Expansion of Impervious Surfaces and Their Driving Forces in Highly Urbanized Cities in Kyrgyzstan
Abstract
1. Introduction
- To analyze the spatial and temporal characteristics of impervious surface expansion from 1993 to 2017.
- To examine and calculate land use and land cover change in the study period, along with developed land use and land cover maps.
- To analyze and identify urban growth types using the Landscape Expansion Index (LEI) index.
- To analyze the driving factors of impervious surfaces.
2. The Study Area
3. Materials and Methods
3.1. Dataset and Preprocessing
3.2. Method
3.3. Accuracy Assessment and Data Validation
3.4. Landscape Expansion Index
4. Results
4.1. Impervious Surface area for Different Years in Three Cities
4.2. Impervious and Nonimpervious Surface Map for the Three Main Cities
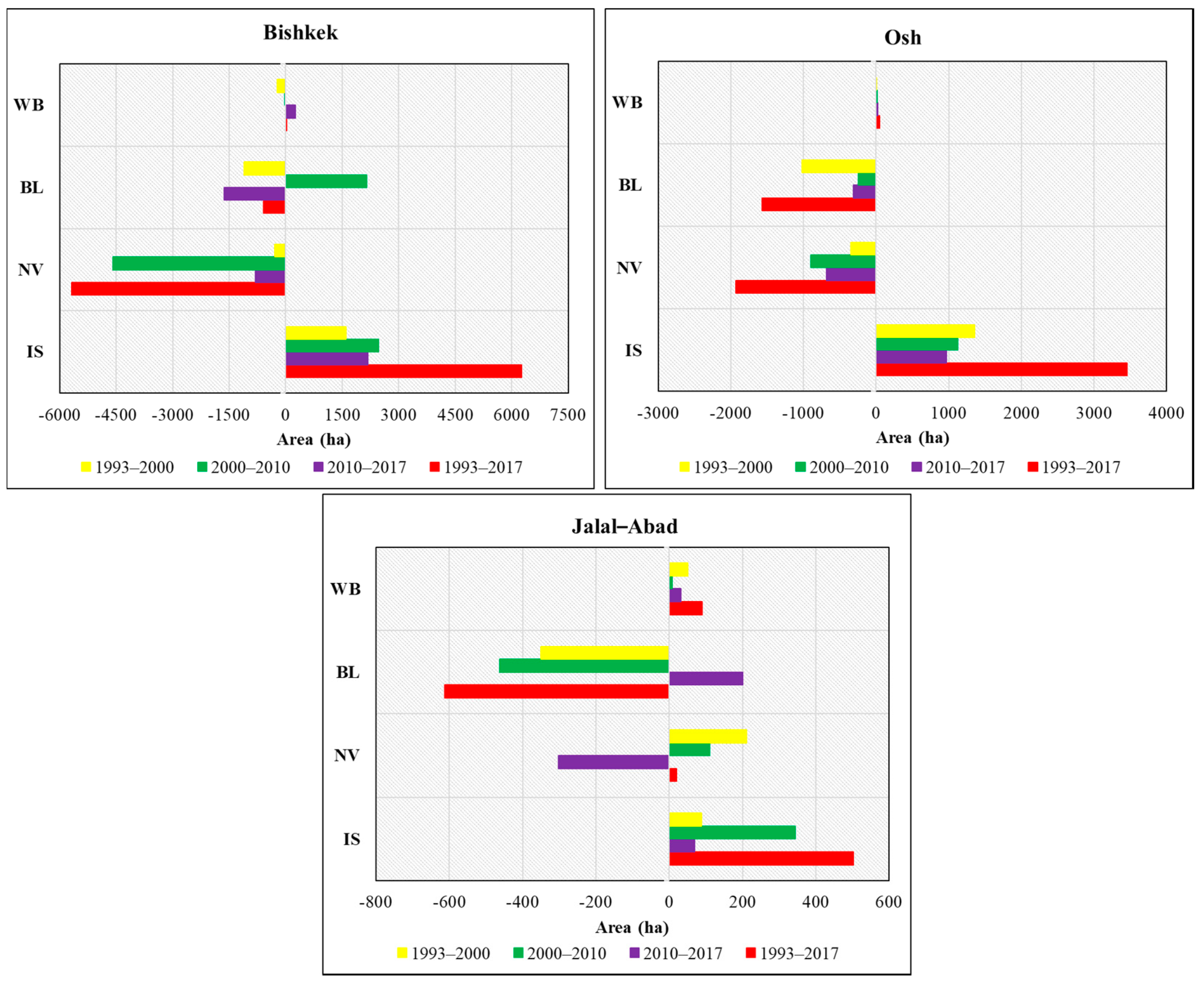
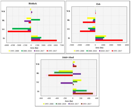
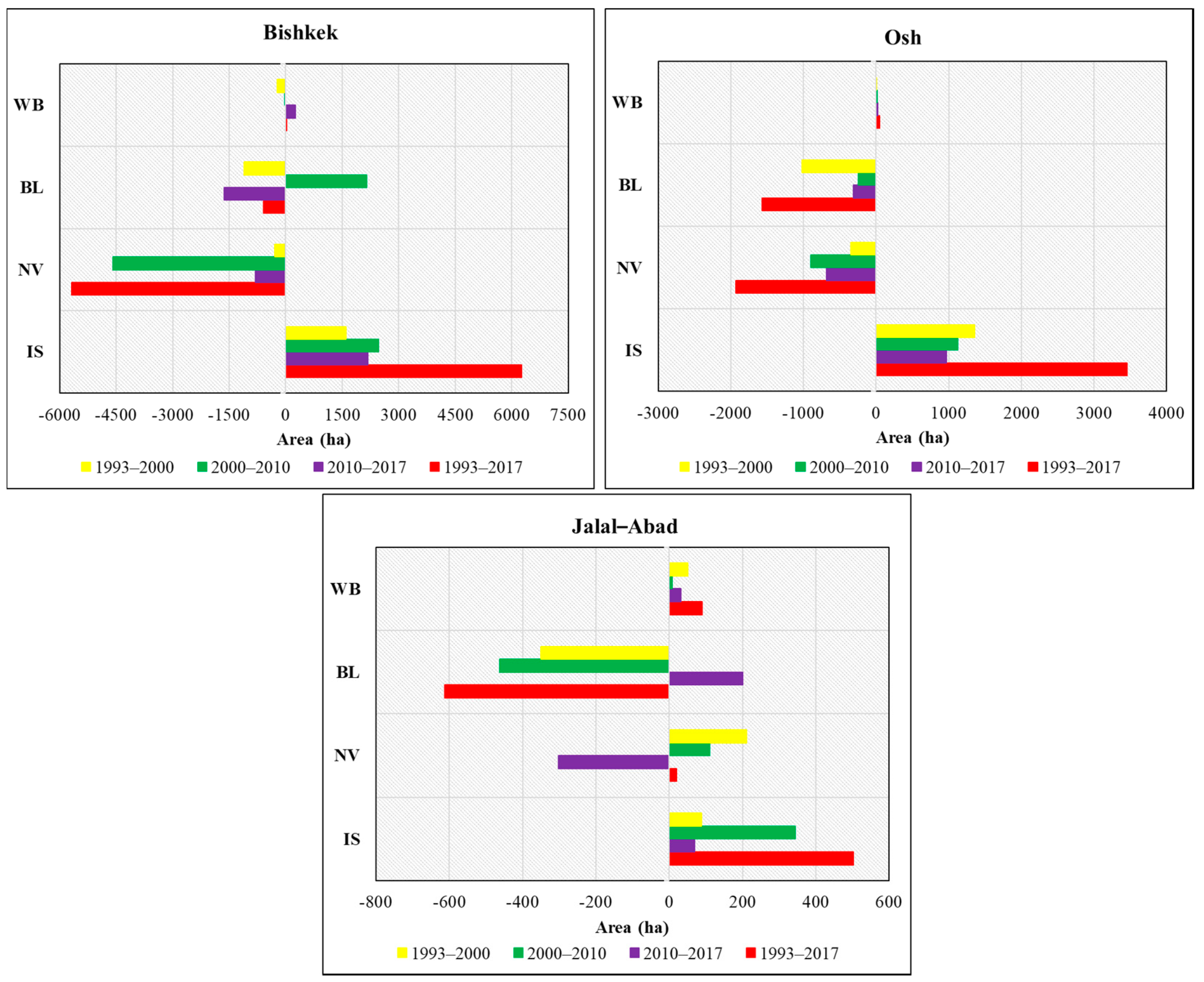
4.3. Landscape Expansion Index (LEI)
4.4. Relationship between Impervious Surface Expansion and the Driving Factors
5. Discussion
- The above results revealed that the impervious surface area increased from 1993 to 2017 in response to driving forces such as population, gross domestic product, and industry, implying that the government of Kyrgyzstan should have a clear policy and implement laws regarding integrated land use.
- Urban planning policies should be based on “green growth”, which is defined in terms of economic growth and environmental sustainability, with a clear aim of creating a healthy environment that the public can enjoy without harming others. The economic growth of Kyrgyzstan is highly dependent on natural resources, especially on land, so sustainable use of these resources is quite important for the future generations. This suggests that the relationship between economic growth and urban expansion must be explored [12].
- Bishkek, Osh, and Jalal-Abad are encompassing increasingly more land due to immense population pressure. Consequently, agricultural land, parks, and green zones are decreasing. Taking into account all these aspects, there is an urgent need for intensive land use approaches that account for more people, and to replace single-story houses with multistory infrastructure that covers the basic necessities of life (health, education, entertainment, etc.).
- The results are subject to the fact that every year the population growth increases, especially in the city of Bishkek, since internal migration flows from village to city and natural processes of movement of labor resources play a dominant role. Increasing population also places pressure on the environment. The search for better employment is another factor in urban migration, as people move from remote areas to cities for a better income. For this, it is necessary to provide better living conditions along with better employment opportunities to the population living in remote areas. This will certainly help to minimize the migration pressure on the country’s major cities.
6. Conclusions
Author Contributions
Funding
Acknowledgments
Conflicts of Interest
References
- Kii, M.; Nakamura, K. Development of a suitability model for estimation of global urban land cover. Transp. Res. Procedia 2017, 25, 3161–3173. [Google Scholar] [CrossRef]
- Chen, L.; Ren, C.; Zhang, B.; Wang, Z.; Liu, M. Quantifying urban land sprawl and its driving forces in northeast china from 1990 to 2015. Sustainability 2018, 10, 188. [Google Scholar] [CrossRef]
- Lutz, W.; Sanderson, W.; Scherbov, S. The end of world population growth. Nature 2001, 412, 543. [Google Scholar] [CrossRef] [PubMed]
- Seto, K.C.; Fragkias, M. Quantifying spatiotemporal patterns of urban land-use change in four cities of China with a time series of landscape metrics. Landsc. Ecol. 2005, 20, 871–888. [Google Scholar] [CrossRef]
- Schneider, A.; Friedl, M.A.; McIver, D.K.; Woodcock, C.E. Mapping urban areas by fusing multiple sources of coarse resolution remotely sensed data. Photogramm. Eng. Remote Sens. 2003, 69, 1377–1386. [Google Scholar] [CrossRef]
- United Nations Department of Economic and Social Affairs. Population Division of the United Nations Department of Economic and Social Affairs (UN DESA); United Nations Department of Economic and Social Affairs: New York, NY, USA, 2018. [Google Scholar]
- Yeh, A.G.-O.; Li, X. Economic Development and Agricultural Land Loss in the Pearl River Delta, China. Habitat Int. 1999, 23, 373–390. [Google Scholar] [CrossRef]
- He, C.; Liu, Z.; Tian, J.; Ma, Q. Urban expansion dynamics and natural habitat loss in China: A multiscale landscape perspective. Glob. Chang. Biol. 2014, 20, 2886–2902. [Google Scholar] [CrossRef]
- Mohan, M.; Pathan, S.K.; Narendrareddy, K.; Kandya, A.; Pandey, S. Dynamics of Urbanization and Its Impact on Land-Use/Land-Cover: A case Study of Megacity Delhi. J. Environ. Prot. 2011, 2, 1274. [Google Scholar] [CrossRef]
- Nassauer, J.I.; Raskin, J. Urban vacancy and land-use legacies: A frontier for urban ecological research, design, and planning. Landsc. Urban Plan. 2014, 125, 245–253. [Google Scholar] [CrossRef]
- Li, K.; Ma, Z.; Liu, J. A New Trend in the Space–Time Distribution of Cultivated Land Occupation for Construction in China and the Impact of Population Urbanization. Sustainability 2019, 11, 5089. [Google Scholar] [CrossRef]
- Li, G.; Sun, S.; Fang, C. The varying driving forces of urban expansion in China: Insights from a spatial-temporal analysis. Landsc. Urban Plan. 2018, 174, 63–77. [Google Scholar] [CrossRef]
- Amiri, R.; Weng, Q.; Alimohammadi, A.; Alavipanah, S.K. Spatial-temporal dynamics of land surface temperature in relation to fractional vegetation cover and land use/cover in the Tabriz urban area, Iran. Remote Sens. Environ. 2009, 113, 2606–2617. [Google Scholar] [CrossRef]
- Kuang, W.; Liu, J.; Zhang, Z.; Lu, D.; Xiang, B. Spatiotemporal dynamics of impervious surface areas across China during the early 21st century. Chin. Sci. Bull. 2013, 58, 1691–1701. [Google Scholar] [CrossRef]
- Dyldaev, M.M.; Sadukov, S.I.; Esenalieva, B.B. Demographic Processes under Allocation Conditions of the Mountain Type of Settlements in the Kyrgyz Republic; Eurasian Scientific Association: Moscow, Russia, 2018. [Google Scholar]
- Mathijs, E.; Swinnen, J.F. The economics of agricultural decollectivization in east-central Europe and the former Soviet Union. Econ. Dev. Cult. Chang. 1998, 47, 1–26. [Google Scholar] [CrossRef]
- United Nations, Economic and Social Commission for Asia and Pacific (ESCAP). Urbanization in Central Asia: Challenges, Issues, and Prospects; Center for Economic Research: Tashkent, Uzbekistan, 2013. (In Russian) [Google Scholar]
- Belekov, J.B. Features of internal migration in the Kyrgyz Republic. Vestnik KazNU 2011, 1, 8–11. [Google Scholar]
- Kostyukova, I. The towns of Kyrgyzstan change their faces: Rural-Urban migrants in Bishkek. Cent. Asian Surv. 1994, 13, 425–434. (In Russian) [Google Scholar] [CrossRef]
- National Statistical Committee of the Kyrgyz Republic. 20 years of Independence of the Kyrgyz Republic—Numbers and Facts; National Statistical Committee of the Kyrgyz Republic: Bishkek, Kyrgyzstan, 2011. (In Russian) [Google Scholar]
- Asanakunov, B.J.; Dresvyannikov, S.Y. The Concept of the Formation and Development of the Bishkek Agglomeration. In National Institute for Strategic Studies Kyrgyz Republic Concept; The Government of the Kyrgyz Republic: Bishkek, Kyrgyzstan, 2015. (In Russian) [Google Scholar]
- Huang, M.; Chen, N.; Du, W.; Chen, Z.; Gong, J. DMBLC: An indirect Urban Impervious Surface Area Extraction Approach by Detecting and Masking Background Land Cover on Google Earth Image. Remote Sens. 2018, 10, 766. [Google Scholar] [CrossRef]
- Lu, D.; Weng, Q. Extraction of urban impervious surfaces from an IKONOS image. Int. J. Remote Sens. 2009, 30, 1297–1311. [Google Scholar] [CrossRef]
- Rwanga, S.S.; Ndambuki, J. Accuracy assessment of Land Use/Land Cover Classification Using Remote Sensing and GIS. Int. J. Geosci. 2017, 8, 611. [Google Scholar] [CrossRef]
- Sahalu, A.G. Analysis of Urban Land Use and Land Cover Changes: A Case of Study in Bahir Dar, Ethiopia. Ph.D. Thesis, NOVA IMS Information Management School, Lisboa, Portugal, 2014. [Google Scholar]
- Shi, L.; Ling, F.; Ge, Y.; Foody, G.M.; Li, X.; Wang, L.; Zhang, Y.; Du, Y. Impervious Surface Change Mapping with an Uncertainty-Based Spatial-Temporal Consistency Model: A case study in Wuhan City Using Landsat Time-Series Datasets from 1987 to 2016. Remote Sens. 2017, 9, 1148. [Google Scholar] [CrossRef]
- Bauer, M.E.; Heinert, N.J.; Doyle, J.K.; Yuan, F. Impervious surface mapping and change monitoring using Landsat Remote Sensing. In Proceedings of the ASPRS Annual Conference Proceedings, Denver, CO, USA, 23 May 2004; American Society for Photogrammetry and Remote Sensing: Bethesda, MD, USA, 2014. [Google Scholar]
- Yuan, F.; Wu, C.; Bauer, M.E. Comparison of Spectral Analysis Techniques for Impervious Surface Estimation Using Landsat Imagery. Photogramm. Eng. Remote Sens. 2008, 74, 1045–1055. [Google Scholar] [CrossRef]
- Slonecker, E.T.; Jennings, D.B.; Garofalo, D. Remote sensing of impervious surfaces: A review. Remote Sens. Rev. 2001, 20, 227–255. [Google Scholar] [CrossRef]
- Sudhira, H.; Ramachandra, T. Characterising Urban Sprawl from Remote Sensing data and Using Landscape Metrics. In Proceedings of the 10th International Conference on Computers in Urban Planning and Urban Management, Iguassu Falls, Brazil, 11–13 July 2007. [Google Scholar] [CrossRef]
- Hardin, P.J.; Jackson, M.W.; Otterstrom, S.M. Mapping, measuring, and modeling urban growth. In Geo-spatial Technologies in Urban Environments; Springer: Berlin/Heidelberg, Germany, 2007; pp. 141–176. [Google Scholar]
- Weber, C.; Puissant, A. Urbanization pressure and modeling of urban growth: Example of the Tunis Metropolitan area. Remote Sens. Environ. 2003, 86, 341–352. [Google Scholar] [CrossRef]
- Dewan, A.M.; Yamaguchi, Y. Land use and land cover change in greater Dhaka, Bangladesh: Using remote sensing to promote sustainable urbanization. Appl. Geogr. 2009, 29, 390–401. [Google Scholar] [CrossRef]
- Xiao, J.; Shen, Y.; Ge, J.; Tateishi, R.; Tang, C.; Liang, Y.; Huang, Z. Evaluating urban expansion and land-use change in Shijiazhuang, China, by using GIS and Remote Sensing. Landsc. Urban Plan. 2006, 75, 69–80. [Google Scholar] [CrossRef]
- Kato, S.; Yamaguchi, Y. Analysis of urban heat-island effect using ASTER and ETM + Data: Separation of anthropogenic heat discharge and natural heat radiation from sensible heat flux. Remote Sens. Environ. 2005, 99, 44–54. [Google Scholar] [CrossRef]
- Imhoff, M.L.; Zhang, P.; Wolfe, R.E.; Bounoua, L. Remote sensing of the urban heat island effect across biomes in the continental USA. Remote Sens. Environ. 2010, 114, 504–513. [Google Scholar] [CrossRef]
- Weng, Q. Evaluation of urban expansion and its impact on surface temperature in the Zhujiang delta, China. Int. J. Remote Sens. 2001, 22, 1999–2014. [Google Scholar] [CrossRef]
- Verma, R.K.; Kumari, K.S.; Tiwary, R. Application of remote sensing and gis technique for efficient urban planning in India. In Proceedings of the Geomatrix Conference Proceedings, Bombay, India, 28 February–1 March 2009. [Google Scholar]
- Valero Medina, J.A.; Alzate Atehortúa, B.E. Comparison of maximum likelihood, support vector machines, and random forest techniques in satellite images classification. Tecnura 2019, 23, 3–10. [Google Scholar] [CrossRef]
- Sun, Y.; Zhao, S.; Qu, W. Quantifying spatiotemporal patterns of urban expansion in three capital cities in Northeast China over the past three decades using satellite data sets. Environ. Earth Sci. 2015, 73, 7221–7235. [Google Scholar] [CrossRef]
- Chen, X.; Bai, J.; Li, X.; Luo, G.; Li, J.; Li, B.L. Changes in land use/land cover and ecosystem services in Central Asia during 1990–2009. Curr. Opin. Environ. Sustain. 2013, 5, 116–127. [Google Scholar] [CrossRef]
- Bhandari, S. Urban Change Monitoring Using GIS and Remote Sensing Tools in Kathmandu Valley (Nepal). Ph.D. Thesis, NOVA IMS Information Management School, Lisboa, Portugal, 2010. [Google Scholar]
- National Statistical Committee of the Kyrgyz Republic. Demographic Yearbook of the Kyrgyz Republic; National Statistical Committee of the Kyrgyz Republic: Bishkek, Kyrgyzstan, 2017. (In Russian) [Google Scholar]
- Barataliev, O. Geography of Kyrgyzstan; Ministry of Education of the Kyrgyz Republic: Bishkek, Kyrgyzstan, 2010. (In Kyrgyz) [Google Scholar]
- Muksinov, R.M.; Khramova, N.S. Architecture of Bishkek City. Tradition and Modernity. Ph.D. Thesis, Kyrgyz-Russian Slavic University, Bishkek, Kyrgyzstan, 2010. (In Russian). [Google Scholar]
- Alamanov, S.K.; Chen, X. Physical Geography of Kyrgyzstan; Ministry of Science and Technology of the People’s Republic of China: Bishkek, Kyrgyzstan, 2013. (In Russian)
- Ziaul, S.; Pal, S. Assessing outdoor thermal comfort of English Bazar Municipality and its surroundings, West Bengal, India. Adv. Space Res. 2019. [Google Scholar] [CrossRef]
- National Statistical Committee of the Kyrgyz Republic. Statistical Yearbook of the Kyrgyz Republic; National Statistical Committee of the Kyrgyz Republic: Bishkek, Kyrgyzstan, 1990–2017. [Google Scholar]
- Zhu, Z. Change detection using landsat time series: A review of frequencies, preprocessing, algorithms, and applications. ISPRS J. Photogramm. Remote Sens. 2017, 130, 370–384. [Google Scholar] [CrossRef]
- Chander, G.; Markham, B.L.; Helder, D.L. Summary of current radiometric calibration coefficients for Landsat TMM, tm, ETM+, and EO-1 ALI sensors. Remote Sens. Environ. 2009, 113, 893–903. [Google Scholar] [CrossRef]
- Frantz, D.; Roder, A.; Stellmes, M.; Hill, J. An Operational radiometric Landsat preprocessing framework for large-area time series applications. IEEE Trans. Geosci. Remote Sens. 2016, 54, 3928–3943. [Google Scholar] [CrossRef]
- Topaloğlu, R.H.; Sertel, E.; Musaoğlu, N. Assessment of classification accuracies of Sentinel-2 and Landsat-8 data for land cover/use mapping. International archives of the photogrammetry. Remote Sens. Spat. Inf. Sci. 2016, 41, 1055–1059. [Google Scholar]
- Immitzer, M.; Vuolo, F.; Atzberger, C. First Experience with Sentinel-2 Data For Crop and Tree Species Classifications in Central Europe. Remote Sens. 2016, 8, 166. [Google Scholar] [CrossRef]
- Yuan, F.; Bauer, M.E. Mapping impervious surface area using high resolution imagery: A comparison of object-based and per pixel classification. In Proceedings of the ASPRS 2006 Annual Conference, Reno, NV, USA, 1–5 May 2010; pp. 1–5. [Google Scholar]
- Deng, C.; Li, C.; Zhu, Z.; Lin, W.; Xi, L. Evaluating the impacts of atmospheric correction, seasonality, environmental settings, and multi-temporal images on subpixel urban Impervious Surface area mapping with Landsat Data. ISPRS J. Photogramm. Remote Sens. 2017, 133, 89–103. [Google Scholar] [CrossRef]
- Luo, G.; Amuti, T.; Zhu, L.; Mambetov, B.T.; Maisupova, B.; Zhang, C. Dynamics of landscape patterns in an inland river delta of Central Asia based on a cellular automata-Markov model. Reg. Environ. Chang. 2015, 15, 277–289. [Google Scholar] [CrossRef]
- Rahaman, M.; Dutta, S.; Sahana, M.; Das, D.N. Analysing Urban Sprawl and Spatial Expansion of Kolkata Urban Agglomeration Using Geospatial Approach. In Applications and Challenges of Geospatial Technology; Springer: Berlin/Heidelberg, Germany, 2019; pp. 205–221. [Google Scholar]
- Duulatov, E.; Xi, C.; Kurban, A.; Ndayisaba, F.; Monoldorova, A. Detecting Land Use/Land Cover Change using Landsat Imagery: Jumgal District, Kyrgyzstan. Int. J. Geoinform. 2016, 12, 1–7. [Google Scholar]
- Foody, G.M. Status of land cover classification accuracy assessment. Remote Sens. Environ. 2002, 80, 185–201. [Google Scholar] [CrossRef]
- Costa, H.; Foody, G.M.; Boyd, D.S. Supervised methods of image segmentation accuracy assessment in land cover mapping. Remote Sens. Environ. 2018, 205, 338–351. [Google Scholar] [CrossRef]
- Weerakoon, K. Analysis of Spatio-Temporal Urban Growth Using Gis Integrated Urban Gradient Analysis, Colombo District, Sri Lanka. Am. J. Geog. Inf. Syst. 2017. 6, 83–89. [CrossRef]
- Nong, D.H.; Lepczyk, C.A.; Miura, T.; Fox, J.M. Quantifying urban growth patterns in Hanoi using landscape expansion modes and time series spatial metrics. PLoS ONE 2018, 13. [Google Scholar] [CrossRef] [PubMed]
- Wilson, E.H.; Hurd, J.D.; Civco, D.L.; Prisloe, M.P.; Arnold, C. Development of a geospatial model to quantify, describe and map urban growth. Remote Sens. Environ 2003, 86, 275–285. [Google Scholar] [CrossRef]
- Jiao, L.; Liu, J.; Xu, G.; Dong, T.; Gu, Y.; Zhang, B.; Liu, Y.; Liu, X. Proximity Expansion Index: An improved approach to characterize evolution process of urban expansion. Comput. Environ. Urban Syst. 2018, 70, 102–112. [Google Scholar] [CrossRef]
- Bao, C.; Chen, X. The driving effects of urbanization on economic growth and water use change in China: A provincial-level analysis in 1997–2011. J. Geogr. Sci. 2015, 25, 530–544. [Google Scholar] [CrossRef]
- Shamurzaeva, A.C. Migration and urbanization in Kyrgyzstan. Vestnik KRSU 2017, 17, 72–78. [Google Scholar]
- National Statistical Committee of the Kyrgyz Republic. Socio-Economic Situation the Kyrgyz Republic; National Statistical Committee of the Kyrgyz Republic: Bishkek, Kyrgyzstan, 2017. (In Russian) [Google Scholar]
- Rakhimov, R. Internal Migration in the Context of land Relations; Center for Social Research, American University of Central Asia: Bishkek, Kyrgyzstan, 2005. [Google Scholar]
- Matthias Schmidt, L.S. Migration past and present: Changing patterns in Kygyzstan. Cent. Asian Surv. 2008, 27, 111–127. [Google Scholar] [CrossRef]
- Cai, D.; Fraedrich, K.; Guan, Y.; Guo, S.; Zhang, C. Urbanization and the thermal environment of Chinese and US-American cities. Sci. Total Environ. 2017, 589, 200–211. [Google Scholar] [CrossRef]
- Myint, S.W.; Gober, P.; Brazel, A.; Grossman-Clarke, S.; Weng, Q. Per-pixel vs. Object-based classification of urban land cover extraction using high spatial resolution imagery. Remote Sens. Environ. 2011, 115, 1145–1161. [Google Scholar] [CrossRef]
- Weng, Q. Remote sensing of impervious surfaces in the urban areas: Requirements, methods, and trends. Remote Sens. Environ. 2012, 117, 34–49. [Google Scholar] [CrossRef]
- Izakovičová, Z.; Mederly, P.; Petrovič, F. Long-term Land Use Changes Driven by Urbanisation and Their Environmental Effects (Example of Trnava City, Slovakia). Sustainability 2017, 9, 1553. [Google Scholar] [CrossRef]
- Aljoufie, M.; Brussel, M.; Zuidgeest, M.; van Maarseveen, M. Urban growth and transport infrastructure interaction in Jeddah between 1980 and 2007. Int. J. Appl. Earth Obs. Geoinf. 2013, 21, 493–505. [Google Scholar] [CrossRef]
- De La Luz Hernandez-Flores, M.; Otazo-Sánchez, E.M.; Galeana-Pizana, M.; Roldán-Cruz, E.I.; Razo-Zárate, R.; González-Ramírez, C.A.; Galindo-Castillo, E.; Gordillo-Martínez, A.J. Urban driving forces and megacity expansion threats. Study case in the Mexico City periphery. Habitat Int. 2017, 64, 109–122. [Google Scholar] [CrossRef]










| Satellite | Sensor | Imagery Date | Spatial Resolution (Meters) | Path/Row | Cloud Cover (Percent) | Band | Source |
|---|---|---|---|---|---|---|---|
| Landsat 5 | TM | 6/10/1993 | 30 | 151/30 | 6 | 7 | USGS glovis.usgs.gov |
| 6/10/1993 | 151/32 | 1 | |||||
| Landsat 7 | ETM+ | 8/24/2000 | 30 | 151/30 | 6 | 6, 7 | |
| 151/32 | 0 | ||||||
| Landsat 5 | TM | 8/12/2010 | 30 | 151/30 | 4 | 7 | |
| 8/28/2010 | 151/32 | 1 | |||||
| Landsat 8 | OLI | 8/12/2017 | 30 | 151/30 | 2.4 | 8 | |
| 7/11/2017 | 151/32 | 2.93 |
| Class | Landsat Cities | 1993 | 2000 | 2010 | 2017 | Sentinel-2 (2017) | |||||
|---|---|---|---|---|---|---|---|---|---|---|---|
| PA | UA | PA | UA | PA | UA | PA | UA | PA | UA | ||
| IS | Bishkek | 93.3 | 93.3 | 93.3 | 96.6 | 93.3 | 90.3 | 93.3 | 87.5 | 100 | 93.8 |
| Osh | 73.3 | 88 | 100 | 78.9 | 100 | 88.2 | 96.7 | 85.5 | 100 | 68.2 | |
| Jalal-Abad | 93.3 | 96.6 | 76.7 | 79.3 | 90 | 93.1 | 93.3 | 93.3 | 96.7 | 78.4 | |
| NV | Bishkek | 96.7 | 85.3 | 96.7 | 59.2 | 93.3 | 77.8 | 93.3 | 65.1 | 90 | 90 |
| Osh | 96.7 | 64.4 | 90 | 75 | 100 | 100 | 100 | 65.1 | 93.3 | 100 | |
| Jalal-Abad | 96.7 | 80.6 | 90 | 61.4 | 96.7 | 53.7 | 100 | 83.3 | 100 | 93.8 | |
| BL | Bishkek | 90 | 100 | 40 | 100 | 83.3 | 100 | 60 | 100 | 90 | 93.1 |
| Osh | 93.3 | 96.6 | 90 | 100 | 100 | 100 | 50 | 100 | 93.3 | 100 | |
| Jalal-Abad | 86.7 | 96.3 | 66.7 | 95.2 | 20 | 100 | 80 | 100 | 73.3 | 100 | |
| WB | Bishkek | 96.7 | 100 | 100 | 100 | 93.3 | 100 | 90 | 100 | 96.7 | 100 |
| Osh | 70 | 100 | 63.3 | 100 | 86.7 | 100 | 83.3 | 100 | 66.7 | 100 | |
| Jalal-Abad | 90 | 96.4 | 86.7 | 100 | 100 | 96.8 | 100 | 100 | 96.7 | 100 | |
| Overall | Bishkek | 94.2 | 82.5 | 90.8 | 84.2 | 94 | |||||
| Osh | 83.3 | 85.8 | 96.7 | 82.5 | 88 | ||||||
| Jalal-Abad | 91.7 | 80 | 76.7 | 93.3 | 92 | ||||||
| Kappa | Bishkek | 92 | 77 | 87.8 | 78.9 | 92 | |||||
| Osh | 78 | 81 | 96 | 77 | 84 | ||||||
| Jalal-Abad | 89 | 73 | 69 | 91 | 89 | ||||||
© 2020 by the authors. Licensee MDPI, Basel, Switzerland. This article is an open access article distributed under the terms and conditions of the Creative Commons Attribution (CC BY) license (http://creativecommons.org/licenses/by/4.0/).
Share and Cite
Omurakunova, G.; Bao, A.; Xu, W.; Duulatov, E.; Jiang, L.; Cai, P.; Abdullaev, F.; Nzabarinda, V.; Durdiev, K.; Baiseitova, M. Expansion of Impervious Surfaces and Their Driving Forces in Highly Urbanized Cities in Kyrgyzstan. Int. J. Environ. Res. Public Health 2020, 17, 362. https://doi.org/10.3390/ijerph17010362
Omurakunova G, Bao A, Xu W, Duulatov E, Jiang L, Cai P, Abdullaev F, Nzabarinda V, Durdiev K, Baiseitova M. Expansion of Impervious Surfaces and Their Driving Forces in Highly Urbanized Cities in Kyrgyzstan. International Journal of Environmental Research and Public Health. 2020; 17(1):362. https://doi.org/10.3390/ijerph17010362
Chicago/Turabian StyleOmurakunova, Gulkaiyr, Anming Bao, Wenqiang Xu, Eldiiar Duulatov, Liangliang Jiang, Peng Cai, Farkhod Abdullaev, Vincent Nzabarinda, Khaydar Durdiev, and Makhabat Baiseitova. 2020. "Expansion of Impervious Surfaces and Their Driving Forces in Highly Urbanized Cities in Kyrgyzstan" International Journal of Environmental Research and Public Health 17, no. 1: 362. https://doi.org/10.3390/ijerph17010362
APA StyleOmurakunova, G., Bao, A., Xu, W., Duulatov, E., Jiang, L., Cai, P., Abdullaev, F., Nzabarinda, V., Durdiev, K., & Baiseitova, M. (2020). Expansion of Impervious Surfaces and Their Driving Forces in Highly Urbanized Cities in Kyrgyzstan. International Journal of Environmental Research and Public Health, 17(1), 362. https://doi.org/10.3390/ijerph17010362

