Optimization of Culture Conditions for Amoxicillin Degrading Bacteria Screened from Pig Manure
Abstract
1. Introduction
2. Materials and Methods
2.1. Isolation and Selection of AMX-Degrading Bacterial Strains
2.2. Optimization of Fermentation Condition
2.2.1. Determination of the Growth Curve of Bacteria Strain
2.2.2. Fermentation Experiment
2.2.3. Selection of Significant Variables by Plackett-Burman Design (PBD)
2.2.4. Steepest Ascent Design (SAD)
2.2.5. Box-Benhnken Design (BBD)
2.2.6. Verification
3. Results and Discussion
3.1. Isolation and Preliminary Screening of AMX- Degrading Bacterial Strains from the Pig Manure
3.2. Screening by HPLC-MS/MS
3.3. Growth Curve of AMX-1
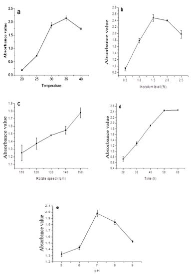
3.4. Effects of Individual Factors
3.5. Plackett–Burman Design (PBD) Screening
3.6. Steepest Ascent Design
3.7. Optimization: Box-Behnken Design
Determination of Optimal Fermentation Condition
3.8. Experimental Verification
4. Conclusions
Author Contributions
Funding
Conflicts of Interest
References
- Demirezen, D.A.; Yıldız, Y.Ş.; Yılmaz, D.D. Amoxicillin degradation using green synthesized iron oxide nanoparticles: Kinetics and mechanism analysis. Environ. Nanotechnol. Monit. Manag. 2019, 11, 100219. [Google Scholar] [CrossRef]
- Zhang, Y.; Xiao, Y.; Zhong, Y.; Lim, T.-T. Comparison of amoxicillin photodegradation in the UV/H2O2 and UV/persulfate systems: Reaction kinetics, degradation pathways, and antibacterial activity. Chem. Eng. J. 2019, 372, 420–428. [Google Scholar] [CrossRef]
- Martínez, J.L. Environmental pollution by antibiotics and by antibiotic resistance determinants. Environ. Pollut. 2009, 157, 2893–2902. [Google Scholar] [CrossRef] [PubMed]
- Ouyang, W.-Y.; Su, J.-Q.; Richnow, H.H.; Adrian, L. Identification of dominant sulfamethoxazole-degraders in pig farm-impacted soil by DNA and protein stable isotope probing. Environ. Int. 2019, 126, 118–126. [Google Scholar] [CrossRef] [PubMed]
- Rizzo, L.; Meric, S.; Guida, M.; Kassinos, D.; Belgiorno, V. Heterogenous photocatalytic degradation kinetics and detoxification of an urban wastewater treatment plant effluent contaminated with pharmaceuticals. Water Res. 2018, 43, 4070–4078. [Google Scholar] [CrossRef]
- Li, B.; Zhang, T. Biodegradation and Adsorption of Antibiotics in the Activated Sludge Process. Environ. Sci. Technol. 2010, 44, 3468–3473. [Google Scholar] [CrossRef]
- Leung, H.; Minh, T.; Murphy, M.; Lam, J.C.; So, M.; Martin, M.; Lam, P.K.; Richardson, B.; Lam, K.S.P. Distribution, fate and risk assessment of antibiotics in sewage treatment plants in Hong Kong, South China. Environ. Int. 2012, 42, 1–9. [Google Scholar] [CrossRef]
- Navarrete-Bolaños, J.L.; Téllez-Martínez, M.G.; Miranda-López, R.; Jiménez-Islas, H. An experimental strategy validated to design cost-effective culture media based on response surface methodology. Prep. Biochem. Biotechnol. 2017, 47, 578–588. [Google Scholar] [CrossRef]
- Ahmad, A.; Alkharfy, K.M.; Wani, T.A.; Raish, M. Application of Box-Behnken design for ultrasonic-assisted extraction of polysaccharides from Paeonia emodi. Int. J. Boil Macromol. 2015, 72, 990–997. [Google Scholar] [CrossRef]
- Singh, J.; Kaur, P. Optimization of process parameters for cellulase production from Bacillus sp. JS14 in solid substrate fermentation using response surface methodology. Braz. Arch. Boil Technol. 2012, 55, 505–512. [Google Scholar] [CrossRef][Green Version]
- Plackett, R.L.; Burman, J.P. The design of optimum multifactorial experiments. Biometrics 1944, 33, 305–325. [Google Scholar] [CrossRef]
- Shu, G.; Mei, S.; Zhang, Q.; Xin, N.; Chen, H. Application of the Plackett-Burman design to determine the main factors affecting the anti-oxidative activity of goat’s milk casein hydrolyzed by Alcalase and papain. Acta Sci. Pol. Technol. Aliment. 2018, 17, 257–266. [Google Scholar] [CrossRef] [PubMed]
- Chen, H.; Niu, J.; Qin, T.; Ma, Q.; Wang, L.; Shu, G. Optimization of the medium for Lactobacillus acidophilus by Plackett-Burman and steepest ascent experiment. Acta Sci. Pol. Technol. Aliment. 2015, 14, 227–232. [Google Scholar] [CrossRef] [PubMed]
- Cui, F.; Zhao, L. Optimization of Xylanase Production from Penicillium sp.WX-Z1 by a Two-Step Statistical Strategy: Plackett-Burman and Box-Behnken Experimental Design. Int. J. Mol. Sci. 2012, 13, 10630–10646. [Google Scholar] [CrossRef]
- Zhang, J.; Fu, D.; Xu, Y.; Liu, C. Optimization of parameters on photocatalytic degradation of chloramphenicol using TiO2 as photocatalyist by response surface methodology. J. Environ. Sci. 2010, 22, 1281–1289. [Google Scholar] [CrossRef]
- Wang, Q.F.; Zhu, P.L.; Xia, Z.M.; Wang, Y.; Zeng, Y.; Hou, Y. Screening and degradation properties of three kinds of agricultural antibiotics degrading fungi. J. Agric. Resour. Environ. 2018, 35, 533–539. [Google Scholar] [CrossRef]
- Yang, X.J.; Li, M.; Guo, P.P.; Li, H.L.; Hu, Z.L.; Liu, X.W.; Zhang, Q. Isolation, Screening, and Characterization of Antibiotic-Degrading Bacteria for Penicillin V Potassium (PVK) from Soil on a Pig Farm. Int. J. Environ. Res. Public Health 2019, 16, 2166. [Google Scholar] [CrossRef]
- Ignatova, T.; Iliev, I.; Kirilov, N.; Vassileva, T.; Dalgalarrondo, M.; Haertlé, T.; Chobert, J.-M.; Ivanova, I. Effect of Oligosaccharides on the Growth of Lactobacillus delbrueckiiSubsp.bulgaricusStrains Isolated from Dairy Products. J. Agric. Food Chem. 2009, 57, 9496–9502. [Google Scholar] [CrossRef]
- Wu, P.Y. Mathematical Models of the Growth and Degradation of Pyrene-Degrading Bacteria; XinJiang University: Urumqi, China, 2018. [Google Scholar]
- Altuntas, E.G.; Cosansu, S.; Ayhan, K. Some growth parameters and antimicrobial activity of a bacteriocin-producing strain Pediococcus acidilactici 13. Int. J. Food Microbiol. 2010, 141, 28–31. [Google Scholar] [CrossRef]
- Wu, H.X.; Chen, R.; Cao, X.M.; Li, H.; Bao, Z.H.; Zhen, M.G.; Wang, J.Q.; Luo, Z.H. Optimization of fermentation medium for spore production and flask-shaking fermentation conditions of marine bacteria GM-1-1. J. South. Agric. 2018, 49, 2454–2462. [Google Scholar]
- Kang, C.; Wen, T.-C.; Kang, J.-C.; Meng, Z.-B.; Li, G.-R.; Hyde, K.D. Optimization of Large-Scale Culture Conditions for the Production of Cordycepin with Cordyceps militarisby Liquid Static Culture. Sci. World J. 2014, 2014, 1–15. [Google Scholar] [CrossRef]
- Ren, X.; He, L.; Cheng, J.; Chang, J. Optimization of the Solid-state Fermentation and Properties of a Polysaccharide from Paecilomyces cicadae (Miquel) Samson and Its Antioxidant Activities In Vitro. PLoS ONE 2014, 9, e87578. [Google Scholar] [CrossRef] [PubMed]
- Zolgharnein, J.; Shahmoradi, A.; Ghasemi, J.B. Comparative study of Box-Behnken, central composite, and Doehlert matrix for multivariate optimization of Pb (II) adsorption ontoRobiniatree leaves. J. Chemom. 2013, 27, 12–20. [Google Scholar] [CrossRef]
- Rezende, C.; Almeida, M.; Brito, R.; Nonaka, C.; Leite, M. Optimisation and validation of a quantitative and confirmatory LC-MS method for multi-residue analyses of β-lactam and tetracycline antibiotics in bovine muscle. Food Addit. Contam. Part A 2012, 29, 541–549. [Google Scholar] [CrossRef]
- Xin, D.; Xiao, L.; Cheng, L.I. Optimization of fermentation conditions for preparation of antioxidant peptides from Yak blood antioxidant peptides with Bacillus subtilis. Food Mach. 2016, 32, 165–205. [Google Scholar]
- Khoshayand, F.; Goodarzi, S.; Shahverdi, A.R.; Khoshayand, M.R. Optimization of Culture Conditions for Fermentation of Soymilk Using Lactobacillus casei by Response Surface Methodology. Probiotics Antimicrob. Proteins 2011, 3, 159–167. [Google Scholar] [CrossRef]
- Divya, L.M.; Prasanth, G.K.; Sadasivan, C. Isolation of a salt tolerant laccase secreting of Trichoderma sp. NFCCI-2745 and optimization of culture conditions and assessing its effectiveness in treating saline phenolic effluents. J. Environ. Sci. 2013, 25, 2410–2416. [Google Scholar] [CrossRef]
- Huang, J.; Ou, Y.; Zhang, D.; Zhang, G.; Pan, Y. Optimization of the culture condition of Bacillus mucilaginous using Agaricus bisporus industrial wastewater by Plackett-Burman combined with Box-Behnken response surface method. AMB Express 2018, 8, 141. [Google Scholar] [CrossRef]
- Tanyildizi, M.S.; Özer, D.; Elibol, M. Optimization of α-amylase production by Bacillus sp. using response surface methodology. Process. Biochem. 2005, 40, 2291–2296. [Google Scholar] [CrossRef]
- Elazazy, M.S.; El-Hamshary, M.; Sakr, M.; Al-Easa, H.S. Plackett-Burman and Box-Behnken designs as chemometric tools for micro-determination of l-Ornithine. Spectrochim. Acta Part A Mol. Biomol. Spectrosc. 2018, 193, 397–406. [Google Scholar] [CrossRef]
- Chaudhary, P.; Chhokar, V.; Choudhary, P.; Kumar, A.; Beniwal, V. Optimization of chromium and tannic acid bioremediation by Aspergillus niveus using Plackett–Burman design and response surface methodology. AMB Express 2017, 7, 201. [Google Scholar] [CrossRef] [PubMed]
- Ahmad, Z.S.; Munaim, M.S.A. Response surface methodology based optimization of sorbitol production via solid state fermentation process. Eng. Agric. Environ. Food 2019, 12, 150–154. [Google Scholar] [CrossRef]







| Parameters | Level | |
|---|---|---|
| −1 | 1 | |
| X1 Time (h) | 40 | 50 |
| X2 Temperature (°C) | 30 | 37.5 |
| X3 Inoculum level (%) | 1 | 1.25 |
| X4 Shaker speed (rpm) | 120 | 150 |
| X5 pH | 6 | 7.5 |
| Compound Name | Linear Range | Regression Equation | R2 | Retention Time (min) |
|---|---|---|---|---|
| AMX | 1–1000 ng/mL | Y = 39.31X − 1.71 | 0.9995 | 1.87 |
| Run Order | X1 Time (h) | X2 Temperature (°C) | X3 Inoculum Level | X4 Rotate Speed (rpm) | X5 pH | Optical Density |
|---|---|---|---|---|---|---|
| 1 | 50 | 37.5 | 1.25 | 120 | 7.5 | 1.77 |
| 2 | 40 | 30 | 1.25 | 150 | 7.5 | 1.66 |
| 3 | 50 | 37.5 | 1 | 150 | 6 | 1.839 |
| 4 | 50 | 37.5 | 1 | 150 | 7.5 | 1.899 |
| 5 | 50 | 30 | 1.25 | 150 | 6 | 1.609 |
| 6 | 40 | 37.5 | 1.25 | 120 | 7.5 | 1.599 |
| 7 | 40 | 30 | 1 | 120 | 6 | 1.589 |
| 8 | 50 | 30 | 1.25 | 120 | 6 | 1.678 |
| 9 | 50 | 30 | 1 | 120 | 7.5 | 1.899 |
| 10 | 40 | 37.5 | 1 | 120 | 6 | 1.709 |
| 11 | 40 | 37.5 | 1.25 | 150 | 6 | 1.649 |
| 12 | 40 | 30 | 1 | 150 | 7.5 | 1.729 |
| Source | Sum of Squares | df | Mean Squares | F-Value | P-Value | Coefficient Estimate | Significance Ranking |
|---|---|---|---|---|---|---|---|
| Model | 0.1173 | 5 | 0.0234 | 7.79 | 0.013 | ||
| X1 | 0.048 | 1 | 0.048 | 15.92 | 0.007 | 0.0633 | 1 |
| X2 | 0.0076 | 1 | 0.0076 | 2.5 | 0.165 | 0.0251 | 4 |
| X3 | 0.0407 | 1 | 0.0407 | 13.5 | 0.01 | -0.0583 | 2 |
| X4 | 0.0016 | 1 | 0.0017 | 0.55 | 0.487 | 0.0118 | 5 |
| X5 | 0.0194 | 1 | 0.0194 | 6.45 | 0.044 | 0.0403 | 3 |
| Residual | 0.0181 | 6 | 0.003 | ||||
| Cor total | 0.1354 | 11 |
| Test | Step Size | X1 | X3 | X5 | OD600 |
|---|---|---|---|---|---|
| 1 | X | 30 h | 2.5% (v/v) | 5.5 | 1.48 |
| 2 | X+ ΔXi | 40 h | 2.0% (v/v) | 6.0 | 1.63 |
| 3 | X+ Δ2Xi | 50 h | 1.5% (v/v) | 6.5 | 1.89 |
| 4 | X+ Δ3Xi | 60 h | 1.0% (v/v) | 7.0 | 1.74 |
| 5 | X+ Δ4Xi | 70 h | 0.5% (v/v) | 7.5 | 1.65 |
| Level. | X1 (Time) (h) | X3 (Inoculum Level) (%) | X5 (pH) |
|---|---|---|---|
| −1 | 40 | 1.00 | 6.00 |
| 0 | 50 | 1.5 | 6.5 |
| 1 | 60 | 2.0 | 7.0 |
| Test | X1 Time (h) | X3 Inoculum Level (%) | X5 pH | Response Value (OD600) |
|---|---|---|---|---|
| 1 | −1 | 0 | 1 | 2.54 |
| 2 | 0 | −1 | 1 | 2.94 |
| 3 | 0 | 0 | 0 | 2.27 |
| 4 | 1 | 1 | 0 | 2.73 |
| 5 | −1 | 1 | 0 | 2.4 |
| 6 | 1 | −1 | 0 | 1.96 |
| 7 | 0 | 0 | 0 | 2.57 |
| 8 | 1 | 0 | 1 | 2.51 |
| 9 | 0 | −1 | −1 | 1.8 |
| 10 | 0 | 1 | 1 | 2.80 |
| 11 | 1 | 0 | −1 | 1.36 |
| 12 | 0 | 0 | 0 | 2.82 |
| 13 | −1 | 0 | −1 | 1.30 |
| 14 | −1 | −1 | 0 | 2.27 |
| 15 | 0 | 0 | 0 | 2.82 |
| 16 | 0 | 1 | −1 | 1.97 |
| 17 | 0 | 0 | 0 | 2.60 |
| Source | Sum of Squares | df | Mean Square | F-Value | P-Value |
|---|---|---|---|---|---|
| X1 | 0.0003125 | 1 | 0.0003125 | 0.006794 | 0.9366 |
| X3 | 0.11 | 1 | 0.11 | 2.35 | 0.1691 |
| X5 | 2.38 | 1 | 2.38 | 51.66 | 0.0002 |
| X1X3 | 0.1 | 1 | 0.1 | 2.23 | 0.1793 |
| X1X5 | 0.002025 | 1 | 0.002525 | 0.044 | 0.8398 |
| X3X5 | 0.024 | 1 | 0.024 | 0.52 | 0.4933 |
| X12 | 0.55 | 1 | 0.55 | 12.06 | 0.0104 |
| X32 | 0.032 | 1 | 0.032 | 0.69 | 0.4327 |
| X52 | 0.45 | 1 | 0.45 | 9.7 | 0.017 |
| Model | 3.68 | 9 | 0.41 | 8.89 | 0.0044 |
| Lack of Fit | 0.12 | 3 | 0.039 | 0.76 | 0.5733 |
| Pure Error | 0.21 | 4 | 0.051 | ||
| Cor Total | 4 | 16 |
| Model Terms | Results |
|---|---|
| Std. dev. | 0.21 |
| Mean | 2.33 |
| %CV | 9.19 |
| PRESS | 2.19 |
| R-squared | 0.9195 |
| Adj R-squared | 0.8161 |
| Adeq precision | 9.772 |
© 2020 by the authors. Licensee MDPI, Basel, Switzerland. This article is an open access article distributed under the terms and conditions of the Creative Commons Attribution (CC BY) license (http://creativecommons.org/licenses/by/4.0/).
Share and Cite
Yang, X.; Guo, P.; Li, M.; Li, H.; Hu, Z.; Liu, X.; Zhang, Q. Optimization of Culture Conditions for Amoxicillin Degrading Bacteria Screened from Pig Manure. Int. J. Environ. Res. Public Health 2020, 17, 1973. https://doi.org/10.3390/ijerph17061973
Yang X, Guo P, Li M, Li H, Hu Z, Liu X, Zhang Q. Optimization of Culture Conditions for Amoxicillin Degrading Bacteria Screened from Pig Manure. International Journal of Environmental Research and Public Health. 2020; 17(6):1973. https://doi.org/10.3390/ijerph17061973
Chicago/Turabian StyleYang, Xuanjiang, Panpan Guo, Miao Li, Hualong Li, Zelin Hu, Xianwang Liu, and Qiang Zhang. 2020. "Optimization of Culture Conditions for Amoxicillin Degrading Bacteria Screened from Pig Manure" International Journal of Environmental Research and Public Health 17, no. 6: 1973. https://doi.org/10.3390/ijerph17061973
APA StyleYang, X., Guo, P., Li, M., Li, H., Hu, Z., Liu, X., & Zhang, Q. (2020). Optimization of Culture Conditions for Amoxicillin Degrading Bacteria Screened from Pig Manure. International Journal of Environmental Research and Public Health, 17(6), 1973. https://doi.org/10.3390/ijerph17061973
