Study on the Effect of Streets’ Space Forms on Campus Microclimate in the Severe Cold Region of China—Case Study of a University Campus in Daqing City
Abstract
1. Introduction
- Categorize street forms into different types based on analysis, and study their respective microclimate features;
- Study the influence of buildings’ interfaces on the surrounding thermal environment;
- Establish quantitative equations between street forms and microclimate.
2. Research Methods
2.1. Study Area and Monitoring Sites
2.2. Test Instruments and Methods
2.3. Calculation of the Campus Morphology Parameters
3. Results and Analysis
3.1. Microclimate Features of Different Street Forms
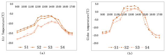
3.1.1. Microclimate Features of Open-Type Streets
3.1.2. Microclimate Features of Semi-Open-Type Streets
3.1.3. Microclimate Features of Street-Entry-Type Streets
3.2. Influence of Building Heating Interface
3.3. Relationship between Street Morphology and Microclimate
3.3.1. Correlation Analysis between SVF, L/C and Temperature
3.3.2. Correlation Analysis between SVF, L/C, and Wind Speed
3.3.3. Correlation Analysis between SVF, L/C, and PET
4. Discussion
5. Conclusions
5.1. Open-Type Streets
5.2. Semi-Open-Type Streets
5.3. Street-Entry-Type Streets
5.4. Building Heating Interface
5.5. Street Morphology
Author Contributions
Funding
Conflicts of Interest
References
- Roth, M. Review of urban climate research in (sub) tropical regions. Int. J. Climatol. 2007, 27, 1859–1873. [Google Scholar] [CrossRef]
- Oke, T.R. Street design and urban canopy layer climate. J. Energy Build. 1988, 11, 103–113. [Google Scholar] [CrossRef]
- Mohajeri, N.; Gudmundsson, A.; Kunckler, T.; Upadhyay, G.; Assouline, D.; Kämpf, J.; Scartezzini, J.L. A solar-based sustainable urban design: The effects of city-scale street-canyon geometry on solar access in Geneva, Switzerland. Appl. Energy 2019, 240, 173–190. [Google Scholar] [CrossRef]
- Yoshida, A.; Tominaga, K.; Watatani, S. Field measurements on energy balance of an urban canyon in the summer season. Energy Build. 1990, 15, 417–423. [Google Scholar] [CrossRef]
- Chatzidimitriou, A.; Yannas, S. Street canyon design and improvement potential for urban open spaces; the influence of canyon aspect ratio and orientation on microclimate and outdoor comfort. Sustain. Cities Soc. 2017, 33, 85–101. [Google Scholar] [CrossRef]
- Sözen, I.; Koçlar Oral, G. Outdoor thermal comfort in urban canyon and courtyard in hot arid climate: A parametric study based on the vernacular settlement of Mardin. Sustain. Cities Soc. 2018, 48, 101398. [Google Scholar] [CrossRef]
- Ali-Toudert, F.; Mayer, H. Numerical study on the effects of aspect ratio and orientation of an urban street canyon on outdoor thermal comfort in hot and dry climate. Build. Environ. 2006, 41, 94–108. [Google Scholar] [CrossRef]
- Ali-Toudert, F.; Mayer, H. Effects of asymmetry, galleries, overhanging façades and vegetation on thermal comfort in urban street canyons. Sol. Energy 2007, 81, 742–754. [Google Scholar] [CrossRef]
- Bowler, D.E.; Buyung-Ali, L.; Knight, T.M.; Pullin, A.S. Urban greening to cool towns and cities: A systematic review of the empirical evidence. Landsc. Urban Plan. 2010, 97, 147–155. [Google Scholar] [CrossRef]
- Go’mez-Baggethun, E.; Barton, D.N. Classifying and valuing ecosystem services for urban planning. Ecol. Econ. 2013, 86, 235–245. [Google Scholar] [CrossRef]
- Tan, C.L.; Wong, N.H.; Jusuf, S.K. Outdoor mean radiant temperature estimation in the tropical urban environment. Build. Environ. 2013, 64, 118–129. [Google Scholar] [CrossRef]
- Morakinyo, T.E.; Kong, L.; Lau, K.K.L.; Yuan, C.; Ng, E. A study on the impact of shadow-cast and tree species on in-canyon image and neighborhood’s thermal comfort. Build. Environ. 2017, 115, 1–17. [Google Scholar] [CrossRef]
- Correa, E.; Ruiz, M.A.; Canton, A.; Lesino, G. Thermal comfort in forested urban canyons of low building density. An assessment for the city of Mendoza. Argentina. Build. Environ. 2012, 58, 219–230. [Google Scholar] [CrossRef]
- Chudnovsky, A.; Ben-Dor, E.; Saaroni, H. Diurnal thermal behavior of selected urban objects using remote sensing measurements. Energy Build. 2004, 36, 1063–1074. [Google Scholar] [CrossRef]
- Yamashita, S.; Sekine, K.; Shoda, M.; Yamashita, K.; Hara, Y. On relationships between heat island and sky view factor in the cities of Tama River basin, Japan. Atmos. Environ. 1986, 20, 681–686. [Google Scholar] [CrossRef]
- Min, X.; Bo, H. Outdoor thermal comfort in an urban park during winter in cold regions of China. Sustain. Cities Soc. 2018, 43, 208–220. [Google Scholar]
- Johnson, D.B. Urban modification of diurnal temperature cycles in Birmingham, U.K. J. Climatol. 1985, 5, 221–225. [Google Scholar] [CrossRef]
- Yujie, L.; Hong, J. Field Study on the Microclimate of Public Spaces in Traditional Residential Areas in a Severe Cold Region of China. Int. J. Environ. Res. Public Health 2019, 16, 2986. [Google Scholar]
- Johansson, E. Influence of urban geometry on outdoor thermal comfort in a hot dry climate: A study in Fez, Morocco. Build. Environ. 2006, 41, 1326–1338. [Google Scholar] [CrossRef]
- Chatzipoulka, C.; Compagnon, R.; Kaempf, J.; Nikolopoulou, M. Sky view factor as predictor of solar availability on building façades. Sol. Energy 2018, 170, 1026–1038. [Google Scholar] [CrossRef]
- Ahmadi Venhari, A.; Tenpierik, M.; Taleghani, M. The role of sky view factor and urban street greenery inhuman thermal comfort and heat stress in a desert climate. J. Arid Environ. 2019, 166, 68–76. [Google Scholar] [CrossRef]
- Yang, F.; Qian, F.; Lau, S.S.Y. Urban form and density as indicators for summertime outdoor ventilation potential: A case study on high-rise housing in Shanghai. Build. Environ. 2013, 70, 122–137. [Google Scholar] [CrossRef]
- Emmanuel, R.; Rosenlund, H.; Johansson, E. Urban shading—A design option for the tropics? a study in colombo, srilanka. Int. J. Climatol. 2007, 27, 1995–2004. [Google Scholar] [CrossRef]
- Pearlmutter, D.; Berliner, P.; Shaviv, E. Physical modeling of pedestrian energy exchange within the urbancanopy. Build. Environ. 2006, 41, 783–795. [Google Scholar] [CrossRef]
- Bourbia, F.; Awbi, H.B. Building cluster and shading in urban canyon for hot dry climate: Part 2: Shading simulations. Renew. Energy 2004, 29, 291–301. [Google Scholar] [CrossRef]
- Jin, H.; Cui, P.; Wong, N.H.; Ignatius, M. Assessing the Effects of Urban Morphology Parameters on Microclimate in Singapore to Control the Urban Heat Island Effect. Sustainability 2018, 10, 206. [Google Scholar] [CrossRef]
- Huang, M.; Cui, P.; He, X. Study of the Cooling Effects of Urban Green Space in Harbin in Terms of Reducing the Heat Island Effect. Sustainability 2018, 10, 1101. [Google Scholar] [CrossRef]
- Nastos, P.T.; Moustris, K.P.; Charalampopoulos, I.; Larissi, I.K.; Paliatsos, A.G. Assessment of the thermal comfort conditions in a University Campus using a 3D microscale climate model, utilizing mobile measurements. In Proceedings of the 13th International Conference on Meteorology, Climatology and Atmospheric Physics (COMECAP), Thessaloniki, Greece, 19–21 September 2016; Karacostas, T.S., Bais, A.F., Nastos, P.T., Eds.; Perspectives on Atmospheric Sciences. Springer International Publishing: Berlin, Germany, 2017. [Google Scholar] [CrossRef]
- Huang, T.Y.; Li, J.N.; Xie, Y.X.; Niu, J.L.; Mak, C.M. Simultaneous environmental parameter monitoring and human subject survey regarding outdoor thermal comfort and its modelling. Build. Environ. 2017, 125, 502–514. [Google Scholar] [CrossRef]
- Zhang, A.X.; Bokel, R.; Van den Dobbelsteen, A.; Sun, Y.C.; Huang, Q.; Zhang, Q. An integrated school and schoolyard design method for summer thermal comfort and energy efficiency in Northern China. Build. Environ. 2017, 124, 369–387. [Google Scholar] [CrossRef]
- Matzarakis, A.; Rutz, F.; Mayer, H. Modelling radiation fluxes in simple and complex environments: Basics of the RayMan model. Int. J. Biometeorol. 2010, 54, 31–139. [Google Scholar] [CrossRef]
- Martin, L.; March, L. Urban Space and Structures; Cambridge University Press: New York, NY, USA; Cambridge, UK, 1972. [Google Scholar]
- Baker, N.; Steemers, K. Thermal Comfort in Outdoor Urban Spaces: Understanding the human parameter. Sol. Energy 2001, 70, 227–235. [Google Scholar]
- Eduardo, K.; Givoni, B. Outdoor measurements and temperature comparisons of seven monitoring stations: Preliminary studies in curitiba, brazil. Build. Environ. 2007, 42, 1685–1698. [Google Scholar]
- Upmanis, H.; Chen, D. Influence of geographical factors and meteorological variables on nocturnal urban-park temperature differences-a case study of summer 1995 in Göteborg, Sweden. Clim. Res. 1999, 13, 125–139. [Google Scholar] [CrossRef]
- De Lieto Vollaro, A.; De Simone, G.; Romagnoli, R.; Vallati, A.; Botillo, S. Numerical Study of Urban Canyon Microclimate Related to Geometrical Parameters. Sustainability 2014, 6, 7894–7905. [Google Scholar] [CrossRef]
- Zhang, L.; Zhan, Q.; Lan, Y. Effects of the tree distribution and species on outdoor environment conditions in a hot summer and cold winter zone: A case study in Wuhan residential quarters. Build. Environ. 2018, 130, 27–39. [Google Scholar] [CrossRef]
- Unger, J. Intra-urban relationship between surface geometry and urban heat island: Review and new approach. Clim. Res. 2004, 27, 253. [Google Scholar] [CrossRef]
- Svensson, M.K. Sky view factor analysis—Implications for urban air temperature differences. Clim. Res. 2010, 11, 201–211. [Google Scholar] [CrossRef]






















| Month | Daily Maximum Temperature (°C) | Daily Minimum Temperature (°C) | Mean Temperature (°C) | Relative Humidity (%) | Wind Speed (km/h) | Sunshine Duration |
|---|---|---|---|---|---|---|
| Annual | 10 | −1.3 | 3.6 | 65 | 12 | 2571.2 |
| January | −13 | −24 | −19.4 | 72 | 17 | 155.9 |
| February | −7 | −20 | −15.4 | 68 | 16 | 179.9 |
| March | 2 | −10 | −4.8 | 56 | 14 | 230.9 |
| April | 13 | 1 | 6.0 | 49 | 9 | 231.4 |
| May | 21 | 8 | 14.3 | 51 | 9 | 264.1 |
| June | 26 | 15 | 20.0 | 65 | 9 | 260.2 |
| July | 28 | 18 | 22.8 | 77 | 9 | 254.2 |
| August | 26 | 16 | 21.1 | 78 | 12 | 247.2 |
| September | 21 | 9 | 14.4 | 70 | 9 | 230.5 |
| October | 12 | 1 | 5.6 | 63 | 8 | 206.8 |
| November | 0 | −10 | −5.7 | 65 | 6 | 170.2 |
| December | −9 | −20 | −15.6 | 71 | 8 | 139.9 |
| Date | Air Temperature | Wind Direction (Level) | Maximum Total Solar Radiation Intensity (W/m2 ) |
|---|---|---|---|
| 27 December 2018 | −12–(−21) °C | Northwest Wind Level 2 | 555.1 |
| 14 January 2019 | −6–(−17) °C | Northwest Wind Level 2 | 389.7 |
| 16 January 2019 | −11–(−21) °C | Northeast wind level 2 | 535.8 |
| Name and Model | Measuring Range | Accuracy | Sampling Period |
|---|---|---|---|
| BES-01 Temperature Recorder | Temperature: −30–50 °C | ±0.5 °C | 10 s to 24 h |
| Kestrel 4500 Small-Size Weather Station | Wind Speed: 0.4–40 m/s | ±0.1 m/s | 2 s to 12 h |
| Temperature: −29 –(+70) °C | ±1.0 °C | ||
| Wind Direction: 0°–360° | ±5° | ||
| Relative Humidity: 5–95% | ±3% | ||
| Air Pressure: 75–110 KPa (25 °C) | ±0.5 kPa |
| Measuring Sites | Space Forms | Environment | Street Orientation | SVF | L/C | Angle to the Dominant Wind Direction | Build-to-Line Ratio |
|---|---|---|---|---|---|---|---|
| C1 | Open type | No trees | EW-S10° | 0.86 | 0.92 | 55° | |
| C2 | Open type | Trees | EW-S5° | 0.64 | 0.87 | 55° | |
| C3 | Open type | Trees | SN-E15° | 0.64 | 0.87 | 60° | |
| C4 | Semi-open Type | Trees (multi) | SN-W2° | 0.47 | 0.35 | 43° | |
| C5 | Semi-open Type | Trees | SN-W27° | 0.73 | 0.62 | 18° | |
| C6 | Semi-open Type | Trees (multi) | SN-E36° | 0.42 | 0.43 | 81° | |
| C7 | Semi-open Type | Trees (multi) | SN-W42° | 0.57 | 0.67 | 3° | |
| C8 | Street-entry Type | No trees | SN-W9° | 0.57 | 0.29 | 36° | 32% |
| C9 | Street-entry Type | No trees | SN-W9° | 0.63 | 0.42 | 36° | 62% |
Publisher’s Note: MDPI stays neutral with regard to jurisdictional claims in published maps and institutional affiliations. |
© 2020 by the authors. Licensee MDPI, Basel, Switzerland. This article is an open access article distributed under the terms and conditions of the Creative Commons Attribution (CC BY) license (http://creativecommons.org/licenses/by/4.0/).
Share and Cite
Jin, H.; Qiao, L.; Cui, P. Study on the Effect of Streets’ Space Forms on Campus Microclimate in the Severe Cold Region of China—Case Study of a University Campus in Daqing City. Int. J. Environ. Res. Public Health 2020, 17, 8389. https://doi.org/10.3390/ijerph17228389
Jin H, Qiao L, Cui P. Study on the Effect of Streets’ Space Forms on Campus Microclimate in the Severe Cold Region of China—Case Study of a University Campus in Daqing City. International Journal of Environmental Research and Public Health. 2020; 17(22):8389. https://doi.org/10.3390/ijerph17228389
Chicago/Turabian StyleJin, Hong, Liang Qiao, and Peng Cui. 2020. "Study on the Effect of Streets’ Space Forms on Campus Microclimate in the Severe Cold Region of China—Case Study of a University Campus in Daqing City" International Journal of Environmental Research and Public Health 17, no. 22: 8389. https://doi.org/10.3390/ijerph17228389
APA StyleJin, H., Qiao, L., & Cui, P. (2020). Study on the Effect of Streets’ Space Forms on Campus Microclimate in the Severe Cold Region of China—Case Study of a University Campus in Daqing City. International Journal of Environmental Research and Public Health, 17(22), 8389. https://doi.org/10.3390/ijerph17228389
