Short-Term Effect of Air Pollution on Tuberculosis Based on Kriged Data: A Time-Series Analysis
Abstract
1. Introduction
2. Methods
2.1. Study Location
2.2. Air Pollution and Meteorological Data
2.3. TB Data
2.4. Statistical Analysis
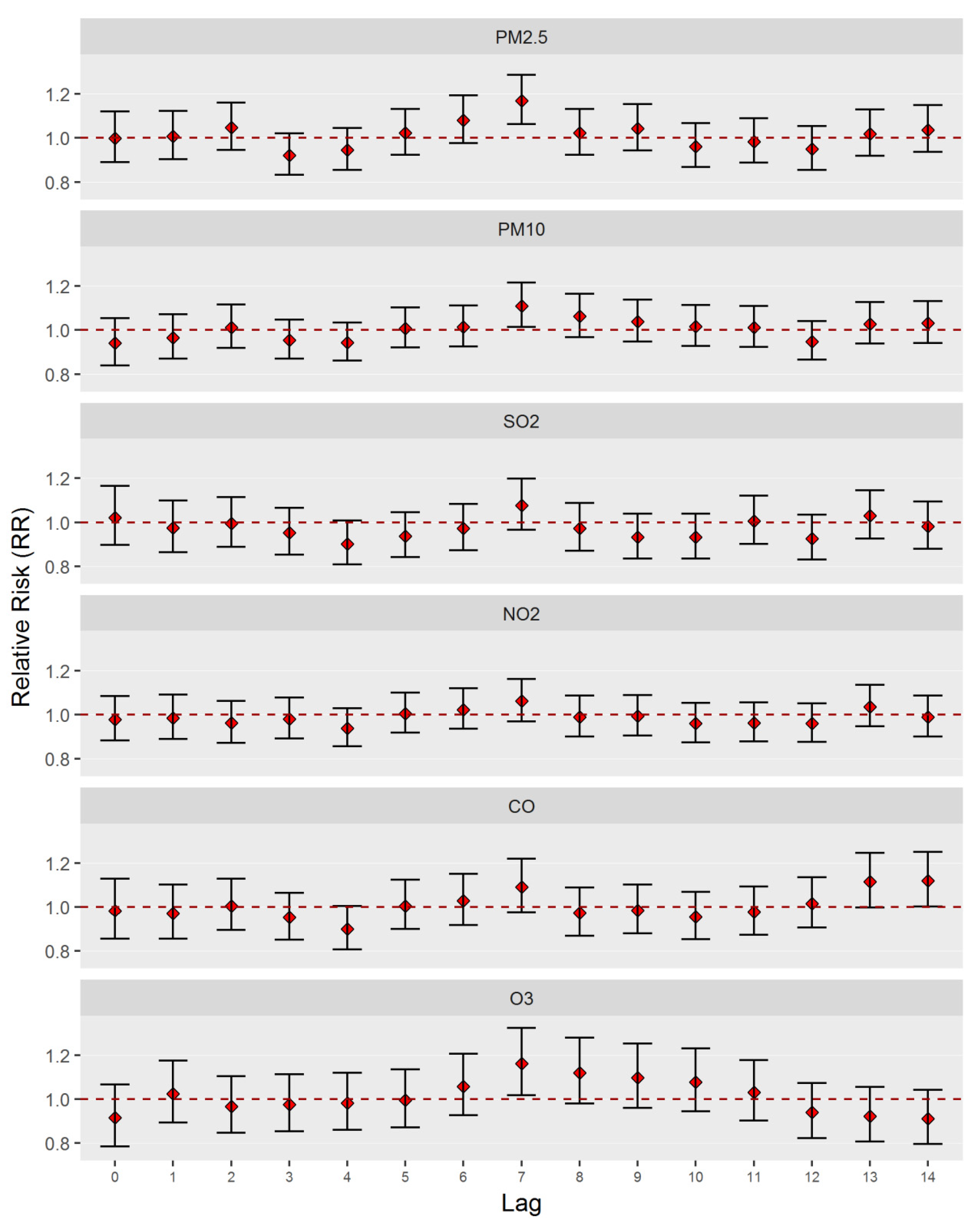
3. Results
4. Discussion
Limitations and Implications
5. Conclusion
Author Contributions
Funding
Conflicts of Interest
References
- Tuberculosis—World Health Organization. Available online: http://www.whoint/mediacentre/factsheets/fs104/en/ (accessed on 9 March 2018).
- Wang, L.; Zhang, H.; Ruan, Y.; Chin, D.P.; Xia, Y.; Cheng, S.; Chen, M.; Zhao, Y.; Jiang, S.-W.; Du, X.; et al. Tuberculosis prevalence in China, 1990–2010; a longitudinal analysis of national survey data. Lancet 2014, 383, 2057–2064. [Google Scholar] [CrossRef]
- Tuberculosis in China. Available online: http://www.wprowhoint/china/mediacentre/factsheets/tuberculosis/en/ (accessed on 3 January 2020).
- Zhao, Y.; Xu, S.; Wang, L.; Chin, D.P.; Wang, S.; Jiang, G.; Xia, H.; Zhou, Y.; Li, Q.; Ou, X.; et al. National Survey of drug-resistant tuberculosis in China. N. Engl. J. Med. 2012, 366, 2161–2170. [Google Scholar] [CrossRef] [PubMed]
- Reported Incidence of Tuberculosis in Hubei. Available online: http://www.hbcdc.cn/ (accessed on 3 January 2019).
- Fullerton, D.; Bruce, N.; Gordon, S.B. Indoor air pollution from biomass fuel smoke is a major health concern in the developing world. Trans. R. Soc. Trop. Med. Hyg. 2008, 102, 843–851. [Google Scholar] [CrossRef] [PubMed]
- Kim, K.-H.; Jahan, S.A.; Kabir, E. A review of diseases associated with household air pollution due to the use of biomass fuels. J. Hazard. Mater. 2011, 192, 425–431. [Google Scholar] [CrossRef]
- Sumpter, C.; Chandramohan, D. Systematic review and meta-analysis of the associations between indoor air pollution and tuberculosis. Trop. Med. Int. Heal. 2012, 18, 101–108. [Google Scholar] [CrossRef]
- Tremblay, G. Historical statistics support a hypothesis linking tuberculosis and air pollution caused by coal. Int. J. Tuberc. Lung Dis. 2007, 11, 722–732. [Google Scholar]
- Ferrara, G.; Murray, M.; Winthrop, K.; Centis, R.; Sotgiu, G.; Migliori, G.B.; Maeurer, M.; Zumla, A. Risk factors associated with pulmonary tuberculosis. Curr. Opin. Pulm. Med. 2012, 18, 233–240. [Google Scholar] [CrossRef]
- Lin, H.-H.; Ezzati, M.; Murray, M.B. Tobacco smoke, indoor air pollution and tuberculosis: A systematic review and meta-analysis. PLoS Med. 2007, 4, e20. [Google Scholar] [CrossRef]
- Jassal, M.; Bakman, I.; Jones, B. Correlation of ambient pollution levels and heavily-trafficked roadway proximity on the prevalence of smear-positive tuberculosis. Public Heal. 2013, 127, 268–274. [Google Scholar] [CrossRef]
- You, S.; Tong, Y.W.; Neoh, K.G.; Dai, Y.; Wang, C.-H. On the association between outdoor PM2.5 concentration and the seasonality of tuberculosis for Beijing and Hong Kong. Environ. Pollut. 2016, 218, 1170–1179. [Google Scholar] [CrossRef]
- Zhu, S.; Xia, L.; Wu, J.; Chen, S.; Chen, F.; Zeng, F.; Chen, X.; Chen, C.; Xia, Y.; Zhao, X.; et al. Ambient air pollutants are associated with newly diagnosed tuberculosis: A time-series study in Chengdu, China. Sci. Total Environ. 2018, 631, 47–55. [Google Scholar] [CrossRef] [PubMed]
- Xu, M.; Liao, J.; Yin, P.; Hou, J.; Zhou, Y.; Huang, J.; Liu, B.; Chen, R.; Ke, L.; Chen, H.; et al. Association of air pollution with the risk of initial outpatient visits for tuberculosis in Wuhan, China. Occup. Environ. Med. 2019, 76, 560–566. [Google Scholar] [CrossRef] [PubMed]
- Lai, T.-C.; Chiang, C.-Y.; Wu, C.-F.; Yang, S.-L.; Liu, D.-P.; Chan, C.-C.; Lin, H.-H. Ambient air pollution and risk of tuberculosis: A cohort study. Occup. Environ. Med. 2015, 73, 56–61. [Google Scholar] [CrossRef] [PubMed]
- Smith, G.S.; Schoenbach, V.J.; Richardson, D.B.; Gammon, M.D. Particulate air pollution and susceptibility to the development of pulmonary tuberculosis disease in North Carolina: An ecological study. Int. J. Environ. Heal. Res. 2013, 24, 103–112. [Google Scholar] [CrossRef]
- Ge, E.; Fan, M.; Qiu, H.; Hu, H.; Tian, L.; Wang, X.; Xu, G.; Wei, X. Ambient sulfur dioxide levels associated with reduced risk of initial outpatient visits for tuberculosis: A population based time series analysis. Environ. Pollut. 2017, 228, 408–415. [Google Scholar] [CrossRef]
- Popovic, I.; Magalhaes, R.J.S.; Ge, E.; Marks, G.B.; Dong, G.-H.; Wei, X.; Knibbs, L.D. A systematic literature review and critical appraisal of epidemiological studies on outdoor air pollution and tuberculosis outcomes. Environ. Res. 2019, 170, 33–45. [Google Scholar] [CrossRef]
- Torres, M.; Carranza, C.; Sarkar, S.; Gonzalez, Y.; Osornio-Vargas, A.R.; Black, K.; Meng, Q.; Quintana-Belmares, R.; Hernandez, M.; Garcia, J.J.F.A.; et al. Urban airborne particle exposure impairs human lung and blood Mycobacterium tuberculosis immunity. Thorax 2019, 74, 675–683. [Google Scholar] [CrossRef]
- Whitworth, K.; Symanski, E.; Lai, D.; Coker, A.L. Kriged and modeled ambient air levels of benzene in an urban environment: An exposure assessment study. Environ. Heal. 2011, 10, 21. [Google Scholar] [CrossRef]
- Liao, D.; Peuquet, N.J.; Duan, Y.; Whitsel, E.A.; Dou, J.; Smith, R.L.; Lin, H.-M.; Chen, J.-C.; Heiss, G. GIS approaches for the estimation of residential-level ambient PM concentrations. Environ. Heal. Perspect. 2006, 114, 1374–1380. [Google Scholar] [CrossRef]
- Rohde, R.A.; Muller, R.A. Air Pollution in China: Mapping of Concentrations and Sources. PLoS ONE 2015, 10, e0135749. [Google Scholar] [CrossRef]
- Jerrett, M.; Burnett, R.T.; Ma, R.; Pope, C.A.; Krewski, D.; Newbold, K.B.; Thurston, G.; Shi, Y.; Finkelstein, N.; Calle, E.E.; et al. Spatial analysis of air pollution and mortality in Los Angeles. Epidemiology 2005, 16, 727–736. [Google Scholar] [CrossRef] [PubMed]
- Jerrett, M.; Buzzelli, M.; Burnett, R.T.; DeLuca, P.F. Particulate air pollution, social confounders, and mortality in small areas of an industrial city. Soc. Sci. Med. 2005, 60, 2845–2863. [Google Scholar] [CrossRef] [PubMed]
- Roberts, J.D.; Voss, J.; Knight, B. The association of ambient air pollution and physical inactivity in the United States. PLoS ONE 2014, 9, e90143. [Google Scholar] [CrossRef] [PubMed]
- Chu, Y.; Liu, Y.; Lu, Y.; Yu, L.; Lu, H.; Guo, Y.; Xiang, H.; Liu, F.; Wu, Y.; Mao, Z.; et al. Propensity to Migrate and Willingness to Pay Related to Air Pollution among Different Populations in Wuhan, China. Aerosol Air Qual. Res. 2017, 17, 752–760. [Google Scholar] [CrossRef]
- Zanobetti, A.; Franklin, M.; Koutrakis, P.; Schwartz, J. Fine particulate air pollution and its components in association with cause-specific emergency admissions. Environ. Heal. 2009, 8, 58. [Google Scholar] [CrossRef]
- Xia, X.; Zhang, A.; Liang, S.; Qi, Q.; Jiang, L.; Ye, Y. The Association between Air Pollution and Population Health Risk for Respiratory Infection: A Case Study of Shenzhen, China. Int. J. Environ. Res. Public Heal. 2017, 14, 950. [Google Scholar] [CrossRef]
- Chen, G.; Zhang, W.; Li, S.; Zhang, Y.; Williams, G.; Huxley, R.R.; Ren, H.; Cao, W.; Guo, Y. The impact of ambient fine particles on influenza transmission and the modification effects of temperature in China: A multi-city study. Environ. Int. 2017, 98, 82–88. [Google Scholar] [CrossRef]
- Aam, B.B.; Fonnum, F. Carbon black particles increase reactive oxygen species formation in rat alveolar macrophages in vitro. Arch. Toxicol. 2006, 81, 441–446. [Google Scholar] [CrossRef]
- Arredouani, M.S.; Yang, Z.; Imrich, A.; Ning, Y.; Qin, G.; Kobzik, L. The Macrophage Scavenger Receptor SR-AI/II and Lung Defense against Pneumococci and Particles. Am. J. Respir. Cell Mol. Boil. 2006, 35, 474–478. [Google Scholar] [CrossRef]
- Zhou, H.; Kobzik, L. Effect of concentrated ambient particles on macrophage phagocytosis and killing of Streptococcus pneumoniae. Am. J. Respir. Cell Mol. Boil. 2006, 36, 460–465. [Google Scholar] [CrossRef]
- Drumm, K.; Buhl, R.; Kienast, K. Additional NO2 exposure induces a decrease in cytokine specific mRNA expression and cytokine release of particle and fibre exposed human alveolar macrophages. Eur. J. Med. Res. 1999, 4, 59–66. [Google Scholar]
- Knorst, M.M.; Kienast, K.; Müller-Quernheim, J.; Ferlinz, R. Effect of sulfur dioxide on cytokine production of human alveolar macrophages in vitro. Arch. Environ. Heal. Int. J. 1996, 51, 150–156. [Google Scholar] [CrossRef]
- Chen, P.-S.; Tsai, F.T.; Lin, C.K.; Yang, C.-Y.; Chan, C.-C.; Young, C.-Y.; Lee, C.-H. Ambient influenza and avian influenza virus during dust storm days and background days. Environ. Heal. Perspect. 2010, 118, 1211–1216. [Google Scholar] [CrossRef]
- Jaspers, I.; Ciencewicki, J.M.; Zhang, W.; Brighton, L.E.; Carson, J.L.; Beck, M.A.; Madden, M.C. Diesel exhaust enhances influenza virus infections in respiratory epithelial cells. Toxicol. Sci. 2005, 85, 990–1002. [Google Scholar] [CrossRef]
- Schafer, M.P. Detection and characterization of airborne Mycobacterium tuberculosis H37Ra particles, A surrogate for airborne pathogenic M. tuberculosis. Aerosol Sci. Technol. 1999, 30, 161–173. [Google Scholar] [CrossRef]
- Liu, S.; Zhang, K. Fine particulate matter components and mortality in Greater Houston: Did the risk reduce from 2000 to 2011? Sci. Total. Environ. 2015, 538, 162–168. [Google Scholar] [CrossRef]
- Welty, L.J.; Zeger, S.L. Are the acute effects of PM10 on mortality in NMMAPS the result of inadequate control for weather and season? A sensitivity analysis using flexible distributed lag models. Am. J. Epidemiol. 2005, 162, 80–88. [Google Scholar] [CrossRef]
- Fares, A. Seasonality of tuberculosis. J. Glob. Infect. Dis. 2011, 3, 46–55. [Google Scholar] [CrossRef]
- Nnoaham, K.E.; Clarke, A. Low serum vitamin D levels and tuberculosis: A systematic review and meta-analysis. Int. J. Epidemiol. 2008, 37, 113–119. [Google Scholar] [CrossRef]
- Chen, S.-C.; Liao, C.-M.; Li, S.-S.; You, S.-H. A probabilistic transmission model to assess infection risk from Mycobacterium tuberculosis in commercial passenger trains. Risk Anal. Int. J. 2010, 31, 930–939. [Google Scholar] [CrossRef]
- Iñiguez, C.; Ballester, F.; Estarlich, M.; Llop, S.; Fernández-Patier, R.; Aguirre-Alfaro, A.; Esplugues, A. Estimation of personal NO2 exposure in a cohort of pregnant women. Sci. Total Environ. 2009, 407, 6093–6099. [Google Scholar] [CrossRef] [PubMed]
- Leem, J.-H.; Kaplan, B.M.; Shim, Y.K.; Pohl, H.R.; Gotway, C.A.; Bullard, S.M.; Rogers, J.F.; Smith, M.M.; Tylenda, C.A. Exposures to air pollutants during pregnancy and preterm delivery. Environ. Heal. Perspect. 2006, 114, 905–910. [Google Scholar] [CrossRef] [PubMed]
- Liu, Y.; Jiang, S.-W.; Liu, Y.; Wang, R.; Li, X.; Yuan, Z.; Wang, L.; Xue, F. Spatial epidemiology and spatial ecology study of worldwide drug-resistant tuberculosis. Int. J. Heal. Geogr. 2011, 10, 50. [Google Scholar] [CrossRef]
- Martínez, H.Z.; Suazo, F.M.; Gil, J.Q.C.; Bello, G.C.; Escalera, A.M.A.; Márquez, G.H.; Casanova, L.G. Spatial epidemiology of bovine tuberculosis in Mexico. Vet. Ital. 2010, 43, 629–634. [Google Scholar]
- Nunes, C. Tuberculosis incidence in Portugal: Spatiotemporal clustering. Int. J. Heal. Geogr. 2007, 6, 30. [Google Scholar] [CrossRef][Green Version]
- Remy, N.; Boucher, A.; Wu, J. Applied Geostatistics with SgeMS: A User’s Guide; Cambridge University Press: Cambridge, UK, 2009. [Google Scholar]



| Variable | Days | Mean ± SD | Percentiles a | ||||||
|---|---|---|---|---|---|---|---|---|---|
| All-year | Warm b | Cold | Min | 25% | 50% | 75% | Max | ||
| Daily TB c cases | 732 | 17.28 ± 13.49 | 17.67 ± 12.87 | 16.89 ± 14.10 | 2 | 11 | 14 | 19 | 134 |
| Pollutant (µg/m3) | |||||||||
| PM2.5 d | 723 | 58.94 ± 35.41 | 40.93 ± 20.21 | 77.71 ± 38.04 | 8.31 | 33.60 | 49.03 | 76.84 | 227.20 |
| PM10 | 723 | 89.34 ± 42.16 | 74.86 ± 33.47 | 104.42 ± 44.95 | 11.36 | 57.30 | 83.71 | 115.23 | 282.05 |
| SO2 | 723 | 15.32 ± 7.80 | 11.66 ± 4.81 | 19.13 ± 8.47 | 3.28 | 9.74 | 13.50 | 18.97 | 53.53 |
| NO2 | 723 | 38.61 ± 15.01 | 32.43 ± 11.65 | 45.06 ± 15.42 | 11.53 | 27.20 | 35.78 | 46.89 | 94.72 |
| CO | 723 | 1.03 ± 0.30 | 0.88 ± 0.20 | 1.18 ± 0.30 | 0.42 | 0.80 | 0.99 | 1.22 | 2.11 |
| O3 | 731 | 119.23 ± 53.98 | 147.95 ± 51.49 | 89.96 ± 38.56 | 9.30 | 74.40 | 114.29 | 159.04 | 272.01 |
| Weather variables | |||||||||
| Temperature (°F) | 732 | 63.02 ± 16.02 | 75.92 ± 8.31 | 49.92 ± 10.29 | 26.08 | 48.29 | 65.56 | 76.79 | 91.36 |
| Relative Humidity (%) | 732 | 79.23 ± 10.80 | 79.55 ± 9.79 | 78.9 ± 11.74 | 41 | 72.25 | 80 | 87 | 100 |
| Pollutant | Single Pollutant Model | Multi-Pollutant Model b | ||
|---|---|---|---|---|
| All-Year | Warm Season c | Cold Season | All-Year | |
| PM2.5 | 1.17 (1.06, 1.28) d | 1.13 (1.01, 1.26) | 1.22 (1.06, 1.40) | 1.20 (1.02, 1.41) |
| PM10 | 1.11 (1.01, 1.22) | 1.12 (0.99, 1.26) | 1.12 (0.99, 1.27) | 0.98 (0.84, 1.15) |
| SO2 | 1.08 (0.97, 1.20) | 1.11 (0.96, 1.29) | 1.08 (0.94, 1.24) | 1.00 (0.86, 1.16) |
| NO2 | 1.06 (0.97, 1.16) | 1.13 (1.02, 1.24) | 1.03 (0.91, 1.16) | 0.97 (0.84, 1.12) |
| CO | 1.09 (0.97, 1.21) | 1.07 (0.94, 1.22) | 1.10 (0.97, 1.24) | 0.96 (0.82, 1.12) |
| O3 | 1.16 (1.02, 1.32) | 1.11 (0.95, 1.30) | 1.16 (0.99, 1.35) | 1.11 (0.95, 1.30) |
© 2020 by the authors. Licensee MDPI, Basel, Switzerland. This article is an open access article distributed under the terms and conditions of the Creative Commons Attribution (CC BY) license (http://creativecommons.org/licenses/by/4.0/).
Share and Cite
Huang, S.; Xiang, H.; Yang, W.; Zhu, Z.; Tian, L.; Deng, S.; Zhang, T.; Lu, Y.; Liu, F.; Li, X.; et al. Short-Term Effect of Air Pollution on Tuberculosis Based on Kriged Data: A Time-Series Analysis. Int. J. Environ. Res. Public Health 2020, 17, 1522. https://doi.org/10.3390/ijerph17051522
Huang S, Xiang H, Yang W, Zhu Z, Tian L, Deng S, Zhang T, Lu Y, Liu F, Li X, et al. Short-Term Effect of Air Pollution on Tuberculosis Based on Kriged Data: A Time-Series Analysis. International Journal of Environmental Research and Public Health. 2020; 17(5):1522. https://doi.org/10.3390/ijerph17051522
Chicago/Turabian StyleHuang, Shuqiong, Hao Xiang, Wenwen Yang, Zhongmin Zhu, Liqiao Tian, Shiquan Deng, Tianhao Zhang, Yuanan Lu, Feifei Liu, Xiangyu Li, and et al. 2020. "Short-Term Effect of Air Pollution on Tuberculosis Based on Kriged Data: A Time-Series Analysis" International Journal of Environmental Research and Public Health 17, no. 5: 1522. https://doi.org/10.3390/ijerph17051522
APA StyleHuang, S., Xiang, H., Yang, W., Zhu, Z., Tian, L., Deng, S., Zhang, T., Lu, Y., Liu, F., Li, X., & Liu, S. (2020). Short-Term Effect of Air Pollution on Tuberculosis Based on Kriged Data: A Time-Series Analysis. International Journal of Environmental Research and Public Health, 17(5), 1522. https://doi.org/10.3390/ijerph17051522

