Validity of a Short Food Frequency Questionnaire Assessing Macronutrient and Fiber Intakes in Patients of Han Chinese Descent with Type 2 Diabetes
Abstract
1. Introduction
2. Materials and Methods
2.1. Study Design and Population
2.2. Collection of Demographic and Anthropometric Data
2.3. Assessment of Dietary Intakes Using FFQ and Three 24-HDRs
2.4. Measurement of Clinical Parameters
2.5. Measurement of Plasma Carotenoids
2.6. Statistical Analysis
3. Results
3.1. Characteristics of Type 2 Diabetes Patients
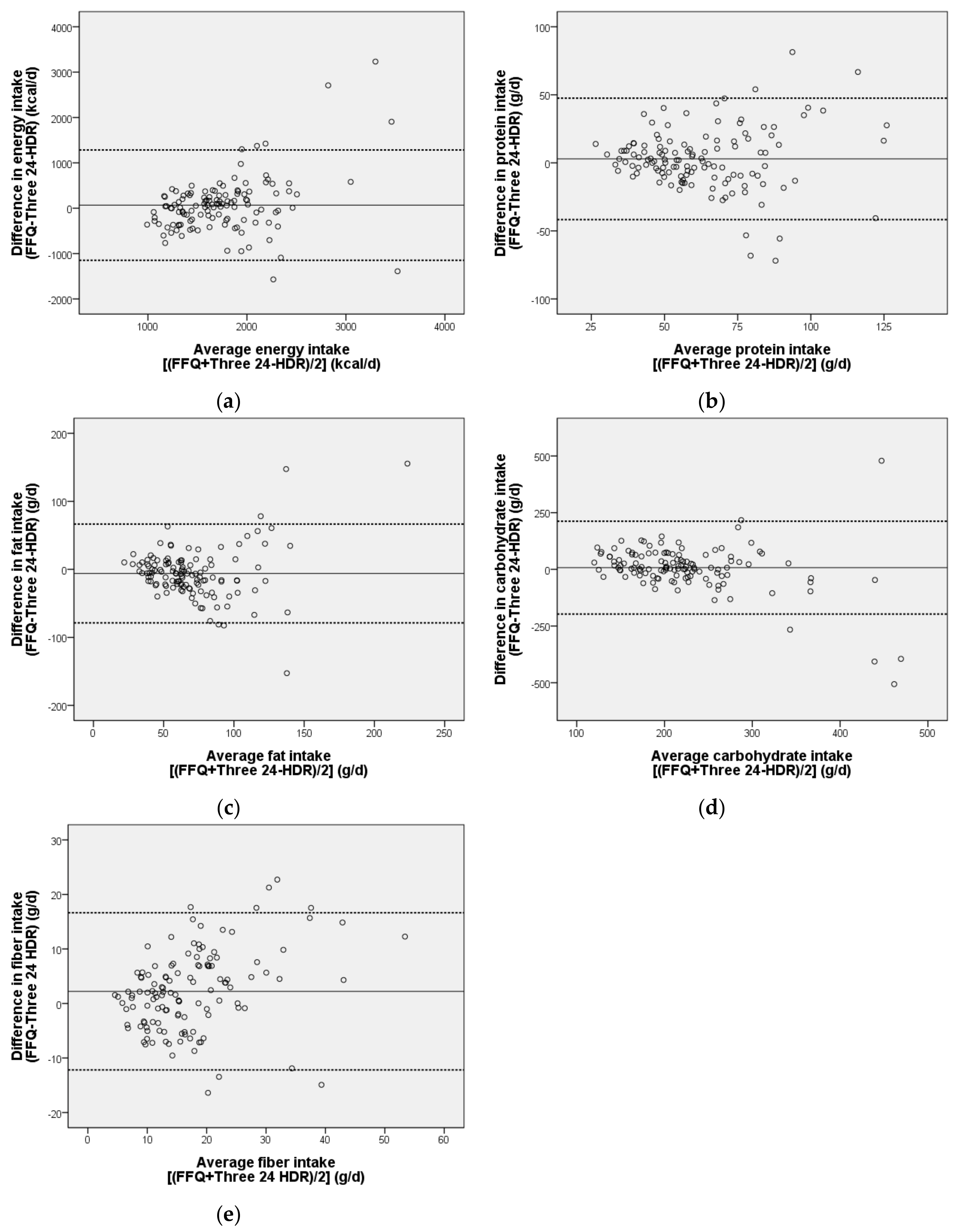
3.2. Validation of the FFQ to Assess Macronutrients
3.3. Concentrations of Plasma Carotenoids among Tertile Levels of Food Groups Intakes
3.4. Independent Association between Tertile Intake Levels of Selected Food Items and Carotenoids
4. Discussion
5. Conclusions
Supplementary Materials
Author Contributions
Acknowledgments
Conflicts of Interest
References
- Ogurtsova, K.; da Rocha Fernandes, J.D.; Huang, Y.; Linnenkamp, U.; Guariguata, L.; Cho, N.H.; Cavan, D.; Shaw, J.E.; Makaroff, L.E. IDF diabetes atlas: Global estimates for the prevalence of diabetes for 2015 and 2040. Diabetes Res. Clin. Pract. 2017, 128, 40–50. [Google Scholar] [CrossRef] [PubMed]
- Lozano, R.; Naghavi, M.; Foreman, K.; Lim, S.; Shibuya, K.; Aboyans, V.; Abraham, J.; Adair, T.; Aggarwal, R.; Ahn, S.Y.; et al. Global and regional mortality from 235 causes of death for 20 age groups in 1990 and 2010: A systematic analysis for the global burden of disease study 2010. Lancet 2012, 380, 2095–2128. [Google Scholar] [CrossRef]
- Alva, M.L.; Gray, A.; Mihaylova, B.; Leal, J.; Holman, R.R. The impact of diabetes-related complications on healthcare costs: New results from the UKPDS (UKPDS 84). Diabet. Med. 2015, 32, 459–466. [Google Scholar] [CrossRef] [PubMed]
- Lin, C.C.; Li, C.I.; Hsiao, C.Y.; Liu, C.S.; Yang, S.Y.; Lee, C.C.; Li, T.C. Time trend analysis of the prevalence and incidence of diagnosed type 2 diabetes among adults in Taiwan from 2000 to 2007: A population-based study. BMC Public Health 2013, 13, 318. [Google Scholar] [CrossRef] [PubMed]
- Cheng, J.S.; Tsai, W.C.; Lin, C.L.; Chen, L.; Lang, H.C.; Hsieh, H.M.; Shin, S.J.; Chen, T.; Huang, C.T.; Hsu, C.C. Trend and factors associated with healthcare use and costs in type 2 diabetes mellitus: A decade experience of a universal health insurance program. Med. Care 2015, 53, 116–124. [Google Scholar] [CrossRef] [PubMed]
- Evert, A.B.; Boucher, J.L.; Cypress, M.; Dunbar, S.A.; Franz, M.J.; Mayer-Davis, E.J.; Neumiller, J.J.; Nwankwo, R.; Verdi, C.L.; Urbanski, P.; et al. Nutrition therapy recommendations for the management of adults with diabetes. Diabetes Care 2014, 37 (Suppl. 1), S120–S143. [Google Scholar] [CrossRef] [PubMed]
- Willett, W. Nutritional Epidemiology, 2nd ed.; Oxford University Press: New York, NY, USA, 1998. [Google Scholar]
- Cade, J.; Thompson, R.; Burley, V.; Warm, D. Development, validation and utilisation of food-frequency questionnaires—A review. Public Health Nutr. 2002, 5, 567–587. [Google Scholar] [CrossRef] [PubMed]
- Liu, L.; Wang, P.P.; Roebothan, B.; Ryan, A.; Tucker, C.S.; Colbourne, J.; Baker, N.; Cotterchio, M.; Yi, Y.; Sun, G. Assessing the validity of a self-administered food-frequency questionnaire (FFQ) in the adult population of newfoundland and labrador, Canada. Nutr. J. 2013, 12, 49. [Google Scholar] [CrossRef] [PubMed]
- Barrat, E.; Aubineau, N.; Maillot, M.; Derbord, E.; Barthes, P.; Lescuyer, J.F.; Boisseau, N.; Peltier, S.L. Repeatability and relative validity of a quantitative food-frequency questionnaire among French adults. Food Nutr. Res. 2012, 56, 18472. [Google Scholar] [CrossRef] [PubMed][Green Version]
- Sarmento, R.A.; Antonio, J.P.; Riboldi, B.P.; Montenegro, K.R.; Friedman, R.; de Azevedo, M.J.; de Almeida, J.C. Reproducibility and validity of a quantitative FFQ designed for patients with type 2 diabetes mellitus from Southern Brazil. Public Health Nutr. 2014, 17, 2237–2245. [Google Scholar] [CrossRef] [PubMed]
- Zipkin, F.B.; Falciglia, G.A.; Kuhnell, P.; Haynes, E.N. Development and evaluation of a manganese and iron food frequency questionnaire for pediatrics. Int. J. Environ. Res. Public Health 2017, 14, 1060. [Google Scholar] [CrossRef] [PubMed]
- Burrows, T.L.; Hutchesson, M.J.; Rollo, M.E.; Boggess, M.M.; Guest, M.; Collins, C.E. Fruit and vegetable intake assessed by food frequency questionnaire and plasma carotenoids: A validation study in adults. Nutrients 2015, 7, 3240–3251. [Google Scholar] [CrossRef] [PubMed]
- Kurotani, K.; Nanri, A.; Goto, A.; Mizoue, T.; Noda, M.; Oba, S.; Kato, M.; Matsushita, Y.; Inoue, M.; Tsugane, S.; et al. Red meat consumption is associated with the risk of type 2 diabetes in men but not in women: A Japan Public Health Center-based Prospective Study. Br. J. Nutr. 2013, 110, 1910–1918. [Google Scholar] [CrossRef] [PubMed]
- Shang, X.; Scott, D.; Hodge, A.M.; English, D.R.; Giles, G.G.; Ebeling, P.R.; Sanders, K.M. Dietary protein intake and risk of type 2 diabetes: Results from the Melbourne collaborative cohort study and a meta-analysis of prospective studies. Am. J. Clin. Nutr. 2016, 104, 1352–1365. [Google Scholar] [CrossRef] [PubMed]
- Li, S.X.; Imamura, F.; Ye, Z.; Schulze, M.B.; Zheng, J.; Ardanaz, E.; Arriola, L.; Boeing, H.; Dow, C.; Fagherazzi, G.; et al. Interaction between genes and macronutrient intake on the risk of developing type 2 diabetes: Systematic review and findings from European Prospective Investigation into Cancer (EPIC)-interact. Am. J. Clin. Nutr. 2017, 106, 263–275. [Google Scholar] [CrossRef] [PubMed]
- Zhang, H.; Qiu, X.; Zhong, C.; Zhang, K.; Xiao, M.; Yi, N.; Xiong, G.; Wang, J.; Yao, J.; Hao, L.; et al. Reproducibility and relative validity of a semi-quantitative food frequency questionnaire for Chinese pregnant women. Nutr. J. 2015, 14, 56. [Google Scholar] [CrossRef] [PubMed]
- Yuan, M.Y.; He, J.R.; Chen, N.N.; Lu, J.H.; Shen, S.Y.; Xiao, W.Q.; Hu, F.; Xiao, H.Y.; Wu, Y.Y.; Xia, X.Y.; et al. Validity and reproducibility of a dietary questionnaire for consumption frequencies of foods during pregnancy in the Born In Guangzhou Cohort Study (BIGCS). Nutrients 2016, 8, 454. [Google Scholar] [CrossRef] [PubMed]
- Ye, Q.; Hong, X.; Wang, Z.; Yang, H.; Chen, X.; Zhou, H.; Wang, C.; Lai, Y.; Sun, L.; Xu, F. Reproducibility and validity of an FFQ developed for adults in Nanjing, China. Br. J. Nutr. 2016, 115, 887–894. [Google Scholar] [CrossRef] [PubMed]
- Lee, M.S.; Pan, W.H.; Liu, K.L.; Yu, M.S. Reproducibility and validity of a chinese food frequency questionnaire used in Taiwan. Asia Pac. J. Clin. Nutr. 2006, 15, 161–169. [Google Scholar] [PubMed]
- Huang, Y.C.; Lee, M.S.; Pan, W.H.; Wahlqvist, M.L. Validation of a simplified food frequency questionnaire as used in the Nutrition and Health Survey in Taiwan (NAHSIT) for the elderly. Asia Pac. J. Clin. Nutr. 2011, 20, 134–140. [Google Scholar] [PubMed]
- Chien, K.L.; Lee, M.S.; Tsai, Y.T.; Chen, P.R.; Lin, H.J.; Hsu, H.C.; Lee, Y.T.; Chen, M.F. A Taiwanese food frequency questionnaire correlates with plasma docosahexaenoic acid but not with plasma eicosapentaenoic acid levels: Questionnaires and plasma biomarkers. BMC Med. Res. Methodol. 2013, 13, 23. [Google Scholar] [CrossRef] [PubMed]
- Chiu, T.H.; Huang, H.Y.; Chen, K.J.; Wu, Y.R.; Chiu, J.P.; Li, Y.H.; Chiu, B.C.; Lin, C.L.; Lin, M.N. Relative validity and reproducibility of a quantitative FFQ for assessing nutrient intakes of vegetarians in Taiwan. Public Health Nutr. 2014, 17, 1459–1466. [Google Scholar] [CrossRef] [PubMed]
- Hsu, C.C.; Jhang, H.R.; Chang, W.T.; Lin, C.H.; Shin, S.J.; Hwang, S.J.; Huang, M.C. Associations between dietary patterns and kidney function indicators in type 2 diabetes. Clin. Nutr. 2014, 33, 98–105. [Google Scholar] [CrossRef] [PubMed]
- Yu, F.J.; Huang, M.C.; Chang, W.T.; Chung, H.F.; Wu, C.Y.; Shin, S.J.; Hsu, C.C. Increased ferritin concentrations correlate with insulin resistance in female type 2 diabetic patients. Ann. Nutr. Metab. 2012, 61, 32–40. [Google Scholar] [CrossRef] [PubMed]
- Rajendran, V.; Pu, Y.S.; Chen, B.H. An improved HPLC method for determination of carotenoids in human serum. J. Chromatogr. B Anal. Technol. Biomed. Life Sci. 2005, 824, 99–106. [Google Scholar] [CrossRef] [PubMed]
- Bach, J.R. Alternative methods of ventilatory support for the patient with ventilatory failure due to spinal cord injury. J. Am. Paraplegia Soc. 1991, 14, 158–174. [Google Scholar] [CrossRef] [PubMed]
- Willett, W.; Stampfer, M.J. Total energy intake: Implications for epidemiologic analyses. Am. J. Epidemiol 1986, 124, 17–27. [Google Scholar] [CrossRef] [PubMed]
- Bland, J.M.; Altman, D.G. Measuring agreement in method comparison studies. Stat. Methods Med. Res. 1999, 8, 135–160. [Google Scholar] [CrossRef] [PubMed]
- Bonifacj, C.; Gerber, M.; Scali, J.; Daures, J.P. Comparison of dietary assessment methods in a Southern French population: Use of weighed records, estimated-diet records and a food-frequency questionnaire. Eur. J. Clin. Nutr. 1997, 51, 217–231. [Google Scholar] [CrossRef] [PubMed]
- Jaceldo-Siegl, K.; Knutsen, S.F.; Sabate, J.; Beeson, W.L.; Chan, J.; Herring, R.P.; Butler, T.L.; Haddad, E.; Bennett, H.; Montgomery, S.; et al. Validation of nutrient intake using an FFQ and repeated 24 h recalls in black and white subjects of the Adventist Health Study-2 (AHS-2). Public Health Nutr. 2010, 13, 812–819. [Google Scholar] [CrossRef] [PubMed]
- Kroke, A.; Klipstein-Grobusch, K.; Voss, S.; Moseneder, J.; Thielecke, F.; Noack, R.; Boeing, H. Validation of a self-administered food-frequency questionnaire administered in the European Prospective Investigation into Cancer and Nutrition (EPIC) study: Comparison of energy, protein, and macronutrient intakes estimated with the doubly labeled water, urinary nitrogen, and repeated 24-h dietary recall methods. Am. J. Clin. Nutr. 1999, 70, 439–447. [Google Scholar] [PubMed]
- Xia, W.; Sun, C.; Zhang, L.; Zhang, X.; Wang, J.; Wang, H.; Wu, L. Reproducibility and relative validity of a food frequency questionnaire developed for female adolescents in Suihua, North China. PLoS ONE 2011, 6, e19656. [Google Scholar] [CrossRef] [PubMed]
- Haftenberger, M.; Heuer, T.; Heidemann, C.; Kube, F.; Krems, C.; Mensink, G.B. Relative validation of a food frequency questionnaire for national health and nutrition monitoring. Nutr. J. 2010, 9, 36. [Google Scholar] [CrossRef] [PubMed]
- Bland, J.M.; Altman, D.G. Statistical methods for assessing agreement between two methods of clinical measurement. Lancet 1986, 1, 307–310. [Google Scholar] [CrossRef]
- Goris, A.H.; Westerterp-Plantenga, M.S.; Westerterp, K.R. Undereating and underrecording of habitual food intake in obese men: Selective underreporting of fat intake. Am. J. Clin. Nutr. 2000, 71, 130–134. [Google Scholar] [CrossRef] [PubMed]
- Gemming, L.; Rush, E.; Maddison, R.; Doherty, A.; Gant, N.; Utter, J.; Ni Mhurchu, C. Wearable cameras can reduce dietary under-reporting: Doubly labelled water validation of a camera-assisted 24 h recall. Br. J. Nutr. 2015, 113, 284–291. [Google Scholar] [CrossRef] [PubMed]
- Hebert, J.R.; Clemow, L.; Pbert, L.; Ockene, I.S.; Ockene, J.K. Social desirability bias in dietary self-report may compromise the validity of dietary intake measures. Int. J. Epidemiol. 1995, 24, 389–398. [Google Scholar] [CrossRef] [PubMed]
- Goulet, J.; Nadeau, G.; Lapointe, A.; Lamarche, B.; Lemieux, S. Validity and reproducibility of an interviewer-administered food frequency questionnaire for healthy French-Canadian men and women. Nutr. J. 2004, 3, 13. [Google Scholar] [CrossRef] [PubMed]
- Jenab, M.; Slimani, N.; Bictash, M.; Ferrari, P.; Bingham, S.A. Biomarkers in nutritional epidemiology: Applications, needs and new horizons. Hum. Genet. 2009, 125, 507–525. [Google Scholar] [CrossRef] [PubMed]
- Chung, H.F.; Hsu, C.C.; Mamun, A.A.; Long, K.Z.; Huang, Y.F.; Shin, S.J.; Hwang, S.J.; Huang, M.C. Dietary patterns, dietary biomarkers, and kidney disease in patients with type 2 diabetes: A repeated-measure study in Taiwan. Asia Pac. J. Clin. Nutr. 2018, 27, 366–374. [Google Scholar] [PubMed]
- Al-Delaimy, W.K.; Ferrari, P.; Slimani, N.; Pala, V.; Johansson, I.; Nilsson, S.; Mattisson, I.; Wirfalt, E.; Galasso, R.; Palli, D.; et al. Plasma carotenoids as biomarkers of intake of fruits and vegetables: Individual-level correlations in the European Prospective Investigation into Cancer and Nutrition (EPIC). Eur. J. Clin. Nutr. 2005, 59, 1387–1396. [Google Scholar] [CrossRef] [PubMed]
- Campbell, D.R.; Gross, M.D.; Martini, M.C.; Grandits, G.A.; Slavin, J.L.; Potter, J.D. Plasma carotenoids as biomarkers of vegetable and fruit intake. Cancer Epidemiol. Biomark. Prev. 1994, 3, 493–500. [Google Scholar]
- Frankenfeld, C.L.; Lampe, J.W.; Shannon, J.; Gao, D.L.; Li, W.; Ray, R.M.; Chen, C.; King, I.B.; Thomas, D.B. Fruit and vegetable intakes in relation to plasma nutrient concentrations in women in Shanghai, China. Public Health Nutr. 2012, 15, 167–175. [Google Scholar] [CrossRef] [PubMed]
- Markussen, M.S.; Veierod, M.B.; Sakhi, A.K.; Ellingjord-Dale, M.; Blomhoff, R.; Ursin, G.; Andersen, L.F. Evaluation of dietary patterns among Norwegian postmenopausal women using plasma carotenoids as biomarkers. Br. J. Nutr. 2015, 113, 672–682. [Google Scholar] [CrossRef] [PubMed]
- Yonekura, L.; Nagao, A. Intestinal absorption of dietary carotenoids. Mol. Nutr. Food Res. 2007, 51, 107–115. [Google Scholar] [CrossRef] [PubMed]
- Chung, H.Y.; Rasmussen, H.M.; Johnson, E.J. Lutein bioavailability is higher from lutein-enriched eggs than from supplements and spinach in men. J. Nutr. 2004, 134, 1887–1893. [Google Scholar] [CrossRef] [PubMed]
- Handelman, G.J.; Nightingale, Z.D.; Lichtenstein, A.H.; Schaefer, E.J.; Blumberg, J.B. Lutein and zeaxanthin concentrations in plasma after dietary supplementation with egg yolk. Am. J. Clin. Nutr. 1999, 70, 247–251. [Google Scholar] [CrossRef] [PubMed]
- Blesso, C.N.; Andersen, C.J.; Bolling, B.W.; Fernandez, M.L. Egg intake improves carotenoid status by increasing plasma HDL cholesterol in adults with metabolic syndrome. Food Funct. 2013, 4, 213–221. [Google Scholar] [CrossRef] [PubMed]
- Missimer, A.; Fernandez, M.L.; DiMarco, D.M.; Norris, G.H.; Blesso, C.N.; Murillo, A.G.; Vergara-Jimenez, M.; Lemos, B.S.; Medina-Vera, I.; Malysheva, O.V.; et al. Compared to an oatmeal breakfast, two eggs/day increased plasma carotenoids and choline without increasing trimethyl amine n-oxide concentrations. J. Am. Coll. Nutr. 2018, 37, 140–148. [Google Scholar] [CrossRef] [PubMed]
- Fratianni, A.; Mignogna, R.; Niro, S.; Panfili, G. Determination of lutein from fruit and vegetables through an alkaline hydrolysis extraction method and HPLC analysis. J. Food Sci. 2015, 80, C2686–C2691. [Google Scholar] [CrossRef] [PubMed]

| Nutrient | FFQ 1 | Three 24-HDRs 1 | % Difference 2 | p-Value 3 | Pearson Correlation Coefficient(r) 4 | ||
|---|---|---|---|---|---|---|---|
| Crude Data 5 | Adjusted 6 | ||||||
| Energy | kcal/day | 1780.2 ± 654.0 | 1712.2 ± 466.1 | 6.2 | 0.593 | 0.501 ** | - |
| Protein | g/day | 61.3 ± 22.7 | 64.1 ± 23.6 | −0.1 | 0.065 | 0.574 ** | 0.651 ** |
| Fat | g/day | 73.3 ± 32.5 | 67.3 ± 36.9 | 19.7 | 0.025 | 0.514 ** | 0.587 ** |
| Carbohydrate | g/day | 219.0 ± 102.4 | 226.3 ± 71.2 | −0.7 | 0.020 | 0.438 ** | 0.639 ** |
| Fiber | g/day | 18.4 ± 10.4 | 16.2 ± 8.1 | 20.1 | 0.015 | 0.666 ** | 0.664 ** |
| Nutrient | Cross-Classification (%) | |||
|---|---|---|---|---|
| Same Quartile | Adjacent Quartile | One Quartile Apart | Extreme Quartile | |
| Protein (g/day) | 39.7 | 33.3 | 22.2 | 4.8 |
| Fat (g/day) | 42.1 | 29.4 | 20.6 | 7.9 |
| Carbohydrate (g/day) | 40.5 | 34.1 | 16.7 | 8.7 |
| Fiber (g/day) | 40.5 | 40.5 | 17.5 | 1.6 |
| Food Groups | α-Carotene (μg/dL) | β-Carotene (μg/dL) | Lutein (μg/mL) |
|---|---|---|---|
| Fried Food (T/W) | |||
| Tertile 1 | 9.61 ± 8.09 | 42.14 ± 29.64 | 29.50 ± 17.28 |
| Tertile 2 | 7.59 ± 5.31 | 37.48 ± 28.63 | 25.70 ± 11.29 |
| Tertile 3 | 5.72 ± 3.74 | 28.78 ± 16.25 | 27.58 ± 14.19 |
| p for trend 2 | 0.022 | 0.058 | 0.655 |
| Eggs (P/W) | |||
| Tertile 1 | 11.71 ± 9.57 | 47.37 ± 23.66 | 33.48 ± 16.27 |
| Tertile 2 | 7.36 ± 4.76 | 35.07 ± 25.01 | 24.10 ± 10.12 |
| Tertile 3 | 6.29 ± 4.86 | 32.23 ± 25.66 | 28.19 ± 15.60 |
| p for trend 2 | 0.012 | 0.100 | 0.570 |
| Marine fish (T/W) | |||
| Tertile 1 | 5.28 ± 3.64 | 28.82 ± 14.46 | 24.95 ± 13.34 |
| Tertile 2 | 7.04 ± 5.62 | 33.12 ± 26.03 | 28.73 ± 14.30 |
| Tertile 3 | 9.97 ± 7.40 | 44.30 ± 28.72 | 28.67 ± 15.84 |
| p for trend 2 | 0.010 | 0.041 | 0.428 |
| Light-colored vegetables (P/W) | |||
| Tertile 1 | 4.89 ± 2.55 | 26.54 ± 12.71 | 24.44 ± 10.59 |
| Tertile 2 | 8.16 ± 5.85 | 37.89 ± 29.80 | 29.45 ± 15.94 |
| Tertile 3 | 9.12 ± 7.30 | 41.09 ± 28.56 | 29.18 ± 16.10 |
| p for trend 2 | 0.011 | 0.036 | 0.247 |
| Dark-colored vegetables (P/W) | |||
| Tertile 1 | 4.82 ± 2.59 | 25.69 ± 12.65 | 23.42 ± 10.63 |
| Tertile 2 | 8.29 ± 5.69 | 41.46 ± 29.24 | 29.10 ± 15.94 |
| Tertile 3 | 9.12 ± 7.32 | 40.20 ± 28.56 | 30.02 ± 15.83 |
| p for trend 2 | 0.009 | 0.041 | 0.100 |
| Fresh fruits (P/W) | |||
| Tertile 1 | 5.60 ± 4.20 | 32.88 ± 20.41 | 22.16 ± 11.24 |
| Tertile 2 | 7.96 ± 6.92 | 32.29 ± 21.10 | 28.97 ± 14.38 |
| Tertile 3 | 7.89 ± 5.78 | 40.53 ± 30.68 | 28.44 ± 15.61 |
| p for trend 2 | 0.397 | 0.262 | 0.342 |
| Fermented products (T/W) | |||
| Tertile 1 | 9.12 ± 7.04 | 39.87 ± 26.84 | 29.45 ± 15.07 |
| Tertile 2 | 8.15 ± 4.99 | 31.63 ± 9.77 | 28.21 ± 23.39 |
| Tertile 3 | 6.07 ± 5.10 | 32.95 ± 26.19 | 26.05 ± 11.85 |
| p for trend 2 | 0.044 | 0.283 | 0.350 |
| Fruit juice (T/W) | |||
| Yes | 7.69 ± 6.31 | 34.26 ± 23.06 | 27.99 ± 15.07 |
| No | 6.88 ± 4.89 | 43.84 ± 35.76 | 26.06 ± 11.17 |
| p 3 | 0.690 | 0.253 | 0.687 |
| Model | Food Group | α-Carotene (μg/dL) | β-Carotene (μg/dL) | Lutein (μg/mL) | ||||||
|---|---|---|---|---|---|---|---|---|---|---|
| β | SE | p | β | SE | p | β | SE | p | ||
| Model 1 2 | Light-colored vegetables (P/W) | 1.96 | 0.78 | 0.014 | 6.71 | 3.13 | 0.035 | - | - | - |
| Model 2 2 | Dark-colored vegetables (P/W) | 2.06 | 0.77 | 0.009 | 6.82 | 3.11 | 0.032 | - | - | - |
| Model 3 2 | Dark- and light-colored vegetables (P/W) | 1.82 | 0.85 | 0.037 | 9.52 | 3.30 | 0.005 | 3.38 | 1.96 | 0.090 |
© 2018 by the authors. Licensee MDPI, Basel, Switzerland. This article is an open access article distributed under the terms and conditions of the Creative Commons Attribution (CC BY) license (http://creativecommons.org/licenses/by/4.0/).
Share and Cite
Huang, M.-C.; Lin, K.-D.; Chen, H.-J.; Wu, Y.-J.; Chang, C.-I.; Shin, S.-J.; Hung, H.-C.; Lee, C.-H.; Huang, Y.-F.; Hsu, C.-C. Validity of a Short Food Frequency Questionnaire Assessing Macronutrient and Fiber Intakes in Patients of Han Chinese Descent with Type 2 Diabetes. Int. J. Environ. Res. Public Health 2018, 15, 1142. https://doi.org/10.3390/ijerph15061142
Huang M-C, Lin K-D, Chen H-J, Wu Y-J, Chang C-I, Shin S-J, Hung H-C, Lee C-H, Huang Y-F, Hsu C-C. Validity of a Short Food Frequency Questionnaire Assessing Macronutrient and Fiber Intakes in Patients of Han Chinese Descent with Type 2 Diabetes. International Journal of Environmental Research and Public Health. 2018; 15(6):1142. https://doi.org/10.3390/ijerph15061142
Chicago/Turabian StyleHuang, Meng-Chuan, Kun-Der Lin, Hung-Jiun Chen, Yu-Ju Wu, Chiao-I Chang, Shyi-Jang Shin, Hsin-Chia Hung, Chien-Hung Lee, Ya-Fang Huang, and Chih-Cheng Hsu. 2018. "Validity of a Short Food Frequency Questionnaire Assessing Macronutrient and Fiber Intakes in Patients of Han Chinese Descent with Type 2 Diabetes" International Journal of Environmental Research and Public Health 15, no. 6: 1142. https://doi.org/10.3390/ijerph15061142
APA StyleHuang, M.-C., Lin, K.-D., Chen, H.-J., Wu, Y.-J., Chang, C.-I., Shin, S.-J., Hung, H.-C., Lee, C.-H., Huang, Y.-F., & Hsu, C.-C. (2018). Validity of a Short Food Frequency Questionnaire Assessing Macronutrient and Fiber Intakes in Patients of Han Chinese Descent with Type 2 Diabetes. International Journal of Environmental Research and Public Health, 15(6), 1142. https://doi.org/10.3390/ijerph15061142

