Cardiometabolic Risk Factors and Physical Activity Patterns Maximizing Fitness and Minimizing Fatness Variation in Malaysian Adolescents: A Novel Application of Reduced Rank Regression
Abstract
1. Introduction
2. Materials and Methods
2.1. Sample and Study Design
2.2. Measurements
2.2.1. Cardiorespiratory Fitness (CRF)
2.2.2. Body Mass Index (BMI)
2.2.3. Cardiometabolic Risk Factors
2.2.4. Potential Confounders
2.3. Statistical Analysis
2.3.1. PA Pattern Score
2.3.2. Sensitivity Analyses
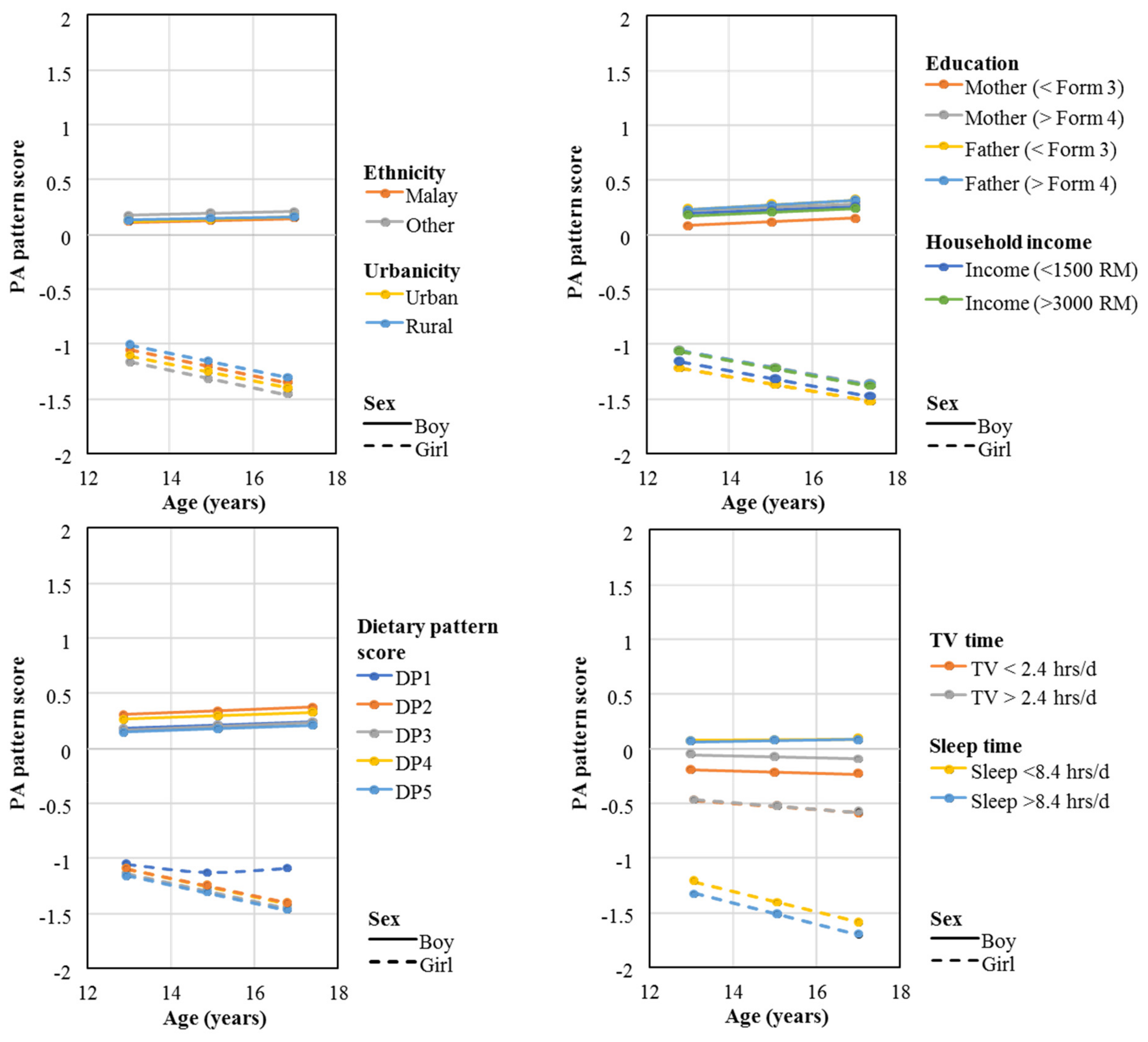
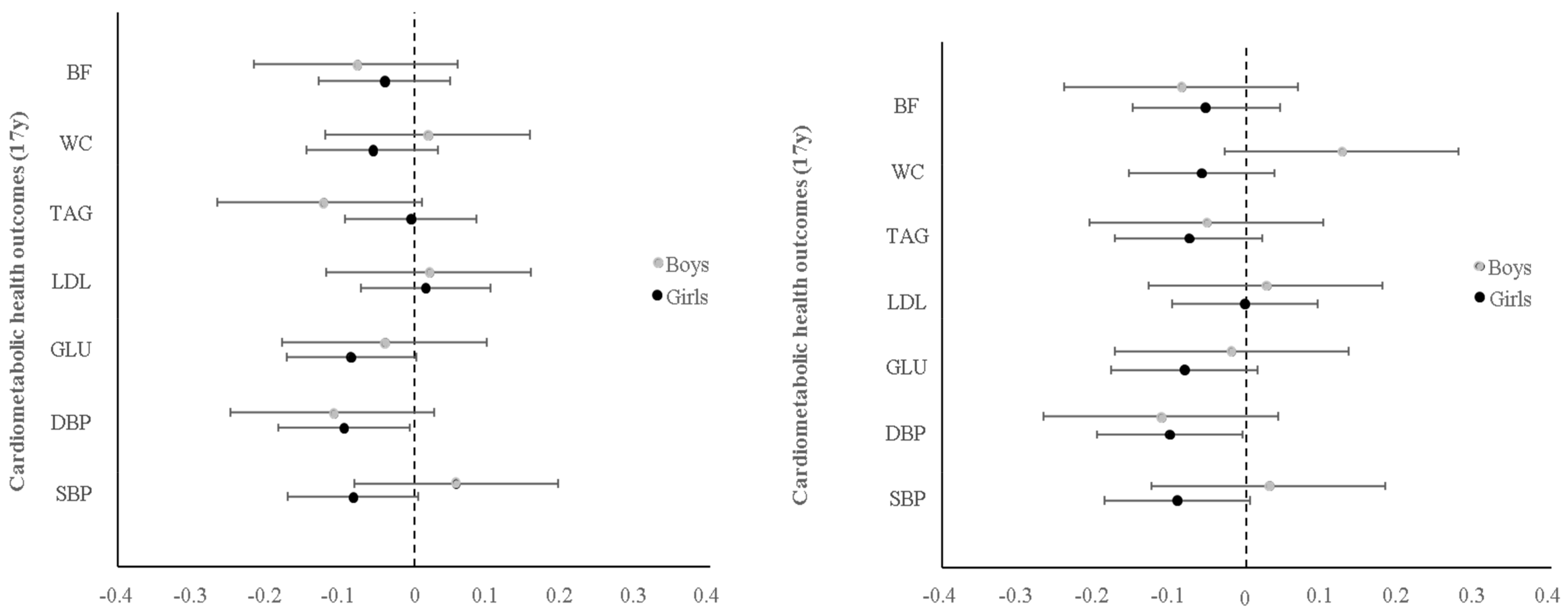
3. Results
4. Discussion
Strengths and Limitations
5. Conclusions
Supplementary Materials
Author Contributions
Funding
Acknowledgments
Conflicts of Interest
References
- Weggemans, R.M.; Backx, F.J.G.; Borghouts, L.; Chinapaw, M.; Hopman, M.T.E.; Koster, A.; Kremers, S.; Van Loon, L.J.C.; May, A.; Mosterd, A.; et al. The 2017 Dutch Physical Activity Guidelines. Int. J. Behav. Nutr. Phys. Act. 2018, 15, 58. [Google Scholar] [CrossRef] [PubMed]
- Janssen, I.; Leblanc, A.G. Systematic review of the health benefits of physical activity and fitness in school-aged children and youth. Int. J. Behav. Nutr. Phys. Act. 2010, 7, 40. [Google Scholar] [CrossRef] [PubMed]
- Jiménez-Pavón, D.; Kelly, J.; Reilly, J.J. Associations between objectively measured habitual physical activity and adiposity in children and adolescents: Systematic review. Pediatric Obes. 2010, 5, 3–18. [Google Scholar] [CrossRef] [PubMed]
- Ekelund, U.; Luan, J.; Sherar, L.B.; Esliger, D.W.; Griew, P.; Cooper, A. International Children’s Accelerometry Database (ICAD) Collaborators Moderate to vigorous physical activity and sedentary time and cardiometabolic risk factors in children and adolescents. JAMA 2012, 307, 704–712. [Google Scholar] [CrossRef]
- Kwon, S.; Janz, K.F.; Letuchy, E.M.; Burns, T.L.; Levy, S.M. Active lifestyle in childhood and adolescence prevents obesity development in young adulthood. Obesity 2015, 23, 2462–2469. [Google Scholar] [CrossRef]
- Telama, R.; Yang, X.L.; Viikari, J.; Valimaki, I.; Wanne, O.; Raitakari, O. Physical activity from childhood to adulthood—A 21-year tracking study. Am. J. Prev. Med. 2005, 28, 267–273. [Google Scholar] [CrossRef]
- McMurray, R.G.; Harrell, J.S.; Bangdiwala, S.I.; Hu, J. Tracking of Physical Activity and Aerobic Power from Childhood through Adolescence. Med. Sci. Sports Exerc. 2003, 35, 1914–1922. [Google Scholar] [CrossRef]
- Mechelen, W.V.; Twisk, J.W.R.; Kemper, H.C.G. Tracking of Physical Activity and Inactivity over a period of 20 years. Pediatric 1999, 11, 264. [Google Scholar]
- Skrede, T.; Aadland, E.; Andersen, L.B.; Stavnsbo, M.; Anderssen, S.A.; Resaland, G.K.; Ekelund, U. Does cardiorespiratory fitness moderate the prospective association between physical activity and cardiometabolic risk factors in children? Int. J. Obes. 2018, 42, 1029–1038. [Google Scholar] [CrossRef]
- Baranowski, T.; Chen, T.-A.; Mendoza, J.A.; O’Connor, T.; Baranowski, J.; Jago, R. Prospective BMI category change associated with cardiovascular fitness change. Med. Sci. Sports Exerc. 2013, 45, 294–298. [Google Scholar] [CrossRef]
- Jago, R.; Drews, K.L.; McMurray, R.G.; Baranowski, T.; Galassetti, P.; Foster, G.D.; Moe, E.; Buse, J.B. BMI change, fitness change and cardiometabolic risk factors among 8th grade youth. Pediatr. Exerc. Sci. 2013, 25, 52–68. [Google Scholar] [CrossRef] [PubMed]
- Bouchard, C.; Daw, E.W.; Rice, T.; Perusse, L.; Gagnon, J.; Province, M.A.; Leon, A.S.; Rao, D.C.; Skinner, J.S.; Wilmore, J.H. Familial resemblance for VO2max in the sedentary state: The HERITAGE family study. Med. Sci. Sports Exerc. 1998, 30, 252–258. [Google Scholar] [CrossRef] [PubMed]
- Gebel, K.; Ding, D.; Bauman, A.E. Volume and intensity of physical activity in a large population-based cohort of middle-aged and older Australians: Prospective relationships with weight gain, and physical function. Prev. Med. 2014, 60, 131–133. [Google Scholar] [CrossRef] [PubMed]
- Department of Health PA, Health Improvement and Protection. Start Active, Stay Active: A Report on Physical Activity from the Four Home Countries’ Chief Medical Officers; Health Improvement and Protection: London, UK, 2011. [Google Scholar]
- World Health Organisation. Global Recommendations on Physical Activity for Health. Available online: https://www.who.int/dietphysicalactivity/publications/physical-activity-recommendations-5-17years.pdf?ua=1 (accessed on 11 March 2019).
- Netherlands HCot. Physical Activity Guidelines 2017; Contract No. 2017/08e; Health Council of the Netherlands: Den Haag, The Netherlands, 2017. [Google Scholar]
- Pfeifer, K.; Banzer, W.; Ferrari, N.; Füzéki, E.; Geidl, W.; Graf, C.; Hartung, V.; Klamroth, S.; Völker, K.; Vogt, L.; et al. National Recommendations for Physical Activity and Physical Activity Promotion; Federal Ministry of Health: Erlangen, Germany, 2016. [Google Scholar]
- Jago, R.; Fox, K.R.; Page, A.S.; Brockman, R.; Thompson, J.L. Physical activity and sedentary behaviour typologies of 10-11 year olds. Int. J. Behav. Nutr. Phys. Act. 2010, 7, 59. [Google Scholar] [CrossRef]
- Johnson, L.; Mander, A.P.; Jones, L.R.; Emmett, P.M.; Jebb, S. Energy-dense, low-fiber, high-fat dietary pattern is associated with increased fatness in childhood. Am. J. Clin. Nutr. 2008, 87, 846–854. [Google Scholar] [CrossRef] [PubMed]
- Livingstone, K.M.; McNaughton, S.A. Dietary patterns by reduced rank regression are associated with obesity and hypertension in Australian adults. Br. J. Nutr. 2017, 117, 248–259. [Google Scholar] [CrossRef]
- Ambrosini, G.L.; Emmett, P.M.; Northstone, K.; Howe, L.D.; Tilling, K.; Jebb, S. Identification of a dietary pattern prospectively associated with increased adiposity during childhood and adolescence. Int. J. Obes. 2012, 36, 1299–1305. [Google Scholar] [CrossRef]
- Hoffmann, K.; Schulze, M.B.; Schienkiewitz, A.; Nöthlings, U.; Boeing, H. Application of a new statistical method to derive dietary patterns in nutritional epidemiology. Am. J. Epidemiol. 2004, 159, 935–944. [Google Scholar] [CrossRef]
- Hazreen, M.A.; Su, T.T.; Jalaludin, M.Y.; Dahlui, M.; Chinna, K.; Ismail, M. An exploratory study on risk factors for chronic non-communicable diseases among adolescents in Malaysia: Overview of the Malaysian Health and Adolescents Longitudinal Research Team study (The MyHeART study). BMC Public Health 2014, 14 (Suppl. 3), S6. [Google Scholar] [CrossRef]
- Kowalski, K.C.; Crocker, P.R.; Faulkner, R.A. Validation of the Physical Activity Questionnaire for Older Children. Pediatric Exerc. Sci. 1997, 9, 174–186. [Google Scholar] [CrossRef]
- Kowalski, K.C.; Crocker, P.R.E.; Donen, R.M. The Physical Activity Questionnaire for Older Children (PAQ-C) and Adolescents (PAQ-A) Manual Canada. Available online: http://www.dapa-toolkit.mrc.ac.uk/documents/en/PAQ/PAQ_manual.pdf (accessed on 15 February 2019).
- Dan, S.P.; Mohd, N.M.T.; Zalilah, M.S. Determination of factors associated with physical activity levels among adolescents attending school in Kuantan, Malaysia. Malays. J. Nutr. 2011, 17, 175–817. [Google Scholar] [PubMed]
- Keen, E.N.; Sloan, A.W. Observations on the Harvard Step Test. J. Appl. Physiol. 1958, 13, 241–243. [Google Scholar] [CrossRef] [PubMed]
- WHO. WHO Child Growth Standards: Length/Height-for-Age, Weight-for-Age, Weight-for-Length, Weight-Forheight and Body Mass Index-for-Age: Methods and Development. Switzerland: WHO Press. Available online: File:///C:/Users/zt9694/Chrome%20Local%20Downloads/924154693X_eng.pdf (accessed on 17 February 2019).
- Cole, T.J.; Lobstein, T. Extended international (IOTF) body mass index cut-offs for thinness, overweight and obesity. Pediatric Obes. 2012, 7, 284–294. [Google Scholar] [CrossRef] [PubMed]
- Mohammadi, S.; Jalaludin, M.Y.; Su, T.T.; Dahlui, M.; Mohamed, M.A.; Majid, H.A.; Mohamed, M.N.A. Determinants of Diet and Physical Activity in Malaysian Adolescents: A Systematic Review. Int. J. Environ. Res. Public Health 2019, 16, 603. [Google Scholar] [CrossRef]
- Johnson, L.; Toumpakari, Z.; Papadaki, A. Social Gradients and Physical Activity Trends in an Obesogenic Dietary Pattern: Cross-Sectional Analysis of the UK National Diet and Nutrition Survey 2008–2014. Nutrients 2018, 10, 388. [Google Scholar] [CrossRef]
- Jago, R.; Drews, K.L.; Otvos, J.D.; Foster, G.D.; Marcus, M.D.; Buse, J.B.; Mietus-Snyder, M.; Willi, S.M.; Healthy Study Group; Drews, K.L.; et al. Effect of relative weight group change on nuclear magnetic resonance spectroscopy derived lipoprotein particle size and concentrations among adolescents. J. Pediatrics 2014, 164, 1091–1098.e3. [Google Scholar] [CrossRef][Green Version]
- Jago, R.; Drews, K.L.; Otvos, J.D.; Willi, S.M.; Buse, J.B. Novel measures of inflammation and insulin resistance are related to obesity and fitness in a diverse sample of 11-14 year olds: The Healthy Study. Int. J. Obes. 2016, 40, 1157–1163. [Google Scholar] [CrossRef]
- Kahn, H.S.; El ghormli, L.; Jago, R.; Foster, G.D.; McMurray, R.G.; Buse, J.B. Cardiometabolic Risk Assessments by Body Mass Index z-Score or Waist-to-Height Ratio in a Multiethnic Sample of Sixth-Graders. J. Obes. 2014, 2014, 421658. [Google Scholar] [CrossRef]
- Shah, R.V.; Murthy, V.L.; Colangelo, L.A.; Reis, J.; Venkatesh, B.A.; Sharma, R.; Abbasi, S.A.; Goff, D.C.; Carr, J.J.; Rana, J.S.; et al. Association of Fitness in Young Adulthood With Survival and Cardiovascular Risk: The Coronary Artery Risk Development in Young Adults (CARDIA) Study. JAMA Intern. Med. 2016, 176, 87–95. [Google Scholar] [CrossRef]
- Vasconcellos, F.; Seabra, A.; Katzmarzyk, P.T.; Kraemer-Aguiar, L.G.; Bouskela, E.; Farinatti, P.J.S.M. Physical Activity in Overweight and Obese Adolescents: Systematic Review of the Effects on Physical Fitness Components and Cardiovascular Risk Factors. Sports Med. 2014, 44, 1139–1152. [Google Scholar] [CrossRef]
- Lorenzo-Seva, U.; Berge, J.M.F.T. Tucker’s Congruence Coefficient as a Meaningful Index of Factor Similarity. Methodology 2006, 2, 57–64. [Google Scholar] [CrossRef]
- Appannah, G.; Pot, G.K.; O’Sullivan, T.A.; Oddy, W.H.; Jebb, S.A.; Ambrosini, G.L. The reliability of an adolescent dietary pattern identified using reduced-rank regression: Comparison of a FFQ and 3 d food record. Br. J. Nutr. 2014, 112, 609–615. [Google Scholar] [CrossRef] [PubMed]
- Huybrechts, I.; Lioret, S.; Mouratidou, T.; Gunter, M.J.; Manios, Y.; Kersting, M.; Gottrand, F.; Kafatos, A.; De Henauw, S.; Cuenca-García, M.; et al. Using reduced rank regression methods to identify dietary patterns associated with obesity: A cross-country study among European and Australian adolescents. Br. J. Nutr. 2017, 117, 295–305. [Google Scholar] [CrossRef] [PubMed]
- Heidemann, C.; Hoffmann, K.; Spranger, J.; Klipstein-Grobusch, K.; Möhlig, M.; Pfeiffer, A.F.H.; Boeing, H. A dietary pattern protective against type 2 diabetes in the European Prospective Investigation into Cancer and Nutrition (EPIC)—Potsdam Study cohort. Diabetologia 2005, 48, 1126–1134. [Google Scholar] [CrossRef]
- Iglesia, I.; Huybrechts, I.; Mouratidou, T.; Santabárbara, J.; Fernández-Alvira, J.M.; Santaliestra-Pasías, A.M. Do dietary patterns determine levels of vitamin B6, folate, and vitamin B12 intake and corresponding biomarkers in European adolescents? The Healthy Lifestyle in Europe by Nutrition in Adolescence (HELENA) study. Nutrition 2018, 50, 8–17. [Google Scholar] [CrossRef]
- Liese, A.D.; Weis, K.E.; Schulz, M.; Tooze, J.A. Food intake patterns associated with incident type 2 diabetes: The Insulin Resistance Atherosclerosis Study. Diabetes Care 2009, 32, 263–268. [Google Scholar] [CrossRef]
- McNaughton, S.A.; Mishra, G.D.; Brunner, E.J. Dietary Patterns, Insulin Resistance, and Incidence of Type 2 Diabetes in the Whitehall II Study. Diabetes Care 2008, 31, 1343–1348. [Google Scholar] [CrossRef]
- Cooper, A.R.; Goodman, A.; Page, A.S.; Sherar, L.B.; Esliger, D.W.; van Sluijs, E.M. Objectively measured physical activity and sedentary time in youth: The International children’s accelerometry database (ICAD). Int. J. Behav. Nutr. Phys. Act. 2015, 12, 113. [Google Scholar] [CrossRef]
- Dumith, S.C.; Gigante, D.P.; Domingues, M.R.; Kohl, H.W. Physical activity change during adolescence: A systematic review and a pooled analysis. Int. J. Epidemiol. 2011, 40, 685–698. [Google Scholar] [CrossRef]
- Mitchell, J.A.; Pate, R.R.; Dowda, M.; Mattocks, C.; Riddoch, C.; Ness, A.R.; Blair, S.N. A prospective study of sedentary behavior in a large cohort of youth. Med. Sci. Sports Exerc. 2012, 44, 1081–1087. [Google Scholar] [CrossRef]
- Harding, S.K.; Page, A.S.; Falconer, C.; Cooper, A.R. Longitudinal changes in sedentary time and physical activity during adolescence. Int. J. Behav. Nutr. Phys. Act. 2015, 12, 44. [Google Scholar] [CrossRef] [PubMed]
- Slater, A.; Tiggemann, M. “Uncool to do sport”: A focus group study of adolescent girls’ reasons for withdrawing from physical activity. Psychol. Sport Exerc. 2010, 11, 619–626. [Google Scholar] [CrossRef]
- Shephard, R.J.; Vuillemin, A. Limits to the measurement of habitual physical activity by questionnaires. Br. J. Sports Med. 2003, 37, 197–206. [Google Scholar] [CrossRef] [PubMed]
- Ross, R.; Goodpaster, B.H.; Koch, L.G.; Sarzynski, M.; Kohrt, W.M.; Johannsen, N.M.; Skinner, J.S.; Castro, A.; Irving, B.; Noland, R.C.; et al. Precision exercise medicine: Understanding exercise response variability. Br. J. Sports Med. 2019, 53, 1141–1153. [Google Scholar] [CrossRef] [PubMed]
- Bell, J.A.; Hamer, M.; Richmond, R.C.; Timpson, N.J.; Carslake, D.; Smith, G.D. Associations of device-measured physical activity across adolescence with metabolic traits: Prospective cohort study. PLoS Med. 2018, 15, e1002649. [Google Scholar] [CrossRef] [PubMed]
- Helmerhorst, H.J.; Brage, S.; Warren, J.; Besson, H.; Ekelund, U. A systematic review of reliability and objective criterion-related validity of physical activity questionnaires. Int. J. Behav. Nutr. Phys. Act. 2012, 9, 103. [Google Scholar] [CrossRef] [PubMed]




| Overall Sample N = 1333 | Complete Case Sample N = 579 | ||||||
|---|---|---|---|---|---|---|---|
| % N1 | 95% CI | % N1 | 95% CI | ||||
| Socio-demographic variables | |||||||
| Gender | Male | 36 | 30 | 43 | 27 | 20 | 35 |
| Female | 64 | 57 | 70 | 73 | 65 | 80 | |
| Ethnicity | Malay | 79 | 62 | 90 | 76 | 54 | 90 |
| Chinese | 9 | 4 | 18 | 11 | 3 | 37 | |
| Indian | 10 | 3 | 25 | 9 | 2 | 27 | |
| Other | 3 | 1 | 9 | 4 | 1 | 12 | |
| Place of school residence | Urban | 69 | 45 | 86 | 59 | 32 | 81 |
| Rural | 31 | 14 | 55 | 41 | 19 | 68 | |
| Mother’s education | Form 3 and below | 34 | 23 | 46 | 39 | 31 | 49 |
| Form 4 and above | 67 | 54 | 77 | 61 | 51 | 69 | |
| Father’s education | Form 3 and below | 34 | 23 | 48 | 39 | 28 | 52 |
| Form 4 and above | 66 | 52 | 77 | 61 | 48 | 72 | |
| Mother’s employment | Homemaker | 57 | 52 | 62 | 57 | 49 | 65 |
| Full-time work | 35 | 30 | 41 | 33 | 26 | 40 | |
| Part-time work | 7 | 5 | 10 | 11 | 8 | 14 | |
| Father’s employment | Homemaker | 8 | 6 | 11 | 8 | 6 | 12 |
| Full-time work | 81 | 76 | 85 | 78 | 71 | 84 | |
| Part-time work | 11 | 9 | 14 | 13 | 9 | 19 | |
| Household income | <1500 RM | 39 | 27 | 51 | 48 | 36 | 61 |
| 1500–3000 RM | 31 | 21 | 43 | 32 | 24 | 41 | |
| >3000 RM | 31 | 16 | 51 | 20 | 14 | 28 | |
| Tanner Stage | Stage 1–3 | 30 | 24 | 37 | 32 | 26 | 39 |
| Stage 4 | 55 | 50 | 60 | 54 | 49 | 60 | |
| Stage 5 | 15 | 9 | 24 | 14 | 7 | 25 | |
| Health variables | |||||||
| Smokers | 8 | 5 | 12 | 6 | 5 | 7 | |
| Having asthma | 6 | 4 | 9 | 6 | 3 | 9 | |
| BMI | Underweight | 22 | 17 | 28 | 15 | 12 | 19 |
| Normal weight | 53 | 51 | 56 | 54 | 51 | 58 | |
| Overweight | 17 | 14 | 20 | 23 | 20 | 27 | |
| Obese | 8 | 5 | 11 | 7 | 5 | 10 | |
| CRF score | Unacceptable (<65) | 44 | 37 | 52 | 48 | 39 | 57 |
| Marginally acceptable (65–80) | 48 | 40 | 54 | 44 | 34 | 53 | |
| Acceptable (>80) | 9 | 7 | 11 | 9 | 6 | 12 | |
| Behavior variables | |||||||
| Sleep | ≤8.4 h/day | 48 | 41 | 54 | 52 | 40 | 63 |
| >8.4 h/day | 52 | 46 | 59 | 48 | 37 | 60 | |
| TV | ≤2.5 h/day | 49 | 44 | 55 | 46 | 39 | 53 |
| >2.5 h/day | 51 | 45 | 56 | 54 | 47 | 61 | |
| Computer | ≤1.6 h/day | 68 | 66 | 71 | 73 | 69 | 77 |
| >1.6 h/day | 32 | 29 | 34 | 27 | 23 | 31 | |
| Boys | |||||||||||||
|---|---|---|---|---|---|---|---|---|---|---|---|---|---|
| 13 years | 15 years | 17 years | Mean Change (Per Year)1 | P2 | |||||||||
| N | Mean | SD | N | Mean | SD | N | Mean | SD | N | Mean | SD | ||
| 433 | 71.4 | 12.9 | 422 | 72.0 | 12.1 | 346 | 103.3 | 19.0 | 325 | 7.6 | 8.0 | <0.001 | |
| BMI (kg/m2) | 507 | 20.0 | 5.5 | 442 | 20.7 | 5.3 | 348 | 21.3 | 5.2 | 361 | 0.6 | 0.9 | <0.001 |
| SBP (mmHg) | 506 | 110.8 | 11.0 | 439 | 110.2 | 13.1 | 348 | 112.0 | 12.6 | 202 | 2.2 | 13.1 | 0.33 |
| DBP (mmHg) | 506 | 69.0 | 10.5 | 439 | 67.5 | 10.9 | 348 | 68.8 | 9.3 | 202 | 0.8 | 11.4 | 0.09 |
| GLU (mmol/L) | 509 | 5.0 | 0.6 | 452 | 4.8 | 0.5 | 347 | 4.8 | 0.6 | 202 | −0.2 | 0.6 | <0.001 |
| LDL (mmol/L) | 509 | 2.7 | 0.7 | 451 | 2.6 | 0.7 | 346 | 2.5 | 0.8 | 201 | −0.2 | 0.6 | <0.001 |
| TAG (mmol/L) | 509 | 0.9 | 0.5 | 452 | 0.9 | 0.5 | 347 | 0.9 | 0.7 | 202 | 0.1 | 0.7 | 0.05 |
| WC (cm) | 507 | 70.8 | 13.3 | 442 | 72.9 | 13.1 | 348 | 69.4 | 13.9 | 203 | 0.7 | 7.6 | <0.001 |
| BF (%) | 506 | 19.0 | 14.7 | 442 | 15.7 | 11.2 | 348 | 14.3 | 9.2 | 202 | −3.4 | 10.6 | <0.001 |
| Girls | |||||||||||||
| CRF score | 674 | 61.1 | 12.5 | 713 | 55.9 | 16.5 | 679 | 73.2 | 19.1 | 620 | 3.4 | 8.3 | <0.001 |
| BMI (kg/m2) | 808 | 19.9 | 4.6 | 724 | 21.6 | 5.1 | 685 | 22.0 | 5.2 | 648 | 0.6 | 0.7 | <0.001 |
| SBP (mmHg) | 809 | 108.9 | 11.6 | 720 | 105.0 | 12.7 | 685 | 106.8 | 11.9 | 487 | −0.8 | 14.0 | <0.001 |
| DBP (mmHg) | 809 | 67.2 | 10.2 | 720 | 65.3 | 9.8 | 685 | 65.6 | 9.4 | 487 | −0.5 | 12.1 | 0.03 |
| GLU (mmol/L) | 817 | 4.8 | 0.5 | 734 | 4.8 | 0.7 | 682 | 4.8 | 0.7 | 491 | −0.1 | 0.4 | 0.02 |
| LDL (mmol/L) | 817 | 2.8 | 0.7 | 734 | 2.9 | 0.7 | 682 | 2.8 | 0.7 | 491 | 0.0 | 0.6 | <0.001 |
| TAG (mmol/L) | 817 | 0.9 | 0.4 | 734 | 0.9 | 0.4 | 682 | 0.9 | 0.5 | 491 | −0.1 | 0.4 | <0.001 |
| WC (cm) | 808 | 67.9 | 10.4 | 724 | 71.6 | 11.2 | 685 | 71.3 | 10.8 | 487 | 3.7 | 6.3 | <0.001 |
| BF (%) | 808 | 25.9 | 10.6 | 724 | 29.6 | 9.2 | 685 | 28.8 | 8.0 | 487 | 3.1 | 5.7 | <0.001 |
© 2019 by the authors. Licensee MDPI, Basel, Switzerland. This article is an open access article distributed under the terms and conditions of the Creative Commons Attribution (CC BY) license (http://creativecommons.org/licenses/by/4.0/).
Share and Cite
Toumpakari, Z.; Jago, R.; Howe, L.D.; Majid, H.A.; Papadaki, A.; Mohammadi, S.; Jalaludin, M.Y.; Dahlui, M.; Nahar Azmi Mohamed, M.; Su, T.T.; et al. Cardiometabolic Risk Factors and Physical Activity Patterns Maximizing Fitness and Minimizing Fatness Variation in Malaysian Adolescents: A Novel Application of Reduced Rank Regression. Int. J. Environ. Res. Public Health 2019, 16, 4662. https://doi.org/10.3390/ijerph16234662
Toumpakari Z, Jago R, Howe LD, Majid HA, Papadaki A, Mohammadi S, Jalaludin MY, Dahlui M, Nahar Azmi Mohamed M, Su TT, et al. Cardiometabolic Risk Factors and Physical Activity Patterns Maximizing Fitness and Minimizing Fatness Variation in Malaysian Adolescents: A Novel Application of Reduced Rank Regression. International Journal of Environmental Research and Public Health. 2019; 16(23):4662. https://doi.org/10.3390/ijerph16234662
Chicago/Turabian StyleToumpakari, Zoi, Russell Jago, Laura D. Howe, Hazreen Abdul Majid, Angeliki Papadaki, Shooka Mohammadi, Muhammad Yazid Jalaludin, Maznah Dahlui, Mohd Nahar Azmi Mohamed, Tin Tin Su, and et al. 2019. "Cardiometabolic Risk Factors and Physical Activity Patterns Maximizing Fitness and Minimizing Fatness Variation in Malaysian Adolescents: A Novel Application of Reduced Rank Regression" International Journal of Environmental Research and Public Health 16, no. 23: 4662. https://doi.org/10.3390/ijerph16234662
APA StyleToumpakari, Z., Jago, R., Howe, L. D., Majid, H. A., Papadaki, A., Mohammadi, S., Jalaludin, M. Y., Dahlui, M., Nahar Azmi Mohamed, M., Su, T. T., & Johnson, L. (2019). Cardiometabolic Risk Factors and Physical Activity Patterns Maximizing Fitness and Minimizing Fatness Variation in Malaysian Adolescents: A Novel Application of Reduced Rank Regression. International Journal of Environmental Research and Public Health, 16(23), 4662. https://doi.org/10.3390/ijerph16234662

