Heart Rate Variability Responses to a Training Cycle in Female Youth Rowers
Abstract
1. Introduction
2. Materials and Methods
2.1. Participants
2.2. Experimental Design
2.3. Data and Statistical Analysis
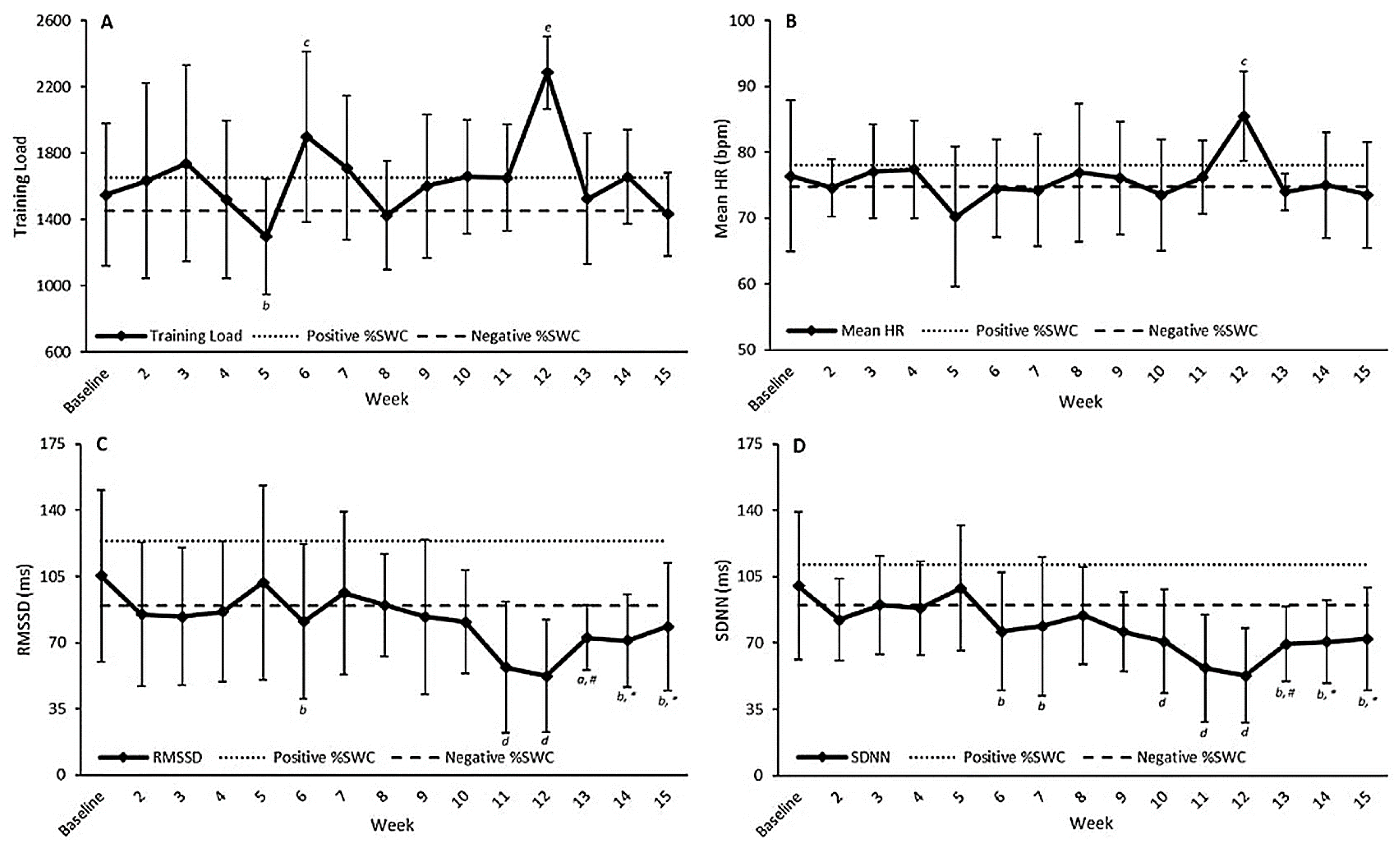
3. Results
3.1. Training Load
3.2. Heart Rate and Heart Rate Variability
3.3. Rowing Performance
4. Discussion
4.1. Training Load and HRV
4.2. Performance and HRV
4.3. Experimental Considerations
5. Conclusions
Author Contributions
Funding
Acknowledgments
Conflicts of Interest
References
- Plews, D.J.; Laursen, P.B.; Kilding, A.E.; Buchheit, M. Evaluating training adaptation with heart-rate measures: A methodological comparison. Int. J. Sports Physiol. Perform. 2013, 8, 688–691. [Google Scholar] [CrossRef] [PubMed]
- Plews, D.J.; Laursen, P.B.; Stanley, J.; Kilding, A.E.; Buchheit, M. Training adaptation and heart rate variability in elite endurance athletes: Opening the door to effective monitoring. Sports Med. 2013, 43, 773–781. [Google Scholar] [CrossRef] [PubMed]
- Martinmaki, K.; Rusko, H.; Kooistra, L.; Kettunen, J.; Saalasti, S. Intraindividual validation of heart rate variability indexes to measure vagal effects on hearts. Am. J. Physiol. Heart Circ. Physiol. 2006, 290, H640–H647. [Google Scholar] [CrossRef] [PubMed]
- Bilchick, K.C.; Berger, R.D. Heart rate variability. J. Cardiovasc. Electrophysiol. 2006, 17, 691–694. [Google Scholar] [CrossRef] [PubMed]
- Hautala, A.J.; Kiviniemi, A.M.; Tulppo, M.P. Individual responses to aerobic exercise: The role of the autonomic nervous system. Neurosci. Biobehav. Rev. 2009, 33, 107–115. [Google Scholar] [CrossRef] [PubMed]
- Hautala, A.; Tulppo, M.P.; Mäkikallio, T.H.; Laukkanen, R.; Nissilä, S.; Huikuri, H.V. Changes in cardiac autonomic regulation after prolonged maximal exercise. Clin. Physiol. 2001, 21, 238–245. [Google Scholar] [CrossRef] [PubMed]
- Buchheit, M.; Laursen, P.B.; Ahmaidi, S. Parasympathetic reactivation after repeated sprint exercise. Am. J. Physiol. Heart Circ. Physiol. 2007, 293, H133–H141. [Google Scholar] [CrossRef] [PubMed]
- Stanley, J.; Peake, J.M.; Buchheit, M. Cardiac parasympathetic reactivation following exercise: Implications for training prescription. Sports Med. 2013, 43, 1259–1277. [Google Scholar] [CrossRef]
- Robinson, R.B. Autonomic receptor--effector coupling during post-natal development. Cardiovasc. Res. 1996, 31, E68–E76. [Google Scholar] [CrossRef]
- Kaikkonen, P.; Hynynen, E.; Mann, T.; Rusko, H.; Nummela, A. Heart rate variability is related to training load variables in interval running exercises. Eur. J. Appl. Physiol. 2012, 112, 829–838. [Google Scholar] [CrossRef]
- Sartor, F.; Vailati, E.; Valsecchi, V.; Vailati, F.; La Torre, A. Heart rate variability reflects training load and psychophysiological status in young elite gymnasts. J. Strength Cond. Res. 2013, 27, 2782–2790. [Google Scholar] [CrossRef] [PubMed]
- Le Meur, Y.; Pichon, A.; Schaal, K.; Schmitt, L.; Louis, J.; Gueneron, J.; Vidal, P.P.; Hausswirth, C. Evidence of parasympathetic hyperactivity in functionally overreached athletes. Med. Sci. Sports Exerc. 2013, 45, 2061–2071. [Google Scholar] [CrossRef] [PubMed]
- Bellenger, C.R.; Karavirta, L.; Thomson, R.L.; Robertson, E.Y.; Davison, K.; Buckley, J.D. Contextualizing Parasympathetic Hyperactivity in Functionally Overreached Athletes With Perceptions of Training Tolerance. Int. J. Sports Physiol. Perform. 2016, 11, 685–692. [Google Scholar] [CrossRef] [PubMed]
- Manzi, V.; Castagna, C.; Padua, E.; Lombardo, M.; D’Ottavio, S.; Massaro, M.; Volterrani, M.; Iellamo, F. Dose-response relationship of autonomic nervous system responses to individualized training impulse in marathon runners. Am. J. Physiol. Heart Circ. Physiol. 2009, 296, H1733–H1740. [Google Scholar] [CrossRef]
- Mourot, L.; Bouhaddi, M.; Perrey, S.; Cappelle, S.; Henriet, M.T.; Wolf, J.P.; Rouillon, J.D.; Regnard, J. Decrease in heart rate variability with overtraining: Assessment by the Poincaré plot analysis. Clin. Physiol. Funct. Imaging 2004, 24, 10–18. [Google Scholar] [CrossRef]
- Oliveira, R.S.; Leicht, A.S.; Bishop, D.; Barbero-Alvarez, J.C.; Nakamura, F.Y. Seasonal changes in physical performance and heart rate variability in high level futsal players. Int. J. Sports Med. 2013, 34, 424–430. [Google Scholar] [CrossRef]
- Edmonds, R.; Burkett, B.; Leicht, A.; McKean, M. Effect of Chronic Training on Heart Rate Variability, Salivary IgA and Salivary Alpha-Amylase in Elite Swimmers with a Disability. PLoS ONE 2015, 10, e0127749. [Google Scholar] [CrossRef]
- Atlaoui, D.; Pichot, V.; Lacoste, L.; Barale, F.; Lacour, J.R.; Chatard, J.C. Heart rate variability, training variation and performance in elite swimmers. Int. J. Sports Med. 2007, 28, 394–400. [Google Scholar] [CrossRef]
- Garet, M.; Tournaire, N.; Roche, F.; Laurent, R.; Lacour, J.R.; Barthelemy, J.C.; Pichot, V. Individual Interdependence between nocturnal ANS activity and performance in swimmers. Med. Sci. Sports Exerc. 2004, 36, 2112–2118. [Google Scholar] [CrossRef]
- Cataldo, A.; Zangla, D.; Cerasola, D.; Vallone, V.; Grusso, G.; Lo Presti, R.; Traina, M. Influence of baseline heart rate variability on repeated sprint performance in young soccer players. J. Sports Med. Phys. Fit. 2016, 56, 491–496. [Google Scholar]
- Merati, G.; Maggioni, M.A.; Invernizzi, P.L.; Ciapparelli, C.; Agnello, L.; Veicsteinas, A.; Castiglioni, P. Autonomic modulations of heart rate variability and performances in short-distance elite swimmers. Eur. J. Appl. Physiol. 2015, 115, 825–835. [Google Scholar] [CrossRef] [PubMed]
- Boullosa, D.A.; Abreu, L.; Nakamura, F.Y.; Muñoz, V.E.; Domínguez, E.; Leicht, A.S. Cardiac Autonomic Adaptations in Elite Spanish Soccer Players during Preseason. Int. J. Sports Physiol. Perform. 2013, 8, 400–409. [Google Scholar] [CrossRef] [PubMed]
- Flatt, A.A.; Hornikel, B.; Esco, M.R. Heart rate variability and psychometric responses to overload and tapering in collegiate sprint-swimmers. J. Sci. Med. Sport 2017, 20, 606–610. [Google Scholar] [CrossRef] [PubMed]
- Iellamo, F.; Pigozzi, F.; Spataro, A.; Lucini, D.; Pagani, M. T-wave and heart rate variability changes to assess training in world-class athletes. Med. Sci. Sports Exerc. 2004, 36, 1342–1346. [Google Scholar] [CrossRef] [PubMed]
- Plews, D.J.; Laursen, P.B.; Kilding, A.E.; Buchheit, M. Heart-rate variability and training-intensity distribution in elite rowers. Int. J. Sports Physiol. Perform. 2014, 9, 1026–1032. [Google Scholar] [CrossRef]
- Plews, D.J.; Laursen, P.B.; Buchheit, M. Day-to-Day Heart-Rate Variability Recordings in World-Champion Rowers: Appreciating Unique Athlete Characteristics. Int. J. Sports Physiol. Perform. 2017, 12, 697–703. [Google Scholar] [CrossRef]
- Egan-Shuttler, J.D.; Edmonds, R.; Ives, S.J. The Efficacy of Heart Rate Variability in Tracking Travel and Training Stress in Youth Female Rowers: A Preliminary Study. J. Strength Cond. Res. 2020, 34, 3293–3300. [Google Scholar] [CrossRef]
- Huikuri, H.V.; Kessler, K.M.; Terracall, E.; Castellanos, A.; Linnaluoto, M.K.; Myerburg, R.J. Reproducibility and circadian rhythm of heart rate variability in healthy subjects. Am. J. Cardiol. 1990, 65, 391–393. [Google Scholar] [CrossRef]
- Bilan, A.; Witczak, A.; Palusinski, R.; Myslinski, W.; Hanzlik, J. Circadian rhythm of spectral indices of heart rate variability in healthy subjects. J. Electrocardiol. 2005, 38, 239–243. [Google Scholar] [CrossRef]
- Nakamura, F.Y.; Pereira, L.A.; Rabelo, F.N.; Flatt, A.A.; Esco, M.R.; Bertollo, M.; Loturco, I. Monitoring weekly heart rate variability in futsal players during the preseason: The importance of maintaining high vagal activity. J. Sports Sci. 2016, 34, 2262–2268. [Google Scholar] [CrossRef]
- Buchheit, M. Monitoring training status with HR measures: Do all roads lead to Rome? Front. Physiol 2014, 5, 73. [Google Scholar] [CrossRef] [PubMed]
- Task-Force. Heart rate variability: Standards of measurement, physiological interpretation and clinical use. Task Force of the European Society of Cardiology and the North American Society of Pacing and Electrophysiology. Circulation 1996, 93, 1043–1065. [Google Scholar] [CrossRef]
- Borg, G. Psychophysical scaling with applications in physical work and the perception of exertion. Scand. J. Work. Environ. Health 1990, 16, 55–58. [Google Scholar] [CrossRef] [PubMed]
- Foster, C.; Florhaug, J.A.; Franklin, J.; Gottschall, L.; Hrovatin, L.A.; Parker, S.; Doleshal, P.; Dodge, C. A new approach to monitoring exercise training. J. Strength Cond. Res. 2001, 15, 109–115. [Google Scholar] [PubMed]
- Haddad, M.; Stylianides, G.; Djaoui, L.; Dellal, A.; Chamari, K. Session-RPE Method for Training Load Monitoring: Validity, Ecological Usefulness, and Influencing Factors. Front. Neurosci. 2017, 11. [Google Scholar] [CrossRef]
- Tarvainen, M.P.; Niskanen, J.-P.; Lipponen, J.A.; Ranta-aho, P.O.; Karjalainen, P.A. Kubios HRV—Heart rate variability analysis software. Comput. Methods Programs Biomed. 2014, 113, 210–220. [Google Scholar] [CrossRef]
- Plews, D.J.; Laursen, P.B.; Kilding, A.E.; Buchheit, M. Heart rate variability in elite triathletes, is variation in variability the key to effective training? A case comparison. Eur. J. Appl. Physiol. 2012, 112, 3729–3741. [Google Scholar] [CrossRef]
- Edmonds, R.C.; Leicht, A.S.; McKean, M.; Burkett, B. Daily Heart Rate Variability during an 18-Day Staging Camp in Paralympic Medallist Swimmers. J. Exerc. Physiol. Online 2014, 17, 84–92. [Google Scholar]
- Buchheit, M.; Chivot, A.; Parouty, J.; Mercier, D.; Al Haddad, H.; Laursen, P.B.; Ahmaidi, S. Monitoring endurance running performance using cardiac parasympathetic function. Eur. J. Appl. Physiol. 2010, 108, 1153–1167. [Google Scholar] [CrossRef]
- Hopkins, W.G.; Marshall, S.W.; Batterham, A.M.; Hanin, J. Progressive statistics for studies in sports medicine and exercise science. Med. Sci. Sports Exerc. 2009, 41, 3–13. [Google Scholar] [CrossRef]
- Reimers, A.K.; Knapp, G.; Reimers, C.-D. Effects of Exercise on the Resting Heart Rate: A Systematic Review and Meta-Analysis of Interventional Studies. J. Clin. Med. 2018, 7, 503. [Google Scholar] [CrossRef] [PubMed]
- Dishman, R.K.; Nakamura, Y.; Garcia, M.E.; Thompson, R.W.; Dunn, A.L.; Blair, S.N. Heart rate variability, trait anxiety, and perceived stress among physically fit men and women. Int. J. Psychophysiol. 2000, 37, 121–133. [Google Scholar] [CrossRef]
- Delaney, J.P.; Brodie, D.A. Effects of short-term psychological stress on the time and frequency domains of heart-rate variability. Percept. Mot. Ski. 2000, 91, 515–524. [Google Scholar] [CrossRef]
- Vrijkotte, T.G.; van Doornen, L.J.; de Geus, E.J. Effects of work stress on ambulatory blood pressure, heart rate, and heart rate variability. Hypertension 2000, 35, 880–886. [Google Scholar] [CrossRef]
- Flatt, A.A.; Esco, M.R. Smartphone-Derived Heart-Rate Variability and Training Load in a Women’s Soccer Team. Int. J. Sports Physiol. Perform. 2015, 10, 994–1000. [Google Scholar] [CrossRef]
- Cervantes Blasquez, J.C.; Rodas Font, G.; Capdevila Ortis, L. Heart-rate variability and precompetitive anxiety in swimmers. Psicothema 2009, 21, 531–536. [Google Scholar]
- Podstawski, R.; Boraczyński, M.; Nowosielska-Swadźba, D.; Zwolińska, D. Heart rate variability during pre-competition and competition periods in volleyball players. Biomed. Hum. Kinet. 2014, 6. [Google Scholar] [CrossRef]
- Eyre, E.L.; Duncan, M.J.; Birch, S.L.; Fisher, J.P. The influence of age and weight status on cardiac autonomic control in healthy children: A review. Auton. Neurosci. Basic Clin. 2014, 186, 8–21. [Google Scholar] [CrossRef]

| Athlete | Age (years) | Height (cm) | Weight (kg) |
|---|---|---|---|
| 1 | 15 | 175 | 74.8 |
| 2 | 17 | 178 | 65.8 |
| 3 | 17 | 175 | 69.4 |
| 4 | 18 | 168 | 71.7 |
| 5 | 16 | 178 | 64.8 |
| 6 | 17 | 183 | 79.4 |
| 7 | 16 | 160 | 47.2 |
| Mean (±sd) | 16.6 (±1.0) | 173.9 (±7.6) | 67.6 (±10.3) |
| Week | ||||||||||||||
|---|---|---|---|---|---|---|---|---|---|---|---|---|---|---|
| Baseline | 2 | 3 | 4 | 5 | 6 | 7 | 8 | 9 | 10 | 11 | 12 | 13 | 14 | 15 |
| x | x | x | x | x | x | x | x | x | x | x | x | x | x | x |
| 2k | 2k | 2k | ||||||||||||
| Week | |||||||||||||||
|---|---|---|---|---|---|---|---|---|---|---|---|---|---|---|---|
| Baseline | 2 | 3 | 4 | 5 | 6 | 7 | 8 | 9 | 10 | 11 | 12 | 13 | 14 | 15 | |
| Mean HR [bpm] | 76.4 ± 11.5 | 74.6 ± 4.3 | 77.1 ± 7.3 | 77.4 ± 7.4 | 70.2 ± 10.7 | 74.5 ± 7.4 | 74.2 ± 8.5 | 76.9 ± 10.5 | 76.1 ± 8.6 | 73.5 ± 8.4 | 76.2 ± 5.6 | 85.5 ± 6.8 | 74.0 ± 2.8 | 75.0 ± 8.0 | 73.5 ± 8.0 |
| %△ [95% CI] | −1.5 [−14.4, 13.3] | 1.6 [−13.9, 19.9] | 1.9 [−13.2, 19.7] | −8.2 [−21.6, 7.7] | −2.0 [−15.1, 13.1] | −2.5 [−14.0, 10.5] | 0.8 [−9.2, 12.0] | 0.1 [−8.0, 8.9] | −3.4 [−15.0, 9.9] | 0.5 [−14.2, 17.7] | 12.8 [−5.0, 33.9] | −2.2 [−14.6, 12.1] | −1.4 [−12.5, 11.2] | −3.3 [−16.1, 11.6] | |
| ES | −0.08 | 0.08 | 0.10 | −0.46 | −0.11 | −0.14 | 0.05 | 0.00 | −0.19 | 0.03 | 0.66 | −0.12 | −0.07 | −0.18 | |
| QI | Unclear | Unclear | Unclear | Unclear | Unclear | Unclear | Unclear | Unclear | Unclear | Unclear | Likely | Unclear | Unclear | Unclear | |
| RMSSD [ms] | 105.3 ± 45.4 | 84.9 ± 38.2 | 83.8 ± 36.7 | 86.4 ± 37.1 | 101.7 ± 51.2 | 81.2 ± 40.9 | 96.4 ± 43.1 | 89.8 ± 26.9 | 83.6 ± 40.8 | 80.9 ± 27.4 | 56.8 ± 34.8 | 52.4 ± 29.9 | 72.6 ± 17.3 | 71.0 ± 24.3 | 78.4 ± 33.9 |
| %△ [95% CI] | −19.0 [−55.8, 48.5] | −20.9 [−64.0, 73.7] | −18.3 [−65.1, 91.2] | −5.0 [−47.2, 70.8] | −27.0 [−55.0, 18.4] | −10.0 [−52.1, 69.2] | −9.8 [−41.0, 37.8] | −19.8 [−48.0, 23.5] | −20.7 [−58.5, 51.4] | −48.2 [−71.6, −5.4] | −52.7 [−74.4, −12.6] | −25.8 [−55.0, 22.4] | −29.7 [−54.8, 9.3] | −27.6 [−53.8, 13.4] | |
| ES | −0.23 | −0.25 | −0.22 | −0.06 | −0.34 | −0.11 | −0.11 | −0.24 | −0.25 | −0.70 | −0.80 | −0.32 | −0.38 | −0.35 | |
| QI | Unclear | Unclear | Unclear | Unclear | Likely | Unclear | Unclear | Unclear | Unclear | Very Likely | Very Likely | Possibly | Likely | Likely | |
| SDNN [ms] | 100.1 ± 38.9 | 82.3 ± 21.6 | 90.1 ± 26.0 | 88.4 ± 24.7 | 98.9 ± 33.0 | 76.0 ± 31.2 | 78.9 ± 36.7 | 84.6 ± 25.6 | 75.9 ± 20.1 | 70.9 ± 27.4 | 56.7 ± 28.2 | 52.8 ± 25.1 | 69.5 ± 19.6 | 70.6 ± 22.0 | 72.2 ± 27.2 |
| %△ [95% CI] | −14.8 [−42.6, 26.4] | −8.0 [−41.4, 44.5] | −9.2 [−49.6, 63.8] | 1.4 [−34.9, 58.0] | −25.6 [−46.4, 3.2] | −22.4 [−48.0, 15.6] | −13.7 [−37.2, 18.7] | −21.7 [−49.0, 20.2] | −28.0 [−45.1, −5.5] | −44.9 [−64.9, −13.5] | −48.8 [−69.2, −14.9] | −28.0 [−53.9, 12.5] | −27.6 [−51.3, 7.6] | −28.3 [−49.2, 1.3] | |
| ES | −0.26 | −0.14 | −0.16 | 0.02 | −0.49 | −0.42 | −0.24 | −0.40 | −0.54 | −0.98 | −1.11 | −0.54 | −0.53 | −0.55 | |
| QI | Unclear | Unclear | Unclear | Unclear | Likely | Likely | Unclear | Unclear | Very Likely | Very Likely | Very Likely | Likely | Likely | Likely | |
Publisher’s Note: MDPI stays neutral with regard to jurisdictional claims in published maps and institutional affiliations. |
© 2020 by the authors. Licensee MDPI, Basel, Switzerland. This article is an open access article distributed under the terms and conditions of the Creative Commons Attribution (CC BY) license (http://creativecommons.org/licenses/by/4.0/).
Share and Cite
Edmonds, R.; Egan-Shuttler, J.; Ives, S.J. Heart Rate Variability Responses to a Training Cycle in Female Youth Rowers. Int. J. Environ. Res. Public Health 2020, 17, 8391. https://doi.org/10.3390/ijerph17228391
Edmonds R, Egan-Shuttler J, Ives SJ. Heart Rate Variability Responses to a Training Cycle in Female Youth Rowers. International Journal of Environmental Research and Public Health. 2020; 17(22):8391. https://doi.org/10.3390/ijerph17228391
Chicago/Turabian StyleEdmonds, Rohan, Julian Egan-Shuttler, and Stephen J. Ives. 2020. "Heart Rate Variability Responses to a Training Cycle in Female Youth Rowers" International Journal of Environmental Research and Public Health 17, no. 22: 8391. https://doi.org/10.3390/ijerph17228391
APA StyleEdmonds, R., Egan-Shuttler, J., & Ives, S. J. (2020). Heart Rate Variability Responses to a Training Cycle in Female Youth Rowers. International Journal of Environmental Research and Public Health, 17(22), 8391. https://doi.org/10.3390/ijerph17228391

