Characterization of a High PM2.5 Exposure Group in Seoul Using the Korea Simulation Exposure Model for PM2.5 (KoSEM-PM) Based on Time–Activity Patterns and Microenvironmental Measurements
Abstract
1. Introduction
2. Materials and Methods
2.1. Microenvironmental Concentration Measurements
2.2. Time–Activity Patterns
2.3. Kosem-PM
2.3.1. Estimation of Personal Exposure Levels of the 8072 Residents of Seoul
2.3.2. Simulation of Population Exposure to PM2.5
2.4. Statistical Analysis
3. Results
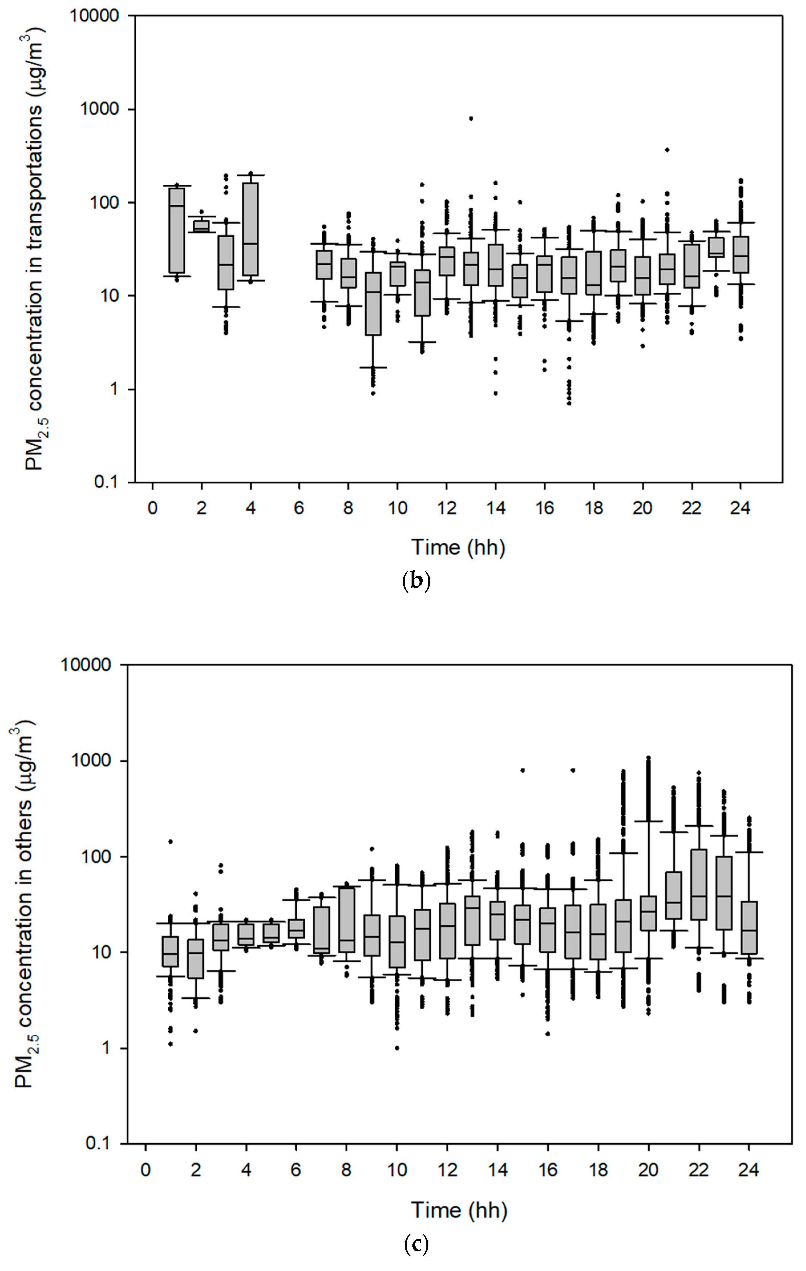
3.1. Microenvironmental PM2.5 Concentrations
3.2. Time–Activity Patterns of the 8072 Residents of Seoul
3.3. Personal Exposure Levels of the 8072 Residents of Seoul
3.4. Simulated Population Exposure to PM2.5
4. Discussion
4.1. Microenvironmental PM2.5 Concentrations
4.2. Time-Activity Pattens of the Surveyed Residents
4.3. Personal PM2.5 Levels of Surveyed Residents
4.4. Simulated Population Exposure
4.5. Limitations
5. Conclusions
Supplementary Materials
Author Contributions
Funding
Conflicts of Interest
References
- Woodruff, T.J.; Parker, J.D.; Darrow, L.A.; Slama, R.; Bell, M.L.; Choi, H.; Glinianaia, S.; Hoggatt, K.J.; Karr, C.J.; Lobdell, D.T.; et al. Methodological issues in studies of air pollution and reproductive health. Environ. Res. 2009, 109, 311–320. [Google Scholar] [CrossRef] [PubMed]
- Koulova, A.; Frishman, W.H. Air pollution exposure as a risk factor for cardiovascular disease morbidity and mortality. Cardiol. Rev. 2014, 22, 30–36. [Google Scholar] [CrossRef] [PubMed]
- Minichilli, F.; Santoro, M.; Linzalone, N.; Maurello, M.T.; Sallese, D.; Bianchi, F. Epidemiological population-based cohort study on mortality and hospitalization in the area near the waste incinerator plant of San Zeno, Arezzo (Tuscany Region, Central Italy). Epidemiol. Prev. 2016, 40, 33–43. [Google Scholar] [CrossRef] [PubMed]
- Vaduganathan, M.; De Palma, G.; Manerba, A.; Goldoni, M.; Triggiani, M.; Apostoli, P.; Cas, L.D.; Nodari, S. Risk of cardiovascular, hospitalizations from exposure to coarse particulate matter (PM10) below the European Union safety threshold. Am. J. Cardiol. 2016, 117, 1231–1235. [Google Scholar] [CrossRef] [PubMed]
- Shaughnessy, W.J.; Venigalla, M.M.; Trump, D. Health effects of ambient levels of respirable particulate matter (PM) on healthy, young-adult population. Atmos. Environ. 2015, 123, 102–111. [Google Scholar] [CrossRef]
- Loomis, D.; Grosse, Y.; Lauby-Secretan, B.; El Ghissassi, F.; Bouvard, V.; Benbrahim-Tallaa, L.; Guha, N.; Baan, R.; Mattock, H.; Straif, K.; et al. The carcinogenicity of outdoor air pollution. Lancet Oncol. 2013, 14, 1262–1263. [Google Scholar] [CrossRef]
- Wheeler, A.J.; Dobbin, N.A.; Heroux, M.E.; Fisher, M.; Sun, L.; Khoury, C.F.; Hauser, R.; Walker, M.; Ramsay, T.; Bienvenu, J.F.; et al. Urinary and breast milk biomarkers to assess exposure to naphthalene in pregnant women: An investigation of personal and indoor air sources. Environ. Health 2014, 13, 30. [Google Scholar] [CrossRef]
- Lee, M.S.; Eum, K.D.; Rodrigues, E.G.; Magari, S.R.; Fang, S.C.; Modest, G.A.; Christiani, D.C. Effects of personal exposure to ambient fine particulate matter on acute change in nocturnal heart rate variability in subjects without overt heart disease. Am. J. Cardiol. 2016, 117, 151–156. [Google Scholar] [CrossRef]
- Habil, M.; Massey, D.D.; Taneja, A. Exposure from particle and ionic contamination to children in schools of India. Atmos Pollut Res 2015, 6, 719–725. [Google Scholar] [CrossRef]
- Almeida, S.M.; Canha, N.; Silva, A.; Freitas, M.D.; Pegas, P.; Alves, C.; Evtyugina, M.; Pio, C.A. Children exposure to atmospheric particles in indoor of Lisbon primary schools. Atmos. Environ. 2011, 45, 7594–7599. [Google Scholar] [CrossRef]
- Du, X.; Kong, Q.; Ge, W.; Zhang, S.; Fu, L. Characterization of personal exposure concentration of fine particles for adults and children exposed to high ambient concentrations in Beijing, China. J. Environ. Sci. 2010, 22, 1757–1764. [Google Scholar] [CrossRef]
- Zhang, L.; Guo, C.; Jia, X.; Xu, H.; Pan, M.; Xu, D.; Shen, X.; Zhang, J.; Tan, J.; Qian, H.; et al. Personal exposure measurements of school-children to fine particulate matter (PM2.5) in winter of 2013, Shanghai, China. PLoS ONE 2018, 13, e0193586. [Google Scholar] [CrossRef] [PubMed]
- Janssen, N.A.H.; de Hartog, J.J.; Hoek, G.; Brunekreef, B.; Lanki, T.; Timonen, K.L.; Pekkanen, J. Personal exposure to fine particulate matter in elderly subjects: Relation between personal, indoor, and outdoor concentrations. J. Air Waste Manage. Assoc. 2011, 50, 1133–1143. [Google Scholar] [CrossRef]
- Suh, H.H.; Zanobetti, A. Exposure error masks the relationship between traffic-related air pollution and heart rate variability. J. Occup. Environ. Med. 2010, 52, 685–692. [Google Scholar] [CrossRef] [PubMed]
- Garcia, J.; Bennett, D.H.; Tancredi, D.; Schenker, M.B.; Mitchell, D.; Reynolds, S.J.; Mitloehner, F.M. Occupational exposure to particulate matter and endotoxin for California dairy workers. Int. J. Hyg. Environ. Health 2013, 216, 56–62. [Google Scholar] [CrossRef] [PubMed]
- McCreddin, A.; Gill, L.; Broderick, B.; McNabola, A. Personal exposure to air pollution in office workers in ireland: Measurement, analysis and implications. Toxics 2013, 1, 60–76. [Google Scholar] [CrossRef]
- Molnar, P.; Johannesson, S.; Boman, J.; Barregard, L.; Sallsten, G. Personal exposures and indoor, residential outdoor, and urban background levels of fine particle trace elements in the general population. J. Environ. Monit. 2006, 8, 543–551. [Google Scholar] [CrossRef]
- Steinle, S.; Reis, S.; Sabel, C.E.; Semple, S.; Twigg, M.M.; Braban, C.F.; Leeson, S.R.; Heal, M.R.; Harrison, D.; Lin, C.; et al. Personal exposure monitoring of PM2.5 in indoor and outdoor microenvironments. Sci. Total Environ. 2015, 508, 383–394. [Google Scholar] [CrossRef]
- Jahn, H.J.; Kraemer, A.; Chen, X.-C.; Chan, C.-Y.; Engling, G.; Ward, T.J. Ambient and personal PM2.5 exposure assessment in the Chinese megacity of Guangzhou. Atmos. Environ. 2013, 74, 402–411. [Google Scholar] [CrossRef]
- Wheeler, A.J.; Xu, X.; Kulka, R.; You, H.; Wallace, L.; Mallach, G.; Ryswyk, K.V.; MacNeill, M.; Kearney, J.; Rasmussen, P.E.; et al. Windsor, Ontario exposure assessment study: Design and methods validation of personal, indoor, and outdoor air pollution monitoring. J. Air Waste Manage. Assoc. 2011, 61, 324–338. [Google Scholar] [CrossRef] [PubMed]
- Burke, J.M.; Zufall, M.J.; Özkaynak, H. A population exposure model for particulate matter: Case study results for PM2.5 in Philadelphia, PA. J. Expo. Anal. Environ. Epidemiol. 2001, 11, 470–489. [Google Scholar] [CrossRef] [PubMed]
- Özkaynak, H.; Palma, T.; Touma, J.S.; Thurman, J. Modeling population exposures to outdoor sources of hazardous air pollutants. J. Expo. Sci. Environ. Epidemiol. 2008, 18, 45–58. [Google Scholar] [CrossRef] [PubMed]
- Breen, M.S.; Long, T.C.; Schultz, B.D.; Williams, R.W.; Richmond-Bryant, J.; Breen, M.; Langstaff, J.E.; Devlin, R.B.; Schneider, A.; Burke, J.M.; et al. Air pollution exposure model for individuals (EMI) in health studies: Evaluation for ambient PM2.5 in Central North Carolina. Environ. Sci. Technol. 2015, 49, 14184–14194. [Google Scholar] [CrossRef] [PubMed]
- Wu, C.-F.; Delfino, R.J.; Floro, J.N.; Quintana, P.J.E.; Samimi, B.S.; Kleinman, M.T.; Allen, R.W.; Sally Liu, L.J. Exposure assessment and modeling of particulate matter for asthmatic children using personal nephelometers. Atmos. Environ. 2005, 39, 3457–3469. [Google Scholar] [CrossRef]
- Peters, T.M.; Ott, D.; O’Shaughnessy, P.T. Comparison of the Grimm 1.108 and 1.109 portable aerosol spectrometer to the TSI 3321 aerodynamic particle sizer for dry particles. Ann. Occup. Hyg. 2006, 50, 843–850. [Google Scholar] [CrossRef] [PubMed]
- Heim, M.; Mullins, B.J.; Umhauer, H.; Kasper, G. Performance evaluation of three optical particle counters with an efficient “multimodal” calibration method. J. Aerosol Sci 2008, 39, 1019–1031. [Google Scholar] [CrossRef]
- Hwang, Y.; Lee, K. Contribution of microenvironments to personal exposures to PM10 and PM2.5 in summer and winter. Atmos. Environ. 2018, 175, 192–198. [Google Scholar] [CrossRef]
- Borgini, A.; Ricci, C.; Bertoldi, M.; Crosignani, P.; Tittarelli, A. The EuroLifeNet Study: How different microenvironments influence personal exposure to PM2.5; among high-school students in Milan. Open J. Air Pollut. 2015, 4. [Google Scholar] [CrossRef]
- Dias, D.; Tchepel, O. Modelling of human exposure to air pollution in the urban environment: A GPS-based approach. Environ. Sci. Pollu. Res. Int. 2014, 21, 3558–3571. [Google Scholar] [CrossRef]
- Smith, J.D.; Mitsakou, C.; Kitwiroon, N.; Barratt, B.M.; Walton, H.A.; Taylor, J.G.; Anderson, H.R.; Kelly, F.J.; Beevers, S.D. London hybrid exposure model: Improving human exposure estimates to NO2 and PM2.5 in an urban setting. Environ. Sci. Technol. 2016, 50, 11760–11768. [Google Scholar] [CrossRef]
- Yang, W.; Lee, K.; Yoon, C.; Yu, S.; Park, K.; Choi, W. Determinants of residential indoor and transportation activity times in Korea. J. Expo. Sci. Environ. Epidemiol. 2011, 21, 310–316. [Google Scholar] [CrossRef] [PubMed]
- Chau, C.K.; Tu, E.Y.; Chan, D.W.T.; Burnett, J. Estimating the total exposure to air pollutants for different population age groups in Hong Kong. Environ. Int. 2002, 27, 617–630. [Google Scholar] [CrossRef]
- Brasche, S.; Bischof, W. Daily time spent indoors in German homes–Baseline data for the assessment of indoor exposure of German occupants. Int. J. Hyg. Environ. Health 2005, 208, 247–253. [Google Scholar] [CrossRef] [PubMed]
- Briggs, D.J.; Denman, A.R.; Gulliver, J.; Marley, R.F.; Kennedy, C.A.; Philips, P.S.; Field, K.; Crockett, R.M. Time activity modelling of domestic exposures to radon. J. Environ. Manage. 2003, 67, 107–120. [Google Scholar] [CrossRef]
- Echols, S.L.; Macintosh, D.L.; Hammerstrom, K.A.; Ryan, P.B. Temporal variability of microenvironmental time budgets in Maryland. J. Expo. Anal. Environ. Epidemiol. 1999, 9, 502–512. [Google Scholar] [CrossRef] [PubMed]
- Klepeis, N.E. An introduction to the indirect exposure assessment approach: Modeling human exposure using microenvironmental measurements and the recent National Human Activity Pattern Survey. Environ. Health Perspect. 1999, 107, 365–374. [Google Scholar] [CrossRef] [PubMed]
- Lai, H.K.; Kendall, M.; Ferrier, H.; Lindup, I.; Alm, S.; Hanninen, O.; Jantunen, M.; Mathys, P.; Colvile, R.; Ashmore, M.R.; et al. Personal exposures and microenvironment concentrations of PM2.5, VOC, NO2 and CO in Oxford, UK. Atmos. Environ. 2004, 38, 6399–6410. [Google Scholar] [CrossRef]
- Leech, J.A.; Nelson, W.C.; Burnett, R.T.; Aaron, S.; Raizenne, M.E. It’s about time: A comparison of Canadian and American time-activity patterns. J. Expo. Anal. Environ. Epidemiol. 2002, 12, 427–432. [Google Scholar] [CrossRef] [PubMed]
- Sexton, K.; Mongin, S.J.; Adgate, J.L.; Pratt, G.C.; Ramachandran, G.; Stock, T.H.; Morandi, M.T. Estimating volatile organic compound concentrations in selected microenvironments using time-activity and personal exposure data. J. Toxicol. Environ. Health, A 2007, 70, 465–476. [Google Scholar] [CrossRef] [PubMed]
- Kruize, H.; Hanninen, O.; Breugelmans, O.; Lebret, E.; Jantunen, M. Description and demonstration of the EXPOLIS simulation model: Two examples of modeling population exposure to particulate matter. J. Expo. Anal. Environ. Epidemiol. 2003, 13, 87–99. [Google Scholar] [CrossRef]
- Rotko, T.; Koistinen, K.; Hanninen, O.; Jantunen, M. Sociodemographic descriptors of personal exposure to fine particles (PM2.5) in EXPOLIS Helsinki. J. Expo. Anal. Environ. Epidemiol. 2000, 10, 385–393. [Google Scholar] [CrossRef] [PubMed]
- Saraswat, A.; Kandlikar, M.; Brauer, M.; Srivastava, A. PM2.5 Population exposure in New Delhi using a probabilistic simulation framework. Environ. Sci. Technol. 2016, 50, 3174–3183. [Google Scholar] [CrossRef] [PubMed]






| Variables | Low Exposure Group n = 7668 | High Exposure Group n = 404 | p-Value |
|---|---|---|---|
| Day of the week—no. (%) | 0.003 1 | ||
| Weekdays | 4630 (60.4) | 219 (54.2) | |
| Saturdays | 1497 (19.5) | 108 (26.7) | |
| Sundays | 1541 (20.1) | 77 (19.1) | |
| Sex—no. (%) | <0.001 1 | ||
| Male | 3563 (46.5) | 223 (57.7) | |
| Female | 4105 (53.5) | 171 (42.3) | |
| Age, years—median (range) | 36 (10–93) | 35 (11–87) | 0.655 |
| Marriage status—no. (%) | 0.473 | ||
| Married | 4259 (55.5) | 217 (53.7) | |
| Unmarried | 3409 (44.5) | 187 (46.3) | |
| Education—no. (%) | <0.001 1 | ||
| Middle school and below | 2156 (28.1) | 76 (18.8) | |
| College and below | 2778 (36.2) | 166 (41.1) | |
| University and above | 2734 (35.7) | 162 (40.1) | |
| Industry—no. (%) | <0.001 1 | ||
| Primary and secondary industry | 741 (18.0) | 25 (8.1) | |
| Tertiary industry | 2227 (54.1) | 205 (66.3) | |
| Other | 1151(27.9) | 79 (25.6) | |
| Job—no. (%) | <0.001 1 | ||
| Office worker | 1933 (46.9) | 91 (29.4) | |
| Non-office worker | 2186 (53.1) | 218 (70.6) | |
| Working hours, hour per week—median (range) | 18 (0–120) | 49 (0–105) | <0.001 1 |
| Monthly income—no. (%) | 0.100 | ||
| <$2000 | 6534 (85.2) | 332 (82.2) | |
| ≥$2000 | 1134 (14.8) | 72 (17.8) | |
| House size, m2—median (range) | 66.1 (9.9–337.2) | 59.5 (16.5–198.3) | 0.025 1 |
| Own house—no. (%) | 0.002 1 | ||
| Yes | 4025 (52.5) | 179 (44.3) | |
| No | 3643 (47.5) | 225 (55.7) | |
| Own car—no. (%) | 0.595 | ||
| Yes | 4900 (63.9) | 46 (11.4) | |
| No | 2768 (36.1) | 358 (88.6) |
| Variables | Coefficient | Standard Error | p-Value 1 | OR 3 (95% CI) |
|---|---|---|---|---|
| Day of the week | 0.044 2 | |||
| (Weekdays) | ||||
| Saturdays | 0.356 | 0.147 | 1.428 (1.701–1.903) | |
| Sundays | −0.017 | 0.162 | 0.983 (0.715–1.350) | |
| Sex | 0.240 | |||
| (Male) | ||||
| Female | −0.156 | 0.133 | 0.856 (0.660–1.110) | |
| Age | −0.019 | 0.006 | 0.002 2 | 0.981 (0.969–0.993) |
| Education | 0.173 | |||
| (Middle school and below) | ||||
| College and below | −0.148 | 0.190 | 0.863 (0.595–1.251) | |
| University and above | 0.139 | 0.232 | 1.149 (0.729–1.810) | |
| Industry | <0.001 2 | |||
| (Primary and secondary industry) | ||||
| Tertiary industry | 1.063 | 0.220 | 2.894 (1.880–4.454) | |
| Other | 0.843 | 0.239 | 2.324 (1.454–3.716) | |
| Job | <0.001 2 | |||
| (Office worker) | ||||
| Non-office worker | 0.797 | 0.161 | 2.220 (1.618–3.044) | |
| Working hours | 0.028 | 0.003 | <0.001 2 | 1.029 (1.022–1.036) |
| Monthly income | 0.199 | |||
| (<$2000) | ||||
| ≥$2000 | −0.202 | 0.159 | 0.817 (0.599–1.115) | |
| House size | 0.001 | 0.003 | 0.765 | 1.001 (0.996–1.006) |
| Own house | 0.425 | |||
| (Yes) | ||||
| No | 0.108 | 0.136 | 1.114 (0.854–1.454) |
© 2018 by the authors. Licensee MDPI, Basel, Switzerland. This article is an open access article distributed under the terms and conditions of the Creative Commons Attribution (CC BY) license (http://creativecommons.org/licenses/by/4.0/).
Share and Cite
Hwang, Y.; An, J.; Lee, K. Characterization of a High PM2.5 Exposure Group in Seoul Using the Korea Simulation Exposure Model for PM2.5 (KoSEM-PM) Based on Time–Activity Patterns and Microenvironmental Measurements. Int. J. Environ. Res. Public Health 2018, 15, 2808. https://doi.org/10.3390/ijerph15122808
Hwang Y, An J, Lee K. Characterization of a High PM2.5 Exposure Group in Seoul Using the Korea Simulation Exposure Model for PM2.5 (KoSEM-PM) Based on Time–Activity Patterns and Microenvironmental Measurements. International Journal of Environmental Research and Public Health. 2018; 15(12):2808. https://doi.org/10.3390/ijerph15122808
Chicago/Turabian StyleHwang, Yunhyung, Jaehoon An, and Kiyoung Lee. 2018. "Characterization of a High PM2.5 Exposure Group in Seoul Using the Korea Simulation Exposure Model for PM2.5 (KoSEM-PM) Based on Time–Activity Patterns and Microenvironmental Measurements" International Journal of Environmental Research and Public Health 15, no. 12: 2808. https://doi.org/10.3390/ijerph15122808
APA StyleHwang, Y., An, J., & Lee, K. (2018). Characterization of a High PM2.5 Exposure Group in Seoul Using the Korea Simulation Exposure Model for PM2.5 (KoSEM-PM) Based on Time–Activity Patterns and Microenvironmental Measurements. International Journal of Environmental Research and Public Health, 15(12), 2808. https://doi.org/10.3390/ijerph15122808

