Abstract
In the last few decades, the rapid technological evolution has led to a growing generation of waste electrical and electronic equipment (WEEE). Not rarely, it has been exported from industrialized to developing countries, where it represents a secondary source of valuable materials such as gold, copper, and silver. The recycling of WEEE is often carried out without any environmental and health protection. This paper reviews recent literature dealing with the informal treatment of WEEE in developing regions, gathering and analyzing data on concentration of both inorganic and organic pollutants in the environment. Open burning practices are revealed as most polluting ‘technology’, followed by mechanical treatment and leaching. Significant levels of pollutants have been detected in human bodies, both children and adults, working in or living in areas with informal WEEE treatment.
1. Introduction
In the recent decades, technology has largely contributed to the improvement of the quality of life, providing several benefits and opportunities in a variety of areas. Nevertheless, its rapid evolution has led to the fast disposal of a number of electric and electronic devices, referred to as waste electrical and electronic equipment (WEEE).
WEEE stands as the residual stream characterized by the highest annual generation rate [1]. In 2016, the global production of WEEE was 44.7 million tons (Mt) and it is expected to exceed 50 million tons in 2021; however, only one-third of the WEEE generated is documented to be properly collected [2] and destined to recycling, in accordance with the legislative framework disciplining waste management in most high income countries.
Asia is the greatest producer of WEEE (18.2 Mt), followed by Europe (12.3 Mt), the Americas (11.3 Mt), Africa (2.2 Mt), and Oceania (0.7 Mt). Notwithstanding, the smallest overall generation, Oceania is reported as the region with the greatest specific waste generation (17.3 kg/inh. (inhabitant)/year), of which only 6% is documented to be properly collected and recycled. Europe is the second largest WEEE producer per inhabitant with an average of 16.6 kg/inh./year, but the collection rate reached the 35% in 2016. The Americas and Asia have comparable collection rates, but the annual specific WEEE production in Asia is 4.2 kg/inh., approximately half that recorded for the Americas. Africa generates only 1.9 kg/inh./year, but scattered information is available about the collection of the WEEE produced [2].
The collection of WEEE is a crucial step in providing its management in compliance with the waste hierarchy, pursuing material recycling as the preferred option for waste streams.
The WEEE recycling chain usually consists of a mechanical pre-treatment step, aiming at the separation of the hazardous components from the valuable ones, which are further sent for refining via metallurgical techniques [3,4,5] and other recycling processes. In high-income regions, all the operations for WEEE recycling are formally identified, so that the intrinsic toxicity potential of some components [6] does not threaten both the environment and human health.
However, there is a large amount of WEEE generated globally, whose fate is unknown [2]. This portion of WEEE is likely to enter the so-called informal sector. In this context, the collection of WEEE and its separation as well as the extraction of valuable metals—like copper, gold, and silver—are carried out without any environmental and health protection against the potential burdens related to the hazardous substances contained in WEEE [7]. During the informal treatment, these substances may either be released into the environment or generate toxic emissions, posing severe threats for both the environment and human health [8,9].
Several studies report the contamination of soil, air, and water by heavy metals and organic contaminants in and around the informal working areas. The contamination of both water and sediments is documented in rivers close to informal WEEE recycling area such as Guiyu, in China [10]. Concentration of polycyclic aromatic hydrocarbons (PAHs) as high as 1231 mg/kg were detected in the soil of Wenling, an emerging e-waste recycling city in China [11]. In Indian workshop dusts, concentrations of lead were reported to range between 2360 and 10,900 mg/kg: such levels were approximately 5–20 times higher than the background ones [7]. The presence of these pollutants into the environment entails the potential risk for the human health of the exposed population. Both residents and workers may intake such contaminants either directly or indirectly. Yu et al. [12] recently pointed out the role of the informal recycling of WEEE on the release of heavy metals into the environment. In their work, authors considered the area of a former workshop in south China and compared the concentration of heavy metals in dust, soil, vegetable, and rice samples with the values detected when informal recycling of WEEE was going on. They found that the levels of heavy metals in the dust samples were lower than those reported when the WEEE was informally treated in that area; however, the concentrations of the same pollutants in soil, vegetables, and rice were still high. This condition made the exposure via crop consumption a relevant contributor to health risk in this area. Zeng et al. [13] extensively described the health effects by heavy metals in an e-waste recycling area, pointing out that major injury to diverse organism as well as genetic damage can occur in children.
The informal sector is mainly based in developing regions, where formal recycling is unlikely feasible due to the excessive costs related to its implementation [14], and it is largely fed by the WEEE produced in high-income countries. In most cases, sending WEEE to developed regions complies with the need to fulfil the implementation of the extended producer responsibility (EPR) while reducing the associated economic burdens. This kind of approach is also encouraged by the loopholes in current e-waste global regulations: the illegal e-waste flows from developed to developing countries are allowed under the guise of “donation” or “refurbishing” purposes [10]. Nevertheless, the demand for imported WEEE in developing countries has considerably increased due to the potential economic gain from the unregulated recycling [10].
Breivik et al. [15] highlighted that the 23% of WEEE generated in developed countries is exported to seven preferred developing countries. The 75–80% of the entire amount of the WEEE globally produced is transferred to the Asian and African developing regions [16], standing as the preferred destinations for the illegal traffic of WEEE, whereas the main source countries have been identified in Europe [17]. In China, due to the introduction of tighter legislation, the management of WEEE has gradually improved over time [18], while Ghana, Nigeria, South Africa, Vietnam, India, and the Philippines became attractive destination countries [17].
The geography of WEEE global movements is, thus, particularly complex and continuously changing, according to the different provisions and regulations that are entering into force, shifting the destination countries time to time.
In the informal sector, the processing chain of WEEE still pursues the recovery of valuable components, but mechanical processing in the formal treatment is replaced by manual disassembly, whereas the refining stage occurs via either open burning or uncontrolled acid leaching. Poor process monitoring, as well as the absence of personal protective gear, accounts for both severe contamination of the environment where these practices take place and for the risk to human health of workers and people living in the surroundings of the informal working sites [19,20,21].
The informal sector involves more than 60% of the population employed worldwide. About 93% of them live in emerging and developing countries. For example, including agriculture, in Africa 85.8% of employment is informal, while in Europe less than 30% [22]. Focusing on the WEEE industry, over 700,000 people were employed in 2007 in China, 98% being in the informal recycling sector [23]; furthermore, more than 95% of recycled WEEE goes through the informal sector in India [24,25].
This work reviews recent literature dealing with the informal treatment of WEEE in developing regions, showing concentration of both inorganic and organic pollutants in the environment. Studies about contaminant presence in humans working in or living by WEEE treatment facilities and associated potential health effects are reviewed, as well.
2. Materials and Methods
A systematic survey of the published literature was performed to look for the concentration of contaminants in the environment due to the informal management of WEEE in developing regions worldwide.
Relevant search engines, i.e., ScienceDirect and Scopus, and a combination of search terms (i.e., WEEE, e-waste, developing countries, informal treatment) were used. Papers published since 2005 were examined to ensure the currency of the information. 128 papers were identified as potentially useful and initially analyzed (listed in the available Supplementary Material). Papers not regarding informal WEEE activities or not including concentrations of contaminants in the environmental media (i.e., soil, dust, sediment, air, water) were then excluded.
The searched inorganic pollutants were: Al, As, Ba, Cd, Co, Cr, Cu, Hg, Li, Mn, Mo, Ni, Pb, Sb, and Zn. The searched organic pollutants were: polybrominated diphenyl ethers (PBDEs), polychlorinated dibenzodioxins (PCDDs), polychlorinated dibenzofurans (PCDFs), polychlorinated biphenyls (PCBs), dioxin-like PCBs, and organophosphate flame retardants (PFRs). Both the inorganic and organic pollutants were chosen since usually mentioned as typical environmental pollutants in WEEE treatment activities and for their impacts on human heath [26,27,28,29]. Aluminum was chosen to calculate the enrichment factor discussed below [30].
Afterwards, 50 papers including data concerning 107 sites from all over the world were selected (Table 1). Six papers were review papers. In this paper, data from those reviews were integrated with the further studies to have a global vision.
Table 1.
Location, site description, treatment process, reference information and code chosen related to informal e-waste treatment in developing countries and areas in the world.
In few cases (Table 1, sites with codes CG, CH, CN, DA, DB), data were taken into consideration although the scientific paper provided them as an average value from two or three locations. Indeed, in those cases, the values were considered anyway useful because the sites were from the same country and they had the same classification of WEEE treatment process.
The data were arranged according to the media sampled and analyzed in the literature sources. Soil, dust samples, sediments, air, and water samples. From the wider range of elements, four heavy metals—i.e., Cu, Ni, Pb and Zn—were selected for their stable chemical nature and because data for comparison are available.
Some values represent single values, while others base on a larger number of samples. In the evaluation, all datasets (data from papers) were treated equally, as long as the sampling and background information could be identified.
In order to evaluate differences in impacts between treatment technologies, each dataset was assigned to one of the categories (using the information given in the papers, partly scarce):
- Mechanical treatment: fragmentation, sieving, sorting, etc.
- Open burning: burning of compound materials with plastic content to release the metal content, e.g., cable burning
- Leaching processes: acid leaching, amalgamation
- Mixed: more than one treatment technology applied
- NA (not available): unknown, not explained in the paper
The data of Table 1 are sorted by countries and, then, by treatment process. In the last column there is a specific code for each site; in this way, the values showed in the Results section (Table 2, Table 3, Table 4, Table 5, Table 6, Table 7, Table 8, Table 9 and Table 10) are associated to those codes.
Table 2.
Concentration of heavy metals and metalloids in soils (values expressed in mg/kg).
Table 3.
Concentration of heavy metals and metalloids in dust samples (values expressed in mg/kg).
Table 4.
Concentration of heavy metals and metalloids in sediments (values expressed in mg/kg).
Table 5.
Concentration of heavy metals and metalloids in air samples (values expressed in ng/m3).
Table 6.
Concentration of heavy metals and metalloids in the water (values expressed in mg/L).
Table 7.
Concentration of organic pollutants in soil (values expressed in ng/g).
Table 8.
Concentration of organic pollutants in dust (values expressed in ng/g).
Table 9.
Concentration of organic pollutants in sediments (values expressed in pg/g).
Table 10.
Concentration of organic pollutants in air samples (values expressed in pg/m3).
One of the more traditional approaches to evaluate the sources of trace elements is the analysis of elemental concentration ratios, particularly by comparing the ratios in the samples with those in a likely source material by calculating enrichment factors (EFs). EFs are widely used to estimate the anthropogenic impact on soil, and they are based on the normalization of analytical data against a reference element of which the occurrence in the environment has low variability, and are calculated as
where C is the concentration of the studied chemical element and Cref is the concentration of the chemical element adopted as reference element (in this work Al). The reference element should not be influenced by anthropogenic activities and weathering processes [30], and one of the most commonly used is Al. The EFs relative to upper continental crust (UCC) values [73] have been used to understand the relative dominance of anthropogenic sources for any element (C) in soils, and in aerosols [74]. In general, EF~1 indicates the crust as primarily source, EF <1 indicates depletion, EF >1 indicates enrichment of the element considered thus pointing to multiple sources; EF >5 indicates dominance of anthropogenic sources. The higher the EF value, the more severe the anthropogenic contribution is. Studied samples can then be given a contamination category based on the enrichment factor.
EF(C) = (C/Cref)sample/(C/Cref)UCC
3. Results
This section reports the concentration of pollutants measured in the sites where informal treatment of WEEE is carried out. When the numerical values had decimal places, they were reported with the first one, with the exception of the cases in which it would have excessively reduced the accuracy of the values (as in Table 6). Furthermore, when the last decimal place was the number 5, since several methods to rounding exist [75], it was decided to round half down when the previous was an even number and round up when the previous was an odd number.
Table 2 illustrates the concentration of heavy metals and metalloids in soils. It can be noted the high number of available data from 42 different sites. It can be seen how the majority of the data are related to Cd (from 39 sites), Cu (41 sites), Pb (39 sites), and Zn (39 sites). It can be noted that one site (code DQ) has the highest values for many heavy metals: the informal e-waste recycling area (with open burning activities) of Agbogbloshie, in Accra (Ghana) [67], in particular for As, Hg, Pb, and Zn.
Table 3 shows the concentration of heavy metals and metalloids in dust samples. A lower number of sites (22) with that datum in available in the literature. In this case, the majority of data are associated to the following pollutants: Cd (from 19 sites), Cu (19 sites), and Zn (18 sites). Furthermore, the highest pollution level comes from the e-waste recycling area of Zarfarabad in New Delhi (India) (code CT [26]) in particular for Cr, Cu, and Hg.
Table 4 shows the concentration of heavy metals and metalloids in sediments. In has to be highlighted the majority of the sediments are from rivers, with three exceptions (pond: codes AX, AY; Not Specified: code DJ). The available data comes from 12 sites. The majority of the data are related to the following pollutants: Cd (from 10 sites), Cu (10 sites), and Pb (12 sites). It can be noted that one site (code BT) has the highest values for many heavy metals: the Taizhou informal e-waste recycling site in China [31], in particular for As, Cd, Cr, and Cu.
Table 5 illustrates the concentration of heavy metals and metalloids in air samples. In this case, the data refer to only six sites. The majority of the data are related to the following pollutants: Cd (from 6 sites) and Pb (6 sites). It can be noted that one site (code AA) has the highest values for many heavy metals: the printed circuit board recycling workshop of Guiyu (China) [31,32].
Table 6 shows the concentration of heavy metals and metalloids in water samples. The data come just from four sites. A good amount of data is related only to Pb (from four sites). The number of sites is too low for any comparative consideration.
Table 7 illustrates the concentration of organic pollutants in soils. In this case the number of available data come from 16 sites. In this case, it was not possible to define a site as ‘more polluted than others’, in particular due the low number of different pollutants.
Table 8 shows the concentration of organic pollutants in dust. The data come from 13 sites; the majority of the data is related to PCB (from 12 sites), which reaches 34 μg/g as a maximum value.
Table 9 shows the concentration of organic pollutants in river sediments. The available data are from only three sites and refer to PBDEs and PCDD/Fs.
Table 10 illustrates the concentration of organic pollutants in air samples. The available data come from seven sites. The majority of the data regards PCDD/Fs (from four sites).
The concentration of organic pollutants in the water is not shown because of the very few and non-significant available data.
4. Discussion
As shown in Figure 1, most of the sites analyzed are located in China (49.5%) and India (26.2%). The others were from Vietnam (11.2 %), Ghana (5.6%), Nigeria (4.7%), Philippines (1.9%), and Thailand (0.9%). The fact the majority of the studies and data origin from China and India can be explained taking into account that, on one hand the two countries are the most populated in the world, each of them with more than 1 billion people, on the other hand they are no longer poor countries and local research centers carry out advanced studies also in this field. Moreover, in China and India, underdeveloped areas remain where informal treatment of WEEE is a widespread economic activity.
Figure 1.
Number of sites analyzed in the selected countries.
Figure 2 shows the number of annual papers included in Table 1, regarding both informal WEEE activities and concentrations of contaminants in the environmental media, from 2005 to 2019. As it can be seen, excluding 2005 and 2019, the papers published per year are always between 2 and 6.
Figure 2.
Number of annual publications, from 2005 to 2019.
Metals are natural constituents of the crust of the Earth and may be present in varying concentrations in different ecosystems [76]. Indeed, in rather pristine areas, the main source of metals in soils is the weathering of the geological substrate via pedogenesis processes [77], consequently in these areas their concentration has a site-specific nature. However, human activities have drastically changed the biogeochemical cycles and balance of some heavy metals, mainly locally.
Considering rather pristine areas, for instance the average concentration of heavy metals in the atmospheric air over the Arctic seas, in particular the White Sea, was less than 0.1 ng/m3 for Cd, less than 1 ng/m3 for Cr and Pb, less than 10 ng/m3 for Cu and Zn [78]. Of course, it has to be considered sometimes in apparently uncontaminated areas it can be the influence of long-range atmospheric transport of metals [56].
Regarding the organic pollutants, in particular POPs (persistent organic pollutants) as polychlorinated dibenzo-p-dioxins and dibenzofurans (PCDDs/PCDFs) and dioxin-like PCBs (dl-PCBs) in uncontaminated areas such as the Pacific Islands, it was found a concentration in air lower than 0.1 pg/m3 in terms of TEQ [79].
Soils may become contaminated due to the accumulation of heavy metals [80], particularly those resulting from the disposal/treatment of metal wastes and especially due to the use of wastewater, which leads to changes in some soil physicochemical characteristics and heavy metal uptake by food crops [81]. In addition, atmospheric deposition and an increase in the soil organic carbons due to industrial activities may affect the availability of heavy metals. Previous studies [82,83,84] demonstrate the health problems related with consumption of plants grown on wastewater-irrigated soils contaminated with heavy metals, particularly in China and India. A thorough evaluation of soils and dust contamination is considered as crucial for human health risk assessment [27] enabling a better comprehension of exposure parameters.
Informal treatment of WEEE can include different processes and technologies. Mechanical treatment is the most widely used recycling technology and encompasses a variety of activities ranging from manual sorting, disassembly for re-use, dismantling, shredding, sieving, screening, and similar processes. The scope and organization of mechanical treatment depends highly on local circumstances—i.e., quantity of available electronic waste—the price of manual labor (hourly wages), market prices for secondary raw materials, available transportation (land or sea), and similar (c.f. [14,85]). The informal mechanical treatment often coexists with open burning practices. In general, the less efficient mechanical treatment is in place, the more likely and wider in scope open burning practices are.
The practice of open burning of waste electronics is a crude technological quick fix mainly carried out for two purposes: either to remove plastics and isolate metals—e.g., burning of wires, plastic metal assemblies, PCBs, etc.—or in order to reduce the volume of unwanted materials (c.f. [39,53,86]). The open burning causes brutal damage to environment, workers and local residents via inhalation, dermal exposure, and oral intake. Thus, high levels of toxic metals (e.g., lead, cadmium, mercury) and organic pollutants (e.g., polychlorinated biphenyls—PCBs; polybrominated dibenzo-p-dioxins/dibenzofurans—PCBB/Fs) can be found in air, water and sediments near recycling sites [87,88].
Leaching processes are part of the final treatment of e-waste and almost exclusively oriented towards copper and gold recovery. Since its efficiency depends on the specific surface of particles, several pre-treatment steps to reduce the plastics share—e.g., mechanical (size reduction, sieving, classification, etc.) and burning—are prerequisite for the leaching process. Input material for leaching processes comprises of various types of PCBs, gold connectors, and other electronic components with high copper and gold concentrations.
For gold recovery from high-gold-contained parts, Keller [89] described the detailed processes and applied techniques at informal gold recovery facilities which consists: (1) “cyanide leaching” for low grade material and (2) “mercury amalgamation” for high grade material. Cyanide leaching consists of a leaching step where potassium or sodium cyanide is added into a container filled with hot water. Then, a gold separation step is takes place by using aluminum foils and silver salt. The last step is purification to obtain pure gold.
Table 11 and Figure 3 show the EF for soil and air samples of the analyzed sites. The higher values were obtained for Cu, Pb, and Cd; in the cases of soils, and Sb, Pb, Zn, and Cu; in the case of air. Cr and Co have the lower enrichment factors (3–15), but are high, and, like all the other chemical elements studied, clearly point to a dominance of anthropogenic sources. Considering the enrichment factors categories proposed by Barbieri [90] soil/dust quality state can be indicate by different classes, ranging from EF < 2 (deficiency to minimal enrichment) to EF > 40 (extremely high enrichment). The data analyzed mostly point to an extremely high enrichment, or in the case of Cr, Co, Ni, and Cd from India samples a significant enrichment, allowing us to scrutinize the content of a given substance in the environment and to detect high anthropogenic influence.
Table 11.
Enrichment factors for soils and air samples.
Figure 3.
Enrichment factors for trace elements of soils and aerosols suggesting a huge contribution from anthropogenic sources.
Comparative analysis shows that all the studied elements are higher than the corresponding values of world common trace metal range in soils, aerosols, and water [91,92,93,94,95] creating severe adverse effects on ecosystems and human health.
This fact is particularly enhanced by the difference between the ‘background’ used and the upper threshold enrichment factors obtained for different heavy metals and soils and air.
Even the EFs calculated are a rough approximation due to the lack of data. In general, they enable the establishment of comparisons between the severity of impact between regions, and between treatment processes (when available), making it possible to clearly enhance the presence and intensity of anthropogenic contaminant deposition on surface soil and air.
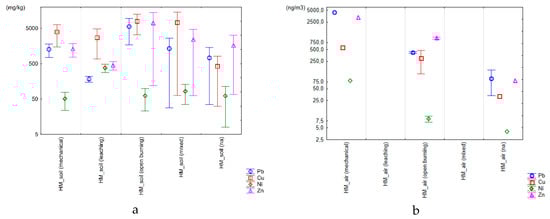
In Figure 4, the range of heavy metals concentrations sorted by treatment processes and the type of samples are presented. In the case of soils samples, Cu has the higher range of values, followed by Pb, and Zn. Ni has the lower values and the lower range. The higher concentrations of heavy metals in soils have been found when using open burning and mixed technologies. The range of values are lower when mechanical treatment and leaching processes are applied. In the case of air samples, the mechanical treatment leads to higher concentrations of heavy metals, especially Zn and Pb. In the sediment samples, higher contents of Pb and Cu occur independently of the treatment procedure, with a tendency to become higher when bleaching procedure is used (most of the data we have do not mention the technological treatment). For dust and water samples, we do not have enough comparable data, but anyway higher range values were found for Pb and Zn, particularly when using mechanical treatment.

Figure 4.
Range plot of heavy metal variables with the minimum, mid-point, and maximum values for the soils (a), air (b), sediment (c), and dust samples (d) according with the treatment processes (mechanical, leaching, open burning, mixed, na: not available).
Considering the cases for which there are more available data, it can be concluded that, in general, the open burning practices are the most polluting technology, followed by mechanical treatment and leaching.
The wide range of parameters as well as the different characteristics of the sites suggest that a site-specific analysis is necessary to evaluate the environmental and health impact of an informal WEEE treatment facility. Nevertheless, when putting those results in the larger picture, the risky nature of those processes and practices come clear. Compared to background data (here: world average soil data by Alloway [96]) the values from the samples in literature exceed background (average) value by far. All the technologies analyzed are heavy polluting practices, where open burning is the most polluting one.
In general, to assess the health risk resulting from exposure to a contaminant requires knowledge of both the dose that a person intakes as a result of exposure and the potential health effects of the contaminant [97].
Regarding the pollutants showed in the previous tables, many studies describe their effects on human health. For instance, Zahra et al. [98] took into consideration the toxic effects of heavy metals. Cu is required in trace amounts by the human body, but an excess of it can cause damage to cellular components. In particular, copper can be bio-accumulated and high concentrations of copper in liver, kidneys, brain, and cornea, leading to Wilson’s disease [98]. Lead is a toxic heavy metal, as well. Children with high lead exposure, typically at blood levels of 80 µg/dL or more, may present encephalopathy. A further relevant aspect of lead toxicity is peripheral neuropathy, which has been observed in house painters and other people with occupational exposure to lead [98]. Cadmium is a persistent pollutant causing kidneys and bones related diseases as a decrease in glomerular filtration rate, renal proximal tubule, increased rate of osteoporosis, high rate of fractures, low bone mineralization, and pain in bones known as Itai-Itai disease [98].
The health consequences of metals exposure to e-waste in China, in particular in Guiyu town, was described by Song and Li [99]. For instance, increments in negative health outcomes associated to pregnant women exposed to heavy metals from e-waste were observed in children and neonates.
Considering the organic compounds, Quinete et al. [100] analyzed the potential health effects in humans related to polychlorinated biphenyl (PCB) metabolites in blood, highlighting that epidemiological and experimental studies reported that PCBs disturb TH homeostasis and the cerebral nervous system in humans and rodents. Further negative health effects of PCBs on animals and humans have been observed, including carcinogenicity.
A study conducted by Cogliano et al. [101] summarized the link between individual chemicals (as heavy metals and organic compounds) and specific cancer sites within the human body, taking as reference data from International Agency for Research on Cancer (IARC) monograph series. It is important to consider that, besides concentration of contaminants, to define a comprehensive conceptual model necessary to develop an accurate and complete health risk assessment, further site-specific information is needed; namely, the characteristics of the environmental matrix involved, the possible exposure, and the distance respect the point of exposure (POE). Indeed, a comprehensive model includes all four components of the risk calculation: release, transport, exposure, and consequence [97].
Typical environmental transport pathways are represented in Figure 5 in terms of discrete environmental compartments.
Figure 5.
Generic environmental pathways and compartments (from [97]).
Taking into consideration Figure 5, the contaminants released in the environment through informal WEEE activities may reach people living or working in the surrounding areas. Indeed, exposure refers to the contact of humans with contaminants. For environmental contaminants, typical exposure pathways are [97]: inhalation of contaminated air; ingestion of contaminated water, food, or soil; dermal contact with a contaminated medium such as water or soil.
It has to be considered that several studies showed as traces of the pollutants were present in the body of people working in or living by informal WEEE treatment areas. For instance, a study conducted in Ghana [102] analyzed the urine samples from 20 workers at the e-waste recycling site in Agbogbloshie (Accra). The study highlighted the presence of many heavy metals and metalloids in the urine. In particular, concentrations of Fe, Sb, and Pb in urine of e-waste recycling workers were significantly higher than those of reference sites without informal e-waste activities.
A further study [103], conducted in Agbogbloshie as well, analyzed the level of dibenzo-p-dioxins and dibenzofurans in blood of informal e-waste recycling workers. The measured concentrations resulted significantly higher than those found in a control group of people of Accra living without direct exposure to e-waste dumps/recycling sites activities.
A study conducted in China [104] revealed high serum levels of polybrominated diphenyl ethers in the blood of a study population of 23 workers who manually dismantled and ‘recycled’ e-waste such as personal computers and mobile phones on a daily basis. The median value was 382 ng/g lipid weight, significantly higher than the median value (158 ng/g) measured in 26 farmers in a village located 50 km away from the recycling site.
Two studies [105,106], both conducted in Guiyu (China), where improper dismantling and combustion of e-waste are common, found elevated levels of lead in the blood of children (2–7 years of age). The level was significantly higher than in Haojiang, a reference site which lacks e-waste pollution. Similar results were obtained in a further study [53] concerning Pb and Cd.
Furthermore, a recent study [107] conducted in China compared concentration of heavy metals in human urine samples of people living in Qingyuan City, in e-waste dismantling areas, with the concentration in people from a rural reference area. The study found a geometric mean concentration significantly higher in the people from e-waste dismantling area for Cd (2.12 μg/L), Cu (22 μg/L), Pb (4.98 μg/L), and Sb (0.20 μg/L).
In India, a study [108] determined residue levels of PBDEs in serum from e-waste recycling workers significantly higher than those in serum from residents living near the coastal area; concentrations of PCB and OH-PCB congeners in serum were higher as well, but not significantly.
The abovementioned studies demonstrate that contaminants released in the environment by informal WEEE treatment facilities may reach people living or working in the surrounding areas. In predictive studies, transport of pollutants in the environment and their attenuation during the pathways (e.g., for degradation, dispersion, diffusion) can be evaluated by different models [97,109,110]. In this way, the concentrations of contaminants at the point of exposure and, consequently, the health risk for humans can be foreseen. This approach, for instance, was used by Vaccari et al. [110] to assess potential health risks given by groundwater contamination of leachate originated in dumpsites in developing countries.
A health risk assessment of the workers (both adults and children) exposed to heavy metals and metalloids in e-waste recycling sites in India was performed by Singh et al. [27]. A toxic risk (>1) for children was estimated due to exposure to As, Cu, Cr, and Pb; whereas a carcinogenic risk >10−5 was determined for adults due to exposure to As, Cd, Cr, Ni, and Pb.
Recently, Yu et al. [12] evaluated the health risk given by a former e-waste recycling area in China. For children, the non-carcinogenic risk was higher than 1 for Cd, Cu, and Pb, while the carcinogenic risk (value >10−5) was found for Pb. For adults, the non-carcinogenic risk was higher than 1 for Cd and Pb, while the carcinogenic risk was determined for Pb.
5. Conclusions
In the last few decades, the rapid technological evolution led to a growing production of WEEE. Not rarely it has been exported from industrialized to developing regions [15], where the informal sector is mainly based [14,22]. The related WEEE treatment activities are usually carried out under poorly controlled conditions resulting in severe environmental pollution [20]. Through this paper, data were collected in the areas in which WEEE informal activities are conducted, in terms both of inorganic and organic compounds in the environment; in particular in air, dust, soil, water, and sediment. In order to evaluate the differences in impacts between the treatment technologies applied, each dataset was assigned to one of the categories, using the information given in the papers. The categories were: mechanical treatment, open burning, leaching processes, mixed (where more than one technology was applied), and not available (where not enough information was available to assign the data to one of the categories). The data originate from seven countries, with a majority for China and India. Most data were available for heavy metals and metalloids in soils. The results of this review show that open burning practices are the most polluting ‘technology’, followed by mechanical treatment and leaching.
Using the enrichment factor for soil and air samples, the comparative analysis shows that all elements considered are in a higher range than the corresponding values of world common trace metals. Finally, it was highlighted how the spread of pollutants in informal WEEE treatment facilities affects human health through transportation phenomena and exposure pathways. Indeed, several studies have highlighted high levels of both organic and inorganic contaminants in the bodies of people working in or living by those areas. Since the presence of those contaminants in humans may cause several toxic and carcinogenic diseases, urgent measures should be adopted to improve WEEE treatment in developing countries and reduce its environmental and health impacts.
Supplementary Materials
The following are available online at https://www.mdpi.com/1660-4601/16/9/1595/s1: Bibliography of the studies initially analyzed to compile Table 1.
Author Contributions
Conceptualization, M.V.; Methodology, M.V., G.V., S.S., and M.I.D.; Software, G.V., S.S., and M.I.D.; Validation, M.V., G.V., S.S., and M.I.D.; Writing—original draft preparation, M.V., G.V., A.C., V.B., S.S., M.I.D., and A.J.; Supervision, M.V. and S.S.
Funding
This research received no external funding.
Acknowledgments
This work was performed in the framework of the COST Action ES 1407 ReCreew—European network for innovative recovery strategies of rare earth and other critical metals from electrical and electronic waste, supported by COST (European Cooperation in Science and Technology).
Conflicts of Interest
The authors declare no conflict of interest.
References
- Cucchiella, F.; D’Adamo, I.; Lenny Koh, S.C.; Rosa, P. Recycling of WEEEs: An economic assessment of present and future e-waste streams. Renew. Sustain. Energy Rev. 2015, 51, 263–272. [Google Scholar] [CrossRef]
- Baldé, C.; Forti, V.; Gray, V.; Kuehr, R.; Stegmann, P. The Global E-waste Monitor 2017; United Nations University (UNU): Bonn, Germany; International Telecommunication Union (ITU): Geneva, Switzerland; International Solid Waste Association (ISWA): Vienna, Austria, 2017; Available online: http://collections.unu.edu/eserv/UNU:6341/Global-E-waste_Monitor_2017__electronic_single_pages_.pdf (accessed on 10 January 2019).
- Khaliq, A.; Rhamdhani, M.; Brooks, G.; Masood, S. Metal Extraction Processes for Electronic Waste and Existing Industrial Routes: A Review and Australian Perspective. Resources 2014, 3, 152–179. [Google Scholar] [CrossRef]
- Zhang, L.; Xu, Z. A review of current progress of recycling technologies for metals from waste electrical and electronic equipment. J. Clean. Prod. 2016, 127, 19–36. [Google Scholar] [CrossRef]
- Marra, A.; Cesaro, A.; Belgiorno, V. Separation efficiency of valuable and critical metals in WEEE mechanical treatments. J. Clean. Prod. 2018, 186, 490–498. [Google Scholar] [CrossRef]
- Cesaro, A.; Marra, A.; Belgiorno, V.; Guida, M. Effectiveness of WEEE mechanical treatment: Separation yields and recovered material toxicity. J. Clean. Prod. 2017, 142, 2656–2662. [Google Scholar] [CrossRef]
- Tsydenova, O.; Bengtsson, M. Chemical hazards associated with treatment of waste electrical and electronic equipment. Waste Manag. 2011, 31, 45–58. [Google Scholar] [CrossRef] [PubMed]
- Tue, N.M.; Goto, A.; Takahashi, S.; Itai, T.; Asante, K.A.; Kunisue, T.; Tanabe, S. Release of chlorinated, brominated and mixed halogenated dioxin-related compounds to soils from open burning of e-waste in Agbogbloshie (Accra, Ghana). J. Hazard. Mater. 2016, 302, 151–157. [Google Scholar] [CrossRef]
- Adeola, F.O. WEEE generation and the consequences of its improper disposal. In Waste Electrical and Electronic Equipment Recycling; Vegliò, F., Birloaga, I., Eds.; Woodhead Publishing: Cambridge, UK, 2018; pp. 13–31. [Google Scholar]
- Perkins, D.N.; Brune Drisse, M.N.; Nxele, T.; Sly, P.D. E-waste: A global hazard. Ann. Glob. Heal. 2014, 80, 286–295. [Google Scholar] [CrossRef]
- Tang, X.; Shen, C.; Shi, D.; Cheema, S.A.; Khan, M.I.; Zhang, C.; Chen, Y. Heavy metal and persistent organic compound contamination in soil from Wenling: An emerging e-waste recycling city in Taizhou area, China. J. Hazard. Mater. 2010, 173, 653–660. [Google Scholar] [CrossRef]
- Yu, Y.; Zhu, X.; Li, L.; Lin, B.; Xiang, M.; Zhang, X.; Chen, X.; Yu, Z.; Wang, Z.; Wan, Y. Health implication of heavy metals exposure via multiple pathways for residents living near a former e-waste recycling area in China: A comparative study. Ecotoxicol. Environ. Saf. 2019, 169, 178–184. [Google Scholar] [CrossRef] [PubMed]
- Zeng, X.; Xu, X.; Boezen, H.M.; Huo, X. Children with health impairments by heavy metals in an e-waste recycling area. Chemosphere 2016, 148, 408–415. [Google Scholar] [CrossRef] [PubMed]
- Schluep, M.; Hagelueken, C.; Kuehr, R.; Magalini, F.; Maurer, C.; Meskers, C.; Mueller, E.; Wang, F. Recycling from E-Waste to Resources; United Nations Environment Programme; United Nations University: Berlin, Germany, 2009; Available online: http://www.unep.fr/shared/publications/pdf/DTIx1192xPA-Recycling%20from%20ewaste%20to%20Resources.pdf (accessed on 10 January 2019).
- Breivik, K.; Armitage, J.M.; Wania, F.; Jones, K.C. Tracking the global generation and exports of e-waste. Do existing estimates add up? Environ. Sci. Technol. 2014, 48, 8735–8743. [Google Scholar] [CrossRef]
- Diaz-Barriga, F. Evidence-based intervention programs to reduce children’s exposure to chemicals in e-waste sites. In Discussion Paper for WHO Working Meeting on E-Waste and Children’s Health; WHO: Geneva, Switzerland, 11–12 June 2013; pp. 1–90. [Google Scholar]
- Li, J.; Lopez, N.B.N.; Liu, L.; Zhao, N.; Yu, K.; Zheng, L. Regional or global WEEE recycling. Where to go? Waste Manag. 2013, 33, 923–934. [Google Scholar] [CrossRef] [PubMed]
- Salhofer, S.; Steuer, B.; Ramusch, R.; Beigl, P. WEEE management in Europe and China—A comparison. Waste Manag. 2016, 57, 27–35. [Google Scholar] [CrossRef] [PubMed]
- Chan, J.K.Y.; Wong, M.H. A review of environmental fate, body burdens, and human health risk assessment of PCDD/Fs at two typical electronic waste recycling sites in China. Sci. Total Environ. 2013, 463–464, 1111–1123. [Google Scholar] [CrossRef] [PubMed]
- Ilankoon, I.M.S.K.; Ghorbani, Y.; Chong, M.N.; Herath, G.; Moyo, T.; Petersen, J. E-waste in the international context—A review of trade flows, regulations, hazards, waste management strategies and technologies for value recovery. Waste Manag. 2018, 82, 258–275. [Google Scholar] [CrossRef]
- Tzoraki, O.; Lasithiotakis, M. Environmental risks associated with waste electrical and electronic equipment recycling plants. In Reference Module in Earth Systems and Environmental Sciences; Elsevier Inc.: Amsterdam, The Netherlands, 2018. [Google Scholar]
- International Labour Organization (ILO). Women and Men in the Informal Economy: A Statistical Picture, 3rd ed.; ILO: Geneva, Switzerland, 2018. [Google Scholar]
- Ongondo, F.O.; Williams, I.D.; Cherrett, T.J. How are WEEE doing? A global review of the management of electrical and electronic wastes. Waste Manag. 2011, 31, 714–730. [Google Scholar] [CrossRef]
- Annamalay, J. Occupational health hazards related to informal recycling of E-waste in India: An overview. Indian J. Occup. Environ. Med. 2015, 19, 61–65. [Google Scholar] [CrossRef]
- Raghupathy, L.; Krüger, C.; Chaturvedi, A.; Arora, R.; Henzler, M. E-Waste Recycling In India—Bridging The Gap Between The Informal And Formal Sector. Available online: https://www.iswa.org/fileadmin/galleries/General Assembly and WC 2010 11 Hamburg/Presentations/Krueger.pdf (accessed on 3 April 2019).
- Awasthi, A.K.; Zeng, X.; Li, J. Environmental pollution of electronic waste recycling in India: A critical review. Environ. Pollut. 2016, 211, 259–270. [Google Scholar] [CrossRef]
- Singh, M.; Thind, P.S.; John, S. Health risk assessment of the workers exposed to the heavy metals in e-waste recycling sites of Chandigarh and Ludhiana, Punjab, India. Chemosphere 2018, 203, 426–433. [Google Scholar] [CrossRef]
- Awasthi, A.K.; Wang, M.; Awasthi, M.K.; Wang, Z.; Li, J. Environmental pollution and human body burden from improper recycling of e-waste in China: A short-review. Environ. Pollut. 2018, 243, 1310–1316. [Google Scholar] [CrossRef] [PubMed]
- Suzuki, G.; Someya, M.; Matsukami, H.; Tue, N.M.; Uchida, N.; Tuyen, L.H.; Viet, P.H.; Takahashi, S.; Tanabe, S.; Brouwer, A.; et al. Comprehensive evaluation of dioxins and dioxin-like compounds in surface soils and river sediments from e-waste-processing sites in a village in northern Vietnam: Heading towards the environmentally sound management of e-waste. Emerg. Contam. 2016, 2, 98–108. [Google Scholar] [CrossRef]
- Prudêncio, M.I.; Gonzalez, M.I.; Dias, M.I.; Galan, E.; Ruiz, F. Geochemistry of sediments from El Melah lagoon ( NE Tunisia ): A contribution for the evaluation of anthropogenic inputs. J. Arid Environ. 2007, 69, 285–298. [Google Scholar] [CrossRef]
- Song, Q.; Li, J. Environmental effects of heavy metals derived from the e-waste recycling activities in China: A systematic review. Waste Manag. 2014, 34, 2587–2594. [Google Scholar] [CrossRef] [PubMed]
- Bi, X.; Simoneit, B.R.T.; Wang, Z.; Wang, X.; Sheng, G.; Fu, J. The major components of particles emitted during recycling of waste printed circuit boards in a typical e-waste workshop of South China. Atmos. Environ. 2010, 44, 4440–4445. [Google Scholar] [CrossRef]
- Bi, X.; Li, Z.; Zhuang, X.; Han, Z.; Yang, W. High levels of antimony in dust from e-waste recycling in southeastern China. Sci. Total Environ. 2011, 409, 5126–5128. [Google Scholar] [CrossRef]
- Zhu, Z.; Han, Z.; Bi, X.; Yang, W. The relationship between magnetic parameters and heavy metal contents of indoor dust in e-waste recycling impacted area, Southeast China. Sci. Total Environ. 2012, 433, 302–308. [Google Scholar] [CrossRef]
- Leung, A.; Cai, Z.W.; Wong, M.H. Environmental contamination from electronic waste recycling at Guiyu, southeast China. J. Mater. Cycles Waste Manag. 2006, 8, 21–33. [Google Scholar] [CrossRef]
- Wang, J.; Liu, L.; Wang, J.; Pan, B.; Fu, X.; Zhang, G.; Zhang, L.; Lin, K. Distribution of metals and brominated flame retardants (BFRs) in sediments, soils and plants from an informal e-waste dismantling site, South China. Environ. Sci. Pollut. Res. 2015, 22, 1020–1033. [Google Scholar] [CrossRef]
- Wong, M.H.; Wu, S.C.; Deng, W.J.; Yu, X.Z.; Luo, Q.; Leung, A.O.W.; Wong, C.S.C.; Luksemburg, W.J.; Wong, A.S. Export of toxic chemicals—A review of the case of uncontrolled electronic-waste recycling. Environ. Pollut. 2007, 149, 131–140. [Google Scholar] [CrossRef]
- Deng, W.J.; Louie, P.K.K.; Liu, W.K.; Bi, X.H.; Fu, J.M.; Wong, M.H. Atmospheric levels and cytotoxicity of PAHs and heavy metals in TSP and PM2.5at an electronic waste recycling site in southeast China. Atmos. Environ. 2006, 40, 6945–6955. [Google Scholar] [CrossRef]
- Sepúlveda, A.; Schluep, M.; Renaud, F.G.; Streicher, M.; Kuehr, R.; Hagelüken, C.; Gerecke, A.C. A review of the environmental fate and effects of hazardous substances released from electrical and electronic equipments during recycling: Examples from China and India. Environ. Impact Assess. Rev. 2010, 30, 28–41. [Google Scholar] [CrossRef]
- Deng, W.J.; Zheng, J.S.; Bi, X.H.; Fu, J.M.; Wong, M.H. Distribution of PBDEs in air particles from an electronic waste recycling site compared with Guangzhou and Hong Kong, South China. Environ. Int. 2007, 33, 1063–1069. [Google Scholar] [CrossRef]
- Wen, S.; Gong, Y.; Li, J.G.; Shi, T.M.; Zhao, Y.F.; Wu, Y.N. Particle-bound PCDD/Fs in the Atmosphere of an Electronic Waste Dismantling Area in China. Biomed. Environ. Sci. 2011, 24, 102–111. [Google Scholar] [PubMed]
- Luo, C.; Liu, C.; Wang, Y.; Liu, X.; Li, F.; Zhang, G.; Li, X. Heavy metal contamination in soils and vegetables near an e-waste processing site, south China. J. Hazard. Mater. 2011, 186, 481–490. [Google Scholar] [CrossRef] [PubMed]
- Quan, S.X.; Yan, B.; Yang, F.; Li, N.; Xiao, X.M.; Fu, J.M. Spatial distribution of heavy metal contamination in soils near a primitive e-waste recycling site. Environ. Sci. Pollut. Res. 2015, 22, 1290–1298. [Google Scholar] [CrossRef]
- Oguri, T.; Suzuki, G.; Matsukami, H.; Uchida, N.; Tue, N.M.; Tuyen, L.H.; Viet, P.H.; Takahashi, S.; Tanabe, S.; Takigami, H. Exposure assessment of heavy metals in an e-waste processing area in northern Vietnam. Sci. Total Environ. 2018, 621, 1115–1123. [Google Scholar] [CrossRef]
- Li, J.; Duan, H.; Shi, P. Heavy metal contamination of surface soil in electronic waste dismantling area: Site investigation and source-apportionment analysis. Waste Manag. Res. 2011, 29, 727–738. [Google Scholar]
- Alabi, O.A.; Bakare, A.A.; Xu, X.; Li, B.; Zhang, Y.; Huo, X. Comparative evaluation of environmental contamination and DNA damage induced by electronic-waste in Nigeria and China. Sci. Total Environ. 2012, 423, 62–72. [Google Scholar] [CrossRef]
- Zhao, W.; Ding, L.; Gu, X.; Luo, J.; Liu, Y.; Guo, L.; Shi, Y.; Huang, T.; Cheng, S. Levels and ecological risk assessment of metals in soils from a typical e-waste recycling region in southeast China. Ecotoxicology 2015, 24, 1947–1960. [Google Scholar] [CrossRef]
- Nie, X.; Fan, C.; Wang, Z.; Su, T.; Liu, X.; An, T. Toxic assessment of the leachates of paddy soils and river sediments from e-waste dismantling sites to microalga, Pseudokirchneriella subcapitata. Ecotoxicol. Environ. Saf. 2015, 111, 168–176. [Google Scholar] [CrossRef] [PubMed]
- Leung, A.O.W.; Duzgoren-Aydin, N.S.; Cheung, K.C.; Wong, M.H. Heavy metals concentrations of surface dust from e-waste recycling and its human health implications in southeast China. Environ. Sci. Technol. 2008, 42, 2674–2680. [Google Scholar] [CrossRef] [PubMed]
- Wong, C.S.C.; Wu, S.C.; Duzgoren-Aydin, N.S.; Aydin, A.; Wong, M.H. Trace metal contamination of sediments in an e-waste processing village in China. Environ. Pollut. 2007, 145, 434–442. [Google Scholar] [CrossRef] [PubMed]
- Wong, C.S.C.; Duzgoren-Aydin, N.S.; Aydin, A.; Wong, M.H. Evidence of excessive releases of metals from primitive e-waste processing in Guiyu, China. Environ. Pollut. 2007, 148, 62–72. [Google Scholar] [CrossRef]
- Liu, H.; Zhou, Q.; Wang, Y.; Zhang, Q.; Cai, Z.; Jiang, G. E-waste recycling induced polybrominated diphenyl ethers, polychlorinated biphenyls, polychlorinated dibenzo-p-dioxins and dibenzo-furans pollution in the ambient environment. Environ. Int. 2008, 34, 67–72. [Google Scholar] [CrossRef]
- Zeng, X.; Xu, X.; Zheng, X.; Reponen, T.; Chen, A.; Huo, X. Heavy metals in PM2.5and in blood, and children’s respiratory symptoms and asthma from an e-waste recycling area. Environ. Pollut. 2016, 210, 346–353. [Google Scholar] [CrossRef]
- Zhang, M.; Feng, G.; Yin, W.; Xie, B.; Ren, M.; Xu, Z.; Zhang, S.; Cai, Z. Airborne PCDD/Fs in two e-waste recycling regions after stricter environmental regulations. J. Environ. Sci. (China) 2017, 62, 3–10. [Google Scholar] [CrossRef]
- Zheng, X.; Xu, F.; Chen, K.; Zeng, Y.; Luo, X.; Chen, S.; Mai, B.; Covaci, A. Flame retardants and organochlorines in indoor dust from several e-waste recycling sites in South China: Composition variations and implications for human exposure. Environ. Int. 2015, 78, 1–7. [Google Scholar] [CrossRef]
- Fu, J.; Zhou, Q.; Liu, J.; Liu, W.; Wang, T.; Zhang, Q.; Jiang, G. High levels of heavy metals in rice (Oryza sativa L.) from a typical E-waste recycling area in southeast China and its potential risk to human health. Chemosphere 2008, 71, 1269–1275. [Google Scholar] [CrossRef]
- Jun-hui, Z.; Hang, M. Eco-toxicity and metal contamination of paddy soil in an e-wastes recycling area. J. Hazard. Mater. 2009, 165, 744–750. [Google Scholar] [CrossRef]
- Tang, X.; Shen, C.; Chen, L.; Xiao, X.; Wu, J.; Khan, M.I.; Dou, C.; Chen, Y. Inorganic and organic pollution in agricultural soil from an emerging e-waste recycling town in Taizhou area, China. J. Soils Sediments 2010, 10, 895–906. [Google Scholar] [CrossRef]
- Cai, Z.; Jiang, G. Determination of polybrominated diphenyl ethers in soil from e-waste recycling site. Talanta 2006, 70, 88–90. [Google Scholar] [CrossRef] [PubMed]
- Wen, S.; Yang, F.X.; Gong, Y.; Zhang, X.L.; Hui, Y.; Li, J.G.; Liu, A.I.L.; Wu, Y.N.; Lu, W.Q.; Xu, Y. Elevated levels of urinary 8-hydroxy-2′-deoxyguanosine in male electrical and electronic equipment dismantling workers exposed to high concentrations of polychlorinated dibenzo-p-dioxins and dibenzofurans, polybrominated diphenyl ethers, and polychlorinat. Environ. Sci. Technol. 2008, 42, 4202–4207. [Google Scholar] [CrossRef] [PubMed]
- Chakraborty, P.; Prithiviraj, B.; Selvaraj, S.; Kumar, B. Polychlorinated biphenyls in settled dust from informal electronic waste recycling workshops and nearby highways in urban centers and suburban industrial roadsides of Chennai city, India: Levels, congener profiles and exposure assessment. Sci. Total Environ. 2016, 573, 1413–1421. [Google Scholar] [CrossRef] [PubMed]
- Chakraborty, P.; Selvaraj, S.; Nakamura, M.; Prithiviraj, B.; Cincinelli, A.; Bang, J.J. PCBs and PCDD/Fs in soil from informal e-waste recycling sites and open dumpsites in India: Levels, congener profiles and health risk assessment. Sci. Total Environ. 2018, 621, 930–938. [Google Scholar] [CrossRef]
- Pradhan, J.K.; Kumar, S. Informal e-waste recycling: Environmental risk assessment of heavy metal contamination in Mandoli industrial area, Delhi, India. Environ. Sci. Pollut. Res. 2014, 21, 7913–7928. [Google Scholar] [CrossRef] [PubMed]
- Ha, N.N.; Agusa, T.; Ramu, K.; Tu, N.P.C.; Murata, S.; Bulbule, K.A.; Parthasaraty, P.; Takahashi, S.; Subramanian, A.; Tanabe, S. Contamination by trace elements at e-waste recycling sites in Bangalore, India. Chemosphere 2009, 76, 9–15. [Google Scholar] [CrossRef] [PubMed]
- Uchida, N.; Matsukami, H.; Someya, M.; Tue, N.M.; Tuyen, L.H.; Viet, P.H.; Takahashi, S.; Tanabe, S.; Suzuki, G. Hazardous metals emissions from e-waste-processing sites in a village in northern Vietnam. Emerg. Contam. 2018, 4, 11–21. [Google Scholar] [CrossRef]
- Matsukami, H.; Tue, N.M.; Suzuki, G.; Someya, M.; Tuyen, L.H.; Viet, P.H.; Takahashi, S.; Tanabe, S.; Takigami, H. Flame retardant emission from e-waste recycling operation in northern Vietnam: Environmental occurrence of emerging organophosphorus esters used as alternatives for PBDEs. Sci. Total Environ. 2015, 514, 492–499. [Google Scholar] [CrossRef]
- Itai, T.; Otsuka, M.; Asante, K.A.; Muto, M.; Opoku-Ankomah, Y.; Ansa-Asare, O.D.; Tanabe, S. Variation and distribution of metals and metalloids in soil/ash mixtures from Agbogbloshie e-waste recycling site in Accra, Ghana. Sci. Total Environ. 2014, 470–471, 707–716. [Google Scholar] [CrossRef]
- Hogarh, J.N.; Seike, N.; Kobara, Y.; Carboo, D.; Fobil, J.N.; Masunaga, S. Source characterization and risk of exposure to atmospheric polychlorinated biphenyls (PCBs) in Ghana. Environ. Sci. Pollut. Res. 2018, 25, 16316–16324. [Google Scholar] [CrossRef]
- Isimekhai, K.A.; Garelick, H.; Watt, J.; Purchase, D. Heavy metals distribution and risk assessment in soil from an informal E-waste recycling site in Lagos State, Nigeria. Environ. Sci. Pollut. Res. 2017, 24, 17206–17219. [Google Scholar] [CrossRef]
- Olafisoye, O.B.; Adefioye, T.; Osibote, O.A. Heavy metals contamination of water, soil, and plants around an electronic waste dumpsite. Polish J. Environ. Stud. 2013, 22, 1431–1439. [Google Scholar]
- Fujimori, T.; Takigami, H.; Agusa, T.; Eguchi, A.; Bekki, K.; Yoshida, A.; Terazono, A.; Ballesteros, F.C. Impact of metals in surface matrices from formal and informal electronic-waste recycling around Metro Manila, the Philippines, and intra-Asian comparison. J. Hazard. Mater. 2012, 221–222, 139–146. [Google Scholar] [CrossRef] [PubMed]
- Damrongsiri, S.; Vassanadumrongdee, S.; Tanwattana, P. Heavy metal contamination characteristic of soil in WEEE (waste electrical and electronic equipment) dismantling community: A case study of Bangkok, Thailand. Environ. Sci. Pollut. Res. 2016, 23, 17026–17034. [Google Scholar] [CrossRef] [PubMed]
- Rudnick, R.L.; Gao, S. Composition of the Continental Crust, 2nd ed.; Elsevier Ltd.: Amsterdam, The Netherlands, 2014; ISBN 9780080959757. [Google Scholar]
- Rastogi, N.; Sarin, M.M. Quantitative chemical composition and characteristics of aerosols over western India: One-year record of temporal variability. Atmos. Environ. 2009, 43, 3481–3488. [Google Scholar] [CrossRef]
- Wilkinson, J. Rounding Errors in Algebraic Processes; Dover Publications: New York, NY, USA, 1994; ISBN 0486679993. [Google Scholar]
- Gong, S.L.; Barrie, L.A. Trends of heavy metal components in the Arctic aerosols and their relationship to the emissions in the Northern Hemisphere. Sci. Total Environ. 2005, 342, 175–183. [Google Scholar] [CrossRef]
- Massas, I.; Kalivas, D.; Ehaliotis, C.; Gasparatos, D. Total and available heavy metal concentrations in soils of the Thriassio plain (Greece) and assessment of soil pollution indexes. Environ. Monit. Assess. 2013, 185, 6751–6766. [Google Scholar] [CrossRef] [PubMed]
- Golubeva, N.I.; Burtseva, L.V.; Matishov, G.G.; Il’in, G.V. The results of measurements of heavy metals in atmospheric aerosols in the open areas of the Arctic Seas in 2009–2010. Dokl. Earth Sci. 2013, 453, 1090–1093. [Google Scholar] [CrossRef]
- Bogdal, C.; Scheringer, M.; Abad, E.; Abalos, M.; Van Bavel, B.; Hagberg, J.; Fiedler, H. Worldwide distribution of persistent organic pollutants in air, including results of air monitoring by passive air sampling in five continents. TrAC Trends Anal. Chem. 2013, 46, 150–161. [Google Scholar] [CrossRef]
- Wuana, R.A.; Okieimen, F.E. Heavy Metals in Contaminated Soils: A Review of Sources, Chemistry, Risks and Best Available Strategies for Remediation. ISRN Ecol. 2011, 2011, 20. [Google Scholar] [CrossRef]
- Khan, S.; Cao, Q.; Zheng, Y.M.; Huang, Y.Z.; Zhu, Y.G. Health risks of heavy metals in contaminated soils and food crops irrigated with wastewater in Beijing, China. Environ. Pollut. 2008, 152, 686–692. [Google Scholar] [CrossRef]
- Liu, W.; Zhao, J.; Ouyang, Z.; So, L. Impacts of sewage irrigation on heavy metal distribution and contamination in Beijing, China. Environ. Int. 2005, 31, 805–812. [Google Scholar] [CrossRef] [PubMed]
- Muchuweti, M.; Birkett, J.W.; Chinyanga, E.; Zvauya, R. Heavy metal content of vegetables irrigated with mixtures of wastewater and sewage sludge in Zimbabwe: Implications for human health. Agric. Ecosyst. Environ. 2006, 112, 41–48. [Google Scholar] [CrossRef]
- Sharma, R.K.; Agrawal, M.; Marshall, F. Heavy metal contamination of soil and vegetables in suburban areas of Varanasi, India. Ecotoxicol. Environ. Saf. 2007, 66, 258–266. [Google Scholar] [CrossRef]
- Tran, C.D.; Salhofer, S.P. Processes in informal end-processing of e-waste generated from personal computers in Vietnam. J. Mater. Cycles Waste Manag. 2018, 20, 1154–1178. [Google Scholar] [CrossRef]
- Wang, F.; Kuehr, R.; Ahlquist, D.; Li, J. E-waste in China: A country report; United Nations University. 2013. Available online: https://collections.unu.edu/eserv/UNU:1624/ewaste-in-china.pdf (accessed on 10 February 2019).
- Behnamfard, A.; Mehdi, M.; Veglio, F. Process development for recovery of copper and precious metals from waste printed circuit boards with emphasize on palladium and gold leaching and precipitation. Waste Manag. 2013, 33, 2354–2363. [Google Scholar] [CrossRef] [PubMed]
- Evangelopoulos, P.; Kantarelis, E.; Yang, W. Journal of Analytical and Applied Pyrolysis Investigation of the thermal decomposition of printed circuit boards ( PCBs ) via thermogravimetric analysis ( TGA ) and analytical pyrolysis (Py-GC/MS). J. Anal. Appl. Pyrolysis 2015, 115, 337–343. [Google Scholar] [CrossRef]
- Keller, M. Assessment of Gold Recovery Processes in Bangalore, India and Evaluation of an Alternative Recycling Path for Printed Wiring Boards. Master’s Thesis, Swiss Federal Institute of Technology (ETH), Zurich, Switzerland, 2006. [Google Scholar]
- Barbieri, M. The Importance of Enrichment Factor (EF) and Geoaccumulation Index (Igeo) to Evaluate the Soil Contamination. J. Geol. Geophys. 2016, 5, 237. [Google Scholar] [CrossRef]
- OSPAR Commission. Co-Ordinated Environmental Monitoring Programme—Assessment Manual for Contaminants in Sediment and Biota; OSPAR Commission: London, UK, 2008; pp. 1–39. ISBN 978-1-906840-20-4. Publication Number No. 379/2008. [Google Scholar]
- Wolrd Health Organization (WHO). Air Quality Guidelines for Europe, 2nd ed.; WHO Regional Office for Europe: Copenhagen, Denmark, 2000; Available online: http://www.euro.who.int/document/e71922.pdf (accessed on 10 February 2019).
- Hosford, M. Human Health Toxicological Assessment of Contaminants in Soil. Environment Agency, UK. 2009. Available online: https://assets.publishing.service.gov.uk/government/uploads/system/uploads/attachment_data/file/291011/scho0508bnqy-e-e.pdf (accessed on 10 February 2019).
- Jeffries, J.; Martin, I. Updated technical background to the CLEA model. Environment Agency, UK. 2009. Available online: https://assets.publishing.service.gov.uk/government/uploads/system/uploads/attachment_data/file/291014/scho0508bnqw-e-e.pdf (accessed on 10 February 2019).
- World Health Organization (WHO). Health Risks of Heavy Metals from Long-Range Transboundary Air Pollution; WHO Regional Office for Europe (WHO Regional publications): Copenhagen, Denmark, 2007; Available online: http://www.euro.who.int/__data/assets/pdf_file/0007/78649/E91044.pdf (accessed on 10 February 2019).
- Alloway, B.J. Heavy Metals in Soils, 2nd ed.; Springer Netherlands: Dordrecht, The Netherlands, 1995; ISBN 978-94-010-4586-5. [Google Scholar]
- Fjeld, R.A.; Eisenberg, N.A.; Compton, K.L. Quantitative Environmental Risk Analysis for Human Health; John Wiley & Sons: Hoboken, NJ, USA, 2007; ISBN 9780471722434. [Google Scholar]
- Zahra, N.; Kalim, I.; Mahmood, M.; Naeem, N. Perilous Effects of Heavy Metals Contamination on Human Health. J. Anal. Environ. Chem 2017, 18, 1–17. [Google Scholar] [CrossRef]
- Song, Q.; Li, J. A review on human health consequences of metals exposure to e-waste in China. Environ. Pollut. 2015, 196, 450–461. [Google Scholar] [CrossRef] [PubMed]
- Quinete, N.; Schettgen, T.; Bertram, J.; Kraus, T. Occurrence and distribution of PCB metabolites in blood and their potential health effects in humans: A review. Environ. Sci. Pollut. Res. 2014, 21, 11951–11972. [Google Scholar] [CrossRef] [PubMed]
- Cogliano, V.J.; Baan, R.; Straif, K.; Grosse, Y.; Lauby-Secretan, B.; Ghissassi, F.E.; Bouvard, V.; Benbrahim-Tallaa, L.; Guha, N.; Freeman, C.; et al. Preventable exposures associated with human cancers. J. Natl. Cancer Inst. 2011, 103, 1827–1839. [Google Scholar] [CrossRef] [PubMed]
- Asante, K.A.; Agusa, T.; Biney, C.A.; Agyekum, W.A.; Bello, M.; Otsuka, M.; Itai, T.; Takahashi, S.; Tanabe, S. Multi-trace element levels and arsenic speciation in urine of e-waste recycling workers from Agbogbloshie, Accra in Ghana. Sci. Total Environ. 2012, 424, 63–73. [Google Scholar] [CrossRef] [PubMed]
- Wittsiepe, J.; Fobil, J.N.; Till, H.; Burchard, G.D.; Wilhelm, M.; Feldt, T. Levels of polychlorinated dibenzo-p-dioxins, dibenzofurans (PCDD/Fs) and biphenyls (PCBs) in blood of informal e-waste recycling workers from Agbogbloshie, Ghana, and controls. Environ. Int. 2015, 79, 65–73. [Google Scholar] [CrossRef]
- Yuan, J.; Chen, L.; Chen, D.; Guo, H.; Bi, X.; Ju, Y.; Jiang, P.; Shi, J.; Yu, Z.; Yang, J.; et al. Elevated Serum Polybrominated Diphenyl Ethers and Thyroid-Stimulating Hormone Associated with Lymphocytic Micronuclei in Chinese Workers from an E-Waste Dismantling Site. Environ. Sci. Technol. 2008, 42, 2195–2200. [Google Scholar] [CrossRef] [PubMed]
- Dai, Y.; Huo, X.; Zhang, Y.; Yang, T.; Li, M.; Xu, X. Elevated lead levels and changes in blood morphology and erythrocyte CR1 in preschool children from an e-waste area. Sci. Total Environ. 2017, 592, 51–59. [Google Scholar] [CrossRef]
- Zhang, Y.; Huo, X.; Cao, J.; Yang, T.; Xu, L.; Xu, X. Elevated lead levels and adverse effects on natural killer cells in children from an electronic waste recycling area. Environ. Pollut. 2016, 213, 143–150. [Google Scholar] [CrossRef]
- Zhang, T.; Ruan, J.; Zhang, B.; Lu, S.; Gao, C.; Huang, L.; Bai, X.; Xie, L.; Gui, M.; Qiu, R. liang Heavy metals in human urine, foods and drinking water from an e-waste dismantling area: Identification of exposure sources and metal-induced health risk. Ecotoxicol. Environ. Saf. 2019, 169, 707–713. [Google Scholar] [CrossRef]
- Eguchi, A.; Nomiyama, K.; Devanathan, G.; Subramanian, A.; Bulbule, K.A.; Parthasarathy, P.; Takahashi, S.; Tanabe, S. Different profiles of anthropogenic and naturally produced organohalogen compounds in serum from residents living near a coastal area and e-waste recycling workers in India. Environ. Int. 2012, 47, 8–16. [Google Scholar] [CrossRef]
- Domenico, P.A. An analytical model for multidimensional transport of a decaying contaminant species. J. Hydrol. 1987, 91, 49–58. [Google Scholar] [CrossRef]
- Vaccari, M.; Vinti, G.; Tudor, T. An Analysis of the Risk Posed by Leachate from Dumpsites in Developing Countries. Environments 2018, 5, 99. [Google Scholar] [CrossRef]
© 2019 by the authors. Licensee MDPI, Basel, Switzerland. This article is an open access article distributed under the terms and conditions of the Creative Commons Attribution (CC BY) license (http://creativecommons.org/licenses/by/4.0/).