Women Reduce the Performance Difference to Men with Increasing Age in Ultra-Marathon Running
Abstract
1. Introduction
2. Materials and Methods
2.1. Ethical Approval
2.2. Data Sampling
2.3. Statistical Analysis
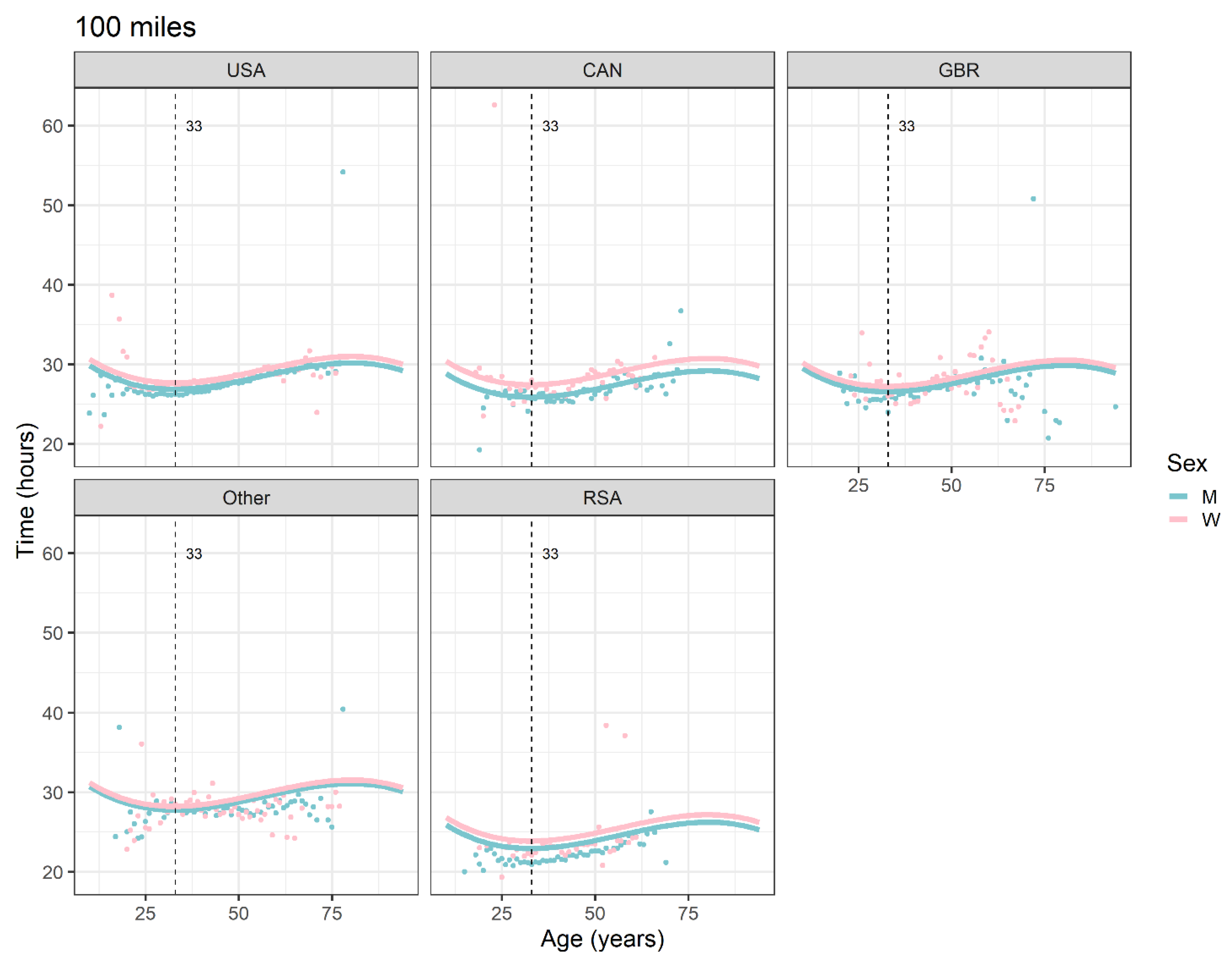
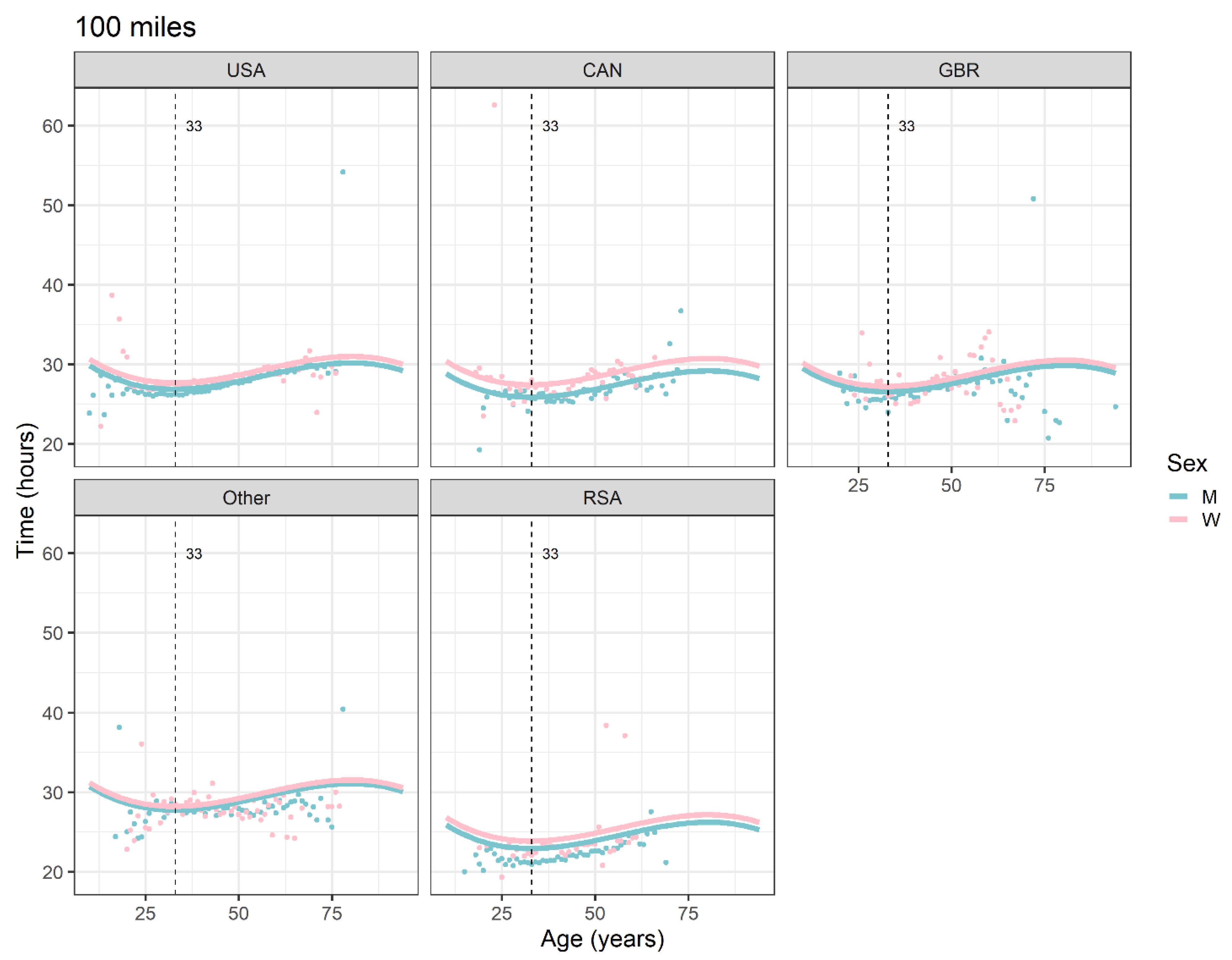
3. Results
4. Discussion
4.1. The Sex Difference in Performance Was Smaller in Older Than in Younger Athletes
4.2. Relative Sex Difference in Performance Was Smaller in 100- Than in 50-Mile Races
4.3. Sex Difference in Performance Approaches a Historical Minimum
4.4. Peak Performance Age Was 33 Years
4.5. Average Performance Worsened Over the Last Three Decades
4.6. Limitations and Strength
5. Conclusions
Author Contributions
Funding
Conflicts of Interest
References
- Ultra-Marathon, G.S.f. 1st London to Brighton Race (gbr). Available online: http://www.statistik.d-u-v.org/getresultevent.php?event=46648 (accessed on 14 May 2018).
- Jampen, S.C.; Knechtle, B.; Rüst, C.A.; Lepers, R.; Rosemann, T. Increase in finishers and improvement of performance of masters runners in the marathon des sables. Int. J. Gen. Med. 2013, 6, 427–438. [Google Scholar] [PubMed]
- Knechtle, B.; Rüst, C.A.; Rosemann, T.; Lepers, R. Age-related changes in 100 km ultra-marathon running performance. Age 2012, 34, 1033–1045. [Google Scholar] [CrossRef] [PubMed]
- Nikolaidis, P.T.; Knechtle, B. Age of peak performance in 50 km ultramarathoners—Is it older than in marathoners? Open Access J. Sports Med. 2018, 9, 37–45. [Google Scholar] [CrossRef] [PubMed]
- Zaryski, C.; Smith, D.J. Training principles and issues for ultra-endurance athletes. Curr. Sports Med. Rep. 2005, 4, 165–170. [Google Scholar] [CrossRef] [PubMed]
- Knechtle, B.; Valeri, F.; Zingg, M.A.; Rosemann, T.; Rüst, C.A. What is the age for the fastest ultra-marathon performance in time-limited races from 6 h to 10 days? Age 2014, 36, 9715. [Google Scholar] [CrossRef] [PubMed]
- Hoffman, M.D.; Ong, J.C.; Wang, G. Historical analysis of participation in 161km ultramarathons in north america. Int. J. History Sport 2010, 27, 1877–1891. [Google Scholar] [CrossRef] [PubMed]
- Cejka, N.; Rüst, C.A.; Lepers, R.; Onywera, V.; Rosemann, T.; Knechtle, B. Participation and performance trends in 100-km ultra-marathons worldwide. J. Sports Sci. 2014, 32, 354–366. [Google Scholar] [CrossRef]
- Da Fonseca-Engelhardt, K.; Knechtle, B.; Rüst, C.A.; Knechtle, P.; Lepers, R.; Rosemann, T. Participation and performance trends in ultra-endurance running races under extreme conditions—‘Spartathlon’ versus ‘badwater’. Extrem. Physiol. Med. 2013, 2, 15. [Google Scholar] [CrossRef]
- Knechtle, B.; Nikolaidis, P. Ultra-marathon running. Dan. Sportsmed. 2015, 19, 6–10. [Google Scholar]
- Nikolaidis, P.T.; Onywera, V.O.; Knechtle, B. Running performance, nationality, sex, and age in the 10-km, half-marathon marathon, and the 100-km ultramarathon IAAF 1999–2015. J. Strength Cond. Res. 2017, 31, 2189–2207. [Google Scholar] [CrossRef]
- Rüst, C.A.; Knechtle, B.; Knechtle, P.; Rosemann, T. Comparison of anthropometric and training characteristics between recreational male marathoners and 24-hour ultramarathoners. Open Access J. Sports Med. 2012, 3, 121–129. [Google Scholar] [PubMed]
- Nikolaidis, P.T.; Knechtle, B. Performance in 100-km ultra-marathoners—At which age it reaches its peak? J. Strength Cond. Res. 2018. [Google Scholar] [CrossRef] [PubMed]
- Knechtle, B.; Nikolaidis, P.T.; Zingg, M.A.; Rosemann, T.; Rüst, C.A. Differences in age of peak marathon performance between mountain and city marathon running—The ‘jungfrau marathon’ in Switzerland. Chin. J. Physiol. 2017, 60, 11–22. [Google Scholar] [CrossRef] [PubMed]
- Lara, B.; Salinero, J.J.; Del Coso, J. The relationship between age and running time in elite marathoners is u-shaped. Age 2014, 36, 1003–1008. [Google Scholar] [CrossRef] [PubMed]
- Zavorsky, G.S.; Tomko, K.A.; Smoliga, J.M. Declines in marathon performance: Sex differences in elite and recreational athletes. PLoS ONE 2017, 12, e0172121. [Google Scholar] [CrossRef] [PubMed]
- Knechtle, B. Ultramarathon runners: Nature or nurture? Int. J. Sports Physiol. Perform. 2012, 7, 310–312. [Google Scholar] [CrossRef]
- Peter, L.; Rüst, C.A.; Knechtle, B.; Rosemann, T.; Lepers, R. Sex differences in 24-hour ultra-marathon performance—A retrospective data analysis from 1977 to 2012. Clinics 2014, 69, 38–46. [Google Scholar] [CrossRef]
- Bam, J.; Noakes, T.D.; Juritz, J.; Dennis, S.C. Could women outrun men in ultramarathon races? Med. Sci. Sports Exerc. 1997, 29, 244–247. [Google Scholar] [CrossRef]
- Coast, J.R.; Blevins, J.S.; Wilson, B.A. Do gender differences in running performance disappear with distance? Can. J. Appl. Physiol. 2004, 29, 139–145. [Google Scholar] [CrossRef]
- Hoffman, M.D. Ultramarathon trail running comparison of performance-matched men and women. Med. Sci. Sports Exerc. 2008, 40, 1681–1686. [Google Scholar] [CrossRef]
- Lepers, R.; Sultana, F.; Bernard, T.; Hausswirth, C.; Brisswalter, J. Age-related changes in triathlon performances. Int. J. Sports Med. 2010, 31, 251–256. [Google Scholar] [CrossRef] [PubMed]
- Rüst, C.A.; Knechtle, B.; Rosemann, T.; Lepers, R. Analysis of performance and age of the fastest 100-mile ultra-marathoners worldwide. Clinics 2013, 68, 605–611. [Google Scholar] [CrossRef]
- Käch, I.W.; Rüst, C.A.; Nikolaidis, P.T.; Rosemann, T.; Knechtle, B. The age-related performance decline in ironman triathlon starts earlier in swimming than in cycling and running. J. Strength Cond. Res. 2018, 32, 379–395. [Google Scholar] [CrossRef] [PubMed]
- Knechtle, B.; Nikolaidis, P.T.; König, S.; Rosemann, T.; Rüst, C.A. Performance trends in master freestyle swimmers aged 25–89 years at the fina world championships from 1986 to 2014. Age 2016, 38, 1–8. [Google Scholar] [CrossRef] [PubMed]
- Knechtle, B.; Nikolaidis, P.T.; Rosemann, T.; Rüst, C.A. Performance trends in 3000 m open-water age group swimmers from 25 to 89 years competing in the fina world championships from 1992 to 2014. Res. Sports Med. 2017, 25, 67–77. [Google Scholar] [CrossRef] [PubMed]
- Senefeld, J.; Joyner, M.J.; Stevens, A.; Hunter, S.K. Sex differences in elite swimming with advanced age are less than marathon running. Scand. J. Med. Sci. Sports 2016, 26, 17–28. [Google Scholar] [CrossRef]
- Knechtle, B.; Nikolaidis, P.T.; Rosemann, T.; Rust, C.A. Performance trends in age group breaststroke swimmers in the fina world championships 1986–2014. Chin. J. Physiol. 2016, 59, 247–259. [Google Scholar] [CrossRef]
- Unterweger, C.M.; Knechtle, B.; Nikolaidis, P.T.; Rosemann, T.; Rüst, C.A. Increased participation and improved performance in age group backstroke master swimmers from 25–29 to 100–104 years at the fina world masters championships from 1986 to 2014. SpringerPlus 2016, 5, 645. [Google Scholar] [CrossRef]
- Knechtle, B.; Nikolaidis, P.T.; Rosemann, T.; Rüst, C.A. Performance trends in master butterfly swimmers competing in the fina world championships. J. Hum. Kinet. 2017, 57, 199–211. [Google Scholar] [CrossRef]
- Nikolaidis, P.T.; Knechtle, B. Performance trends in individual medley events during fina world master championships from 1986 to 2014. J. Sports Med. Phys. Fitness 2018, 58, 690–698. [Google Scholar]
- Knechtle, B.; Valeri, F.; Nikolaidis, P.T.; Zingg, M.A.; Rosemann, T.; Rüst, C.A. Do women reduce the gap to men in ultra-marathon running? SpringerPlus 2016, 5, 672. [Google Scholar] [CrossRef]
- Sousa, C.V.; da Silva Aguiar, S.; Rosemann, T.; Nikolaidis, P.T.; Knechtle, B. American masters road running records—The performance gap between female and male age group runners from 5 km to 6 days running. Int. J. Environ. Res. Public Health 2019, 16, 2310. [Google Scholar] [CrossRef] [PubMed]
- Ultra-Marathon, G.S.f. Available online: https://statistik.d-u-v.org/ (accessed on 21 May 2018).
- R Development Core Team (2008). A language and environment for statistical computing. R Foundation for Statistical Computing V, Austria. Available online: http://www.R-project.org (accessed on 29 April 2019).
- Francis, A. 85-Year-Old Sets New World Records in 24-Hour Race. Available online: https://runningmagazine.ca/sections/runs-races/85-year-old-sets-new-world-records-in-24-hour-race/ (accessed on 19 April 2019).
- Harman, S.M.; Metter, E.J.; Tobin, J.D.; Pearson, J.; Blackman, M.R. Longitudinal effects of aging on serum total and free testosterone levels in healthy men. J. Clin. Endocrinol. Metab. 2001, 86, 724–731. [Google Scholar] [CrossRef] [PubMed]
- Goodpaster, B.H.; Park, S.W.; Harris, T.B.; Kritchevsky, S.B.; Nevitt, M.; Schwartz, A.V.; Simonsick, E.M.; Tylavsky, F.A.; Visser, M.; Newman, A.B. The loss of skeletal muscle strength, mass, and quality in older adults: The health, aging and body composition study. J. Gerontol. A Biol. Sci. Med. Sci. 2006, 61, 1059–1064. [Google Scholar] [CrossRef] [PubMed]
- Dhillon, R.J.S.; Hasni, S. Pathogenesis and management of sarcopenia. Clin. Geriatr. Med. 2017, 33, 17–26. [Google Scholar] [CrossRef] [PubMed]
- Knechtle, B.; Rüst, C.A.; Knechtle, P.; Rosemann, T. Does muscle mass affect running times in male long-distance master runners? Asian J. Sports Med. 2012, 3, 247–256. [Google Scholar] [CrossRef]
- Brown, J.C.; Harhay, M.O.; Harhay, M.N. Sarcopenia and mortality among a population-based sample of community-dwelling older adults. J. Cachexia Sarcopenia Muscle 2016, 7, 290–298. [Google Scholar] [CrossRef]
- Cardiology A.C.O. Higher Fitness Level Can Determine Longer Lifespan After Age 70: For Older People, Fitness May be More Informative Than Traditional Cardiovascular Risk Factors. Available online: www.sciencedaily.com/releases/2019/03/190306081829.htm (accessed on 19 April 2019).
- Mandsager, K.; Harb, S.; Cremer, P.; Phelan, D.; Nissen, S.E.; Jaber, W. Association of cardiorespiratory fitness with long-term mortality among adults undergoing exercise treadmill testing. JAMA Netw. Open 2018, 1, e183605. [Google Scholar] [CrossRef]
- Hubble, C.; Zhao, J. Gender differences in marathon pacing and performance prediction. J. Sports Anal. 2016, 2, 19–36. [Google Scholar] [CrossRef]
- Hoffman, M.D.; Wegelin, J.A. The western states 100-mile endurance run: Participation and performance trends. Med. Sci. Sports Exerc. 2009, 41, 2191–2198. [Google Scholar] [CrossRef]
- Haberman, A. Escape and pursuit: Contrasting visions of the 1970s long-distance running boom in american popular culture. Sport Hist. Rev. 2017, 48, 1–17. [Google Scholar] [CrossRef]
- Elrick, H. Exercise is medicine. Phys. Sportsmed. 1996, 24, 72–76. [Google Scholar] [CrossRef] [PubMed]
- Crump, C.; Sundquist, K.; Sundquist, J.; Winkleby, M.A. Exercise is medicine: Primary care counseling on aerobic fitness and muscle strengthening. J. Am. Board Fam. Med. 2019, 32, 103–107. [Google Scholar] [CrossRef] [PubMed]






| 50 miles, n = 231,980 | 100 miles, n = 107,445 | ||||||||
| Age group | Sex | n | Mean (hours) | Sd (hours) | p | n | Mean (hours) | Sd (hours) | p |
| 10–19 | Men | 1312 | 10.9778 | 2.3152 | <0.001 | 131 | 26.6158 | 5.1444 | 0.057 |
| Women | 177 | 12.0706 | 2.0483 | 12 | 30.9698 | 7.0097 | |||
| 20–29 | Men | 18,124 | 10.3022 | 2.1982 | <0.001 | 5966 | 26.0697 | 5.4017 | <0.001 |
| Women | 6409 | 11.1797 | 2.2465 | 1410 | 27.1409 | 4.9447 | |||
| 30–39 | Men | 53,553 | 10.3663 | 2.1998 | <0.001 | 26,069 | 26.1852 | 5.6369 | <0.001 |
| Women | 19,256 | 11.2043 | 2.2210 | 6778 | 27.3619 | 5.1514 | |||
| 40–49 | Men | 60,351 | 10.6421 | 2.1462 | <0.001 | 33,387 | 26.9095 | 5.5481 | <0.001 |
| Women | 20,234 | 11.5077 | 2.2047 | 8257 | 27.7625 | 5.0640 | |||
| 50–59 | Men | 33,857 | 11.1670 | 2.0841 | <0.001 | 17,867 | 27.8913 | 5.2604 | <0.001 |
| Women | 8210 | 12.1018 | 2.1911 | 3350 | 28.5333 | 5.0671 | |||
| 60–74 | Men | 9054 | 12.0289 | 2.1031 | <0.001 | 3844 | 28.9254 | 4.9203 | 0.358 |
| Women | 1230 | 12.9829 | 2.4215 | 342 | 28.6806 | 4.6994 | |||
| 75–95 | Men | 189 | 14.1952 | 3.6604 | 0.199 | 27 | 29.7292 | 6.2894 | 0.571 |
| Women | 24 | 13.4018 | 2.6675 | 5 | 29.0034 | 0.8413 | |||
| Country | Sex | n | Mean (hours) | Sd (hours) | p | n | Mean (hours) | Sd (hours) | p |
| Canada | Men | 6208 | 10.4748 | 2.2036 | <0.001 | 2924 | 26.2718 | 4.4521 | <0.001 |
| Women | 2563 | 11.3481 | 2.2938 | 1000 | 27.3393 | 4.6320 | |||
| Great Britain | Men | 11,249 | 11.6678 | 3.0373 | <0.001 | 4724 | 26.7545 | 6.1957 | 0.009 |
| Women | 2805 | 12.8717 | 3.3837 | 785 | 27.3641 | 6.0431 | |||
| United States | Men | 149,514 | 10.6281 | 2.0732 | <0.001 | 62,949 | 27.1163 | 4.9311 | <0.001 |
| Women | 48,307 | 11.4174 | 2.1129 | 15,679 | 27.8919 | 4.5937 | |||
| South Africa | Men | 3830 | 21.8187 | 3.3647 | <0.001 | ||||
| Women | 585 | 23.1866 | 3.9734 | ||||||
| Other | Men Women | 9469 1865 | 10.8642 11.4223 | 2.6745 2.7839 | <0.001 | 12,864 2105 | 27.7271 28.1111 | 7.6246 7.5810 | 0.031 |
| 50 miles Estimate (SE) | 100 miles Estimate (SE) | |
|---|---|---|
| Intercept | 12.462 *** | 23.658 *** |
| (0.152) | (1.766) | |
| Year | ||
| BS (year) 1 | −4.009 *** | 1.399 |
| (0.236) | (2.416) | |
| BS (year) 2 | −1.218 *** | 5.882 *** |
| (0.126) | (1.609) | |
| BS (year) 3 | −0.313 * | 6.651*** |
| (0.148) | (1.750) | |
| Age | ||
| BS (age) 1 | −2.427 *** | −8.204*** |
| (0.176) | (1.055) | |
| BS (age) 2 | −0.511*** | 3.674 *** |
| (0.090) | (0.652) | |
| BS (age) 3 | 4.039 *** | −0.637 |
| (0.189) | (1.523) | |
| Country (ref. United States) | ||
| Canada | −0.190 *** | −1.001*** |
| (0.040) | (0.156) | |
| Great Britain | 0.656 *** | −0.322 ** |
| (0.028) | (0.109) | |
| Other | −0.092 *** | 0.893 *** |
| (0.028) | (0.070) | |
| South Africa | −3.938 *** | |
| (0.128) | ||
| Sex (ref. Men) | ||
| Women (W) | 0.740 *** | 0.810 *** |
| (0.017) | (0.075) | |
| Country*Sex | ||
| Canada*W | 0.057 | 0.751* |
| (0.074) | (0.311) | |
| Great Britain*W | 0.562 *** | −0.133 |
| (0.061) | (0.273) | |
| Other countries*W | −0.191 ** | −0.339 |
| (0.067) | (0.180) | |
| South Africa*W | 0.129 | |
| (0.331) | ||
| Observations | 231,980 | 107,445 |
© 2019 by the authors. Licensee MDPI, Basel, Switzerland. This article is an open access article distributed under the terms and conditions of the Creative Commons Attribution (CC BY) license (http://creativecommons.org/licenses/by/4.0/).
Share and Cite
Waldvogel, K.J.; Nikolaidis, P.T.; Di Gangi, S.; Rosemann, T.; Knechtle, B. Women Reduce the Performance Difference to Men with Increasing Age in Ultra-Marathon Running. Int. J. Environ. Res. Public Health 2019, 16, 2377. https://doi.org/10.3390/ijerph16132377
Waldvogel KJ, Nikolaidis PT, Di Gangi S, Rosemann T, Knechtle B. Women Reduce the Performance Difference to Men with Increasing Age in Ultra-Marathon Running. International Journal of Environmental Research and Public Health. 2019; 16(13):2377. https://doi.org/10.3390/ijerph16132377
Chicago/Turabian StyleWaldvogel, Karin J., Pantelis T. Nikolaidis, Stefania Di Gangi, Thomas Rosemann, and Beat Knechtle. 2019. "Women Reduce the Performance Difference to Men with Increasing Age in Ultra-Marathon Running" International Journal of Environmental Research and Public Health 16, no. 13: 2377. https://doi.org/10.3390/ijerph16132377
APA StyleWaldvogel, K. J., Nikolaidis, P. T., Di Gangi, S., Rosemann, T., & Knechtle, B. (2019). Women Reduce the Performance Difference to Men with Increasing Age in Ultra-Marathon Running. International Journal of Environmental Research and Public Health, 16(13), 2377. https://doi.org/10.3390/ijerph16132377
