Effects of the Action for Neutralization of Bullying Program on Bullying in Spanish Schoolchildren
Abstract
:1. Introduction
1.1. Effects of Bullying on Well-Being and Health
1.2. Anticipating Bullying
1.3. Effectiveness of Anti-Bullying Programs in Schools
1.4. The Action for Neutralization of Bullying Program
1.5. Objectives and Hypotheses
2. Materials and Methods
2.1. Design
2.2. Ethical Concerns
2.3. Participants and Procedure
2.4. Instruments
2.5. Data Analysis
3. Results
3.1. Program Effects
3.2. Maintaining Results
4. Discussion
5. Conclusions
Limitations
Author Contributions
Funding
Institutional Review Board Statement
Informed Consent Statement
Data Availability Statement
Acknowledgments
Conflicts of Interest
References
- Olweus, D. Bullying at School: Basic Facts and Effects of a School Based Intervention Program. J. Child Psychol. Psychiatry 1994, 35, 1171–1190. [Google Scholar] [CrossRef]
- Sharp, S.; Smith, P.K. Tackling Bullying in Your School: A Practical Handbook for Teachers. In Bullying School Psychology; Routledge: London, UK, 1994. [Google Scholar]
- Patchin, J.W.; Hinduja, S. Measuring cyberbullying: Implications for research. Aggress. Violent Behav. 2015, 23, 69–74. [Google Scholar] [CrossRef]
- Espelage, D.L.; Simon, T.R.; Bosworth, K. Factors Associated with Bullying Behavior in Middle School Students. J. Early Adolesc. 1999, 19, 341–362. [Google Scholar]
- Espelage, D.L.; Bosworth, K.; Simon, T.R. Examining the Social Context of Bullying Behaviours in early adolescence. J. Couns. Dev. 2000, 78, 326–333. [Google Scholar] [CrossRef]
- Knauf, R.; Eschenbeck, H.; Hock, M. Bystanders of bullying: Social-cognitive and affective reactions to school bullying and cyberbullying. Cyberpsy J. Psychosocial Res. 2018, 12, 4. [Google Scholar] [CrossRef] [Green Version]
- Zych, I.; Baldry, A.C.; Farrington, D.P. School bullying and cyberbullying: Prevalence, characteristics, outcomes, and prevention. In Handbook of Behavioral Criminology; Springer International Publishing: Cham, Switzerland, 2017; pp. 10–25. [Google Scholar] [CrossRef]
- Salmon, S.; Turner, S.; Taillieu, T.; Fortier, J.; Afifi, T.O. Bullying victimization experiences among middle and high school adolescents: Traditional bullying, discriminatory harassment, and cybervic-timization. J. Adolesc. 2018, 63, 29–40. [Google Scholar] [CrossRef]
- Jadambaa, A.; Thomas, H.J.; Scott, J.G.; Graves, N.; Brain, D.; Pacella, R. Preva-lence of traditional bullying and cyberbullying among children and adolescents in Australia: A systematic review and meta-analysis. Aust. N. Z. J. Psychiatry 2019, 53, 878–888. [Google Scholar] [CrossRef] [PubMed]
- Bond, L.; Carlin, J.B.; Thomas, L.; Rubin, K.; Patton, G. Does bullying cause emotional problems? A prospective study of young teenagers. BMJ 2001, 323, 480–484. [Google Scholar] [CrossRef] [PubMed] [Green Version]
- Camerini, A.L.; Marciano, L.; Carrara, A.; Schulz, P.J. Cyberbullying perpetration and victimization among children and adolescents: A systematic review of longitudinal studies. Telemat. Informatics 2020, 49, 101362. [Google Scholar] [CrossRef]
- De Lara, E.W. Consequences of childhood bullying on mental health and relationships for young adults. J. Child. Fam. Stud. 2019, 28, 2379–2389. [Google Scholar] [CrossRef]
- Reijntjes, A.; Kamphuis, J.H.; Prinzie, P.; Telch, M.J. Peer victimization and internalizing problems in children: A meta-analysis of longitudinal studies. Child. Abus. Negl. 2010, 34, 244–252. [Google Scholar] [CrossRef]
- Lara-Ros, M.R.; Rodríguez-Jiménez, T.; Martínez-González, A.E.; Piqueras Rodríguez, J.A. Relación entre el bullying y el estado emocional y social en niños de educación primaria. Rev. Psicol. Clínica con Niños y Adolesc 2017, 4, 59–64. [Google Scholar]
- Holt, M.K.; Vivolo-Kantor, A.M.; Polanin, J.R.; Holland, K.M.; DeGue, S.; Matjasko, J.L.; Wolfe, M.; Reid, G. Bullying and Suicidal Ideation and Behaviors: A Meta-Analysis. Pediatrics 2015, 135, e496–e509. [Google Scholar] [CrossRef] [PubMed] [Green Version]
- Husky, M.M.; Delbasty, E.; Bitfoi, A.; Carta, M.G.; Goelitz, D.; Koç, C.; Lesinskiene, S.; Mihova, Z.; Otten, R.; Kovess-Masfety, V. Bullying involvement and self-reported mental health in elementary school children across Europe. Child. Abuse Negl. 2020, 107, 104601. [Google Scholar] [CrossRef]
- Cook, C.R.; Williams, K.R.; Guerra, N.G.; Kim, T.E.; Sadek, S. Predictors of bullying and victimization in childhood and adolescence: A meta-analytic investigation. Sch. Psychol. Q. 2010, 25, 65–83. [Google Scholar] [CrossRef] [Green Version]
- Besemer, S.; Ahmad, S.I.; Hinshaw, S.P.; Farrington, D.P. A systematic review and meta-analysis of the intergenerational transmission of criminal behavior. Aggress. Violent Behav. 2017, 37, 161–178. [Google Scholar] [CrossRef]
- Bisquerra Alzina, R. Educación emocional y competencias básicas para la vida. Rev. Investig. Educ. 2003, 21, 7–43. [Google Scholar]
- Healy, S.R.; Valente, J.Y.; Caetano, S.C.; Martins, S.S.; Sanchez, Z.M. Worldwide school-based psychosocial interventions and their effect on aggression among elementary school children: A systematic review 2010–2019. Aggress. Violent Behav. 2020, 55, 101486. [Google Scholar] [CrossRef]
- Kennedy, R.S. Gender differences in outcomes of bullying prevention programs: A meta-analysis. Child. Youth Serv. Rev. 2020, 119, 105506. [Google Scholar] [CrossRef]
- Ng, E.D.; Chua, J.Y.X.; Shorey, S. The Effectiveness of Educational Interventions on Traditional Bullying and Cyberbullying among Adolescents: A Systematic Review and Meta-Analysis. Trauma Violence Abus. 2020, 152483802093386. [Google Scholar] [CrossRef]
- Vos, T.; Barber, R.M.; Bell, B.; Bertozzi-Villa, A.; Biryukov, S.; Bolliger, I.; Charlson, F.; Davis, A.; Degenhardt, L.; Dicker, D.; et al. Global, regional, and national incidence, prevalence, and years lived with disability for 301 acute and chronic diseases and injuries in 188 countries, 1990-2013: A systematic analysis for the Global Burden of Disease Study 2013. Lancet 2015, 386, 743–800. [Google Scholar] [CrossRef] [Green Version]
- Jiménez-Barbero, J.A.; Ruiz-Hernández, J.A.; Llor-Zaragoza, L.; Pérez-García, M.; Llor-Esteban, B. Effectiveness of anti-bullying school programs: A meta-analysis. Child. Youth Serv. Rev. 2016, 61, 165–175. [Google Scholar] [CrossRef]
- Ferguson, C.J.; Kilburn, J.C. The Effectiveness of School-Based Anti-Bullying Programs A Meta-Analytic Review. SAGE J. 2007, 32, 401–414. [Google Scholar]
- Cunningham, C.E.; Mapp, C.; Rimas, H.; Cunningham, L.; Mielko, S.; Vaillancourt, T.; Marcus, M.; Cunningham, C.E.; Mapp, C.; Rimas, H.; et al. Psychology of Violence What Limits the Effectiveness of Antibullying Programs? A Thematic Analysis of the Perspective of Students What Limits the Effectiveness of Antibullying Programs? A Thematic Analysis of the Perspective of Students. Psychol. Violence 2016, 6, 596–606. [Google Scholar] [CrossRef]
- Zych, I.; Ttofi, M.M.; Farrington, D.P. Empathy and Callous–Unemotional Traits in Different Bullying Roles: A Systematic Review and Meta-Analysis. Trauma Violence Abus. 2019, 20, 3–21. [Google Scholar] [CrossRef] [PubMed]
- Avşar, F.; Ayaz Alkaya, S. The effectiveness of assertiveness training for school-aged children on bullying and assertiveness level. J. Pediatr. Nurs. 2017, 36, 186–190. [Google Scholar] [CrossRef]
- Irshad, E.; Atta, M. Social competence as predictor of bullying among children and adolescents. J. Indian Acad. Appl. Psychol. 2013, 39, 35–42. [Google Scholar]
- Levine, E.; Tamburrino, M. Bullying Among Young Children: Strategies for Prevention. Early Child. Educ. J. 2014, 42, 271–278. [Google Scholar] [CrossRef]
- Wachs, S.; Bilz, L.; Fischer, S.M.; Schubarth, W.; Wright, M.F. Students’ willingness to intervene in bullying: Direct and indirect associations with classroom cohesion and self-efficacy. Int. J. Environ. Res. Public Health. 2018, 15, 2577. [Google Scholar] [CrossRef] [Green Version]
- Menesini, E.; Nocentini, A.; Camodeca, M. Morality, values, traditional bullying, and cyberbullying in adolescence. Br. J. Dev. Psychol. 2013, 31, 1–14. [Google Scholar] [CrossRef]
- Kovalenko, A.G.; Abraham, C.; Graham-Rowe, E.; Levine, M.; O’Dwyer, S. What Works in Violence Prevention among Young People? A Systematic Review of Reviews. Trauma Violence Abus. 2020, 152483802093913. [Google Scholar] [CrossRef]
- Currie, C.; Inchley, J.; Molcho, M.; Lenzi, M.; Veselska, Z.; Wild, F. Health Behaviour in Schoolaged Children (HBSC) Study Protocol: Background, Methodology and Mandatory Items for the 2013/14 Survey; Child and Adolescent Health Research Unit (CAHRU): St. Andrews, Scotland, UK, 2014. [Google Scholar]
- Hollingshead, A.A. (Yale University, New Haven, CT, USA). Unpublished Work, 1975.
- Magaz, A.M.; Chorot, P.; Santed, M.A.; Valiente, R.M.; Sandín, B. Evaluación del bullying como victimización: Estructura, fiabilidad y validez del Cuestionario de Acoso entre Iguales (CAI). Rev. Psicopatol. y Psicol. Clin. 2016, 21, 77–95. [Google Scholar] [CrossRef] [Green Version]
- Piqueras, J.A.; Martínez-Martínez, A.; Pineda, D.; Rodríguez-Jiménez, T.; Rivera-Riquelme, M.; Furlong, M. Psychometric properties of the Spanish version of the Revised Social Emotional Health Survey–Primary. Unpublished Work, 2020.
- Furlong, M.J.; You, S.; Renshaw, T.L.; O’Malley, M.; Rebelez, J. Preliminary development of the Positive Experiences at School Scale for elementary school children. Child. Indic. Res. 2013, 6, 753–775. [Google Scholar] [CrossRef]
- Ravens-Sieberer, U.; Herdman, M.; Devine, J.; Otto, C.; Bullinger, M.; Rose, M.; Klasen, F. The European KIDSCREEN approach to measure quality of life and well-being in children: Development, current application, and future advances. Qual. Life Res. 2014, 23, 791–803. [Google Scholar] [CrossRef] [Green Version]
- Cohen, J. Statistical Power Analysis for the Behavioral Sciences, 2nd ed.; Lawrence Erlbaum Associates: New York, NY, USA, 1988. [Google Scholar]
- Duckworth, A.L.; Yeager, D.S. Measurement Matters: Assessing Personal Qualities Other Than Cognitive Ability for Educational Purposes. Edu. Res. 2015, 44, 237–251. [Google Scholar] [CrossRef] [Green Version]



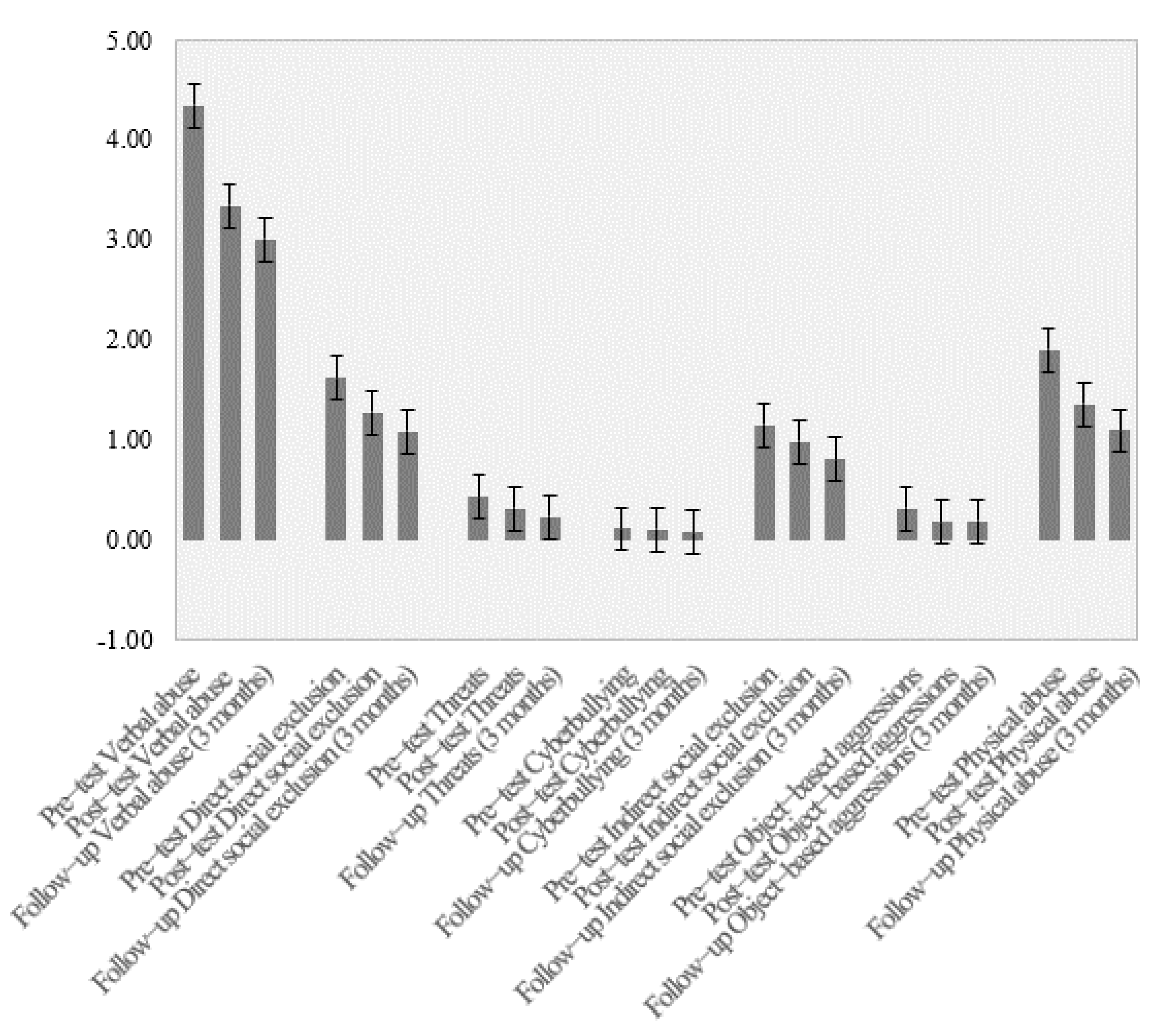
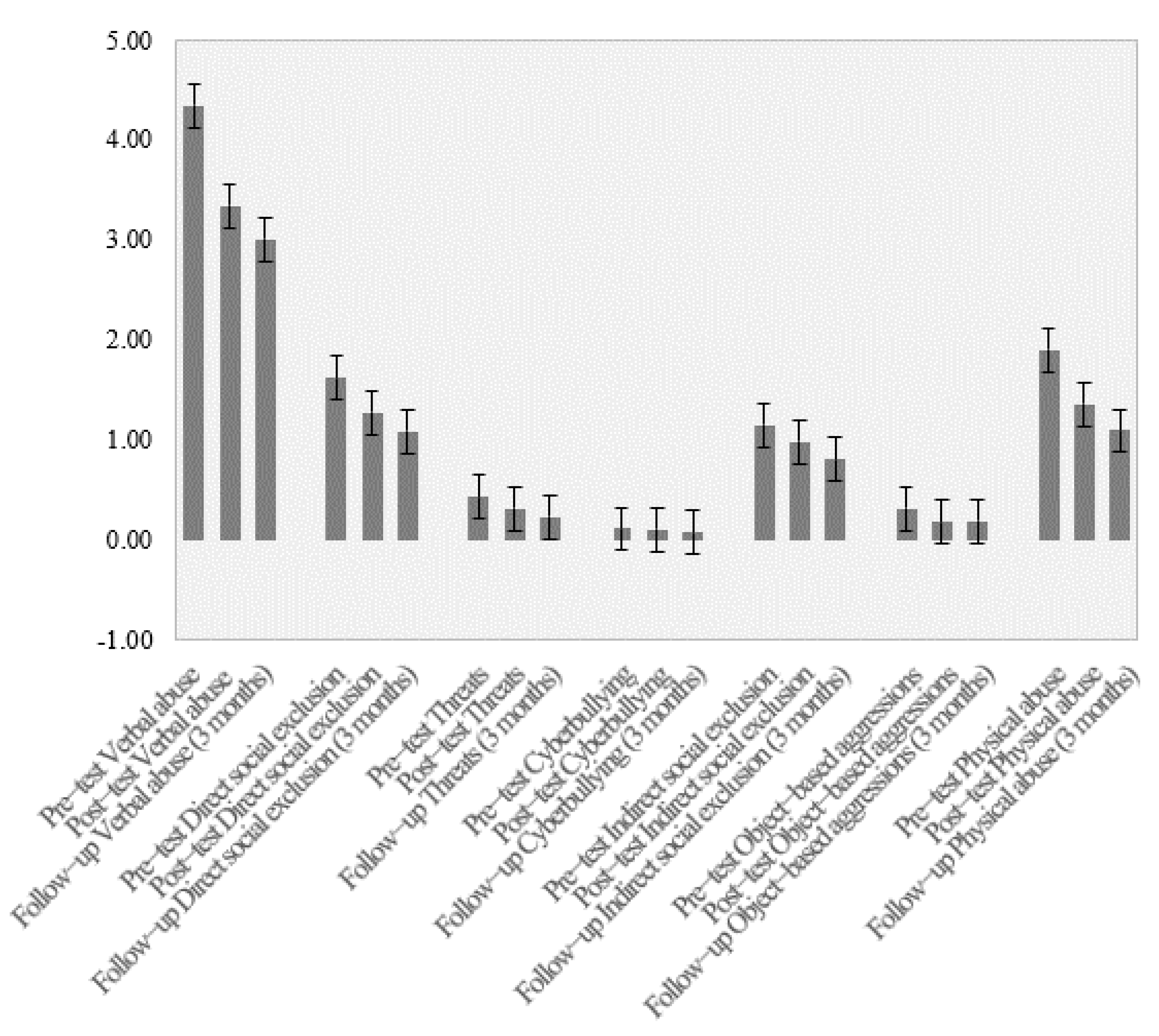
| Scale | Number of Items | Range | Girls | Boys | Total |
|---|---|---|---|---|---|
| M (SD) | M (SD) | M (SD) | |||
| Verbal abuse a | 11 | [0–22] | 3.64 (0.33) | 4.44 (0.35) | 4.56 (3.90) |
| Verbal abuse b | 2.77 (0.29) | 3.51 (0.35) | 3.56 (3.72) | ||
| Verbal abuse c | 2.53 (0.29) | 3.18 (0.33) | 3.23 (3.80) | ||
| Direct social exclusion a | 5 | [0–10] | 1.18 (0.14) | 1.81 (0.18) | 1.64 (1.85) |
| Direct social exclusion b | 0.82 (0.13) | 1.47 (0.17) | 1.30 (1.78) | ||
| Direct social exclusion c | 0.78 (0.13) | 1.27 (0.16) | 1.17 (1.79) | ||
| Threats a | 4 | [0–8] | 0.29 (0.05) | 0.42 (0.09) | 0.43 (0.90) |
| Threats b | 0.12 (0.03) | 0.39 (0.08) | 0.33 (0.87) | ||
| Threats c | 0.06 (0.02) | 0.27 (0.07) | 0.29 (0.93) | ||
| Cyberbullying a | 4 | [0–8] | 0.06 (0.03) | 0.14 (0.05) | 0.12 (0.49) |
| Cyberbullying b | 0.00 (0.00) | 0.12 (0.04) | 0.09 (0.50) | ||
| Cyberbullying c | 0.01 (0.01) | 0.05 (0.03) | 0.06 (0.38) | ||
| Indirect social exclusion b | 4 | [0–8] | 1.01 (0.12) | 0.95 (0.12) | 1.17 (1.47) |
| Indirect social exclusion c | 0.81 (0.10) | 1.00 (0.13) | 0.98 (1.35) | ||
| Indirect social exclusion d | 0.71 (0.09) | 0.73 (0.11) | 0.84 (1.28) | ||
| Object-based aggressions b | 3 | [0–6] | 0.19 (0.04) | 0.26 (0.06) | 0.33 (0.77) |
| Object-based aggressions c | 0.09 (0.03) | 0.20 (0.05) | 0.17 (0.49) | ||
| Object-based aggressions d | 0.14 (0.04) | 0.21 (0.06) | 0.22 (0.70) | ||
| Physical abuse a | 8 | [0–16] | 1.25 (0.16) | 2.31 (0.24) | 1.97 (2.32) |
| Physical abuse b | 0.73 (0.13) | 1.81 (0.21) | 1.43 (2.06) | ||
| Physical abuse c | 0.56 (0.12) | 1.35 (0.19) | 1.28 (2.24) |
| Scale | Range | Girls | Boys | Total |
|---|---|---|---|---|
| M (SD) | M (SD) | M (SD) | ||
| Optimism c | [6–24] | 21.38 (3.02) | 20.66 (3.57) | 21.13 (3.26) |
| Optimism d | 21.78 (2.88) | 20.99 (4.13) | 21.46 (3.53) | |
| Optimism e | 22.34 (2.61) | 20.64 (4.32) | 21.76 (3.22) | |
| Gratitude c | [6–24] | 22.68 (2.33) | 22.66 (3.60) | 22.22 (3.03) |
| Gratitude d | 22.77 (2.10) | 21.80 (3.60) | 22.37 (2.85) | |
| Gratitude e | 23.01 (1.80) | 21.68 (3.81) | 22.51 (2.88) | |
| Zest c | [6–24] | 17.07 (5.33) | 16.02 (5.14) | 16.54 (5.38) |
| Zest d | 17.90 (5.57) | 16.78 (5.57) | 17.41 (5.59) | |
| Zest e | 18.01 (5,80) | 17.14 (5.64) | 17.65 (5.72) | |
| Persistence c | [6–24] | 21.14 (3.40) | 20.57 (3.52) | 20.98 (3.36) |
| Persistence d | 21.49 (3.18) | 20.75 (3.83) | 21.28 (3.35) | |
| Persistence e | 22.51 (3.04) | 20.78 (4.20) | 21.33 (3.49) | |
| Prosociality c | [6–24] | 22.26 (2.68) | 21.17 (3.31) | 21.72 (3.02) |
| Prosociality d | 22.71 (2.18) | 21.15 (3.60) | 22.05 (2.96) | |
| Prosociality e | 22.74 (2.09) | 21.26 (3.95) | 22.22 (3.11) | |
| Co-vitality c | [30–120] | 82.65 (11.55) | 79.21 (12.33) | 81.65 (11.71) |
| Co-vitality d | 84.07 (11.01) | 80.74 (14.12) | 83.27 (12.06) | |
| Co-vitality e | 85.19 (10.65) | 80.38 (15.78) | 84.61 (11.53) | |
| Subjective well-being c | [5–50] | 41.24 (4.31) | 40.07 (5.41) | 40.76 (4.89) |
| Subjective well-being d | 41.90 (4.53) | 41.01 (5.52) | 41.86 (4.8) | |
| Subjective well-being e | 42.84 (3.76) | 42.02 (4.73) | 42.82 (4.00) |
Publisher’s Note: MDPI stays neutral with regard to jurisdictional claims in published maps and institutional affiliations. |
© 2021 by the authors. Licensee MDPI, Basel, Switzerland. This article is an open access article distributed under the terms and conditions of the Creative Commons Attribution (CC BY) license (https://creativecommons.org/licenses/by/4.0/).
Share and Cite
Martínez-Martínez, A.; Pineda, D.; Galán, M.; Marzo, J.C.; Piqueras, J.A. Effects of the Action for Neutralization of Bullying Program on Bullying in Spanish Schoolchildren. Int. J. Environ. Res. Public Health 2021, 18, 6898. https://doi.org/10.3390/ijerph18136898
Martínez-Martínez A, Pineda D, Galán M, Marzo JC, Piqueras JA. Effects of the Action for Neutralization of Bullying Program on Bullying in Spanish Schoolchildren. International Journal of Environmental Research and Public Health. 2021; 18(13):6898. https://doi.org/10.3390/ijerph18136898
Chicago/Turabian StyleMartínez-Martínez, Ana, David Pineda, Manuel Galán, Juan C. Marzo, and José A. Piqueras. 2021. "Effects of the Action for Neutralization of Bullying Program on Bullying in Spanish Schoolchildren" International Journal of Environmental Research and Public Health 18, no. 13: 6898. https://doi.org/10.3390/ijerph18136898
APA StyleMartínez-Martínez, A., Pineda, D., Galán, M., Marzo, J. C., & Piqueras, J. A. (2021). Effects of the Action for Neutralization of Bullying Program on Bullying in Spanish Schoolchildren. International Journal of Environmental Research and Public Health, 18(13), 6898. https://doi.org/10.3390/ijerph18136898

