Systematic Analysis of the Relative Abundance of Polymers Occurring as Microplastics in Freshwaters and Estuaries
Abstract
1. Introduction
2. Materials and Methods
2.1. Evidence Capture
2.2. Statistical Analyses
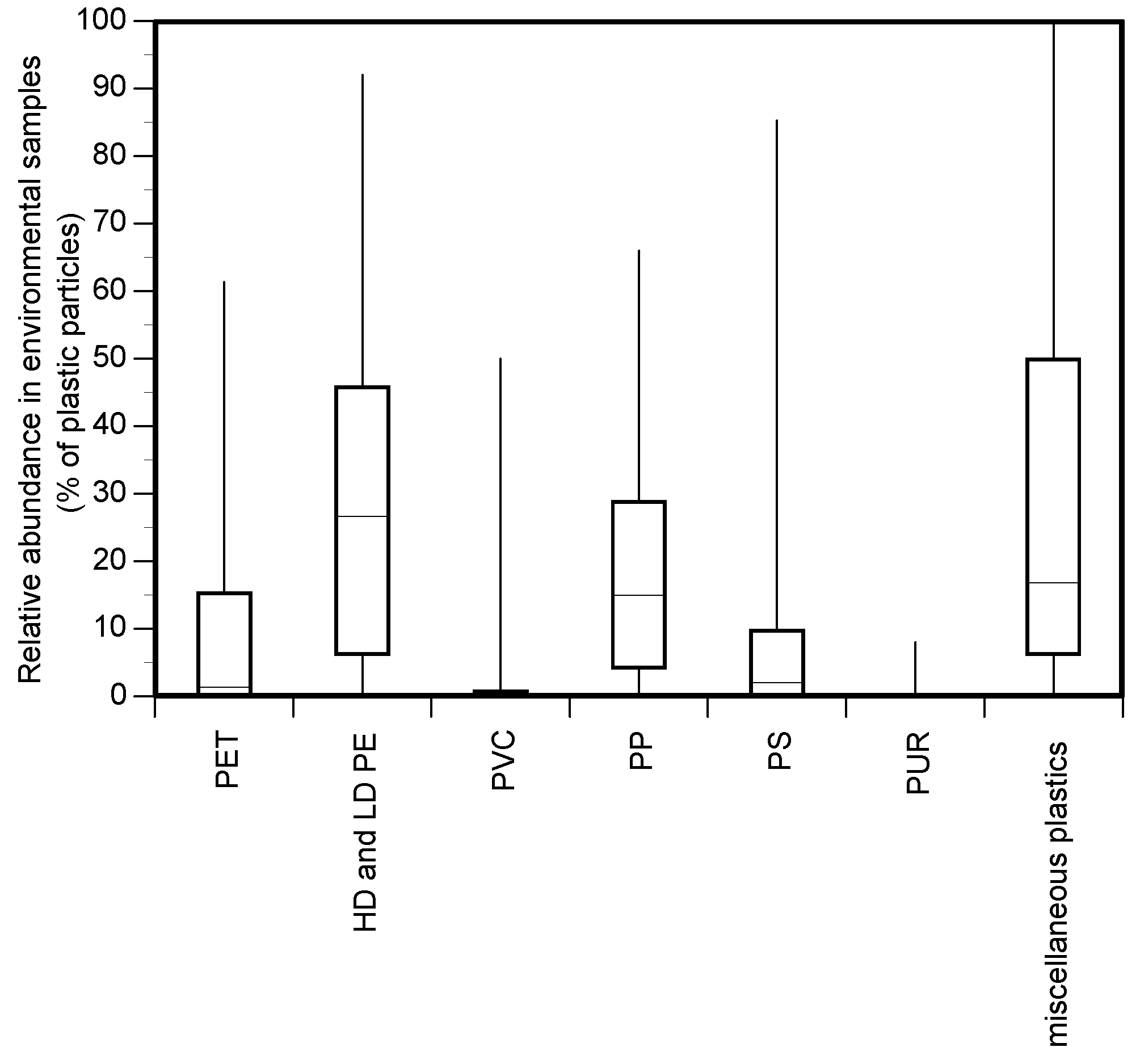
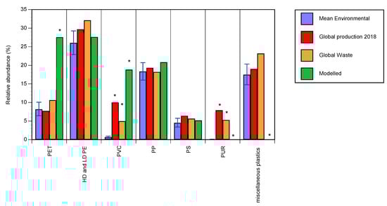
3. Results
4. Discussion
5. Conclusions
Supplementary Materials
Author Contributions
Funding
Acknowledgments
Conflicts of Interest
Abbreviations
| ABS | Acrylonitrile butadiene styrene |
| FTIR | Fourier Transform Infra-Red Spectroscopy |
| GCMS | Gas Chromatography - Mass Spectrometry |
| HDPE | High-density polyethylene |
| LDPE | Low-density polyethylene |
| MANOVA | Multivariate analysis of variance |
| PA | Polyamide |
| PBT | Polybutylene terephthalate |
| PC | Polycarbonates |
| PE | Polyethylene |
| PEVA | Polyethylene-vinyl acetate |
| PMMA | Polymethyl methacrylate |
| PP | Polypropylene |
| PS | Polystyrene |
| PTFE | Polytetrafluoroethylene |
| PU | Polyurethane |
| PVC | Polyvinyl chloride |
References
- Chamas, A.; Moon, H.; Zheng, J.; Qiu, Y.; Tabassum, T.; Jang, J.H.; Abu-omar, M.; Scott, S.L.; Suh, S. Degradation Rates of Plastics in the Environment. ACS Sustain. Chem. Eng. 2020, 8, 3494–3511. [Google Scholar] [CrossRef]
- An Analysis of European Plastics Production, Demand and Waste Data. Available online: https://www.plasticseurope.org/application/files/9715/7129/9584/FINAL_web_version_Plastics_the_facts2019_14102019.pdf (accessed on 14 October 2020).
- Kawecki, D.; Nowack, B. Polymer-Specific Modeling of the Environmental Emissions of Seven Commodity Plastics As Macro- and Microplastics. Environ. Sci. Technol. 2019, 53, 9664–9676. [Google Scholar] [CrossRef]
- Editorial. The future of plastic. Nat. Commun. 2018, 9, 2157. [Google Scholar] [CrossRef]
- Ball, P. The plastic legacy. Nat. Mater. 2020, 19, 929–930. [Google Scholar] [CrossRef]
- Lau, W.W.Y.; Shiran, Y.; Bailey, R.M.; Cook, E.; Stuchtey, M.R.; Koskella, J.; Velis, C.A.; Godfrey, L.; Boucher, J.; Murphy, M.B. Evaluating scenarios toward zero plastic pollution. Science 2020, 369, 1455–1461. [Google Scholar] [CrossRef]
- Thompson, R.C.; Olsen, Y.; Mitchell, R.P.; Davis, A.; Rowland, S.J.; John, A.W.G.; McGonigle, D.; Russell, A.E. Lost at Sea: Where Is All the Plastic? Science 2004, 304, 838. [Google Scholar] [CrossRef]
- Annex XV Restriction Report—Microplastics. Available online: https://echa.europa.eu/documents/10162/05bd96e3-b969-0a7c-c6d0-441182893720 (accessed on 14 October 2020).
- Geyer, R.; Jambeck, J.R.; Law, K.L. Production, use, and fate of all plastics ever made. Sci. Adv. 2017, 3, 25–29. [Google Scholar] [CrossRef]
- Nizzetto, L.; Bussi, G.; Futter, M.N.; Butterfield, D.; Whitehead, P.G. A theoretical assessment of microplastic transport in river catchments and their retention by soils and river sediments. Environ. Sci. Process. Impact. 2016, 18, 1050–1059. [Google Scholar] [CrossRef]
- Jâms, I.B.; Windsor, F.M.; Poudevigne-Durance, T.; Ormerod, S.J.; Durance, I. Estimating the size distribution of plastics ingested by animals. Nat. Commun. 2020, 11, 1–7. [Google Scholar] [CrossRef]
- Hoellein, T.J.; Shogren, A.J.; Tank, J.L.; Risteca, P.; Kelly, J.J. Microplastic deposition velocity in streams follows patterns for naturally occurring allochthonous particles. Sci. Rep. 2019, 9, 1–11. [Google Scholar] [CrossRef] [PubMed]
- Wilkes, M.A.; Gittins, J.R.; Mathers, K.L.; Mason, R.; Casas-Mulet, R.; Vanzo, D.; Mckenzie, M.; Murray-Bligh, J.; England, J.; Gurnell, A.; et al. Physical and biological controls on fine sediment transport and storage in rivers. Wiley Interdiscip. Rev. Water 2019, 6, e1331. [Google Scholar] [CrossRef]
- van Wijnen, J.; Ragas, A.M.J.; Kroeze, C. Modelling global river export of microplastics to the marine environment: Sources and future trends. Sci. Total Environ. 2019, 673, 392–401. [Google Scholar] [CrossRef] [PubMed]
- Galafassi, S.; Nizzetto, L.; Volta, P. Plastic sources: A survey across scientific and grey literature for their inventory and relative contribution to microplastics pollution in natural environments, with an emphasis on surface water. Sci. Total Environ. 2019, 693, 133499. [Google Scholar] [CrossRef] [PubMed]
- The Production of Quick Scoping Reviews and Rapid Evidence Assessments: A How to Guide. Available online: https://assets.publishing.service.gov.uk/government/uploads/system/uploads/attachment_data/file/560521/Production_of_quick_scoping_reviews_and_rapid_evidence_assessments.pdf (accessed on 9 January 2019).
- Sink To River—River To Tap. A Review of Potential Risks from Nanoparticles and Microplastics. Available online: https://ukwir.org/sink-to-river-river-to-tap-review-of-potential-risks-from-microplastics (accessed on 9 September 2019).
- Plastic Pollution in UK’s Rivers: A ‘Snapshot’ Survey of Macro-and Microplastic Contamination in Surface Waters of 13 River Systems Across England, Wales, Scotland and Northern Ireland. Available online: https://www.greenpeace.to/greenpeace/wp-content/uploads/2019/06/GRL-TR-04-2019-plastics-in-UK-rivers.pdf (accessed on 23 September 2019).
- Hermsen, E.; Mintenig, S.M.; Besseling, E.; Koelmans, A.A. Quality Criteria for the Analysis of Microplastic in Biota Samples: A Critical Review. Environ. Sci. Technol. 2018, 52, 10230–10240. [Google Scholar] [CrossRef] [PubMed]
- Koelmans, A.A.; Mohamed, N.H.; Nor Hermsen, E.; Kooi, M.; Mintenig, S.M.; De France, J. Microplastics in freshwaters and drinking water: Critical review and assessment of data quality. Water Res. 2019, 155, 410–422. [Google Scholar] [CrossRef] [PubMed]
- Miscroplastics in Drinking-Water. Available online: https://apps.who.int/iris/bitstream/handle/10665/326499/9789241516198-eng.pdf?ua=1 (accessed on 20 September 2019).
- Ghayebzadeh, M.; Aslani, H.; Taghipour, H.; Mousavi, S. Estimation of plastic waste inputs from land into the Caspian Sea: A significant unseen marine pollution. Mar. Pollut. Bull. 2020, 151, 110871. [Google Scholar] [CrossRef] [PubMed]
- Jambeck, J.; Geyer, R.; Wilcox, C.; Siegler, T.R.; Perryman, M.; Andrady, A.; Narayan, R.; Law, K.L. Plastic waste inputs from land into the ocean. Res. Rep. 2015, 347, 768–771. [Google Scholar] [CrossRef]
- Lebreton, L.C.M.; Van Der Zwet, J.; Damsteeg, J.W.; Slat, B.; Andrady, A.; Reisser, J. River plastic emissions to the world’s oceans. Nat. Commun. 2017, 8, 1–10. [Google Scholar] [CrossRef]
- British Plastics Federation. Available online: https://www.bpf.co.uk/plastipedia/polymers/polymer-thermoplastics.aspx (accessed on 30 November 2020).
- Rhodes, C.J. Plastic Pollution and Potential Solutions. Sci. Prog. 2018, 101, 207–260. [Google Scholar] [CrossRef]
- Plastic & Health: The hidden Costs of a Plastic Planet. Available online: https://www.ciel.org/wp-content/uploads/2019/02/Plastic-and-Health-The-Hidden-Costs-of-a-Plastic-Planet-February-2019.pdf (accessed on 20 September 2019).
- Gabriel, L.; Barboza, A.; Lopes, C.; Oliveira, P.; Bessa, F.; Otero, V.; Henriques, B.; Raimundo, J.; Caetano, M.; Vale, C.; et al. Microplastics in wild fish from North East Atlantic Ocean and its potential for causing neurotoxic effects, lipid oxidative damage, and human health risks associated with ingestion exposure. Sci. Total Environ. 2020, 717, 134625. [Google Scholar]
- Lusher, A.L.; Mchugh, M.; Thompson, R.C. Occurrence of microplastics in the gastrointestinal tract of pelagic and demersal fish from the English Channel. Mar. Pollut. Bull. 2013, 67, 94–99. [Google Scholar] [CrossRef] [PubMed]
- Boerger, C.M.; Lattin, G.L.; Moore, S.L.; Moore, C.J. Plastic ingestion by planktivorous fishes in the North Pacific Central Gyre. Mar. Pollut. Bull. 2010, 60, 2275–2278. [Google Scholar] [CrossRef] [PubMed]
- Hurley, R.R.; Lusher, A.L.; Olsen, M.; Nizzetto, L. Validation of a Method for Extracting Microplastics from Complex, Organic-Rich, Environmental Matrices. Environ. Sci. Technol. 2018, 52, 7409–7417. [Google Scholar] [CrossRef] [PubMed]
- Naidoo, T.; Goordiyal, K.; Glassom, D. Are Nitric Acid (HNO3) Digestions Efficient in Isolating Microplastics from Juvenile Fish? Water Air Soil Pollut. 2017, 228, 470–482. [Google Scholar] [CrossRef]





| Population | Intervention | Outcome |
|---|---|---|
| aggregate * | spectroscop * | count |
| colloid * | raman | quantif * |
| floc * | particle analysis | abundance |
| plankton * | pyrolysis | concentrate * |
| sediment * | sampl * | density |
| diet * | separat * | substance |
| content | identif * | state |
| * fibre | flotat * | morphology |
| * fiber | floatat * | dimension |
| * bead | microscop * | composition |
| fragment * | digest * | |
| pellet * | centrifuge * | |
| flake * | buoyan * | |
| nurdle | ||
| dust |
| Polymer | Density (g cm−3) [25] | Global Production [2] (Million Tonnes) | Uses [26,27] |
|---|---|---|---|
| PET | 1.37–1.38 | 27.6 | Bottles for water, soft drinks, juices, cleaners, etc., food jars/pots, clothes, plastic films, microwavable packaging, etc. |
| PE | 0.91–0.97 | 106.6 | Reusable bags, trays and containers, agricultural film, food packaging film, toys, milk bottles, shampoo bottles, pipes, houseware, floor tiles, shower curtains, bubble wrap, wire insulation and electric cables, rubbish bags, chemical and detergent bottles, buckets, plants pots, outdoor furniture. |
| PVC | 1.3–1.45 | 35.9 | Window frames, profiles, floor and wall covering, pipes, cable insulation, garden hoses, inflatable pools, plumbing and guttering, doors, shower curtains, credit cards, synthetic leather, cosmetic containers, commercial cling wrap, packaging. |
| PP | 0.89–0.92 | 69.3 | Food packaging, sweet and snack, wrappers, hinged caps, microwave containers, pipes, automotive parts, bank notes, etc. |
| PS | 0.96–1.05 | 23.0 | Food packaging (dairy, fishery), building insulation, electrical and electronic equipment, inner liner for fridges, eyeglasses frames, foam packaging, food containers, take-out clamshells, plastic tableware, disposable cups, plates and cutlery, boxes for compact discs and cassettes, etc. |
| PUR | 1.01–1.21 | 28.4 | Building insulation, pillows and mattresses, insulating foams, surface coatings, rollers for printing, used in cars, carpet, flexible foam in furniture, etc. |
| PA | 1.13–1.35 | 68.2 | Fibres, bristles for toothbrushes, tubing, clothing, fishing line, |
| PMMA | 1.17–1.20 | Perspex, plexiglass, eyeglass lenses, touch screens, etc. | |
| PEVA | 0.93–0.95 | Adhesive, foam padding, foam floats, ski boots, bicycle saddles, hockey pads, boxing gloves and helmets, wakeboards, fishing rods handles, etc. | |
| Others | Hub caps (ABS); optical fibres (PBT); roofing sheets (PC); cable coating in telecommunications (PTFE); many others in clothing, aerospace, medical implants, surgical devices, membranes, valves and seals, protective coatings, etc. |
Publisher’s Note: MDPI stays neutral with regard to jurisdictional claims in published maps and institutional affiliations. |
© 2020 by the authors. Licensee MDPI, Basel, Switzerland. This article is an open access article distributed under the terms and conditions of the Creative Commons Attribution (CC BY) license (http://creativecommons.org/licenses/by/4.0/).
Share and Cite
Jones, J.I.; Vdovchenko, A.; Cooling, D.; Murphy, J.F.; Arnold, A.; Pretty, J.L.; Spencer, K.L.; Markus, A.A.; Vethaak, A.D.; Resmini, M. Systematic Analysis of the Relative Abundance of Polymers Occurring as Microplastics in Freshwaters and Estuaries. Int. J. Environ. Res. Public Health 2020, 17, 9304. https://doi.org/10.3390/ijerph17249304
Jones JI, Vdovchenko A, Cooling D, Murphy JF, Arnold A, Pretty JL, Spencer KL, Markus AA, Vethaak AD, Resmini M. Systematic Analysis of the Relative Abundance of Polymers Occurring as Microplastics in Freshwaters and Estuaries. International Journal of Environmental Research and Public Health. 2020; 17(24):9304. https://doi.org/10.3390/ijerph17249304
Chicago/Turabian StyleJones, John Iwan, Alena Vdovchenko, Dave Cooling, John F. Murphy, Amanda Arnold, James Lawrence Pretty, Kate L. Spencer, Adriaan Albert Markus, A. Dick Vethaak, and Marina Resmini. 2020. "Systematic Analysis of the Relative Abundance of Polymers Occurring as Microplastics in Freshwaters and Estuaries" International Journal of Environmental Research and Public Health 17, no. 24: 9304. https://doi.org/10.3390/ijerph17249304
APA StyleJones, J. I., Vdovchenko, A., Cooling, D., Murphy, J. F., Arnold, A., Pretty, J. L., Spencer, K. L., Markus, A. A., Vethaak, A. D., & Resmini, M. (2020). Systematic Analysis of the Relative Abundance of Polymers Occurring as Microplastics in Freshwaters and Estuaries. International Journal of Environmental Research and Public Health, 17(24), 9304. https://doi.org/10.3390/ijerph17249304

