006. [Google Scholar]
- Claudin, P.; Andreotti, B. A scaling law for aeolian dunes on Mars, Venus, Earth, and for subaqueous ripples. Earth Planet. Sci. Lett. 2006, 252, 30–44. [Google Scholar] [CrossRef] [Green Version]
- Parteli, E.J.R.; Herrmann, H.J. Dune formation on the present Mars. Phys. Rev. E 2007, 76, 041307. [Google Scholar] [CrossRef] [PubMed] [Green Version]
- Katsuki, A.; Nishimori, H.; Endo, N.; Taniguchi, K. Collision Dynamics of Two Barchan Dunes Simulated Using a Simple Model. J. Phys. Soc. Jpn. 2005, 74, 538–541. [Google Scholar] [CrossRef] [Green Version]
- Endo, N.; Taniguchi, K.; Katsuki, A. Observation of the whole process of interaction between barchans by flume experiments. Geophys. Res. Lett. 2004, 31, 12503. [Google Scholar] [CrossRef]
- Durán, O.; Schwämmle, V.; Herrmann, H. Breeding and solitary wave behavior of dunes. Phys. Rev. E 2005, 72, 021308. [Google Scholar] [CrossRef] [Green Version]
- Génois, M.; Du Pont, S.C.; Hersen, P.; Grégoire, G. An agent based model of dune interactions produces the emergence of patterns in deserts. Geophys. Res. Lett. 2013, 40, 3909–3914. [Google Scholar] [CrossRef] [Green Version]











| Observation Time | Coefficient of Determination (R2) | ||||
|---|---|---|---|---|---|
| Exponential Function | Logarithmic Function | Power Function | Linear Function | ||
| July | 19 (8:35–21:25) | 0.45 | 0.62 | 0.69 | 0.6 |
| 20 (19:35–21:25) | 0.33 | 0.18 | 0.26 | 0.28 | |
| 21 (20:20–22day5:25) | 0.32 | 0.34 | 0.45 | 0.60 | |
| 29 (22:15–30 day 2:15) | 0.44 | 0.3 | 0.55 | 0.69 | |
| 31 (13:10–8.1 day 7:10) | 0.34 | 0.25 | 0.35 | 0.49 | |
| August | 1 (21:40–23:25) | 0.63 | 0.68 | 0.75 | 0.82 |
| 4 (11:35–21:15) | 0.44 | 0.31 | 0.43 | 0.72 | |
| 5 (10:20–20:25) | 0.32 | 0.38 | 0.53 | 0.78 | |
| 7 (9:30–21:55) | 0.26 | 0.24 | 0.25 | 0.38 | |
| 8 (10:35–20:25) | 0.28 | 0.48 | 0.55 | 0.44 | |
| 9 (13:15–18:05) | 0.60 | 0.31 | 0.44 | 0.84 | |
| 13 (10:30–21:25) | 0.33 | 0.27 | 0.32 | 0.63 | |
| 14 (10:00–21:15) | 0.43 | 0.31 | 0.64 | 0.47 | |
| 18 (10:50–20:50) | 0.41 | 0.21 | 0.68 | 0.58 | |
| 20 (13:40–19:55) | 0.54 | 0.29 | 0.56 | 0.75 | |
| Average | 0.41 | 0.34 | 0.50 | 0.61 | |
| Observation Time | Impact Number of Particles | Observed Value of Sediment/g | Theoretical Value of Sediment Quantity/g | |
|---|---|---|---|---|
| July | 19 (8:35–21:25) | 2,936,905 | 743.4966 | 587.3810 |
| 20 (19:35–21:25) | 3,407,661 | 154.126 | 681.5322 | |
| 21 (20:20–22 day 5:25) | 920,676 | 170.5492 | 184.1352 | |
| 29 (22:15–30 day 2:15) | 147,786 | 34.6005 | 29.5572 | |
| 31 (13:10–1 day 7:10) | 1,050,073 | 179.586 | 210.0146 | |
| August | 1 (21:40–23:25) | 19,772 | 4.5764 | 3.9544 |
| 4 (11:35–21:15) | 195,696 | 26.6128 | 39.1392 | |
| 5 (10:20–20:25) | 116,005 | 12.3933 | 23.201 | |
| 7 (9:30–21:55) | 231,534 | 43.2746 | 46.3068 | |
| 8 (10:35–20:25) | 1,048,891 | 118.5805 | 209.7782 | |
| 9 (13:15–18:05) | 1,380,718 | 354.3815 | 276.1436 | |
| 13 (10:30–21:25) | 210,702 | 14.2759 | 42.1404 | |
| 14 (10:00–21:15) | 390,274 | 25.0633 | 78.0548 | |
| 18 (10:50–20:50) | 293,093 | 15.7758 | 58.6186 | |
| 20 (13:40–19:55) | 349,610 | 4.5021 | 69.922 |
Publisher’s Note: MDPI stays neutral with regard to jurisdictional claims in published maps and institutional affiliations. |
© 2021 by the authors. Licensee MDPI, Basel, Switzerland. This article is an open access article distributed under the terms and conditions of the Creative Commons Attribution (CC BY) license (https://creativecommons.org/licenses/by/4.0/).
Share and Cite
Liu, X.; Kang, Y.; Chen, H.; Lu, H. Application of a High-Precision Aeolian Sand Collector in Field Wind and Sand Surveys. Int. J. Environ. Res. Public Health 2021, 18, 7393. https://doi.org/10.3390/ijerph18147393
Liu X, Kang Y, Chen H, Lu H. Application of a High-Precision Aeolian Sand Collector in Field Wind and Sand Surveys. International Journal of Environmental Research and Public Health. 2021; 18(14):7393. https://doi.org/10.3390/ijerph18147393
Chicago/Turabian StyleLiu, Xinchun, Yongde Kang, Hongna Chen, and Hui Lu. 2021. "Application of a High-Precision Aeolian Sand Collector in Field Wind and Sand Surveys" International Journal of Environmental Research and Public Health 18, no. 14: 7393. https://doi.org/10.3390/ijerph18147393
APA StyleLiu, X., Kang, Y., Chen, H., & Lu, H. (2021). Application of a High-Precision Aeolian Sand Collector in Field Wind and Sand Surveys. International Journal of Environmental Research and Public Health, 18(14), 7393. https://doi.org/10.3390/ijerph18147393

